中文核心期刊

SCOPUS 数据库收录期刊

中国科技核心期刊

美国《化学文摘》来源期刊

中国优秀冶金期刊

美国EBSCO数据库收录期刊

RCCSE中国核心学术期刊

美国《剑桥科学文摘》来源期刊

中国应用核心期刊(CACJ)

美国《乌利希期刊指南》收录期刊

中国学术期刊综合评价统计源刊

俄罗斯《文摘杂志》来源期刊

优秀中文科技期刊(西牛计划)

日本《科学技术文献数据库》(JST)收录刊

留言板

尊敬的读者、作者、审稿人, 关于本刊的投稿、审稿、编辑和出版的任何问题, 您可以本页添加留言。我们将尽快给您答复。谢谢您的支持!

姓名
邮箱
手机号码
标题
留言内容
验证码

TC4钛合金气瓶热旋压成形技术研究

郑帮智 冯兆龙 刘永胜 王泽龙

郑帮智, 冯兆龙, 刘永胜, 王泽龙. TC4钛合金气瓶热旋压成形技术研究[J]. 钢铁钒钛, 2025, 46(2): 61-67. doi: 10.7513/j.issn.1004-7638.2025.02.009
引用本文: 郑帮智, 冯兆龙, 刘永胜, 王泽龙. TC4钛合金气瓶热旋压成形技术研究[J]. 钢铁钒钛, 2025, 46(2): 61-67. doi: 10.7513/j.issn.1004-7638.2025.02.009
ZHENG Bangzhi, FENG Zhaolong, LIU Yongsheng, WANG Zelong. Research on hot spinning and pressure forming technology of TC4 titanium alloy gas cylinders[J]. IRON STEEL VANADIUM TITANIUM, 2025, 46(2): 61-67. doi: 10.7513/j.issn.1004-7638.2025.02.009
Citation: ZHENG Bangzhi, FENG Zhaolong, LIU Yongsheng, WANG Zelong. Research on hot spinning and pressure forming technology of TC4 titanium alloy gas cylinders[J]. IRON STEEL VANADIUM TITANIUM, 2025, 46(2): 61-67. doi: 10.7513/j.issn.1004-7638.2025.02.009

TC4钛合金气瓶热旋压成形技术研究

doi: 10.7513/j.issn.1004-7638.2025.02.009
详细信息
    作者简介:

    郑帮智,1988年出生,男,四川人,硕士,高级工程师,主要研究方向:材料成形、材料动态性能测试与仿真,E-mail:zbz315@126.com

  • 中图分类号: TF823,TG306

Research on hot spinning and pressure forming technology of TC4 titanium alloy gas cylinders

  • 摘要:

    通过数值仿真方法构建了TC4钛合金气瓶热旋压成形的数值仿真模型,并通过试验验证了该模型的可靠性。在热模拟试验中,以0.1、1、10 s−1三种应变速率为条件,详细探究了TC4材料在700~

    1000

    ℃下的流变应力分布。综合数值仿真分析,深入研究了成形温度、主轴转速、进给速度等关键工艺参数对TC4钛合金成形的影响,并最终制定了气瓶热旋压成形工艺。通过多道次TC4钛合金热旋压成形试验,进一步验证了所提出工艺的可行性,为TC4钛合金气瓶的制造提供了科学而可行的技术路线。

  • 图  1  钛合金热旋压成形示意

    Figure  1.  Schematic diagram of titanium alloy hot spinning and pressure forming

    (a)物理模型;(b)有限元模型

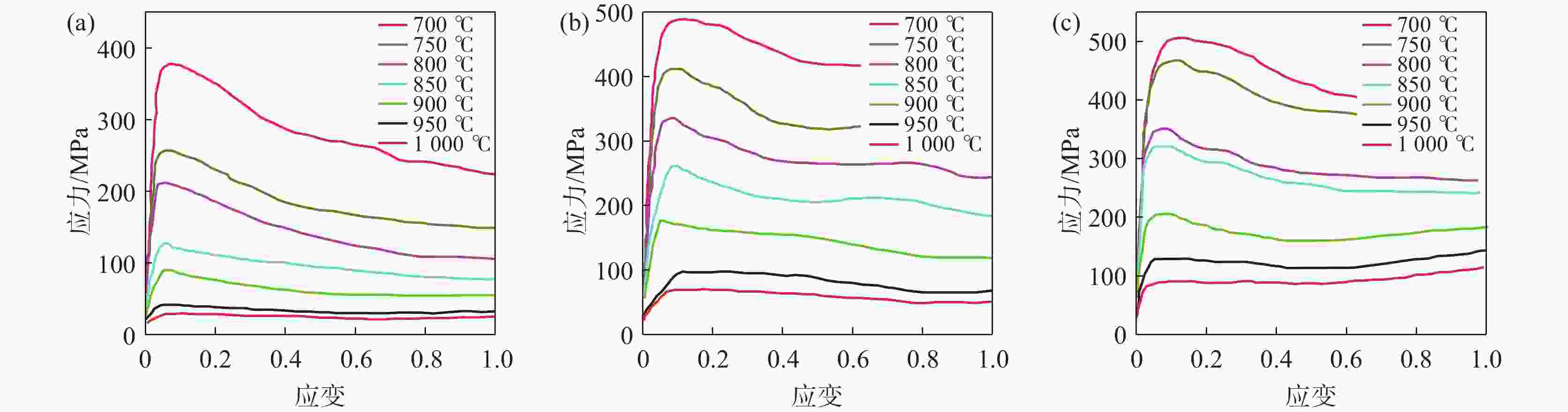
    图  2  TC4钛合金在不同应变速率和不同温度下的应力-应变曲线

    (a)速率0.01 s−1;(b)速率1 s−1;(c)速率10 s−1

    Figure  2.  Stress-strain curves of TC4 titanium alloy at different strain rates and temperatures

    图  3  旋压模具示意

    (a)分体式旋压夹具;(b)专用旋轮

    Figure  3.  Schematic diagram of spinning and pressure forming die

    图  4  TC4钛合金气瓶管坯及成形道次轨迹示意

    (a)旋压试验用TC4管坯;(b)成形轨迹设计

    Figure  4.  Schematic diagram of TC4 titanium alloy gas cylinder blank and forming pass trajectory

    图  5  不同温度下的应力应变云图分布

    (a)700 ℃应力分布;(b)800 ℃应力分布;(c)900 ℃应力分布;(d)700 ℃应变分布;(e)800 ℃应变分布;(f)900 ℃应变分布

    Figure  5.  Distribution of stress-strain cloud maps at different temperatures

    图  6  不同主轴转速下的应力应变云图分布

    (a)250 r/min应力分布;(b)300 r/min应力分布;(c)400 r/min应力分布;(d)250 r/min应变分布;(e)300 r/min应变分布; (f)400 r/min应变分布

    Figure  6.  Distribution of stress-strain cloud maps at different spindle speeds

    图  7  不同进给速度下的应力应变云图分布

    (a)6 mm/s应力分布;(b)12 mm/s应力分布;(c)20 mm/s应力分布;(d)6 mm/s应变分布;(e)12 mm/s应变分布;(f)20 mm/s应变分布

    Figure  7.  Distribution of stress-strain cloud maps at different feed rates

    图  8  不同温度、主轴转速、进给速度对成形力的影响

    (a)不同温度;(b)不同主轴转速;(c)不同进给速度

    Figure  8.  Influence of different temperatures, spindle speeds, and feed rates on forming force

    图  9  TC4钛合金气瓶热旋压成形试验

    (a)加热;(b)成形

    Figure  9.  Experimental of TC4 titanium alloy gas cylinder hot spinning and pressure forming

    图  10  TC4钛合金气瓶热旋压成形试验结果

    (a)气瓶外观;(b)气瓶剖切;(c)仿真测量结果;(d)试验测量结果

    Figure  10.  Experimental results of TC4 titanium alloy gas cylinder hot spinning and pressure forming

    表  1  TC4材料力学性能

    Table  1.   Mechanical properties of TC4

    屈服强度/MPa 抗拉强度/MPa 伸长率/% 泊松比 弹性模量/MPa 密度/(t·mm−3
    928 1103 15.5 0.34 110000 4.5×10−9
    下载: 导出CSV

    表  2  TC4钛合金气瓶热旋压成形工艺参数

    Table  2.   Process Parameters for Hot Spinning and Pressure Forming of TC4 Titanium Alloy Gas Cylinders

    主轴转速/(r·min−1进给道次/次加热方式进给速度/(mm·s−1道次进给量/mm加热温度/℃
    250~4007火焰5~82700~900
    下载: 导出CSV
  • [1] FENG Y Q, JIA S X, WANG W Q, et al. Development of TC4 ELI titanium alloy hemisphere shell for manned submersible[J]. Titanium Industry Progress, 2016,33(1):19-22. (冯雅奇, 贾栓孝, 王韦琪, 等. 深潜器载人舱用TC4 ELI钛合金半球壳的研制[J]. 钛工业进展, 2016,33(1):19-22.

    FENG Y Q, JIA S X, WANG W Q, et al. Development of TC4 ELI titanium alloy hemisphere shell for manned submersible[J]. Titanium Industry Progress, 2016, 33(1): 19-22.
    [2] LI J. Design and simulation of 40MPa high pressure gas bottle made of TC4[D]. Huazhong University of Science & Technology, 2005. (李杰. 40MPa钛合金高压气瓶的设计及仿真[D]. 华中科技大学, 2005.

    LI J. Design and simulation of 40MPa high pressure gas bottle made of TC4[D]. Huazhong University of Science & Technology, 2005.
    [3] MENG X J, SHI J. Application of titanium alloys for naval vessels[J]. Titanium Industry Progress, 2003,20(4):23-26. (孟祥军, 时锦. 漫谈钛合金在舰船上的应用[J]. 钛工业进展, 2003,20(4):23-26. doi: 10.3969/j.issn.1009-9964.2003.04.006

    MENG X J, SHI J. Application of titanium alloys for naval vessels[J]. Titanium Industry Progress, 2003, 20(4): 23-26. doi: 10.3969/j.issn.1009-9964.2003.04.006
    [4] QIN P, LI Z Q, WANG F F. Automatic argon arc welding process for titanium alloy cylinders used in a certain type of missile[J]. Welding Technology, 2012,41(11):27-29. (秦平, 李中强, 王方方. 某型导弹用钛合金气瓶自动氩弧焊工艺[J]. 焊接技术, 2012,41(11):27-29. doi: 10.3969/j.issn.1002-025X.2012.11.008

    QIN P, LI Z Q, WANG F F. Automatic argon arc welding process for titanium alloy cylinders used in a certain type of missile[J]. Welding Technology, 2012, 41(11): 27-29. doi: 10.3969/j.issn.1002-025X.2012.11.008
    [5] LÜ X Y, HOU H L, ZHANG S H, et al. 3D elastic plastic FEM simulation of TC4 alloy flow forming[J]. Forging & Stamping Technology, 2005,30(6):38-41. (吕昕宇, 侯红亮, 张士宏, 等. TC4合金流动旋压三维弹塑性有限元模拟[J]. 锻压技术, 2005,30(6):38-41. doi: 10.3969/j.issn.1000-3940.2005.06.013

    LÜ X Y, HOU H L, ZHANG S H, et al. 3D elastic plastic FEM simulation of TC4 alloy flow forming[J]. Forging & Stamping Technology, 2005, 30(6): 38-41. doi: 10.3969/j.issn.1000-3940.2005.06.013
    [6] WANG F C, YU Z D, LI X K, et al. Experimental research on hot-spinning of TC4 titanium alloy tube[J]. Die Mould Manufacture, 2017,17(12):1040-1042. (汪发春, 于志德, 李兴凯, 等. TC4钛合金筒形件的热旋成形工艺研究[J]. 模具制造, 2017,17(12):1040-1042. doi: 10.3969/j.issn.1671-3508.2017.12.016

    WANG F C, YU Z D, LI X K, et al. Experimental research on hot-spinning of TC4 titanium alloy tube[J]. Die Mould Manufacture, 2017, 17(12): 1040-1042. doi: 10.3969/j.issn.1671-3508.2017.12.016
    [7] LI Q J, LÜ H J, WANG Q, et al. FEM numerical simulation of spinning processing for thin TC4 alloy workpiece with curvilinear shape[J]. Journal of Tiangong University, 2008,27(2):61-65. (李启军, 吕宏军, 王琪, 等. 薄壁曲母线TC4钛合金构件热旋模拟与试验研究[J]. 天津工业大学学报, 2008,27(2):61-65. doi: 10.3969/j.issn.1671-024X.2008.02.017

    LI Q J, LÜ H J, WANG Q, et al. FEM numerical simulation of spinning processing for thin TC4 alloy workpiece with curvilinear shape[J]. Journal of Tiangong University, 2008, 27(2): 61-65. doi: 10.3969/j.issn.1671-024X.2008.02.017
    [8] LI Q J, FAN K C, WANG Q, et al. Factors influencing spinforming of large-diameter, thin-walled TC4 alloy tube[J]. Aerospace Materials & Technology, 2012,42(1):86-88. (李启军, 范开春, 王琪, 等. 大尺寸薄壁钛合金筒体旋压成形质量影响因素[J]. 宇航材料工艺, 2012,42(1):86-88. doi: 10.3969/j.issn.1007-2330.2012.01.019

    LI Q J, FAN K C, WANG Q, et al. Factors influencing spinforming of large-diameter, thin-walled TC4 alloy tube[J]. Aerospace Materials & Technology, 2012, 42(1): 86-88. doi: 10.3969/j.issn.1007-2330.2012.01.019
    [9] ZHAO G W. Research on spinning forming technology of spherical gas cylinder[D]. Shenyang: Northeastern University, 2019. (赵国伟. 某型号内胆旋压成型技术研究[D]. 沈阳:东北大学, 2019.

    ZHAO G W. Research on spinning forming technology of spherical gas cylinder[D]. Shenyang: Northeastern University, 2019.
    [10] ZHANG M C. The FEM simulation on forming process of high pressure vessel of titanium alloy[D]. Xi’an: Northwestern Polytechnical University, 2003. (张敏聪. 钛合金高压容器成形过程的有限元模拟[D]. 西安:西北工业大学, 2003.

    ZHANG M C. The FEM simulation on forming process of high pressure vessel of titanium alloy[D]. Xi’an: Northwestern Polytechnical University, 2003.
    [11] ABAQUS Inc. ABAQUS analysis user’s manual[M]. Version 6.12, Providence: ABAQUS Inc. , 2010.
    [12] GUO H F, SUN T, LI J L. Tribological properties of TC4 alloy under different friction conditions[J]. Hot Working Technology, 2014,43(10):40-43. (郭华锋, 孙涛, 李菊丽. 不同摩擦条件下TC4钛合金摩擦学性能研究[J]. 热加工工艺, 2014,43(10):40-43.

    GUO H F, SUN T, LI J L. Tribological properties of TC4 alloy under different friction conditions[J]. Hot Working Technology, 2014, 43(10): 40-43.
  • 加载中
图(10) / 表(2)
计量
  • 文章访问数:  145
  • HTML全文浏览量:  61
  • PDF下载量:  12
  • 被引次数: 0
出版历程
  • 收稿日期:  2024-02-27
  • 网络出版日期:  2025-04-30
  • 刊出日期:  2025-04-30

目录

    /

    返回文章
    返回