中文核心期刊

SCOPUS 数据库收录期刊

中国科技核心期刊

美国《化学文摘》来源期刊

中国优秀冶金期刊

美国EBSCO数据库收录期刊

RCCSE中国核心学术期刊

美国《剑桥科学文摘》来源期刊

中国应用核心期刊(CACJ)

美国《乌利希期刊指南》收录期刊

中国学术期刊综合评价统计源刊

俄罗斯《文摘杂志》来源期刊

优秀中文科技期刊(西牛计划)

日本《科学技术文献数据库》(JST)收录刊

留言板

尊敬的读者、作者、审稿人, 关于本刊的投稿、审稿、编辑和出版的任何问题, 您可以本页添加留言。我们将尽快给您答复。谢谢您的支持!

姓名
邮箱
手机号码
标题
留言内容
验证码

镍基高温合金动态再结晶组织演化的三维元胞自动机模拟

宫迎慧 丁浩晨 王英虎 张驰 张立文 盛振东 郑淮北 王市均

宫迎慧, 丁浩晨, 王英虎, 张驰, 张立文, 盛振东, 郑淮北, 王市均. 镍基高温合金动态再结晶组织演化的三维元胞自动机模拟[J]. 钢铁钒钛, 2025, 46(2): 151-158. doi: 10.7513/j.issn.1004-7638.2025.02.021
引用本文: 宫迎慧, 丁浩晨, 王英虎, 张驰, 张立文, 盛振东, 郑淮北, 王市均. 镍基高温合金动态再结晶组织演化的三维元胞自动机模拟[J]. 钢铁钒钛, 2025, 46(2): 151-158. doi: 10.7513/j.issn.1004-7638.2025.02.021
GONG Yinghui, DING Haochen, WANG Yinghu, ZHANG Chi, ZHANG Liwen, SHENG Zhendong, ZHENG Huaibei, WANG Shijun. 3D cellular automaton simulation of the dynamic recrystallization microstructure evolution for a nickel-based superalloy[J]. IRON STEEL VANADIUM TITANIUM, 2025, 46(2): 151-158. doi: 10.7513/j.issn.1004-7638.2025.02.021
Citation: GONG Yinghui, DING Haochen, WANG Yinghu, ZHANG Chi, ZHANG Liwen, SHENG Zhendong, ZHENG Huaibei, WANG Shijun. 3D cellular automaton simulation of the dynamic recrystallization microstructure evolution for a nickel-based superalloy[J]. IRON STEEL VANADIUM TITANIUM, 2025, 46(2): 151-158. doi: 10.7513/j.issn.1004-7638.2025.02.021

镍基高温合金动态再结晶组织演化的三维元胞自动机模拟

doi: 10.7513/j.issn.1004-7638.2025.02.021
基金项目: 国家重点研发计划(2019YFA0705300);钒钛资源综合利用产业技术创新战略联盟协同研发项目。
详细信息
    作者简介:

    宫迎慧,1998年出生,女,山东德州人,硕士研究生,主要从事合金塑性加工数值模拟研究工作,E-mail:2276213461@qq.com

    通讯作者:

    张驰,1983年出生,男,辽宁锦州人,博士,副教授,主要从事金属材料塑性加工形性一体化调控研究,E-mail:zhangchi@dlut.edu.cn

  • 中图分类号: TG132.3

3D cellular automaton simulation of the dynamic recrystallization microstructure evolution for a nickel-based superalloy

  • 摘要:

    镍基高温合金在热加工过程中易发生动态再结晶组织演化行为,可以有效细化合金凝固过程形成的粗大柱状晶组织,是调控高温合金锻件质量的理论依据。采用C276镍基高温合金开展了高温热压缩试验,研究了热压缩流变应力曲线特征和微观组织演化规律,在此基础上,开发了镍基高温合金热变形动态再结晶的三维元胞自动机模型。结果表明,镍基高温合金的动态再结晶对变形温度、变形量及变形速率极为敏感,三维元胞自动机模型可以表征动态再结晶形核和晶粒生长的三维空间微观组织拓扑结构演化特征,并计算动态再结晶过程中的加工硬化、动态再结晶软化等力学响应特性。再结晶组织的三维空间组织拓扑结构分析较二维空间表现出一定优势。该模型有助于进一步理解镍基高温合金动态再结晶演化行为,指导热加工过程微观组织的精确调控。

  • 图  1  初始多晶体的三维空间元胞布置及邻居模型

    Figure  1.  3D cell space arrangement and neighbor model of initial polycrystalline

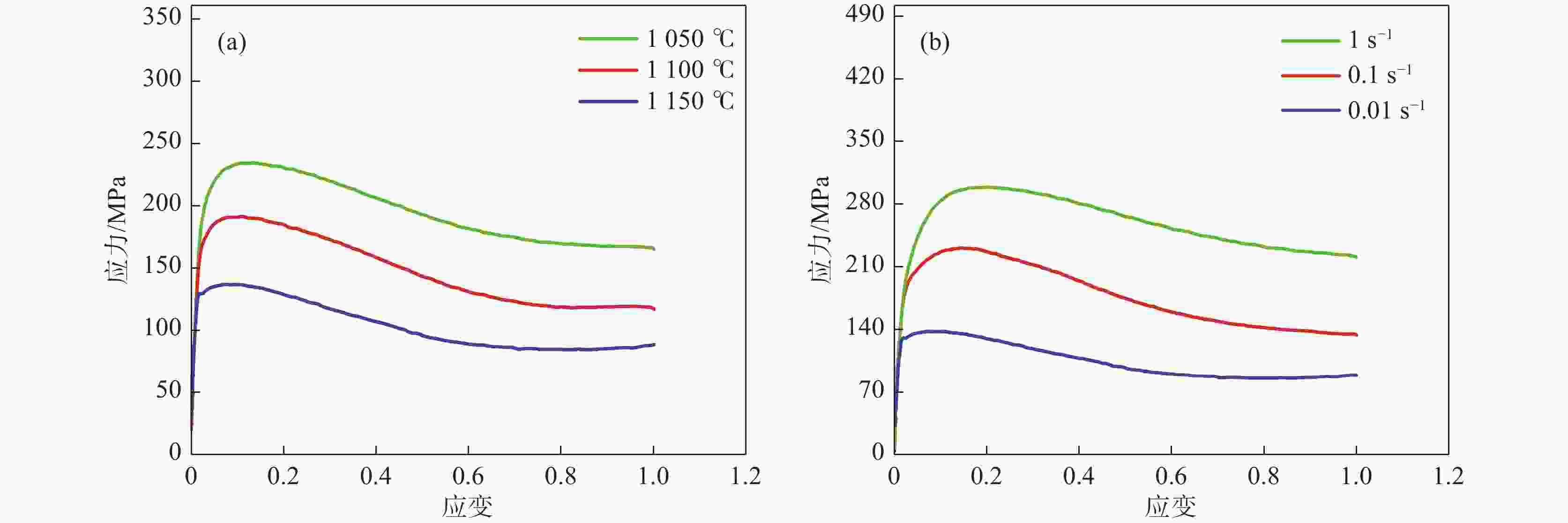
    图  2  C276高温合金高温热压缩的真应力-应变曲线

    Figure  2.  True stress-strain curves of C276 superalloy under high temperature hot compression

    (a) $\dot \varepsilon $=0.01 s−1; (b) T=1150 ℃

    图  3  C276高温合金热压缩后的金相组织

    Figure  3.  Microstructures of C276 superalloy after hot compression tests

    (a) 1 050 ℃, 0.01 s−1; (b) 1 100 ℃, 0.01 s−1; (c) 1 150 ℃, 0.01 s−1; (d) 1 150 ℃, 0.1 s−1

    图  4  C276高温合金热变形过程微观组织演化的元胞自动机模拟结果

    Figure  4.  Microstructure evolution of C276 superalloy during hot compression simulated by 3D cellular automaton model

    (a) ε=0.08; (b) ε=0.25; (c) ε=0.64; (d) ε=1.0

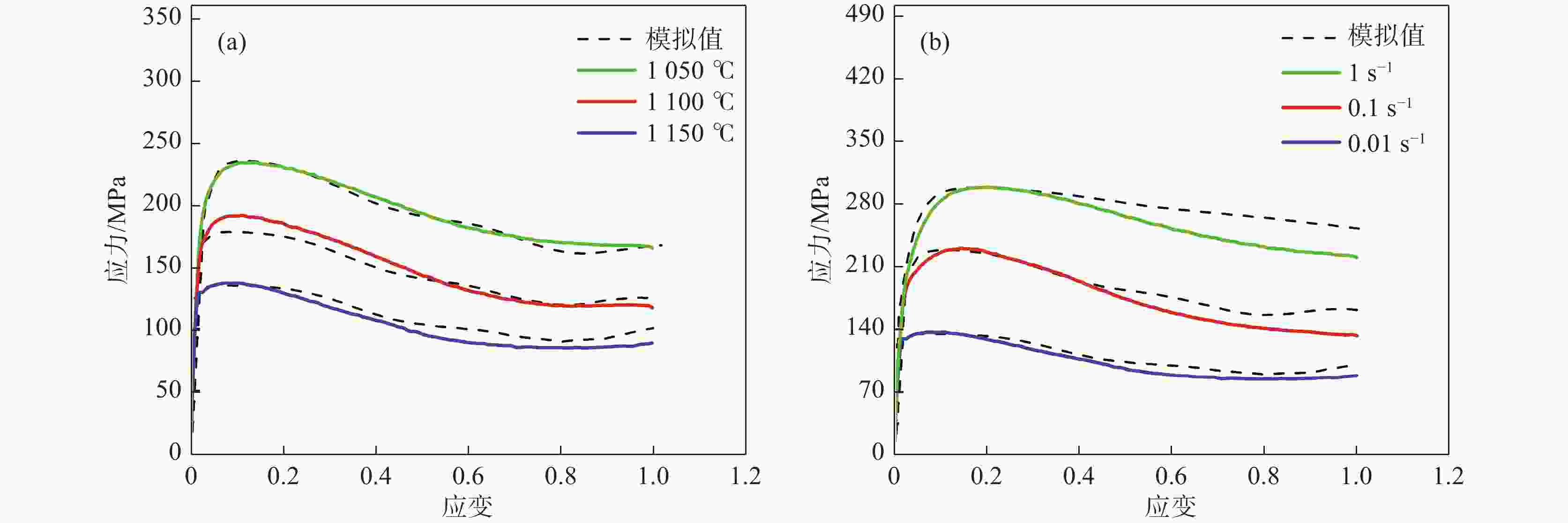
    图  5  三维元胞自动机模型计算的流变应力曲线与试验值对比

    Figure  5.  Comparisons of the flow stress curves between 3D cellular automaton modeling and experiments

    (a) $ \dot{\varepsilon } $=0.01 s−1; (b) T=1 150 ℃

    图  6  镍基高温合金动态再结晶形核和晶粒长大过程跟踪

    Figure  6.  Tracking of the dynamic recrystallization nucleation and grain growth process in nickel-based superalloy

    图  7  三维空间和二维截面的晶粒尺寸分布对比

    Figure  7.  Comparisons of the grain size distribution of 3D space and 2D section

    表  1  三维元胞自动机模型中所采用的材料参数值

    Table  1.   Values of parameters in the developed 3D cellular automaton model

    参数 Tm/℃ Qa/(kJ·mol−1 Qb/(kJ·mol−1 μ0/GPa b/nm υ k/(J·K−1 R/(J·mol−1·K−1 k1 k2
    数值 1325 475 175 78.57 0.25 0.3 1.381×10−23 8.314 $1.058 \times {10^9}{Z^{0.016}}$ $ 6.003 \times {10^3}{Z^{ - 0.12}}$
    下载: 导出CSV
  • [1] JIANG S C. Hot compression deformation behaviors and microstructure evolution of GH4169 alloy[J]. Iron Steel Vanadium Titanium, 2018,39(2):146-152. (蒋世川. GH4169高温合金热变形行为及组织演变[J]. 钢铁钒钛, 2018,39(2):146-152. doi: 10.7513/j.issn.1004-7638.2018.02.025

    JIANG S C. Hot compression deformation behaviors and microstructure evolution of GH4169 alloy[J]. Iron Steel Vanadium Titanium, 2018, 39(2): 146-152. doi: 10.7513/j.issn.1004-7638.2018.02.025
    [2] CHEN F, REN F C. Dynamic recrystallization modeling and simulation of Inconel 718 nickel-based superalloy[J]. Journal of Netshape Forming Engineering, 2021,13(1):61-65. (陈飞, 任发才. Inconel 718镍基高温合金热加工动态再结晶建模与计算[J]. 精密成形工程, 2021,13(1):61-65.

    CHEN F, REN F C. Dynamic recrystallization modeling and simulation of Inconel 718 nickel-based superalloy[J]. Journal of Netshape Forming Engineering, 2021, 13(1): 61-65.
    [3] NING Y Q, YAO Z K, FU M W, et al. Recrystallization of the hot isostatic pressed nickel-base superalloy FGH4096: I. Microstructure and mechanism[J]. Materials Science and Engineering: A, 2011,528:8065-8070. doi: 10.1016/j.msea.2011.07.053
    [4] NING Y Q, FU M W, YAO W. Recrystallization of the hot isostatic pressed nickel-base superalloy FGH4096. II: Characterization and application[J]. Materials Science and Engineering: A, 2012,539:101-106. doi: 10.1016/j.msea.2012.01.065
    [5] LIN Y C, YANG H, HE D G, et al. A physically-based model considering dislocation-solute atom dynamic interactions for a nickel-based superalloy at intermediate temperatures[J]. Materials and Design, 2019,183:108122. doi: 10.1016/j.matdes.2019.108122
    [6] WEN D X, LIN Y C, LI X H, et al. Hot deformation characteristics and dislocation substructure evolution of a nickel-base alloy considering effects of δ phase[J]. Journal of Alloys and Compounds, 2018,764:1008-1020. doi: 10.1016/j.jallcom.2018.06.146
    [7] LIU P, ZHANG R, YUAN Y, et al. Hot deformation behavior and workability of a Ni–Co based superalloy[J]. Journal of Alloys and Compounds, 2020,831:154618. doi: 10.1016/j.jallcom.2020.154618
    [8] WANG M T, ZONG Y P, WANG G. Simulation of grain growth of AZ31 Mg alloy during recrystallization by phase field model[J]. The Chinese Journal of Nonferrous Metals, 2009,19(9):1555-1562. (王明涛, 宗亚平, 王刚. 相场法模拟AZ31镁合金再结晶晶粒长大[J]. 中国有色金属学报, 2009,19(9):1555-1562. doi: 10.3321/j.issn:1004-0609.2009.09.004

    WANG M T, ZONG Y P, WANG G. Simulation of grain growth of AZ31 Mg alloy during recrystallization by phase field model[J]. The Chinese Journal of Nonferrous Metals, 2009, 19(9): 1555-1562. doi: 10.3321/j.issn:1004-0609.2009.09.004
    [9] CHUN Y B, SEMIATIN S L, HWANG S K. Monte Carlo modeling of microstructure evolution during the static recrystallization of cold rolled, commercial-purity titanium[J]. Acta Materialia, 2006,54:3673-3689. doi: 10.1016/j.actamat.2006.03.055
    [10] GOETZ R L, SEETHARAMAN V. Modeling dynamic recrystallization using cellular automata[J]. Scripta Materialia, 1998,38(3):405-413. doi: 10.1016/S1359-6462(97)00500-9
    [11] DING R, GUO Z X. Coupled quantitative simulation of microstructural evolution and plastic flow during dynamic recrystallization[J]. Acta Materialia, 2001,49(16):3163-3175. doi: 10.1016/S1359-6454(01)00233-6
    [12] CHU Z B, ZHANG D, JIANG L Y, et al. Microstructure model of AZ31 magnesium alloy based on cellular automata[J]. Rare Metal Materials and Engineering, 2018,47(3):884-894. (楚志兵, 张铎, 江连运, 等. 基于元胞自动机AZ31镁合金微观组织模型[J]. 稀有金属材料与工程, 2018,47(3):884-894.

    CHU Z B, ZHANG D, JIANG L Y, et al. Microstructure model of AZ31 magnesium alloy based on cellular automata[J]. Rare Metal Materials and Engineering, 2018, 47(3): 884-894.
    [13] CHEN F, ZHU H J, LI J H, et al. Macro and micro simulation of microstructure evolution in discontinuous thermal deformation of large forging parts[J]. Chinese Journal of Plasticity Engineering, 2020,27(5):41-52. (陈飞, 朱华佳, 李佳航, 等. 大锻件非连续热变形组织演变宏微观模拟[J]. 塑性工程学报, 2020,27(5):41-52. doi: 10.3969/j.issn.1007-2012.2020.05.005

    CHEN F, ZHU H J, LI J H, et al. Macro and micro simulation of microstructure evolution in discontinuous thermal deformation of large forging parts[J]. Chinese Journal of Plasticity Engineering, 2020, 27(5): 41-52. doi: 10.3969/j.issn.1007-2012.2020.05.005
    [14] ZHU N Y, XIA Q X, CHENG X Q. Dynamic recrystallization microstructure evolution of Haynes230 alloy based on cellular automata[J]. Journal of Central South University (Science and Technology), 2017,48(9):2316-2323. (朱宁远, 夏琴香, 程秀全. 基于元胞自动机的Haynes230动态再结晶组织演变[J]. 中南大学学报(自然科学版), 2017,48(9):2316-2323.

    ZHU N Y, XIA Q X, CHENG X Q. Dynamic recrystallization microstructure evolution of Haynes230 alloy based on cellular automata[J]. Journal of Central South University (Science and Technology), 2017, 48(9): 2316-2323.
    [15] MECKING H, KOCKS U F. Kinetics of flow and strain-hardening[J]. Acta Metallurgica, 1981,29(11):1865-1875. doi: 10.1016/0001-6160(81)90112-7
    [16] JIN Z, CUI Z. Investigation on strain dependence of dynamic recrystallization behavior using an inverse analysis method[J]. Materials Science and Engineering: A, 2010,527:3111-3119. doi: 10.1016/j.msea.2010.01.062
    [17] RIEDEL H, SVOBODA J. A model for strain hardening, recovery, recrystallization and grain growth with applications to forming processes of nickel base alloys[J]. Materials Science and Engineering: A, 2016,665:175-183. doi: 10.1016/j.msea.2016.04.015
    [18] ZHANG C, TANG X L, ZHANG L W, et al. Cellular automaton modelling of dynamic recrystallization of Ni-Cr-Mo-based C276 superalloy during hot compression[J]. Journal of Materials Research, 2019,34(18):3093-3103. doi: 10.1557/jmr.2019.218
  • 加载中
图(7) / 表(1)
计量
  • 文章访问数:  199
  • HTML全文浏览量:  66
  • PDF下载量:  28
  • 被引次数: 0
出版历程
  • 收稿日期:  2024-01-19
  • 网络出版日期:  2025-04-30
  • 刊出日期:  2025-04-30

目录

    /

    返回文章
    返回