中文核心期刊

SCOPUS 数据库收录期刊

中国科技核心期刊

美国《化学文摘》来源期刊

中国优秀冶金期刊

美国EBSCO数据库收录期刊

RCCSE中国核心学术期刊

美国《剑桥科学文摘》来源期刊

中国应用核心期刊(CACJ)

美国《乌利希期刊指南》收录期刊

中国学术期刊综合评价统计源刊

俄罗斯《文摘杂志》来源期刊

优秀中文科技期刊(西牛计划)

日本《科学技术文献数据库》(JST)收录刊

留言板

尊敬的读者、作者、审稿人, 关于本刊的投稿、审稿、编辑和出版的任何问题, 您可以本页添加留言。我们将尽快给您答复。谢谢您的支持!

姓名
邮箱
手机号码
标题
留言内容
验证码

钒源对磷酸钒钠钠离子正极材料电化学性能的影响研究

王仕伟 郑浩 汪劲鹏 蒋霖

王仕伟, 郑浩, 汪劲鹏, 蒋霖. 钒源对磷酸钒钠钠离子正极材料电化学性能的影响研究[J]. 钢铁钒钛, 2025, 46(2): 76-82. doi: 10.7513/j.issn.1004-7638.2025.02.011
引用本文: 王仕伟, 郑浩, 汪劲鹏, 蒋霖. 钒源对磷酸钒钠钠离子正极材料电化学性能的影响研究[J]. 钢铁钒钛, 2025, 46(2): 76-82. doi: 10.7513/j.issn.1004-7638.2025.02.011
WANG Shiwei, ZHENG Hao, WANG Jinpeng, JIANG Lin. Study on the effect of vanadium source on the electrochemical performance of sodium vanadium phosphate cathode materials for sodium-ion batteries[J]. IRON STEEL VANADIUM TITANIUM, 2025, 46(2): 76-82. doi: 10.7513/j.issn.1004-7638.2025.02.011
Citation: WANG Shiwei, ZHENG Hao, WANG Jinpeng, JIANG Lin. Study on the effect of vanadium source on the electrochemical performance of sodium vanadium phosphate cathode materials for sodium-ion batteries[J]. IRON STEEL VANADIUM TITANIUM, 2025, 46(2): 76-82. doi: 10.7513/j.issn.1004-7638.2025.02.011

钒源对磷酸钒钠钠离子正极材料电化学性能的影响研究

doi: 10.7513/j.issn.1004-7638.2025.02.011
详细信息
    作者简介:

    王仕伟,1997年出生,男,四川巴中人,本科,工程师,长期从事钒渣提钒及钒基电池材料的研究开发工作,E-mail:2534763740@qq.com

  • 中图分类号: TF841.3,TM911

Study on the effect of vanadium source on the electrochemical performance of sodium vanadium phosphate cathode materials for sodium-ion batteries

  • 摘要:

    以不同提钒工艺制备的中间产物多钒酸铵NH4V3O8(APV)和高纯五氧化二钒为钒源,Na2CO3、NH4H2PO4、柠檬酸分别作钠源、磷源、碳源,采用溶胶凝胶法合成了一系列Na3V2(PO4)3/C正极材料。通过XRD、SEM、电池测试系统和电化学工作站等详细研究了不同钒源对Na3V2(PO4)3/C正极材料的影响。结果显示:钠法提钒多钒酸铵为钒源制备的NaH-NVP正极材料呈现较好的循环性能和优异的高倍率性能,在5C和10C高倍率下分别表现出98 mAh/g和64 mAh/g的可逆容量。此项研究拓展了合成磷酸钒钠材料的钒源选择,对降低磷酸钒钠的制备成本具有积极意义。

  • 图  1  溶胶-凝胶法制备NVP正极材料的合成示意

    Figure  1.  Synthesis diagram of NVP cathode material prepared by sol-gel method

    图  2  不同钒源制备的NVP正极材料的XRD衍射图谱

    Figure  2.  XRD patterns of NVP cathode materials prepared from different vanadium sources

    图  3  不同钒源合成的NVP材料的表面形貌及区域放大

    Figure  3.  Surface morphology and regional magnification of NVP materials synthesized from different vanadium sources

    (a)(d)NaH-NVP;(b)(e)GaH-NVP;(c)(f)GC-NVP

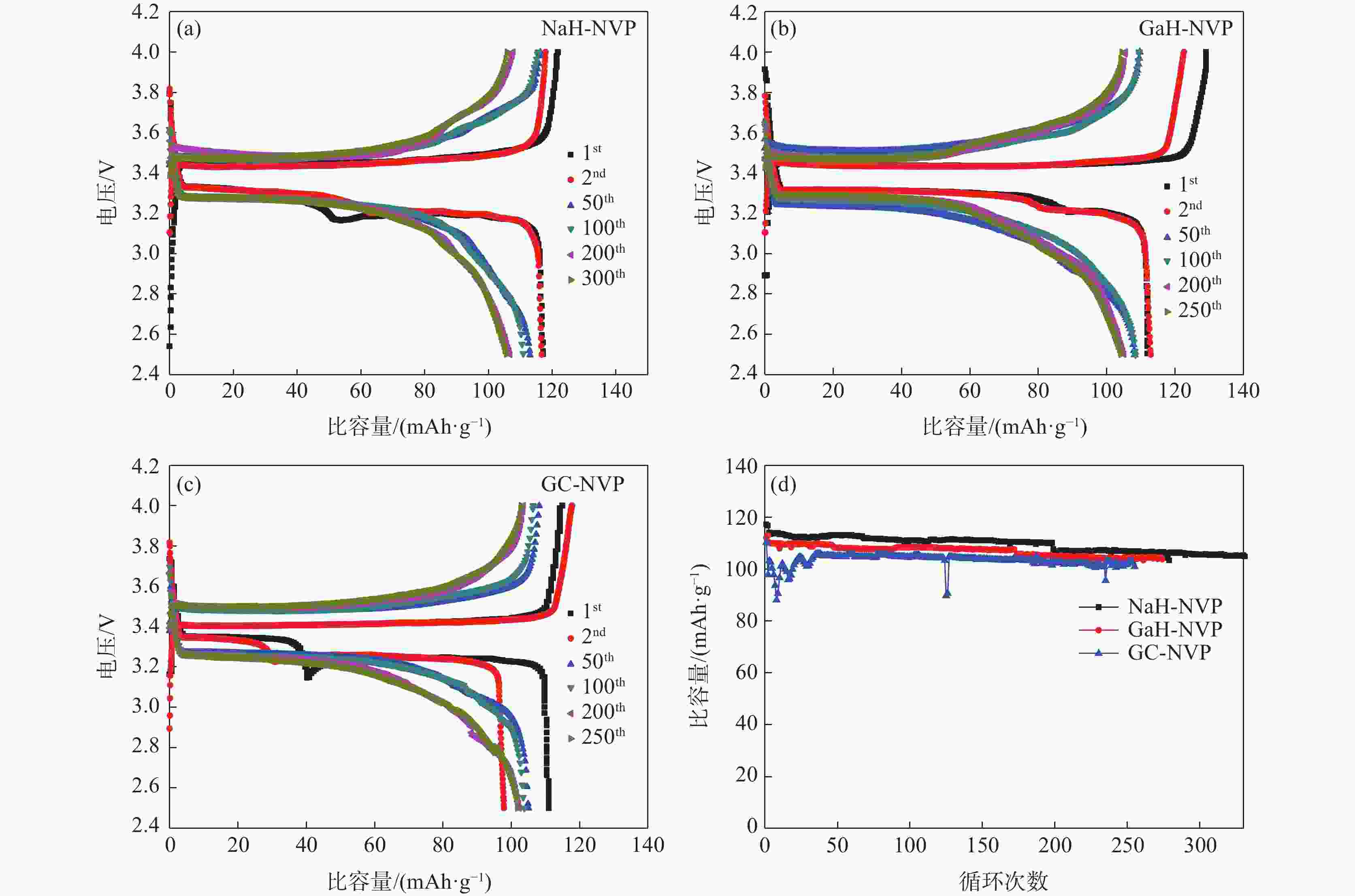
    图  4  NaH-NVP、GaH-NVP和GC-NVP的充放电曲线和循环性曲线

    (a)(b)(c)充放电曲线;(d)循环性曲线

    Figure  4.  Galvanostatic charge-discharge curves and cycling performance of NaH-NVP, GaH NVP and GC-NVP samples

    图  5  NaH-NVP、GaH-NVP和GC-NVP材料的倍率性能

    Figure  5.  Rate performance of NaH-NVP, GaH-NVP and GC-NVP materials

    图  6  NaH-NVP、GaH-NVP和GC-NVP样品的交流阻抗图谱和Warburg系数Zw

    (a)交流阻抗图谱;(b)Warburg系数Zw

    Figure  6.  Electrochemical impedance spectroscopy and Warburg coefficients Zw of NaH-NVP, GaH NVP and GC-NVP samples

    表  1  不同工艺钒源的成分表

    Table  1.   Compositions table of V2O5 from different processes %

    VCaNaSiMnKFeCr
    钙法APV49.730.020.0120.0130.0810.1220.046<0.01
    钠法APV50.160.2480.082<0.010.0720.0130.065
    高纯V2O555.950.0100.013<0.01<0.010.010
    下载: 导出CSV

    表  2  NaH-NVP、GaH-NVP和GC-NVP材料的循环性能和倍率性能

    Table  2.   Cycling and rate performances of NaH-NVP, GaH-NVP and GC-NVP materials

    循环性能/(mAh·g−1) 倍率性能/(mAh·g−1)
    1st 150th 0.2C 0.5C 1C 2C 5C 10C 回到0.2C
    NaH-NVP 117 111 117 110 110 109 98 64 111
    GaH-NVP 112 107 118 107 106 104 80 108
    GC-NVP 111 104 120 104 95 85 49 106
    下载: 导出CSV
  • [1] XIE H J, ZHENG D F, LUO X, et al. Research progress on key materials for sodium ion batteries[J]. Zhejiang Chemical Industry, 2023,54(12):8-14. (谢浩杰, 郑冬芳, 罗霞, 等. 钠离子电池关键材料研究进展[J]. 浙江化工, 2023,54(12):8-14. doi: 10.3969/j.issn.1006-4184.2023.12.002

    XIE H J, ZHENG D F, LUO X, et al. Research progress on key materials for sodium ion batteries[J]. Zhejiang Chemical Industry, 2023, 54(12): 8-14. doi: 10.3969/j.issn.1006-4184.2023.12.002
    [2] XIANG X, ZHANG K, CHEN J. Recent advances and prospects of cathode materials for sodium-ion batteries[J]. Advanced Materials, 2015,27(36):5343-5364. doi: 10.1002/adma.201501527
    [3] ROJO T, HU Y S, FORSYTH M, et al. Sodium-ion batteries[J]. Advanced Energy Materials, 2018,8(17):1800880. doi: 10.1002/aenm.201800880
    [4] HWANG J Y, MYUNG S T, SUN Y K. Sodium-ion batteries: present and future[J]. Chemical Society Reviews, 2017,46(12):3529-3614. doi: 10.1039/C6CS00776G
    [5] CHEN X, WANG Y, WIADEREK K, et al. Super charge separation and high voltage phase in NaxMnO2[J]. Advanced Functional Materials, 2018,28(50):1805105.1-1805105.12.
    [6] YOSHIDA H, YABUUCHI N, KOMABA S. NaFe0.5Co0.5O2 as high energy and power positive electrode for Na-ion batteries[J]. Electrochemistry Communications, 2013,34:60-63. doi: 10.1016/j.elecom.2013.05.012
    [7] MOLENDA J, BASTER D, MOLENDA M, et al. Anomaly in the electronic structure of the NaxCoO2-y cathode as a source of its step-like discharge curve[J]. Physical Chemistry Chemical Physics, 2014,16(28):14845-14857. doi: 10.1039/c3cp55223c
    [8] MOLENDA J, BASTER D, GUTOWSKA M U, et al. Electronic origin of the step-like character of the discharge curve for NaxCoO2-y cathode[J]. Functional Materials Letters, 2014,7(6):1440009. doi: 10.1142/S1793604714400098
    [9] MAO J, LIU X, LIU J, et al. P2-type Na2/3Ni1/3Mn2/3O2 cathode material with excellent rate and cycling performance for sodium-ion batteries[J]. Journal of The Electrochemical Society, 2019,166(16):A3980-A3986. doi: 10.1149/2.0211916jes
    [10] WU X, WU C, WEI C, et al. Highly crystallized Na2CoFe(CN)6 with suppressed lattice defects as superior cathode material for sodium-ion batteries[J]. Acs Applied Materials & Interfaces, 2016,8(8):5393.
    [11] MUKHERJEE A, SHARABANI T, PERELSHTEIN I, et al. Three-sodium ion activity of hollow spherical Na3V2(PO4)2F3 cathode: new aspects on high capacity and stability[J]. Batteries & Supercaps, 2019,3(1):52-55.
    [12] WANG D, WU Y, LÜ J, et al. Carbon encapsulated maricite NaFePO4 nanoparticles as cathode material for sodium-ion batteries[J]. Colloids and Surfaces A Physicochemical and Engineering Aspects, 2019,583:123957. doi: 10.1016/j.colsurfa.2019.123957
    [13] ZHU C, SONG K, AKEN P A V, et al. Carbon-coated Na3V2(PO4)3 embedded in porous carbon matrix: an ultrafast Na-storage cathode with the potential of outperforming Li cathodes[J]. Nano Letters, 2014,14(4):2175-2180. doi: 10.1021/nl500548a
    [14] WANG Y, ZHANG X, HE W, et al. A review for the synthesis methods of lithium vanadium phosphate cathode materials[J]. Journal of Materials Science: Materials in Electronics, 2017,28(24):18269-18295. doi: 10.1007/s10854-017-7834-1
    [15] WANG K, YAO Z C, MA B Z, et al. Current status and research progress of vanadium deposition process[J]. Hebei Metallurgy, 2023(10):1-7. (王宽, 姚志超, 马保中, 等. 沉钒工艺现状和研究进展[J]. 河北冶金, 2023(10):1-7.

    WANG K, YAO Z C, MA B Z, et al. Current status and research progress of vanadium deposition process[J]. Hebei Metallurgy, 2023(10): 1-7.
    [16] LIM S J, HAN D W, NAM D H, et al. Structural enhancement of Na3V2(PO4)3/C composite cathode materials by pillar ion doping for high power and long cycle life sodium-ion batteries[J]. Journal of Materials Chemistry A, 2014,2(46):19623-19632. doi: 10.1039/C4TA03948C
    [17] WANG M Y, GUO J Z, WANG Z W, et al. Isostructural and multivalent anion substitution toward improved phosphate cathode materials for sodium-ion batteries[J]. Small, 2020,16(16):e1907645. doi: 10.1002/smll.201907645
    [18] SHEN W, LI H, GUO Z, et al. Improvement on high-rate performance of Mn-doped Na3V2(PO4)3/C as cathode materials for sodium ion batteries[J]. RSC Advances, 2016,6(75):71581-71588. doi: 10.1039/C6RA16515J
    [19] ZHU Y L. Preparation and modification of sodium vanadium phosphate positive electrode material for sodium ion batteries[D]. Harbin: Harbin Institute of Technology, 2020. (朱昱龙. 钠离子电池磷酸钛钒钠正极材料的制备及改性研究[D]. 哈尔滨: 哈尔滨工业大学, 2020.

    ZHU Y L. Preparation and modification of sodium vanadium phosphate positive electrode material for sodium ion batteries[D]. Harbin: Harbin Institute of Technology, 2020.
    [20] ZHANG B W. Preparation and sodium storage properties of Na3V2(PO4)3 as positive electrode material for sodium ion batteries[D]. Tangshan: North China University of Science and Technology, 2021. (张博文. 钠离子电池正极材料Na3V2(PO4)3的制备及储钠性能研究[D]. 唐山: 华北理工大学, 2021.

    ZHANG B W. Preparation and sodium storage properties of Na3V2(PO4)3 as positive electrode material for sodium ion batteries[D]. Tangshan: North China University of Science and Technology, 2021.
    [21] YAN W X, WANG X J, HAN Y, et al. Green large-scale preparation of Na3V2(PO4)3 with good rate capability and long cycling lifespan for sodium-ion batteries[J]. ACS Sustainable Chem. Eng, 2024,12(6):2394-2403. doi: 10.1021/acssuschemeng.3c07336
  • 加载中
图(6) / 表(2)
计量
  • 文章访问数:  139
  • HTML全文浏览量:  59
  • PDF下载量:  21
  • 被引次数: 0
出版历程
  • 收稿日期:  2024-07-18
  • 网络出版日期:  2025-04-30
  • 刊出日期:  2025-04-30

目录

    /

    返回文章
    返回