中文核心期刊

SCOPUS 数据库收录期刊

中国科技核心期刊

美国《化学文摘》来源期刊

中国优秀冶金期刊

美国EBSCO数据库收录期刊

RCCSE中国核心学术期刊

美国《剑桥科学文摘》来源期刊

中国应用核心期刊(CACJ)

美国《乌利希期刊指南》收录期刊

中国学术期刊综合评价统计源刊

俄罗斯《文摘杂志》来源期刊

优秀中文科技期刊(西牛计划)

日本《科学技术文献数据库》(JST)收录刊

留言板

尊敬的读者、作者、审稿人, 关于本刊的投稿、审稿、编辑和出版的任何问题, 您可以本页添加留言。我们将尽快给您答复。谢谢您的支持!

姓名
邮箱
手机号码
标题
留言内容
验证码

Al2O3含量对低碱度精炼渣微观结构与性能的影响

黄永生 吕子宇 顾超 包燕平

黄永生, 吕子宇, 顾超, 包燕平. Al2O3含量对低碱度精炼渣微观结构与性能的影响[J]. 钢铁钒钛, 2025, 46(2): 134-141. doi: 10.7513/j.issn.1004-7638.2025.02.019
引用本文: 黄永生, 吕子宇, 顾超, 包燕平. Al2O3含量对低碱度精炼渣微观结构与性能的影响[J]. 钢铁钒钛, 2025, 46(2): 134-141. doi: 10.7513/j.issn.1004-7638.2025.02.019
HUANG Yongsheng, LÜ Ziyu, GU Chao, BAO Yanping. The influence of Al2O3 content on the microstructure and properties of low basicity refining slag[J]. IRON STEEL VANADIUM TITANIUM, 2025, 46(2): 134-141. doi: 10.7513/j.issn.1004-7638.2025.02.019
Citation: HUANG Yongsheng, LÜ Ziyu, GU Chao, BAO Yanping. The influence of Al2O3 content on the microstructure and properties of low basicity refining slag[J]. IRON STEEL VANADIUM TITANIUM, 2025, 46(2): 134-141. doi: 10.7513/j.issn.1004-7638.2025.02.019

Al2O3含量对低碱度精炼渣微观结构与性能的影响

doi: 10.7513/j.issn.1004-7638.2025.02.019
基金项目: 国家自然科学基金(52174297);广东省基础与应用基础研究基金(2022A1515110062);青年人才托举工程(2022QNRC001)。
详细信息
    作者简介:

    黄永生,1977年出生,男,江苏常州人,本科,工程师,主要从事钢液的洁净化与夹杂物去除的研究, E-mail:15210951549@sina.cn

    通讯作者:

    包燕平,1963年出生,男,北京人,博士,教授,主要从事二次精炼和中间包冶金的研究, E-mail:baoyp@ustb.edu.cn

  • 中图分类号: TF703.6

The influence of Al2O3 content on the microstructure and properties of low basicity refining slag

  • 摘要:

    探讨了低碱度精炼渣系CaO-MgO-Al2O3-SiO2中Al2O3含量对其微观结构和性能的影响。采用分子动力学模拟方法,系统地分析了不同Al2O3含量对低碱度精炼渣系的微观结构与性质的影响。结果表明,Al2O3含量的增加对体系的径向分布函数、配位数和键角等无明显影响,但显著降低了体系的FO和NBO含量,强化了体系的网络结构。此外,Al2O3含量的增加使渣系中元素的扩散能力降低,扩散能力的顺序为Mg2+>Ca2+>Al3+>O2−>Si4+。随着Al2O3质量分数的增加,渣系黏度逐渐增大,这与扩散系数的变化趋势相反。该结果建立了低碱度渣系结构与性能之间的联系,为非铝脱氧工艺采用适合的低碱度渣提供了理论支撑。

  • 图  1  目标渣系在相图上的分布示意

    Figure  1.  Schematic diagram of the distribution of the target slag system on the phase diagram

    图  2  不同Al2O3含量的硅铝酸盐渣系的网状结构示意

    (a)Al2O3含量0;(b)Al2O3含量30%

    Figure  2.  Schematic diagram of the network structure of aluminosilicate slag system with different Al2O3 contents

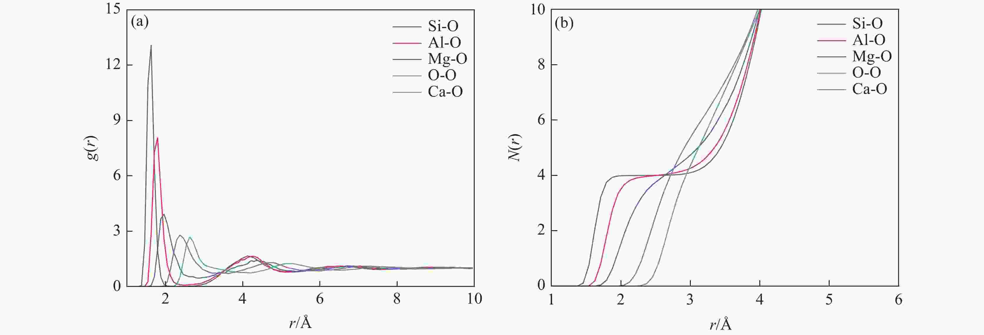
    图  3  A6模型的离子-O的RDF曲线和配位曲线(1 Å=0.1 mm)

    (a)RDF曲线;(b)配位曲线

    Figure  3.  RDF curves and coordination curves of ions-O in A6 model

    图  4  不同Al2O3含量下硅铝酸盐渣系中Si-O和Al-O的配位数变化

    Figure  4.  Changes in coordination number of Si-O and Al-O in aluminosilicate slag systems with different Al2O3 contents

    (a)Si-O;(b)Al-O

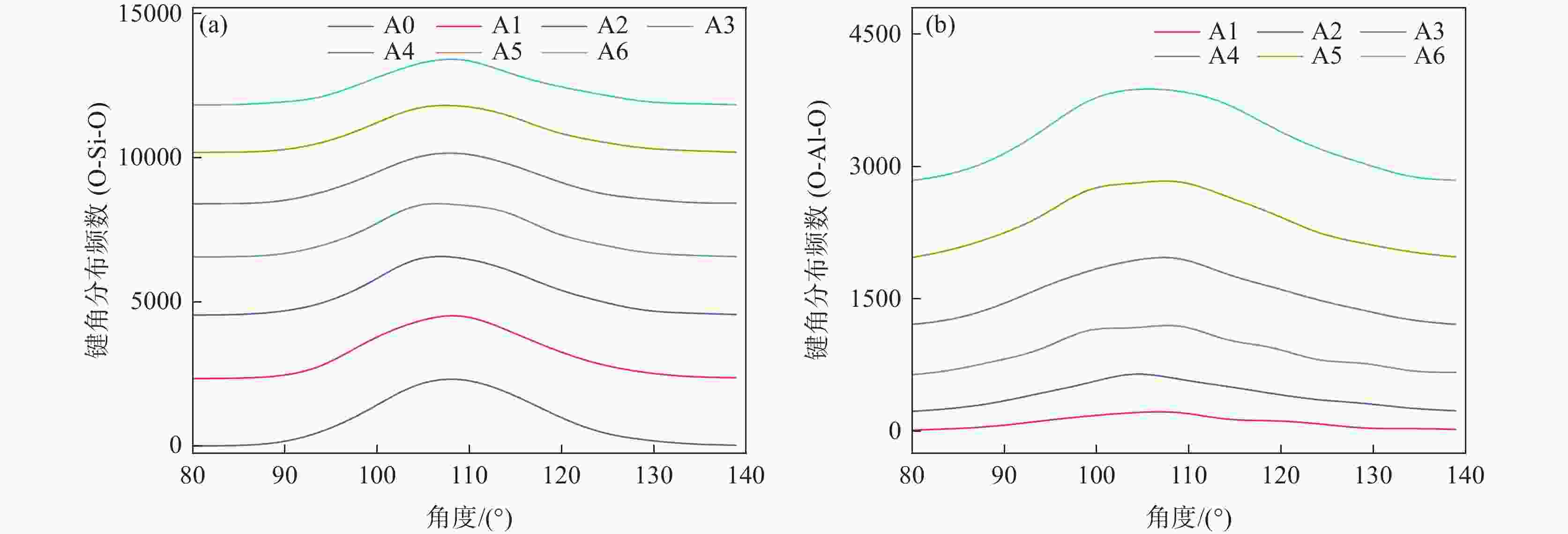
    图  5  不同Al2O3含量对渣系的键角特征影响

    Figure  5.  Effect of different Al2O3 contents on the bond angle characteristics of slag systems

    (a)O-Si-O;(b)O-Al-O

    图  6  不同Al2O3含量下硅铝酸盐渣系中各类型氧含量变化

    Figure  6.  Changes in the contents of various types of oxygen in aluminosilicate slag systems with different Al2O3 contents

    图  7  不同Al2O3含量下硅铝酸盐渣系中各具体类型氧含量变化

    (a)非桥氧;(b)桥氧;(c)三配位氧

    Figure  7.  Changes in the contents of specific types of oxygen in aluminosilicate slag systems with different Al2O3 contents

    图  8  Al2O3含量对体系中离子和熔渣整体扩散系数的影响

    Figure  8.  Effect of Al2O3 content on the diffusion coefficient of ions and the overall slag in the system

    图  9  Al2O3含量对体系局部结构影响微观示意

    Figure  9.  Microscopic schematic diagram of the influence of Al2O3 content on the local structure of the system

    图  10  不同Al2O3含量对渣系黏度的影响

    Figure  10.  Viscosity variation curves of slag systems corresponding to different Al2O3 contents

    表  2  原子有效电荷和Buckingham势函数参数[14]

    Table  2.   Atomic effective charge and Buckingham potential function parameters

    元素 原子有效电荷/e Buckingham势函数参数
    Aij /eV ρij Cij /eV·Å6
    Si +2.4 13702.91 0.193817 54.681
    Al +1.8 12201.42 0.195628 31.997
    Ca +1.2 7747.183 0.252623 93.109
    Mg +1.2 7063.4907 0.210901 19.210
    O −1.2 2029.22 0.343645 192.58
    注:1 Å=0.1 nm
    下载: 导出CSV

    表  1  渣系成分

    Table  1.   Slag compositions %

    模型CaOAl2O3SiO2MgO
    A047.5047.55
    A1455455
    A242.51042.55
    A34015405
    A437.52037.55
    A53525355
    A632.53032.55
    下载: 导出CSV
  • [1] WANG Z L, BAO Y P, GU C, et al. Control of Ds inclusions in GCr15 bearing steel based on non-aluminum deoxidation process[J]. Special Steel, 2022,43(6):8-12. (王仲亮, 包燕平, 顾超, 等. 基于非铝脱氧工艺的GCr15轴承钢中Ds类夹杂物控制[J]. 特殊钢, 2022,43(6):8-12.

    WANG Z L, BAO Y P, GU C, et al. Control of Ds inclusions in GCr15 bearing steel based on non-aluminum deoxidation process[J]. Special Steel, 2022, 43(6): 8-12.
    [2] XIAO W, BAO Y P, WANG M, et al. Inclusions evolution and control of non-aluminum deoxidized GCr15 bearing steel[J]. Iron and Steel, 2021,56(1):37-42. (肖微, 包燕平, 王敏, 等. 非铝脱氧GCr15轴承钢的夹杂物演变和控制[J]. 钢铁, 2021,56(1):37-42.

    XIAO W, BAO Y P, WANG M, et al. Inclusions evolution and control of non-aluminum deoxidized GCr15 bearing steel[J]. Iron and Steel, 2021, 56(1): 37-42.
    [3] GU C, WANG Z L, XIAO W, et al. Research status and progress on cleanliness of high-fatigue-life bearing steels[J]. Chinese Journal of Engineering, 2021,43(3):299-310. (顾超, 王仲亮, 肖微, 等. 高疲劳寿命轴承钢洁净度现状及研究进展[J]. 工程科学学报, 2021,43(3):299-310.

    GU C, WANG Z L, XIAO W, et al. Research status and progress on cleanliness of high-fatigue-life bearing steels[J]. Chinese Journal of Engineering, 2021, 43(3): 299-310.
    [4] WANG Z L, BAO Y P, GU C, et al. Key metallurgical technology for high-quality bearing steel production based on the nonaluminum deoxidation process [J]. Chinese Journal of Engineering, 2022; 44(9): 1607-1619. (王仲亮, 包燕平, 顾超, 等. 基于非铝脱氧工艺的高品质轴承钢关键冶金技术研究[J]. 工程科学学报. 2022; 44(9): 1607-1619.

    WANG Z L, BAO Y P, GU C, et al. Key metallurgical technology for high-quality bearing steel production based on the nonaluminum deoxidation process [J]. Chinese Journal of Engineering, 2022; 44(9): 1607-1619.
    [5] LIU C W, ZHANG H, CAO L, et al. Effect of VD low basicity slag on inclusions of GCr15 bearing steel[J]. Special Steel, 2023,44(6):78-82. (刘春伟, 张昊, 曹磊, 等. VD低碱度渣对GCr15轴承钢夹杂物的影响[J]. 特殊钢, 2023,44(6):78-82.

    LIU C W, ZHANG H, CAO L, et al. Effect of VD low basicity slag on inclusions of GCr15 bearing steel[J]. Special Steel, 2023, 44(6): 78-82.
    [6] MA T W, NIU Z G, BAI Z Y, et al. Deoxidation effects of EAF-CAB basic slag treatment on ball-bearing steel[J]. Iron and Steel, 1990(6):24-29. (马廷温, 牛正刚, 白增玉, 等. EAF-CAB-低碱度渣处理轴承钢脱氧效果的研究[J]. 钢铁, 1990(6):24-29.

    MA T W, NIU Z G, BAI Z Y, et al. Deoxidation effects of EAF-CAB basic slag treatment on ball-bearing steel[J]. Iron and Steel, 1990(6): 24-29.
    [7] XU T. Research on inclusion control of bearing steel low-basicity slag refining process [D]. Anshan: University of Science and Technology Liaoning, 2021. (许涛. 轴承钢低碱度渣精炼过程夹杂物控制研究 [D]. 鞍山: 辽宁科技大学 2021.

    XU T. Research on inclusion control of bearing steel low-basicity slag refining process [D]. Anshan: University of Science and Technology Liaoning, 2021.
    [8] CAO Y R, XU B, WANG Z Z, et al. Molecular dynamics simulation of effect of Al2O3 on structure and viscosity of molten blast furnace slag[J]. Sintering and Pelletizing, 2022,47(6):57-65. (曹亚然, 徐博, 王铮铮, 等. Al2O3对熔融态高炉渣结构与黏度影响的分子动力学模拟[J]. 烧结球团, 2022,47(6):57-65.

    CAO Y R, XU B, WANG Z Z, et al. Molecular dynamics simulation of effect of Al2O3 on structure and viscosity of molten blast furnace slag[J]. Sintering and Pelletizing, 2022, 47(6): 57-65.
    [9] HU J, YAO M C, ZHONG T, et al. Effect of B2O3 on Microstructure and transport properties of melt titanium-containing blast furnace slag[J]. Nonferrous Metals, 2024(1):41-53. (胡金, 姚明灿, 钟通, 等. B2O3对含钛高炉渣熔体微观结构与输运性质的影响[J]. 有色金属(冶炼部分), 2024(1):41-53.

    HU J, YAO M C, ZHONG T, et al. Effect of B2O3 on Microstructure and transport properties of melt titanium-containing blast furnace slag[J]. Nonferrous Metals, 2024(1): 41-53.
    [10] SUN T. Microstructure and viscosity characteristics analysis of red mud based microcrystalline glass[D]. Jinan: Shandong Jianzhu University, 2023. (孙涛. 赤泥基微晶玻璃的微观结构及其粘度特性分析[D]. 济南: 山东建筑大学, 2023.

    SUN T. Microstructure and viscosity characteristics analysis of red mud based microcrystalline glass[D]. Jinan: Shandong Jianzhu University, 2023.
    [11] WU T, WANG QIAN, YU C F, et al. Structural and viscosity properties of CaO-SiO2-Al2O3-FeO slags based on molecular dynamic simulation[J]. J Non-Cryst Solids, 2016,450:23-31. doi: 10.1016/j.jnoncrysol.2016.07.024
    [12] GU C, LÜ Z Y, BAO Y P. Size-dependent dissolution behavior of CaO in the CaO-SiO2-FeO slag system: A molecular dynamics study[J]. J Mol Liq, 2022,367:120488. doi: 10.1016/j.molliq.2022.120488
    [13] JIANG C H, LI K J, ZHANG J L, et al. Molecular dynamics simulation on the effect of MgO/Al2O3 ratio on structure and properties of blast furnace slag under different basicity conditions[J]. Metall Mater Trans B, 2019,50:367-375. doi: 10.1007/s11663-018-1450-1
    [14] GU G X, LIU X, ZHANG L L, et al. Mixed alkaline earth effect on the structure and elastic modulus of CaO-MgO-Al2O3-SiO2 glasses: A molecular dynamics simulation[J]. J Non-Cryst Solids, 2023,600:122027. doi: 10.1016/j.jnoncrysol.2022.122027
    [15] THOMPSON A P, AKTULGA H M, BERGER R, et al. LAMMPS-a flexible simulation tool for particle-based materials modeling at the atomic, meso, and continuum scales[J]. Comput Phys Commun, 2022,271:108171. doi: 10.1016/j.cpc.2021.108171
    [16] MÜLLER-PLATHE F. Reversing the perturbation in nonequilibrium molecular dynamics: An easy way to calculate the shear viscosity of fluids[J]. Phys Rev E, 1999,59(5):4894. doi: 10.1103/PhysRevE.59.4894
    [17] ZHANG G H, CHOU K, MILLS K. A structurally based viscosity model for oxide melts[J]. Metall Mater Trans B, 2014,45:698-706.
  • 加载中
图(10) / 表(2)
计量
  • 文章访问数:  119
  • HTML全文浏览量:  56
  • PDF下载量:  13
  • 被引次数: 0
出版历程
  • 收稿日期:  2024-10-18
  • 网络出版日期:  2025-04-30
  • 刊出日期:  2025-04-30

目录

    /

    返回文章
    返回