中文核心期刊

SCOPUS 数据库收录期刊

中国科技核心期刊

美国《化学文摘》来源期刊

中国优秀冶金期刊

美国EBSCO数据库收录期刊

RCCSE中国核心学术期刊

美国《剑桥科学文摘》来源期刊

中国应用核心期刊(CACJ)

美国《乌利希期刊指南》收录期刊

中国学术期刊综合评价统计源刊

俄罗斯《文摘杂志》来源期刊

优秀中文科技期刊(西牛计划)

日本《科学技术文献数据库》(JST)收录刊

留言板

尊敬的读者、作者、审稿人, 关于本刊的投稿、审稿、编辑和出版的任何问题, 您可以本页添加留言。我们将尽快给您答复。谢谢您的支持!

姓名
邮箱
手机号码
标题
留言内容
验证码

钒微合金钢奥氏体晶粒尺寸对晶内铁素体形核影响

彭静 何月漫 付天亮

彭静, 何月漫, 付天亮. 钒微合金钢奥氏体晶粒尺寸对晶内铁素体形核影响[J]. 钢铁钒钛, 2025, 46(2): 175-181. doi: 10.7513/j.issn.1004-7638.2025.02.024
引用本文: 彭静, 何月漫, 付天亮. 钒微合金钢奥氏体晶粒尺寸对晶内铁素体形核影响[J]. 钢铁钒钛, 2025, 46(2): 175-181. doi: 10.7513/j.issn.1004-7638.2025.02.024
PENG Jing, HE Yueman, FU Tianliang. Effect of austenite grain size on intracrystalline ferrite nucleation in vanadium microalloyed steel[J]. IRON STEEL VANADIUM TITANIUM, 2025, 46(2): 175-181. doi: 10.7513/j.issn.1004-7638.2025.02.024
Citation: PENG Jing, HE Yueman, FU Tianliang. Effect of austenite grain size on intracrystalline ferrite nucleation in vanadium microalloyed steel[J]. IRON STEEL VANADIUM TITANIUM, 2025, 46(2): 175-181. doi: 10.7513/j.issn.1004-7638.2025.02.024

钒微合金钢奥氏体晶粒尺寸对晶内铁素体形核影响

doi: 10.7513/j.issn.1004-7638.2025.02.024
详细信息
    作者简介:

    彭静,1985年出生,男,湖北襄阳人,本科,主要从事中厚板生产和热处理, E-mail: 675518271@qq.com

    通讯作者:

    付天亮,1981年出生,男,黑龙江阿城人,博士,教授,主要从事热轧钢材热处理工艺技术与装备研发工作,E-mail: futianliang@126.com

  • 中图分类号: TF76

Effect of austenite grain size on intracrystalline ferrite nucleation in vanadium microalloyed steel

  • 摘要:

    利用DIL805A/D变形热膨胀相变仪进行试验,建立了钒微合金钢不同变形温度和应变速率下的动态再结晶动力学模型,并通过组织分析与模型对比的方式研究了钒微合金钢晶内铁素体组织随动态再结晶晶粒尺寸的变化规律。结果表明:钒微合金钢的奥氏体动态再结晶晶粒尺寸对晶内铁素体相变具有一定影响,二者之间呈现抛物线关系。晶粒尺寸过大和较小均会造成晶界组织过度长大,不利于晶内铁素体组织形核。当奥氏体晶粒尺寸为40~50 μm时晶内铁素体形核能力最强,晶内组织细化效果明显。

  • 图  1  单道次热压缩工艺

    Figure  1.  Single-pass thermal compression process diagram

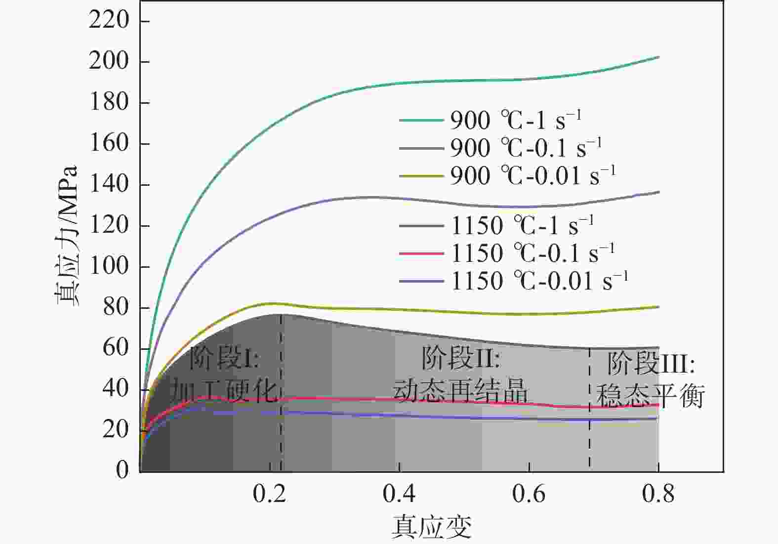
    图  2  试验钢不同变形条件下的真应力-真应变曲线

    Figure  2.  True stress-strain curves for experimental steel under different deformation conditions

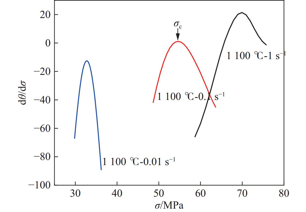
    图  3  P-J法求解试验钢的临界应力/应变

    Figure  3.  P-J method for solving the critical stress/strain of experimental steel

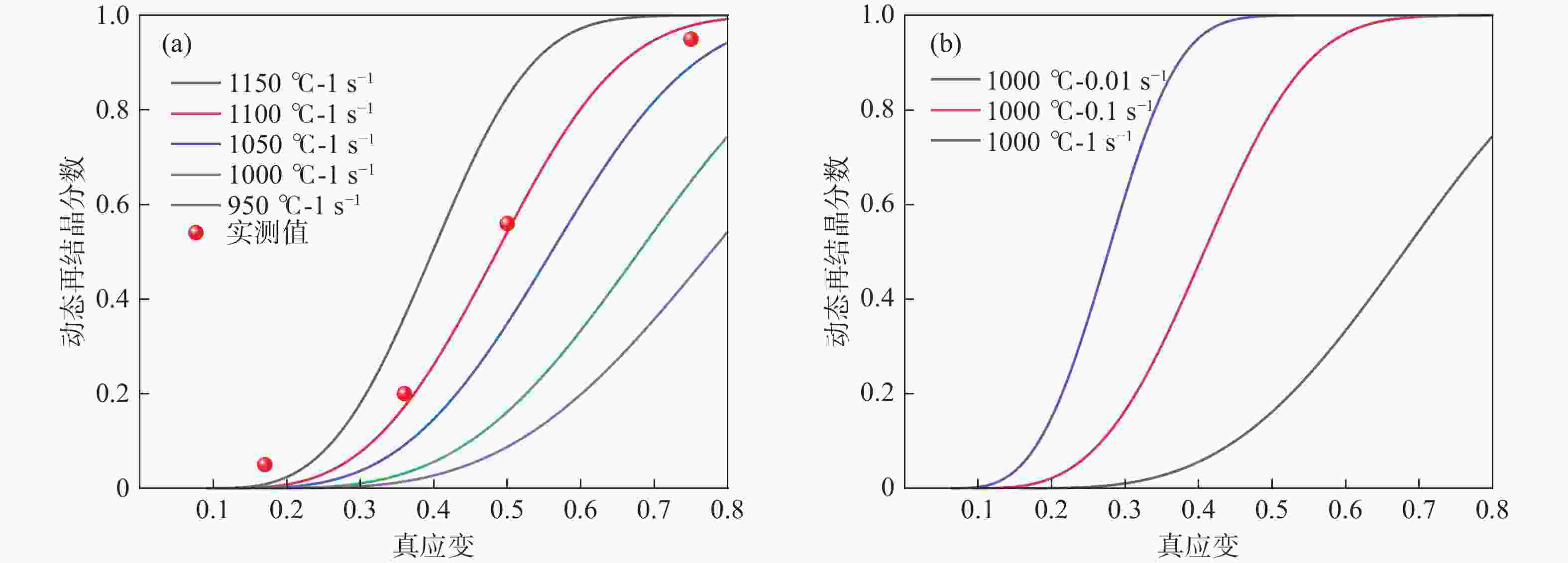
    图  4  不同条件下的动态再结晶体积分数曲线

    (a) 不同变形温度; (b) 不同应变速率

    Figure  4.  Dynamic recrystallization volume fraction curves at different conditions

    图  5  不同应变下的奥氏体动态再结晶组织

    Figure  5.  Dynamic recrystallization structure of austenite under different strains

    (a) ε=0.1; (b) ε=0.27; (c) ε=0.5; (d) ε=0.73

    图  6  不同动态再结晶晶粒尺寸下的金相组织

    Figure  6.  Metallographic structure under different dynamic recrystallization grain sizes

    (a)(b) 57.9 μm; (c)(d) 39.1 μm; (e)(f) 29.4 μm; (g)(h) 25.1 μm

    图  7  晶内铁素体含量与动态再结晶晶粒尺寸的关系

    Figure  7.  Relationship between intragranular ferrite content and dynamic recrystallization grain size

    表  1  钒微合金钢的化学成分

    Table  1.   Chemical composition of V-microalloyed steel %

    CSiMnPSVN
    0.1750.6131.570.0240.0260.1070.006
    下载: 导出CSV
  • [1] LLANOS L, PEREDA B, RODRIGUEZ-IBABE J M, et al. Effect of V microalloying in the hot working behavior of high Mn TWIP steels[J]. Iron Steel Vanadium Titanium, 2015,36(6):68-73, 93. (LLANOS L, PEREDA B, RODRIGUEZ-IBABE J M, 等. 钒微合金化对高锰TWIP钢热加工行为的影响[J]. 钢铁钒钛, 2015,36(6):68-73, 93.

    LLANOS L, PEREDA B, RODRIGUEZ-IBABE J M, et al. Effect of V microalloying in the hot working behavior of high Mn TWIP steels[J]. Iron Steel Vanadium Titanium, 2015, 36(6): 68-73, 93.
    [2] ISHIKAWA F, TAKAHASHI T, OCHI T. Intragranular ferrite nucleation in medium-carbon vanadium steels[J]. Metallurgical and Materials Transactions A, 1994,25(5):929-936. doi: 10.1007/BF02652268
    [3] HU J, DU L, WANG J. Effect of V on intragranular ferrite nucleation of high Ti bearing steel[J]. Scripta Materialia, 2013,68:953-956. doi: 10.1016/j.scriptamat.2013.02.037
    [4] ZHANG S, HATTORI N, ENOMOTO M, et al. Ferrite nucleation at ceramic/austenite interfaces[J]. ISIJ International, 1996,36(10):1301-1309. doi: 10.2355/isijinternational.36.1301
    [5] HU J. Transformation of intragranular nucleation ferrite and microstructural nano-structuring of V microalloyed steel[D]. Shenyang: Northeastern University, 2014. (胡军. V 微合金钢晶内形核铁素体相变及微观组织纳米化[D]. 沈阳: 东北大学, 2014.

    HU J. Transformation of intragranular nucleation ferrite and microstructural nano-structuring of V microalloyed steel[D]. Shenyang: Northeastern University, 2014.
    [6] LIANG D M, ZHU Z Y, ZHOU L X, et al. Acicular ferrite and its heterogeneous nucleation mechanism in steels[J]. Heat Treatment of Metals, 2011,36(12):105-111. (梁冬梅, 朱远志, 周立新, 等. 钢中针状铁素体及其非均匀形核机制[J]. 金属热处理, 2011,36(12):105-111.

    LIANG D M, ZHU Z Y, ZHOU L X, et al. Acicular ferrite and its heterogeneous nucleation mechanism in steels[J]. Heat Treatment of Metals, 2011, 36(12): 105-111.
    [7] LI J W. Effect of austenitizing thermal treatment process on phase transformation of acicular ferrite induced by Ti-Mg oxide in low-carbon steel[D]. Shenyang: Northeastern University, 2021. (李家旺. 奥氏体化工艺对低碳钢中Ti-Mg氧化物诱导针状铁素体相变的影响[D]. 沈阳: 东北大学, 2021.

    LI J W. Effect of austenitizing thermal treatment process on phase transformation of acicular ferrite induced by Ti-Mg oxide in low-carbon steel[D]. Shenyang: Northeastern University, 2021.
    [8] LIU J, ZHANG K J, LU J S, et al. Strengthening mechanism and application of microalloying element vanadium in plates[J]. Sichuan Metallurgy, 2009,31(2):15-18. (刘健, 张开坚, 陆建生, 等. 微合金元素钒在钢板中的强化机理及应用[J]. 四川冶金, 2009,31(2):15-18.

    LIU J, ZHANG K J, LU J S, et al. Strengthening mechanism and application of microalloying element vanadium in plates[J]. Sichuan Metallurgy, 2009, 31(2): 15-18.
    [9] YIN G Q, HUANG Z Y, YANG C F, et al. Effects of nitrogen content and TMCP on microstructure and mechanical properties of V-N micro-alloying steel[J]. Heat Treatment of Metals, 2008,33(3):4-8. (尹桂全, 黄贞益, 杨才福, 等. 氮含量和TMCP对微合金V-N钢显微组织和力学性能的影响[J]. 金属热处理, 2008,33(3):4-8.

    YIN G Q, HUANG Z Y, YANG C F, et al. Effects of nitrogen content and TMCP on microstructure and mechanical properties of V-N micro-alloying steel[J]. Heat Treatment of Metals, 2008, 33(3): 4-8.
    [10] WAN X L, WU K M, NUNE K C, et al. In situ observation of acicular ferrite formation and grain refinement in simulated heat affected zone of high strength low alloy steel[J]. Science and Technology of Welding and Joining, 2015,20(3):254-263. doi: 10.1179/1362171815Y.0000000008
    [11] LEE J L, PAN Y T. The formation of intragranular acicular ferrite in simulated heat-affected zone[J]. ISIJ International, 1995,35(8):1027-1033. doi: 10.2355/isijinternational.35.1027
    [12] ZHOU X G, WANG X X, LI X, et al. Modeling of the dynamic recrystallization of Ti microalloyed high-strength steel[J]. Steel Research International, 2022,93(6):2100461. doi: 10.1002/srin.202100461
    [13] POLIAK E I, JONAS J J. Initiation of dynamic recrystallization in constant strain rate hot deformation[J]. ISIJ International, 2003,43(5):684-691. doi: 10.2355/isijinternational.43.684
    [14] WAHABI M, CABRERA J M, PRADO J M. Hot working of two AISI 304 steels: a comparative study[J]. Materials Science and Engineering A, 2003,343(1):116-125.
    [15] CHEN Q Y, ZHOU X G, LIU Z Y, et al. Microstructure and properties of Ti microalloyed automobile frame steel 510L[J]. Journal of Northeastern University (Natural Science Edition), 2018, 39(3): 339-344. (陈其源, 周晓光, 刘振宇, 等. Ti微合金化汽车大梁钢510L的组织性能[J]. 东北大学学报(自然科学版), 2018, 39(3): 339-344.

    CHEN Q Y, ZHOU X G, LIU Z Y, et al. Microstructure and properties of Ti microalloyed automobile frame steel 510L[J]. Journal of Northeastern University (Natural Science Edition), 2018, 39(3): 339-344.
    [16] BHADESHIA H K D H, EDMONDS D V. The mechanism of bainite formation in steels[J]. Acta Metallurgica, 1980,28(9):1265-1273. doi: 10.1016/0001-6160(80)90082-6
  • 加载中
图(7) / 表(1)
计量
  • 文章访问数:  155
  • HTML全文浏览量:  79
  • PDF下载量:  14
  • 被引次数: 0
出版历程
  • 收稿日期:  2024-01-31
  • 网络出版日期:  2025-04-30
  • 刊出日期:  2025-04-30

目录

    /

    返回文章
    返回