中文核心期刊

SCOPUS 数据库收录期刊

中国科技核心期刊

美国《化学文摘》来源期刊

中国优秀冶金期刊

美国EBSCO数据库收录期刊

RCCSE中国核心学术期刊

美国《剑桥科学文摘》来源期刊

中国应用核心期刊(CACJ)

美国《乌利希期刊指南》收录期刊

中国学术期刊综合评价统计源刊

俄罗斯《文摘杂志》来源期刊

优秀中文科技期刊(西牛计划)

日本《科学技术文献数据库》(JST)收录刊

留言板

尊敬的读者、作者、审稿人, 关于本刊的投稿、审稿、编辑和出版的任何问题, 您可以本页添加留言。我们将尽快给您答复。谢谢您的支持!

姓名
邮箱
手机号码
标题
留言内容
验证码

水力旋流法富集回收某高锌高炉灰中的锌

杨珍 王晓东 任世磊 皇甫林 曾冠武 张小龙 林刚

杨珍, 王晓东, 任世磊, 皇甫林, 曾冠武, 张小龙, 林刚. 水力旋流法富集回收某高锌高炉灰中的锌[J]. 钢铁钒钛, 2025, 46(3): 100-106. doi: 10.7513/j.issn.1004-7638.2025.03.015
引用本文: 杨珍, 王晓东, 任世磊, 皇甫林, 曾冠武, 张小龙, 林刚. 水力旋流法富集回收某高锌高炉灰中的锌[J]. 钢铁钒钛, 2025, 46(3): 100-106. doi: 10.7513/j.issn.1004-7638.2025.03.015
YANG Zhen, WANG Xiaodong, REN Shilei, HUANGFU Lin, ZENG Guanwu, ZHANG Xiaolong, LIN Gang. Enrichment and recovery of zinc from a high zinc blast furnace ash by hydrocyclone method[J]. IRON STEEL VANADIUM TITANIUM, 2025, 46(3): 100-106. doi: 10.7513/j.issn.1004-7638.2025.03.015
Citation: YANG Zhen, WANG Xiaodong, REN Shilei, HUANGFU Lin, ZENG Guanwu, ZHANG Xiaolong, LIN Gang. Enrichment and recovery of zinc from a high zinc blast furnace ash by hydrocyclone method[J]. IRON STEEL VANADIUM TITANIUM, 2025, 46(3): 100-106. doi: 10.7513/j.issn.1004-7638.2025.03.015

水力旋流法富集回收某高锌高炉灰中的锌

doi: 10.7513/j.issn.1004-7638.2025.03.015
详细信息
    作者简介:

    杨珍,1991年出生,女,四川成都人,博士研究生,高级工程师,研究方向为固废资源化利用,E-mail:yangzhenyzr@163.com

    通讯作者:

    皇甫林,1992年出生,男,四川泸州人,博士,高级工程师,研究方向为固废资源化利用,E-mail:l_huangfu@163.com

  • 中图分类号: TF7, X757

Enrichment and recovery of zinc from a high zinc blast furnace ash by hydrocyclone method

  • 摘要: 为了充分回收利用高炉灰中的有价元素,通过对四川某钢铁企业钒钛磁铁矿炼铁所产高锌高炉灰的理化性质进行分析,提出采用水力旋流法对该高炉灰中的锌进行富集/回收,重点考察了给料质量浓度、沉砂嘴直径等关键参数对锌富集/回收效果的影响,并进一步开展了200 kg级规模的高炉灰扩大试验进行验证。结果显示:锌回收率随给料质量浓度的增大而略有增大,随沉砂嘴直径的减小而显著增大,锌品位的富集比变化趋势则与锌回收率相反。在给料质量浓度15%~20%、沉砂嘴直径为14~18 mm、深度回收锌级数3的条件下,总锌回收率可达97%左右,第一级的锌富集比可达2.4倍左右,第三级贫锌高炉灰锌品位可降低至0.8%左右。扩大试验结果表明,高炉灰总锌回收率为96%,第一级水力旋流富锌高炉灰锌品位可达26%,第三级贫锌高炉灰锌含量可降至1%以下,满足作为炼铁原料回用的需求。此项研究有望为高锌高炉灰的资源化高效利用提供数据支撑。
  • 图  1  高炉灰的SEM和MLA分析结果

    Figure  1.  SEM and MLA analysis results of blast furnace slag

    (a)(b) SEM;(c)~(f) MLA

    图  2  高炉灰的总体粒度分布

    Figure  2.  Overall particle size distribution of blast furnace slag

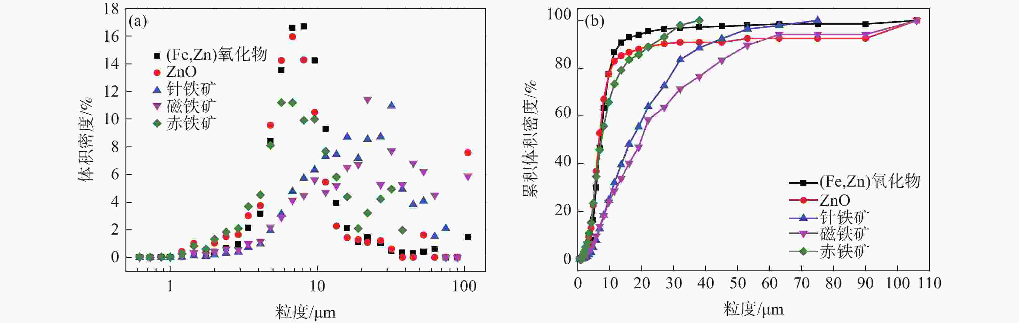
    图  3  高炉灰中除焦炭外的主要目标矿物粒度分析结果

    (a)粒度-体积密度曲线;(b)粒度-累积体积密度曲线

    Figure  3.  Analysis results of the particle size of the main target minerals excluding coal in blast furnace slag

    图  4  给料质量浓度对高炉灰中锌回收效果的影响

    Figure  4.  Influence of feed material concentration on the zinc recovery rate in blast furnace slag

    图  5  沉砂嘴直径对高炉灰中锌回收效果的影响

    Figure  5.  Influence of the diameter of sanding nozzle on the zinc recovery efficiency in blast furnace slag

    图  6  水力旋流级数对锌回收效果的影响

    Figure  6.  Effect of hydraulic swirling stages on zinc recovery

    表  1  高炉灰主要元素组成

    Table  1.   Main elemental composition of blast furnace dust %

    AlCFeZnKNaTiCaMgMnClPPbSSiV
    1.3916.3029.2013.850.450.152.232.724.710.142.550.031.400.542.890.10
    下载: 导出CSV

    表  2  高炉灰的矿物组成

    Table  2.   Mineral composition of blast furnace ash %

    (Fe,Zn)氧化物焦炭ZnO针铁矿磁铁矿赤铁矿白云母石英辉石铁橄榄石玻璃相钛闪石
    31.5016.3013.3811.077.473.582.131.601.151.070.910.92
    下载: 导出CSV

    表  3  高炉灰中Zn、Fe、C元素的赋存状态

    Table  3.   Occurrence states of Zn, Fe and C elements in blast furnace ash %

    (Fe,Zn)氧化物焦炭ZnO针铁矿磁铁矿赤铁矿白云母石英辉石铁橄榄石玻璃相钛闪石
    C95.00
    Fe30.310.103.4032.4915.247.720.690.090.821.900.430.47
    Zn52.940.1039.080.800.410.810.270.090.660.200.08
    下载: 导出CSV

    表  4  Zn、Fe、C元素的粒度分布情况

    Table  4.   Particle size distribution of Zn, Fe, and C elements

    粒级/μm 产率/% 元素含量/% 元素分布率/%
    C Fe Zn C Fe Zn
    +200 1.34 62.0 8.62 7.64 5.33 0.39 0.72
    125~200 3.26 66.3 9.75 4.33 13.90 1.07 1.00
    106~125 7.24 46.9 22.38 2.76 21.81 5.46 1.41
    74~106 2.27 34.8 28.00 2.30 5.08 2.14 0.37
    50~74 7.99 26.5 33.62 2.30 13.60 9.05 1.29
    30~50 27.11 13.5 40.75 3.15 23.51 37.21 6.02
    −30 50.78 5.14 26.12 24.94 16.76 44.67 89.20
    下载: 导出CSV

    表  5  高炉灰中锌的回收扩大试验条件和结果

    Table  5.   Experimental conditions and results of the expansion test for zinc recovery from blast furnace slag

    原料锌
    品位/%
    级数 给料质量
    浓度/%
    沉砂嘴
    直径/mm
    贫锌高炉
    灰锌品位/%
    富锌高炉
    灰锌品位/%
    富锌高炉
    灰锌回收率/%
    富锌高炉
    灰锌总回收率/%
    12.47 1 18 18 2.09 26.95 90.24 96.38
    2 17 16 0.95 14.72 4.99
    3 17 14 0.79 1.67 1.15
    下载: 导出CSV
  • [1] ZENG G W. Review on utilization technologies of blast-furnace gas sludge[J]. Environmental Protection of Chemical Industry, 2015,35(3):279-283. (曾冠武. 高炉瓦斯泥综合利用技术述评[J]. 化工环保, 2015,35(3):279-283. doi: 10.3969/j.issn.1006-1878.2015.03.011

    ZENG G W. Review on utilization technologies of blast-furnace gas sludge[J]. Environmental Protection of Chemical Industry, 2015, 35(3): 279-283. doi: 10.3969/j.issn.1006-1878.2015.03.011
    [2] WANG Z J, LI Y, TANG J Y, et al. Status and progress of resource recovery and utilization of dust and sludge in the steel industry[J]. Jiangxi Metallurgy, 2023,43(2):87-94. (王钟建, 李岩, 唐境言, 等. 钢铁产业尘泥资源化回收利用现状与进展[J]. 江西冶金, 2023,43(2):87-94.

    WANG Z J, LI Y, TANG J Y, et al. Status and progress of resource recovery and utilization of dust and sludge in the steel industry[J]. Jiangxi Metallurgy, 2023, 43(2): 87-94.
    [3] TIAN S L, ZHANG H, CAO Y D, et al. Technology status on treatment and recovery of steel sludge[J]. Yunnan Metallurgy, 2023,52(2):70-75. (田释龙, 张辉, 曹远栋, 等. 钢铁尘泥的处理回收技术现状[J]. 云南冶金, 2023,52(2):70-75. doi: 10.3969/j.issn.1006-0308.2023.02.012

    TIAN S L, ZHANG H, CAO Y D, et al. Technology status on treatment and recovery of steel sludge[J]. Yunnan Metallurgy, 2023, 52(2): 70-75. doi: 10.3969/j.issn.1006-0308.2023.02.012
    [4] FENG S, CHEN K. Theoretical research and practice on zinc loading of Hansteel 3200 m3 BF[J]. 2023, 31(3): 5-7, 32. (冯帅, 陈奎. 邯钢3200 m3高炉锌负荷的理论研究与实践[J]. 河南冶金, 2023, 31(3): 5-7, 32.

    FENG S, CHEN K. Theoretical research and practice on zinc loading of Hansteel 3200 m3 BF[J]. 2023, 31(3): 5-7, 32.
    [5] SHANG H X, LI H M, WEI R F, et al. Present situation and prospect of iron and steel dust and sludge utilization technology[J]. Iron and Steel, 2019,54(3):9-17. (尚海霞, 李海铭, 魏汝飞, 等. 钢铁尘泥的利用技术现状及展望[J]. 钢铁, 2019,54(3):9-17.

    SHANG H X, LI H M, WEI R F, et al. Present situation and prospect of iron and steel dust and sludge utilization technology[J]. Iron and Steel, 2019, 54(3): 9-17.
    [6] WANG Z J, SOHN I. A review on reclamation and reutilization of ironmaking and steelmaking slags[J]. Journal of Sustainable Metallurgy, 2019,5(1):127-140. doi: 10.1007/s40831-018-0201-5
    [7] ZHENG H Y, SUN Y, ZHANG S L, et al. Comprehensive utilization of blast furnace gas sludge[J]. China Resources Comprehensive Utilization, 2019,37(7):79-82. (郑虹雨, 孙艳, 张树立, 等. 高炉瓦斯泥的综合利用[J]. 中国资源综合利用, 2019,37(7):79-82. doi: 10.3969/j.issn.1008-9500.2019.07.025

    ZHENG H Y, SUN Y, ZHANG S L, et al. Comprehensive utilization of blast furnace gas sludge[J]. China Resources Comprehensive Utilization, 2019, 37(7): 79-82. doi: 10.3969/j.issn.1008-9500.2019.07.025
    [8] FISHER L V, BARRON A. The recycling and reuse of steelmaking slags-a review[J]. Resources Conservation and Recycling, 2019,146:244-255. doi: 10.1016/j.resconrec.2019.03.010
    [9] XIAO X, ZHANG S F, SHER F et al. A review on recycling and reutilization of blast furnace dust as a secondary resource[J]. Journal of Sustainable Metallurgy, 2021,7:340-357. doi: 10.1007/s40831-021-00377-9
    [10] WANG Z H, GUO J, GUO, H J, et al. Thermodynamic and experimental study of high-temperature roasting of blast furnace gas ash for recovery of metallic zinc and iron[J]. Journal of Iron and Steel Research International, 2024,31:108-120. doi: 10.1007/s42243-023-01021-4
    [11] JIN Y L, YAN X M, SUN Y J, et al. Analysis and development of comprehensive utilization of ferrous solid waste combined with Zn in iron and steel enterprises[J]. Shandong Metallurgy, 2022,44(1):5-8,14. (金永龙, 闫献民, 孙宇佳, 等. 钢铁企业含锌固废综合利用技术分析和发展[J]. 山东冶金, 2022,44(1):5-8,14. doi: 10.3969/j.issn.1004-4620.2022.1.sdyj202201002

    JIN Y L, YAN X M, SUN Y J, et al. Analysis and development of comprehensive utilization of ferrous solid waste combined with Zn in iron and steel enterprises[J]. Shandong Metallurgy, 2022, 44(1): 5-8,14. doi: 10.3969/j.issn.1004-4620.2022.1.sdyj202201002
    [12] YAN J L, YANG Y H, ZHANG J H. Preconcentration test of zinc-containing substance in ultra-fine blast furnace ash by hydrocyclone[J]. Modern Mining, 2023,39(4):107-109. (闫金磊, 杨义红, 张建辉. 超细粒高炉灰中含锌物的水力旋流器预富集试验[J]. 现代矿业, 2023,39(4):107-109. doi: 10.3969/j.issn.1674-6082.2023.04.028

    YAN J L, YANG Y H, ZHANG J H. Preconcentration test of zinc-containing substance in ultra-fine blast furnace ash by hydrocyclone[J]. Modern Mining, 2023, 39(4): 107-109. doi: 10.3969/j.issn.1674-6082.2023.04.028
    [13] SHI S Y, MA A Y, LI G J, et al. Research on comprehensive utilization status of zinc metallurgical solid waste slag[J]. World Nonferrous Metals, 2019,34(13):7-8. (石升友, 马爱元, 李国江, 等. 锌冶金固废渣综合利用现状研究[J]. 世界有色金属, 2019,34(13):7-8. doi: 10.3969/j.issn.1002-5065.2019.13.003

    SHI S Y, MA A Y, LI G J, et al. Research on comprehensive utilization status of zinc metallurgical solid waste slag[J]. World Nonferrous Metals, 2019, 34(13): 7-8. doi: 10.3969/j.issn.1002-5065.2019.13.003
    [14] JIN Y L, LIU S Y, QIN G Q, et al. Energy efficiency analysis of typical technologies for disposal ferrous solid waste combined with Zn in steel plants[J]. Energy for Metallurgical Industry, 2022,41(3):18-22. (金永龙, 刘思远, 秦国旗, 等. 典型的处置钢铁企业含锌固废工艺的能效分析[J]. 冶金能源, 2022,41(3):18-22. doi: 10.3969/j.issn.1001-1617.2022.03.004

    JIN Y L, LIU S Y, QIN G Q, et al. Energy efficiency analysis of typical technologies for disposal ferrous solid waste combined with Zn in steel plants[J]. Energy for Metallurgical Industry, 2022, 41(3): 18-22. doi: 10.3969/j.issn.1001-1617.2022.03.004
    [15] PENG G J, ZHAO Z H, YAN C M, et al. Optimization study of flotation process for one high silicon low-grade lead-zinc ore in Yunnan[J]. Yunnan Metallurgy, 2024,53(6):44-50. (彭光继, 赵泽辉, 严川明, 等. 云南某高硅低品位铅锌矿浮选工艺优化研究[J]. 云南冶金, 2024,53(6):44-50. doi: 10.3969/j.issn.1006-0308.2024.06.008

    PENG G J, ZHAO Z H, YAN C M, et al. Optimization study of flotation process for one high silicon low-grade lead-zinc ore in Yunnan[J]. Yunnan Metallurgy, 2024, 53(6): 44-50. doi: 10.3969/j.issn.1006-0308.2024.06.008
    [16] GAO X R, DUAN X X, ZHENG Y M, et al. Summary of research progress on comprehensive utilization of blast furnace gas ash[J]. Environmental Engineering, 2023,41(S2):609-611, 617. (高熙然, 段学新, 郑艳梅, 等. 高炉瓦斯灰综合利用研究进展综述[J]. 环境工程, 2023,41(S2):609-611, 617.

    GAO X R, DUAN X X, ZHENG Y M, et al. Summary of research progress on comprehensive utilization of blast furnace gas ash[J]. Environmental Engineering, 2023, 41(S2): 609-611, 617.
    [17] CHEN W Y, YANG T Q, LI Q Y et al. Characteristic analysis and separation of zinc and iron from zinc containing metallurgical dust[J]. Nonferrous Metals(Extractive Metallurgy), 2023(9):126-136. (陈王媛, 杨通清, 李奇勇, 等. 含锌冶金尘泥特性分析及锌铁分离[J]. 有色金属(冶炼部分), 2023(9):126-136.

    CHEN W Y, YANG T Q, LI Q Y et al. Characteristic analysis and separation of zinc and iron from zinc containing metallurgical dust[J]. Nonferrous Metals(Extractive Metallurgy), 2023(9): 126-136.
    [18] CAO K, HU L G, JIA Y M. Application of hydrocyclone separation technology in dezincification engineering of gas scrubbing slime[J]. Metallurgical Power, 2006(5):52-55, 58. (曹克, 胡利光, 贾永铭. 水力旋流分离技术在瓦斯泥脱锌工程中的研究[J]. 冶金动力, 2006(5):52-55, 58. doi: 10.3969/j.issn.1006-6764.2006.05.019

    CAO K, HU L G, JIA Y M. Application of hydrocyclone separation technology in dezincification engineering of gas scrubbing slime[J]. Metallurgical Power, 2006(5): 52-55, 58. doi: 10.3969/j.issn.1006-6764.2006.05.019
    [19] WANG W, FU G T, LIU J M, et al. Feasibility study on iron-carbon separation and zinc selection from low zinc blast furnace ash[J]. Modern Mining, 2024,40(2):173-175. (王伟, 付贵泰, 刘金明, 等. 低锌高炉灰选锌与铁炭分离可行性研究[J]. 现代矿业, 2024,40(2):173-175. doi: 10.3969/j.issn.1674-6082.2024.02.043

    WANG W, FU G T, LIU J M, et al. Feasibility study on iron-carbon separation and zinc selection from low zinc blast furnace ash[J]. Modern Mining, 2024, 40(2): 173-175. doi: 10.3969/j.issn.1674-6082.2024.02.043
    [20] WANG W, SUN W, WANG J, et al. Research and application of enrichment of fine zinc minerals in ash from blast furnace by hydrocyclone[J]. Modern Mining, 2019,35(4):233-234. (王伟, 孙伟, 王建, 等. 水力旋流器富集高炉灰中的微细粒锌矿物的研究与实践[J]. 现代矿业, 2019,35(4):233-234. doi: 10.3969/j.issn.1674-6082.2019.04.073

    WANG W, SUN W, WANG J, et al. Research and application of enrichment of fine zinc minerals in ash from blast furnace by hydrocyclone[J]. Modern Mining, 2019, 35(4): 233-234. doi: 10.3969/j.issn.1674-6082.2019.04.073
    [21] YANG G H, YANG X H, LIU P K, et al. Experimental study on iron collection and zinc decrease from blast furnace sludge with three-product hydrocyclones[J]. Fluid Machinery, 2021,49(10):15-20. (杨光辉, 杨兴华, 刘培坤, 等. 三产品旋流器瓦斯泥集铁降锌试验研究[J]. 流体机械, 2021,49(10):15-20. doi: 10.3969/j.issn.1005-0329.2021.10.003

    YANG G H, YANG X H, LIU P K, et al. Experimental study on iron collection and zinc decrease from blast furnace sludge with three-product hydrocyclones[J]. Fluid Machinery, 2021, 49(10): 15-20. doi: 10.3969/j.issn.1005-0329.2021.10.003
    [22] ZHANG Z C, ZHANG Y K, LIU P K, et al. The influence of straight pipe length of the bottom outlet on the separation performance of the hydrocyclone[J]. Metal Mine, 2021(11):158-164. (张智宸, 张悦刊, 刘培坤, 等. 旋流器底流口直管段长度对分离性能的影响研究[J]. 金属矿山, 2021(11):158-164.

    ZHANG Z C, ZHANG Y K, LIU P K, et al. The influence of straight pipe length of the bottom outlet on the separation performance of the hydrocyclone[J]. Metal Mine, 2021(11): 158-164.
    [23] PAN M, WU H, WNAG Q, et al. Application research on improving classification efficiency of hydrocyclone in Zhangzhuang mine[J]. Modern Mining, 2021,37(7):160-161, 164. (潘猛, 吴红, 王琦, 等. 张庄矿提高水力旋流器分级效率应用研究[J]. 现代矿业, 2021,37(7):160-161, 164. doi: 10.3969/j.issn.1674-6082.2021.07.042

    PAN M, WU H, WNAG Q, et al. Application research on improving classification efficiency of hydrocyclone in Zhangzhuang mine[J]. Modern Mining, 2021, 37(7): 160-161, 164. doi: 10.3969/j.issn.1674-6082.2021.07.042
    [24] LUO Y L. Experimental study on grading filtration of fine-grained mineral slurry in a concentrator[J]. Modern Mining, 2024,40(11):150-152, 156. (罗渊林. 某选矿厂细粒级矿泥分级过滤试验研究[J]. 现代矿业, 2024,40(11):150-152, 156. doi: 10.3969/j.issn.1674-6082.2024.11.033

    LUO Y L. Experimental study on grading filtration of fine-grained mineral slurry in a concentrator[J]. Modern Mining, 2024, 40(11): 150-152, 156. doi: 10.3969/j.issn.1674-6082.2024.11.033
  • 加载中
图(6) / 表(5)
计量
  • 文章访问数:  94
  • HTML全文浏览量:  47
  • PDF下载量:  9
  • 被引次数: 0
出版历程
  • 收稿日期:  2025-01-13
  • 网络出版日期:  2025-06-30
  • 刊出日期:  2025-06-30

目录

    /

    返回文章
    返回