中文核心期刊

SCOPUS 数据库收录期刊

中国科技核心期刊

美国《化学文摘》来源期刊

中国优秀冶金期刊

美国EBSCO数据库收录期刊

RCCSE中国核心学术期刊

美国《剑桥科学文摘》来源期刊

中国应用核心期刊(CACJ)

美国《乌利希期刊指南》收录期刊

中国学术期刊综合评价统计源刊

俄罗斯《文摘杂志》来源期刊

优秀中文科技期刊(西牛计划)

日本《科学技术文献数据库》(JST)收录刊

留言板

尊敬的读者、作者、审稿人, 关于本刊的投稿、审稿、编辑和出版的任何问题, 您可以本页添加留言。我们将尽快给您答复。谢谢您的支持!

姓名
邮箱
手机号码
标题
留言内容
验证码

高炉高富氧与全氧富氢气氛对钒钛混合炉料软熔行为的影响研究

陈茅 陈布新 马凯辉 唐文博 刘凌岭 扈玫珑

陈茅, 陈布新, 马凯辉, 唐文博, 刘凌岭, 扈玫珑. 高炉高富氧与全氧富氢气氛对钒钛混合炉料软熔行为的影响研究[J]. 钢铁钒钛, 2025, 46(3): 112-121. doi: 10.7513/j.issn.1004-7638.2025.03.017
引用本文: 陈茅, 陈布新, 马凯辉, 唐文博, 刘凌岭, 扈玫珑. 高炉高富氧与全氧富氢气氛对钒钛混合炉料软熔行为的影响研究[J]. 钢铁钒钛, 2025, 46(3): 112-121. doi: 10.7513/j.issn.1004-7638.2025.03.017
CHEN Mao, CHEN Buxin, MA Kaihui, TANG Wenbo, LIU Lingling, HU Meilong. Study on the influence of highly oxygen enrichment and H2-rich oxygen blast furnace atmospheres on softening-melting behaviors of vanadium titanomagnetite mixed burden[J]. IRON STEEL VANADIUM TITANIUM, 2025, 46(3): 112-121. doi: 10.7513/j.issn.1004-7638.2025.03.017
Citation: CHEN Mao, CHEN Buxin, MA Kaihui, TANG Wenbo, LIU Lingling, HU Meilong. Study on the influence of highly oxygen enrichment and H2-rich oxygen blast furnace atmospheres on softening-melting behaviors of vanadium titanomagnetite mixed burden[J]. IRON STEEL VANADIUM TITANIUM, 2025, 46(3): 112-121. doi: 10.7513/j.issn.1004-7638.2025.03.017

高炉高富氧与全氧富氢气氛对钒钛混合炉料软熔行为的影响研究

doi: 10.7513/j.issn.1004-7638.2025.03.017
基金项目: 四川省自然科学基金面上项目(2024NSFSC0206);重庆市自然科学基金创新发展联合基金项目(CSTB2023NSCQ-LZX0124)。
详细信息
    通讯作者:

    陈茅,1987年出生,男,福建莆田人,博士,正高级工程师,长期从事低碳冶金和钒钛磁铁矿高效绿色综合利用研究工作,E-mail:ptchenmao@163.com

  • 中图分类号: TF044

Study on the influence of highly oxygen enrichment and H2-rich oxygen blast furnace atmospheres on softening-melting behaviors of vanadium titanomagnetite mixed burden

  • 摘要: 探讨了高炉富氧、全氧及全氧富氢气氛对钒钛磁铁矿混合炉料软熔性能、透气性及气体利用率的影响规律。结果表明,高炉富氧气氛下,炉料软化开始温度下降,软化结束温度、熔化开始温度、滴落温度升高,软化区间、熔化区间变宽,但透气性指数下降,气体利用率降低;全氧富氢气氛条件下,通过引入H2,炉料软化开始温度、软化结束温度、熔化开始温度升高,软化区间变宽,熔化区间变窄,透气性能进一步得到改善,H2利用率增加。进一步研究表明,还原气体成分的变化对炉渣和铁水的化学成分产生了重要影响,富氧气氛下炉渣中Ti(C,N)含量显著降低,全氧富氢气氛下炉渣中TiC含量及铁水中[Si]、[Ti]、[V]含量均显著提高。研究为钒钛矿高炉冶炼过程中的绿色低碳技术提供了理论依据,为提高钒钛磁铁矿高炉冶炼效率并减少碳排放提供了重要的基础试验支持。
  • 图  1  钒钛炉料XRD图谱

    (a) 钒钛烧结矿;(b) 钒钛球团矿

    Figure  1.  XRD patterns of vanadium titanomagnetite feeds

    图  2  软熔性能试验设备示意 (单位:mm)

    Figure  2.  Schematic diagram of the softening and melting apparatus (unit: mm)

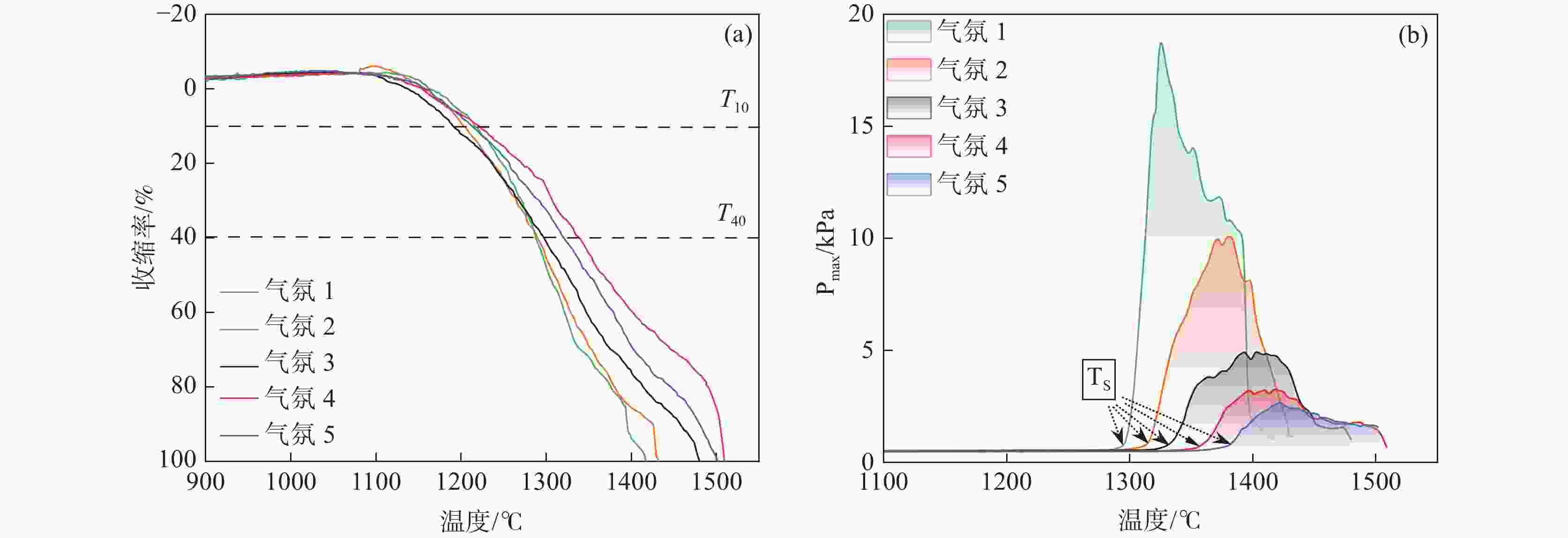
    图  3  不同气氛下钒钛混合炉料收缩率和压差与温度的关系

    (a)收缩率;(b)压差

    Figure  3.  The relationships between shrinkage rates and pressure losses of vanadium titanomagnetite mixed burden with temperatures under different atmospheres

    图  4  不同气氛下钒钛混合炉料软熔试验特征参数随气氛的变化

    Figure  4.  Characteristic parameters of the softening and melting experiments of vanadium titanomagnetite mixed burden under different atmospheres

    图  5  不同气氛条件下钒钛混合炉料的最大压差ΔPmax和透气性特征指数SD

    Figure  5.  Maximum loss of pressures (ΔPmax) and permeability characteristic indexes (SD) of vanadium titanomagnetite mixed burden under different atmospheres

    图  6  不同气氛条件下熔滴试验后样品形貌

    Figure  6.  Morphologies of the samples after softening-melting experiments under different atmospheres

    图  7  不同气氛下滴落渣的背散射电镜照片

    (a)气氛5;(b)气氛3

    Figure  7.  Backscattered SEM images of dripping slags under different atmospheres

    图  8  软熔试验尾气成分随温度的变化及CO利用率、H2利用率和总利用率的对比

    (a)气氛1(去除N2含量);(b)气氛3;(c)气氛4;(d)气氛1~5利用率的对比

    Figure  8.  The variation of tail gas compositions with temperatures and the comparison of CO, H2 and total utilization efficiencies

    表  1  钒钛炉料主要化学成分

    Table  1.   Main chemical compositions of the vanadium titanomagnetite feeds %

    TFeFeOCaOSiO2Al2O3MgOTiO2V2O5SPR2
    烧结矿49.508.8813.867.062.842.103.020.210.070.041.96
    球团矿54.88<0.500.573.863.533.039.750.72<0.01<0.010.15
    下载: 导出CSV

    表  2  焦炭化学成分

    Table  2.   Chemical composition of the coke %

    FCadMtStVdafAd
    K2ONa2OCaOSiO2MgOAl2O3Fe2O3Total
    85.880.230.631.090.080.100.497.240.133.731.0312.80
    注:M为水分;V为挥发分;FC为固定碳;A为灰分。
    下载: 导出CSV

    表  3  软熔试验还原气组分(体积分数)

    Table  3.   Compositions of the reducing gases used during the softening and melting tests %

    编号N2COH2
    普通高炉气氛170300
    富氧高炉气氛235650
    全氧高炉气氛301000
    全氧高炉富氢气氛409010
    508020
    下载: 导出CSV

    表  4  不同气氛下钒钛混合炉料软熔试验特征参数

    Table  4.   Characteristic parameters of the softening and melting experiments for vanadium titanomagnetite mixed burden under different atmospheres

    气氛编号 T10/℃ T40/℃ ΔT1/℃ TS/℃ TD/℃ ΔT2/℃ ΔPmax/kPa SD
    1 1218 1290 72 1299 1407 108 19.05 1179.45
    2 1209 1308 99 1317 1428 111 10.24 689.96
    3 1197 1320 123 1338 1476 138 4.93 430.97
    4 1223 1346 123 1364 1508 144 3.18 299.31
    5 1222 1354 132 1387 1504 117 2.47 208.03
    下载: 导出CSV

    表  5  不同气氛条件下熔滴试验后炉渣化学成分

    Table  5.   Chemical compositions of slags after softening-melting experiments under different atmospheres

    气氛序号样品部位MFe/%渣成分/%
    FeOAl2O3CaOMgOSiO2TiO2V2O5Ti(C,N)R2
    1压头上渣4.205.4311.7529.266.1522.2622.241.091.821.31
    2压头上渣2.503.7712.2329.576.7922.7222.601.081.241.30
    4压头上渣3.404.8612.7028.427.2321.8621.520.952.46*1.30
    5压头上渣2.303.3013.1428.117.7021.4621.410.854.04*1.31
    1压头下渣26.407.6011.0427.346.9220.8921.881.093.241.31
    2压头下渣21.506.0711.5127.528.5120.8722.521.031.981.32
    3滴落渣1.903.9412.8827.929.4121.3723.590.760.12*1.31
    4滴落渣4.302.5612.6727.729.5821.5223.560.641.73*1.29
    5滴落渣6.302.1313.0628.149.1321.3223.530.622.07*1.32
    注:*样品仅存在TiC,无TiN存在。
    下载: 导出CSV

    表  6  不同气氛条件下熔滴试验后滴落铁化学成分

    Table  6.   Chemical compositions of the dripping iron samples after softening-melting experiments under different atmospheres %

    气氛编号CSSiTiV
    14.5000.0980.0090.0230.011
    24.3000.0920.0120.0280.019
    33.4400.0810.0400.0330.038
    42.8400.0780.2650.2150.150
    52.6000.0500.4950.5610.187
    下载: 导出CSV
  • [1] DU H G. Principle of smelting vanadium titanium magnetite in blast furnace[M]. Beijing: Metallurgical Industry Press, 1996. (杜鹤桂. (1996). 高炉冶炼钒钛磁铁矿原理[M]. 北京: 冶金工业出版社, 1996.

    DU H G. Principle of smelting vanadium titanium magnetite in blast furnace[M]. Beijing: Metallurgical Industry Press, 1996.
    [2] DENG J, XUE X, LIU G G. Present situation and development of comprehensive utilization of vanadium titanomagnetite resources in Pangang[J]. Journal of Materials and Metallurgy, 2007, 6(2): 83-86. (邓君, 薛逊, 刘功国. 攀钢钒钛磁铁矿资源综合利用现状与发展[J]. 材料与冶金学报, 2007, 6(2): 83-86.

    DENG J, XUE X, LIU G G. Present situation and development of comprehensive utilization of vanadium titanomagnetite resources in Pangang[J]. Journal of Materials and Metallurgy, 2007, 6(2): 83-86.
    [3] USUI T, KAWABATA H, ONO-NAKAZATO H. Fundamental experiments on the H2 gas injection into the lower part of a blast furnace shaft[J]. ISIJ international, 2002, 42: 14-18.
    [4] WANG H T, CHU M S, GUO T L, et al. Mathematical simulation on blast furnace operation of coke oven gas injection in combination with top gas recycling[J]. Steel Research International, 2016, 87(5): 539-549. doi: 10.1002/srin.201500372
    [5] XIA Z X, JIANG Z Y, Zhang X R, et al. The CO2 reduction potential for the oxygen blast furnace with CO2 capture and storage under hydrogen-enriched conditions[J]. International Journal of Greenhouse Gas Control, 2022), 121: 103793.
    [6] TIAN B S. Research and practice on low carbon smelting technology of hydrogen-rich carbon cycle blast furnace at Bayi steel[J]. Xinjiang Iron and Steel, 2021, 4(4): 1-3. (田宝山. 八钢富氢碳循环高炉低碳冶炼技术研究与实践[J]. 新疆钢铁, 2021, 4(4): 1-3.

    TIAN B S. Research and practice on low carbon smelting technology of hydrogen-rich carbon cycle blast furnace at Bayi steel[J]. Xinjiang Iron and Steel, 2021, 4(4): 1-3.
    [7] HIGUCHI K, MATSUZAKI S, SAITO K, et al. Improvement in reduction behavior of sintered ores in a blast furnace through injection of reformed coke oven gas[J]. ISIJ International, 2020, 60(10): 2218-2227. doi: 10.2355/isijinternational.ISIJINT-2020-063
    [8] PAN Y Z, ZHANG A J, LIN L, et al. Correlation between reduction degree and softening and melting properties of pellets[C]// Proceedings of the 10th international symposium on high-temperature metallurgical processing. San Antonio, 2019: 523-530.
    [9] QIE Y N, JIN Y T, KANG Y, et al. Influence of hydrogen-rich on softening and melting property of blast furnace burden with vanadium and titanium[J]. Iron & Steel, 2023, 58(5): 31-38. (郄亚娜, 靳亚涛, 康媛, 等. 高炉富氢对钒钛矿软熔滴落性能的影响[J]. 钢铁, 2023, 58(5): 31-38.

    QIE Y N, JIN Y T, KANG Y, et al. Influence of hydrogen-rich on softening and melting property of blast furnace burden with vanadium and titanium[J]. Iron & Steel, 2023, 58(5): 31-38.
    [10] CHEN B J, JIANG T, WEN J, et al. High-chromium vanadium–titanium magnetite all-pellet integrated burden optimization and softening–melting behavior based on flux pellets[J]. International Journal of Minerals, Metallurgy and Materials, 2024, 31(3): 498-507. doi: 10.1007/s12613-023-2719-1
    [11] DENG Q Y. Study on the formation conditions and regulation mechanism of titanium carbonitride during blast furnace smelting of vanadium-titanium magnetite[D]. Chongqing: Chongqing University, 2012. (邓青宇. 钒钛磁铁矿高炉冶炼过程中碳氮化钛形成条件与调控机制研究[D]. 重庆: 重庆大学, 2012.

    DENG Q Y. Study on the formation conditions and regulation mechanism of titanium carbonitride during blast furnace smelting of vanadium-titanium magnetite[D]. Chongqing: Chongqing University, 2012.
    [12] QIE Y N, LÜ Q, LIU X J, et al. Effect of hydrogen addition on softening and melting reduction behaviors of ferrous burden in gas-injection blast furnace[J]. Metallurgical and Materials Transactions B, 2018, 49(5): 2622-2632. doi: 10.1007/s11663-018-1299-3
    [13] XIN R, ZHAO J B, GAO X D, et al. Softening-melting properties and slag evolution of vanadium titano-magnetite sinter in hydrogen-rich gases[J]. Crystals, 2023, 13(2): 103390.
    [14] LIU R W, PAN Z H, LI J X, et al. Study on softening-melting characteristics of iron bearing material in oxygen blast furnace[J]. Journal of Iron and Steel Research, 2022, 34(6): 534-542. (刘荣伟, 潘中华, 李家新, 等. 氧气高炉含铁炉料软熔特性研究[J]. 钢铁研究学报, 2022, 34(6): 534-542.

    LIU R W, PAN Z H, LI J X, et al. Study on softening-melting characteristics of iron bearing material in oxygen blast furnace[J]. Journal of Iron and Steel Research, 2022, 34(6): 534-542.
    [15] LÜ B B. Basic research on gas cycle coupling hydrogen-rich blast furnace ironmaking[D]. Beijing, Beijing University of Science and Technology, 2024. (吕斌斌. 煤气循环耦合富氢高炉炼铁基础研究[D]. 北京, 北京科技大学, 2024.

    LÜ B B. Basic research on gas cycle coupling hydrogen-rich blast furnace ironmaking[D]. Beijing, Beijing University of Science and Technology, 2024.
    [16] LÜ Q, QIE Y N, LIU X J, et al. Effect of hydrogen addition on reduction behavior of iron oxides in gas-injection blast furnace[J]. Thermochimica Acta, 2017, 648: 79-90. doi: 10.1016/j.tca.2016.12.009
    [17] MAO X D. Basic research on the reaction behavior of iron oxides with H2-CO mixed gas[D]. Beijing, Beijing University of Science and Technology, 2023. (毛旭东. 铁氧化物与H2-CO混合气体反应行为的基础研究[D]. 北京, 北京科技大学, 2023.

    MAO X D. Basic research on the reaction behavior of iron oxides with H2-CO mixed gas[D]. Beijing, Beijing University of Science and Technology, 2023.
    [18] XIE H E, HU P, ZHENG K, et al. Study on phase and chemical composition of V-Ti sinter during softening, melting and dripping process[J]. Iron Steel Vanadium Titanium, 2022, 43(2): 107-117. (谢洪恩, 胡鹏, 郑魁, 等. 钒钛烧结矿软熔滴落过程中的物相组成及化学成分变化规律研究[J]. 钢铁钒钛, 2022, 43(2): 107-117.

    XIE H E, HU P, ZHENG K, et al. Study on phase and chemical composition of V-Ti sinter during softening, melting and dripping process[J]. Iron Steel Vanadium Titanium, 2022, 43(2): 107-117.
    [19] WANG W Z, YU K. Theory and practice of smelting vanadium-titanium magnetite in blast furnace[J]. Journal of Northeast Institute of Technology, 1984(4): 41-48,125-126. (王文忠, 余琨. 高炉冶炼钒钛磁铁矿的理论与实践[J]. 东北工学院学报, 1984(4): 41-48,125-126.

    WANG W Z, YU K. Theory and practice of smelting vanadium-titanium magnetite in blast furnace[J]. Journal of Northeast Institute of Technology, 1984(4): 41-48,125-126.
    [20] DIAO R S. A new understanding of vanadium titanomagnetite smelting in blast furnace[J]. Iron & Steel, 1999(6): 14-16,40. (刁日升. 对高炉冶炼钒钛磁铁矿问题的新认识[J]. 钢铁, 1999(6): 14-16,40.

    DIAO R S. A new understanding of vanadium titanomagnetite smelting in blast furnace[J]. Iron & Steel, 1999(6): 14-16,40.
    [21] CHEN M, CHEN B X, JIANG Y, et al. Study of Ti(C, N) Formations in TiO2-Containing Slags[J]. Metallurgical and Materials Transactions B, 2025, 56: 1018-1028. doi: 10.1007/s11663-024-03410-w
    [22] QIE Y N, SHANGGUAN D Y, LI Y Z, et al. Formation of primary slag and carburizing behavior of metal iron in cohesive zone of Hydrogen-rich blast furnace[J]. ISIJ International, 2024), 64(9): 1360-1366.
    [23] GUO X S, YU J B, ZHANG Y J, et al. Mechanism of desulfurization from liquid iron by hydrogen plasma arc melting[J]. Metallurgical and Materials Transactions B, 2018, 49(6): 2951-2955. doi: 10.1007/s11663-018-1345-1
  • 加载中
图(8) / 表(6)
计量
  • 文章访问数:  228
  • HTML全文浏览量:  68
  • PDF下载量:  30
  • 被引次数: 0
出版历程
  • 收稿日期:  2025-02-26
  • 网络出版日期:  2025-06-30
  • 刊出日期:  2025-06-30

目录

    /

    返回文章
    返回