中文核心期刊

SCOPUS 数据库收录期刊

中国科技核心期刊

美国《化学文摘》来源期刊

中国优秀冶金期刊

美国EBSCO数据库收录期刊

RCCSE中国核心学术期刊

美国《剑桥科学文摘》来源期刊

中国应用核心期刊(CACJ)

美国《乌利希期刊指南》收录期刊

中国学术期刊综合评价统计源刊

俄罗斯《文摘杂志》来源期刊

优秀中文科技期刊(西牛计划)

日本《科学技术文献数据库》(JST)收录刊

留言板

尊敬的读者、作者、审稿人, 关于本刊的投稿、审稿、编辑和出版的任何问题, 您可以本页添加留言。我们将尽快给您答复。谢谢您的支持!

姓名
邮箱
手机号码
标题
留言内容
验证码

ER70-Ti钢结晶器保护渣渣膜分布数值模拟

王杏娟 孔麒畅 朴占龙 朱立光 魏天烁

王杏娟, 孔麒畅, 朴占龙, 朱立光, 魏天烁. ER70-Ti钢结晶器保护渣渣膜分布数值模拟[J]. 钢铁钒钛, 2025, 46(2): 127-133. doi: 10.7513/j.issn.1004-7638.2025.02.018
引用本文: 王杏娟, 孔麒畅, 朴占龙, 朱立光, 魏天烁. ER70-Ti钢结晶器保护渣渣膜分布数值模拟[J]. 钢铁钒钛, 2025, 46(2): 127-133. doi: 10.7513/j.issn.1004-7638.2025.02.018
WANG Xingjuan, KONG Qichang, PIAO Zhanlong, ZHU Liguang, WEI Tianshuo. Numerical simulation of slag film distribution in protective slag of ER70-Ti steel crystalliser[J]. IRON STEEL VANADIUM TITANIUM, 2025, 46(2): 127-133. doi: 10.7513/j.issn.1004-7638.2025.02.018
Citation: WANG Xingjuan, KONG Qichang, PIAO Zhanlong, ZHU Liguang, WEI Tianshuo. Numerical simulation of slag film distribution in protective slag of ER70-Ti steel crystalliser[J]. IRON STEEL VANADIUM TITANIUM, 2025, 46(2): 127-133. doi: 10.7513/j.issn.1004-7638.2025.02.018

ER70-Ti钢结晶器保护渣渣膜分布数值模拟

doi: 10.7513/j.issn.1004-7638.2025.02.018
基金项目: 国家自然科学基金项目(52374335,51974133,52304350);河北省基本科研业务费资助项目(JST2022002);唐山市科技计划资助项目(23130204E)
详细信息
    作者简介:

    王杏娟,1978年出生,女,河北邢台人,博士,教授,长期从事冶金工程及连铸方面的基础研究工作,E-mail:wxingjuan@ncst.edu.cn

  • 中图分类号: TF777

Numerical simulation of slag film distribution in protective slag of ER70-Ti steel crystalliser

  • 摘要:

    CaO-Al2O3-TiO2基专用保护渣有效解决了ER70-Ti钢生产中的钢渣界面反应严重的难题,但是否能形成合理结构的液/固渣膜,对于进一步提升铸坯质量意义重大。文中利用有限元软件建立了ER70-Ti钢连铸结晶器传热模型及渣膜传热模型,分析了结晶器内液/固渣膜沿拉坯方向的不均匀分布,并探讨了拉速、浇注温度等工艺参数对液态渣膜分布的影响。结果表明:在结晶器出口处,铸坯侧的渣膜温度范围为777.87~

    1113.3

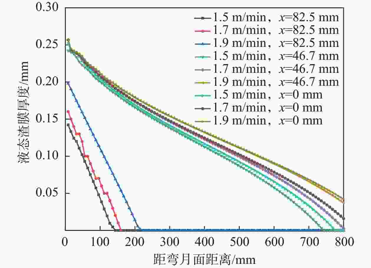
    ℃;结晶器侧渣膜温度较低,为89.92~450.54 ℃。沿拉坯方向,液态渣膜的厚度逐渐减小,而固态渣膜厚度逐渐增加,最大厚度可达1.168 mm。进一步分析发现,拉速的提高有利于增大液态渣膜的厚度,拉速每提高0.2 m/min,液态润滑区的长度平均可延长40 mm。当浇注温度从

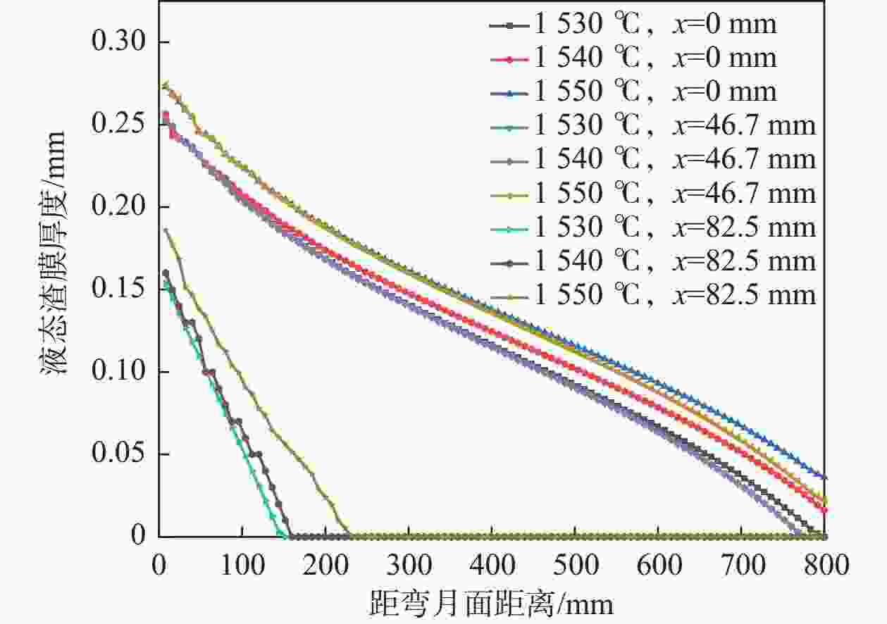
    1530

    ℃升高到

    1550

    ℃时,表面中心处液态渣膜厚度从0.252 mm增加到0.272 mm,结晶器出口处液态渣膜厚度从0 mm增加到0.036 mm。

  • 图  1  切片建模示意

    (a)铸坯计算流程;(b)1/4铸坯模型

    Figure  1.  Schematic of slice modelling

    图  2  有限元网格划分

    Figure  2.  Finite element meshing

    图  3  渣膜传热模型

    Figure  3.  Slag film heat transfer model

    图  4  渣膜横向温度梯度

    Figure  4.  Slag film transverse temperature gradient

    图  5  渣膜坐标位置

    Figure  5.  Slag film coordinates location

    图  6  渣膜温度分布

    (a) 铸坯侧;(b) 结晶器侧

    Figure  6.  Slag film temperature distribution

    图  7  液态渣膜沿浇铸方向厚度变化

    Figure  7.  Thickness variation of liquid slag film along casting direction

    图  8  固态渣膜沿浇铸方向的厚度变化

    Figure  8.  Thickness variation of solid slag film along the casting direction

    图  9  拉速对液态渣膜厚度的影响

    Figure  9.  Effect of drawing speed on slag film thickness

    图  10  浇注温度对液态渣膜厚度的影响

    Figure  10.  Effect of casting temperature on the thickness of liquid slag film

    表  1  ER70-Ti钢成分

    Table  1.   ER70-Ti steel composition %

    CSiMnSPNiMoCrTi
    0.07~0.090.48~0.581.58~1.68≤0.008≤0.010.8~0.90.38~0.390.18~0.280.09~0.12
    下载: 导出CSV

    表  2  保护渣的物性参数

    Table  2.   Physical parameters of protective slag

    熔化
    温度/℃
    黏度/
    (Pa·s)
    热阻/
    (W·m−2·℃−1)
    密度/
    (kg·m−3)
    导热系数/
    (W·m−1·K−1)
    1 070 0.37 1.34 1 500 1.45
    下载: 导出CSV
  • [1] LIU Y Y, CHEN Z Y, JIN T N, et al. Current status and outlook of the development of high temperature titanium alloys at 600 ℃[J]. Materials Herald, 2018,32(11):1863-1869. (刘莹莹, 陈子勇, 金头男, 等. 600 ℃高温钛合金发展现状与展望[J]. 材料导报, 2018,32(11):1863-1869. doi: 10.11896/j.issn.1005-023X.2018.11.013

    LIU Y Y, CHEN Z Y, JIN T N, et al. Current status and outlook of the development of high temperature titanium alloys at 600 ℃[J]. Materials Herald, 2018, 32(11): 1863-1869. doi: 10.11896/j.issn.1005-023X.2018.11.013
    [2] WANG X J, JIN H B, ZHU L G, et al. Influence of titanium content in steel on slag-gold reaction in continuous casting mould[J]. Iron and Steel, 2020,55(12):46-55. (王杏娟, 靳贺斌, 朱立光, 等. 钢中钛含量对连铸结晶器内渣金反应的影响[J]. 钢铁, 2020,55(12):46-55.

    WANG X J, JIN H B, ZHU L G, et al. Influence of titanium content in steel on slag-gold reaction in continuous casting mould[J]. Iron and Steel, 2020, 55(12): 46-55.
    [3] ZHU L G, ZHANG X S, LIU Z X, et al. Analysis and control of transverse cracks on the surface of ER70-Ti steel casting billets[J]. Iron Steel Vanadium Titanium, 2020,41(3):166-171. (朱立光, 张晓仕, 刘增勋, 等. ER70-Ti钢铸坯表面横向裂纹分析及控制[J]. 钢铁钒钛, 2020,41(3):166-171. doi: 10.7513/j.issn.1004-7638.2020.03.029

    ZHU L G, ZHANG X S, LIU Z X, et al. Analysis and control of transverse cracks on the surface of ER70-Ti steel casting billets[J]. Iron Steel Vanadium Titanium, 2020, 41(3): 166-171. doi: 10.7513/j.issn.1004-7638.2020.03.029
    [4] WANG X J, WANG Y, ZHU L G, et al. Composition design of low reactivity continuous casting slag for high titanium steel[J]. Iron Steel Vanadium Titanium, 2022,43(4):134-141. (王杏娟, 王宇, 朱立光, 等. 高钛钢专用低反应性连铸保护渣成分设计[J]. 钢铁钒钛, 2022,43(4):134-141. doi: 10.7513/j.issn.1004-7638.2022.04.021

    WANG X J, WANG Y, ZHU L G, et al. Composition design of low reactivity continuous casting slag for high titanium steel[J]. Iron Steel Vanadium Titanium, 2022, 43(4): 134-141. doi: 10.7513/j.issn.1004-7638.2022.04.021
    [5] PIAO Z L, WANG X J, ZHANG C J, et al. Behaviour of steel-slag interface reaction in continuous casting crystallizer of high titanium steel[J]. Iron and Steel, 2022,57(3):61-70. (朴占龙, 王杏娟, 张彩军, 等. 高钛钢连铸结晶器内钢-渣界面反应行为[J]. 钢铁, 2022,57(3):61-70.

    PIAO Z L, WANG X J, ZHANG C J, et al. Behaviour of steel-slag interface reaction in continuous casting crystallizer of high titanium steel[J]. Iron and Steel, 2022, 57(3): 61-70.
    [6] PIAO Z L. Development and metallurgical characterisation of CaO-Al2O3-TiO2 based protective slag for high titanium steel [D]. Beijing: University of Science and Technology Beijing, 2021. (朴占龙. CaO-Al2O3-TiO2基高钛钢用保护渣开发及冶金特性研究[D]. 北京: 北京科技大学, 2021.

    PIAO Z L. Development and metallurgical characterisation of CaO-Al2O3-TiO2 based protective slag for high titanium steel [D]. Beijing: University of Science and Technology Beijing, 2021.
    [7] MENG Y, THOMAS B G. Heat-transfer and solidification model of continuous slab casting: CON1D[J]. Metallurgical and materials transactions B, 2003,34:685-705.
    [8] SARASWAT R, MAIJER D M. The effect of mould flux properties on thermo-mechanical behaviour during billet continuous casting[J]. ISIJ international, 1999,47(1):95-104.
    [9] HAN H N, LEE J E, YEO T J. A finite element model for 2-dimensional slice of cast strand[J]. ISIJ international, 1999,39(5):445-454. doi: 10.2355/isijinternational.39.445
    [10] CAI Z Z, ZHU M Y. Study on thermal behaviour of steel solidification process in slab continuous casting mould Ⅰ. Mathematical modelling[J]. Journal of Metals, 2011,47(6):669-675. (蔡兆镇, 朱苗勇. 板坯连铸结晶器内钢凝固过程热行为研究Ⅰ. 数学模型[J]. 金属学报, 2011,47(6):669-675.

    CAI Z Z, ZHU M Y. Study on thermal behaviour of steel solidification process in slab continuous casting mould Ⅰ. Mathematical modelling[J]. Journal of Metals, 2011, 47(6): 669-675.
    [11] NIU Z Y, CAI Z Z, ZHU M Y. Dynamic distributions of mold flux and air gap in slab continuous casting mold[J]. ISIJ International, 2019,59(2):283-292. doi: 10.2355/isijinternational.ISIJINT-2018-609
    [12] YANG J, CHEN D F, LONG M J, et al. An approach for modelling slag infiltration and heat transfer in continuous casting mold for high Mn–high Al steel[J]. Metals, 2019,10(1):51. doi: 10.3390/met10010051
    [13] SHAO K K. Research on cavity design of new billet continuous casting mould [D]. Qinhuangdao: Yanshan University, 2018. (邵凯凯. 新型方坯连铸结晶器腔形设计研究[D]. 秦皇岛: 燕山大学, 2018.

    SHAO K K. Research on cavity design of new billet continuous casting mould [D]. Qinhuangdao: Yanshan University, 2018.
    [14] SAVAGE J, PRITCHARD W H. The problem of rupture of the billet in the continuous casting of steel[J]. Journal of the Iron and Steel Institute, 1954,178(3):269-277.
    [15] HU P H. Study on numerical calculation of protective slag slag film/air gap and its thermal resistance in crystalliser[D]. Dalian: Dalian University of Technology, 2018. (胡鹏宏. 结晶器保护渣渣膜/气隙及其热阻数值计算研究[D]. 大连: 大连理工大学, 2018.

    HU P H. Study on numerical calculation of protective slag slag film/air gap and its thermal resistance in crystalliser[D]. Dalian: Dalian University of Technology, 2018.
  • 加载中
图(10) / 表(2)
计量
  • 文章访问数:  139
  • HTML全文浏览量:  72
  • PDF下载量:  9
  • 被引次数: 0
出版历程
  • 收稿日期:  2024-04-02
  • 网络出版日期:  2025-04-30
  • 刊出日期:  2025-04-30

目录

    /

    返回文章
    返回