中文核心期刊

SCOPUS 数据库收录期刊

中国科技核心期刊

美国《化学文摘》来源期刊

中国优秀冶金期刊

美国EBSCO数据库收录期刊

RCCSE中国核心学术期刊

美国《剑桥科学文摘》来源期刊

中国应用核心期刊(CACJ)

美国《乌利希期刊指南》收录期刊

中国学术期刊综合评价统计源刊

俄罗斯《文摘杂志》来源期刊

优秀中文科技期刊(西牛计划)

日本《科学技术文献数据库》(JST)收录刊

留言板

尊敬的读者、作者、审稿人, 关于本刊的投稿、审稿、编辑和出版的任何问题, 您可以本页添加留言。我们将尽快给您答复。谢谢您的支持!

姓名
邮箱
手机号码
标题
留言内容
验证码

20CrMnTi齿轮钢中夹杂物演变及钢液洁净度提升研究

李海涛 高放 李昊哲 李立凯 张小华 顾超 包燕平

李海涛, 高放, 李昊哲, 李立凯, 张小华, 顾超, 包燕平. 20CrMnTi齿轮钢中夹杂物演变及钢液洁净度提升研究[J]. 钢铁钒钛, 2025, 46(3): 122-131. doi: 10.7513/j.issn.1004-7638.2025.03.018
引用本文: 李海涛, 高放, 李昊哲, 李立凯, 张小华, 顾超, 包燕平. 20CrMnTi齿轮钢中夹杂物演变及钢液洁净度提升研究[J]. 钢铁钒钛, 2025, 46(3): 122-131. doi: 10.7513/j.issn.1004-7638.2025.03.018
LI Haitao, GAO Fang, LI Haozhe, LI Likai, ZHANG Xiaohua, GU Chao, BAO Yanping. Research on the evolution of inclusions in 20CrMnTi gear steel and the improvement of steel liquid cleanliness[J]. IRON STEEL VANADIUM TITANIUM, 2025, 46(3): 122-131. doi: 10.7513/j.issn.1004-7638.2025.03.018
Citation: LI Haitao, GAO Fang, LI Haozhe, LI Likai, ZHANG Xiaohua, GU Chao, BAO Yanping. Research on the evolution of inclusions in 20CrMnTi gear steel and the improvement of steel liquid cleanliness[J]. IRON STEEL VANADIUM TITANIUM, 2025, 46(3): 122-131. doi: 10.7513/j.issn.1004-7638.2025.03.018

20CrMnTi齿轮钢中夹杂物演变及钢液洁净度提升研究

doi: 10.7513/j.issn.1004-7638.2025.03.018
详细信息
  • 中图分类号: TF777.3

Research on the evolution of inclusions in 20CrMnTi gear steel and the improvement of steel liquid cleanliness

  • 摘要: 以国内某厂20CrMnTi齿轮钢为研究对象,通过全流程取样分析了钢液洁净度提升的限制性环节,并提出以下两项优化措施:①基于FactSage7.2计算了精炼渣碱度和钙铝比对CaO和Al2O3活度的影响,综合考虑渣系的低温液相区,确定了目标精炼渣系范围:碱度=4~6,w(SiO2)=9%~13.5%,w(Al2O3)= 22.5%~31.5%,w(Fe2O3+MnO)<1%;②基于钙处理过量的现状,依托热力学数据库搭建了精准钙处理计算模型,并设计了人机交互界面。工业试验数据显示,在优化渣系和减少钙处理量的情况下,冶炼过程中的夹杂物数量显著减少,铸坯中夹杂物数量比原工艺降低56.3%。
  • 图  1  取样节点以及取样方式

    Figure  1.  Sampling nodes and sampling methods

    图  2  冶炼过程中氧、氮含量变化

    (a)全氧含量;(b)氮含量

    Figure  2.  Changes in oxygen and nitrogen content during smelting process

    图  3  夹杂物类型及数量变化

    (a)夹杂物数量堆积直方图; (b) Al-O类夹杂数量及尺寸分布; (c)Al-Mg-O类夹杂数量及尺寸分布; (d) Si-(Al)-(Mg)-O类夹杂数量及尺寸分布; (e)含Ca氧化物数量及尺寸分布; (f)CaS数量及尺寸分布

    Figure  3.  Changes in types and quantities of inclusions

    图  4  碱度和C/A对Al2O3 和CaO活度的影响

    (a)碱度对Al2O3活度的影响; (b)C/A对Al2O3活度的影响; (c)碱度对CaO活度的影响; (d)C/A对CaO活度的影响

    Figure  4.  Effects of basicity and C/A on the activities of Al2O3 and CaO

    图  5  精炼渣系的优化方案

    Figure  5.  Optimization plan for refining slag

    图  6  钙处理的液态窗口区

    (a) 钙处理液态窗口区; (b) CaS类夹杂物形貌

    Figure  6.  Liquid window zone of Ca-treatment

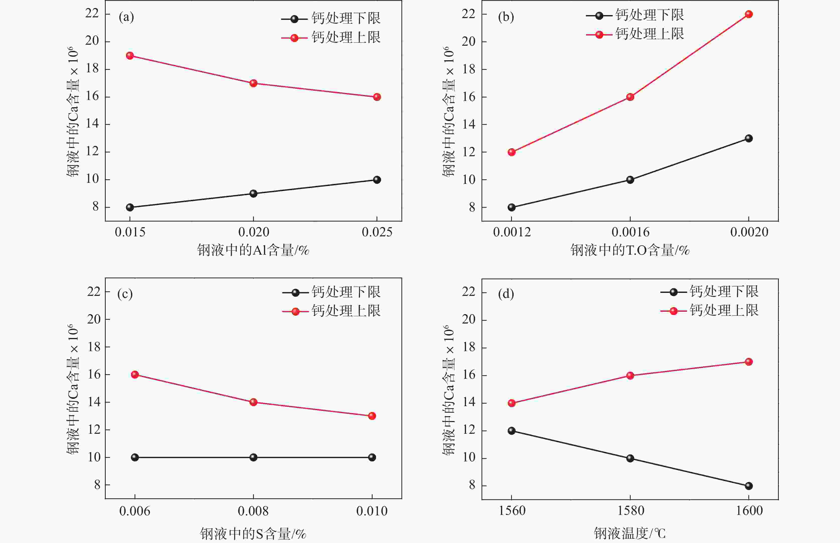
    图  7  钢液条件对钙处理液态窗口区界限值的影响

    (a) Al含量; (b) T.O含量; (c) S含量; (d) 温度

    Figure  7.  The influence of steel liquid conditions on the liquid window zone of Ca-treatment

    图  8  模型搭建和计算思路

    Figure  8.  The logic of model construction and calculation

    图  9  冶炼过程中各节点夹杂物数量变化

    Figure  9.  Changes in the number of inclusions during the smelting process

    图  10  铸坯中夹杂物和析出物数量对比

    (a)铸坯中夹杂物数量堆积直方图;(b)铸坯中析出物数量

    Figure  10.  Comparison of the number of inclusions and precipitates in the cast billet

    表  1  20CrMnTi齿轮钢的化学成分

    Table  1.   Chemical Compositions of 20CrMnTi Gear Steel %

    CSiMnPSCrTiAl
    标准0.17~0.230.17~0.370.80~1.10≤0.03≤0.031.00~1.300.04~0.100.015~0.035
    内控0.18~0.200.19~0.260.87~0.93≤0.02≤0.021.02~1.080.05~0.080.020~0.030
    下载: 导出CSV

    表  2  精炼过程渣样化学成分

    Table  2.   Main components of refining process slag %

    节点CaOSiO2Al2O3MgOFe2O3MnOR= CaO/ SiO2
    LF进站时54.8516.0818.365.291.410.923.41
    LF白渣后55.7615.6819.365.311.210.533.55
    LF喂线前56.6815.1119.215.010.920.153.75
    LF吊包前56.2715.0518.044.710.830.13.73
    下载: 导出CSV

    表  3  钢液化学成分和温度

    Table  3.   Chemical composition and temperature of molten steel

    化学成分/%T/ ℃
    CSiMnPSOAlFe
    0.190.240.90.0150.0060.00150.0151580
    下载: 导出CSV

    表  4  工艺优化前后渣样成分及钙线喂入量

    Table  4.   Compositions of slag samples and length of calcium wire added before and after process optimization

    工艺节点化学成分/%钙线喂入量/m
    CaOSiO2Al2O3MgOFe2O3MnOR= CaO/ SiO2
    原工艺LF进站渣54.8516.0818.365.291.410.923.41130
    LF出站渣56.2715.0518.044.710.830.13.73
    新工艺LF进站渣54.169.5527.593.841.701.445.6780
    LF出站渣55.8112.5123.22.720.650.114.46
    下载: 导出CSV
  • [1] LIN P. Smelting and producation quality study of high quality gear steel with BOF process[D]. Beijing: Beijing University of Science and Technology, 2010. (林平. 转炉生产高品质齿轮钢冶炼工艺与产品质量研究[D]. 东北大学, 2010.

    LIN P. Smelting and producation quality study of high quality gear steel with BOF process[D]. Beijing: Beijing University of Science and Technology, 2010.
    [2] ZHAO P L, HAN W X, YANG Z J, et al. Effect of inclusions on impact toughness of H-shaped steel for marine engineering[J]. China Metallurgy, 2020,30(2):74-78. (赵培林, 韩文习, 杨志杰, 等. 夹杂物对海工用H型钢冲击韧性影响及分析[J]. 中国冶金, 2020,30(2):74-78.

    ZHAO P L, HAN W X, YANG Z J, et al. Effect of inclusions on impact toughness of H-shaped steel for marine engineering[J]. China Metallurgy, 2020, 30(2): 74-78.
    [3] GUAN Z, SUN Y Q, LI L, et al. Effects of smelting process on fatigue performance of 15-5PH stainless steel[J]. Iron and Steel, 2020,55(1):72-80. (管真, 孙永庆, 李莉, 等. 冶炼工艺对15-5PH不锈钢疲劳性能的影响[J]. 钢铁, 2020,55(1):72-80.

    GUAN Z, SUN Y Q, LI L, et al. Effects of smelting process on fatigue performance of 15-5PH stainless steel[J]. Iron and Steel, 2020, 55(1): 72-80.
    [4] AN J, WANG Z, LI R X, et al. Cleanliness of automobile gear steel 8620RH[J]. China Metallurgy, 2016,26(9):33-37. (安杰, 王哲, 李润霞, 等. 汽车齿轮钢8620RH的洁净度[J]. 中国冶金, 2016,26(9):33-37.

    AN J, WANG Z, LI R X, et al. Cleanliness of automobile gear steel 8620RH[J]. China Metallurgy, 2016, 26(9): 33-37.
    [5] JU Y J, LÜ Z Y, XING L D, et al. Evolution analysis of inclusions in the whole process of 20CrMnTiH smelting[J]. Nonferrous Metals Science and Engineering, 2022,13(4):20-27. (巨银军, 吕子宇, 邢立东, 等. 20CrMnTiH冶炼全流程夹杂物演变分析[J]. 有色金属科学与工程, 2022,13(4):20-27.

    JU Y J, LÜ Z Y, XING L D, et al. Evolution analysis of inclusions in the whole process of 20CrMnTiH smelting[J]. Nonferrous Metals Science and Engineering, 2022, 13(4): 20-27.
    [6] ZHAO D W, BAO Y P, WANG M, et al. Composition optimization of LF refining slag in high cleanliness Al-killed steel[J]. Steelmaking, 2013,29(2):9-13. (赵东伟, 包燕平, 王敏, 等. 高洁净度铝镇静钢LF精炼渣成分优化[J]. 炼钢, 2013,29(2):9-13.

    ZHAO D W, BAO Y P, WANG M, et al. Composition optimization of LF refining slag in high cleanliness Al-killed steel[J]. Steelmaking, 2013, 29(2): 9-13.
    [7] LIU C S, HOU S W, LIU X Q, et al. Optimization of refining slag for 30CrlMolV steam turbine rotor steel[J]. Journal of Iron and Steel Research, 2022,34(10):1098-1107. (刘成松, 侯松威, 刘晓芹, 等. 30Cr1Mo1V汽轮机转子钢的精炼渣优化[J]. 钢铁研究学报, 2022,34(10):1098-1107.

    LIU C S, HOU S W, LIU X Q, et al. Optimization of refining slag for 30CrlMolV steam turbine rotor steel[J]. Journal of Iron and Steel Research, 2022, 34(10): 1098-1107.
    [8] ZHAO B, WU W, YANG F, et al. Thermodynamic analysis and performance optimization of refining slag containing lanthanum oxide[J]. China Metallurgy, 2023,33(7):31-39. (赵博, 吴伟, 杨峰, 等. 含氧化镧精炼渣的热力学分析及性能优化[J]. 中国冶金, 2023,33(7):31-39.

    ZHAO B, WU W, YANG F, et al. Thermodynamic analysis and performance optimization of refining slag containing lanthanum oxide[J]. China Metallurgy, 2023, 33(7): 31-39.
    [9] CHENG R J, QI Z, ZHANG H, et al. Optimization of refining slag of 20SiMn alloy structural steel[J]. Iron and Steel, 2023,58(1):100-107, 152. (成日金, 齐詹, 张华, 等. 20SiMn合金结构钢精炼渣系优化[J]. 钢铁, 2023,58(1):100-107, 152.

    CHENG R J, QI Z, ZHANG H, et al. Optimization of refining slag of 20SiMn alloy structural steel[J]. Iron and Steel, 2023, 58(1): 100-107, 152.
    [10] WANG X, WEI J, QIU S T, et al. Optimization of CaO/Al2O3 ratio in refining slag for 12Mn steel[J]. Iron Steel Vanadium Titanium, 2020,41(3):122-127. (王旭, 魏军, 仇圣桃, 等. 12Mn钢精炼渣CaO/Al2O3值优化[J]. 钢铁钒钛, 2020,41(3):122-127. doi: 10.7513/j.issn.1004-7638.2020.03.021

    WANG X, WEI J, QIU S T, et al. Optimization of CaO/Al2O3 ratio in refining slag for 12Mn steel[J]. Iron Steel Vanadium Titanium, 2020, 41(3): 122-127. doi: 10.7513/j.issn.1004-7638.2020.03.021
    [11] XU G F, ZHANG X L, YANG S F, et al. Inclusion characterization in whole smelting process of 20CrMnTi gear steel[J]. China Metallurgy, 2020,30(11):23-28. (许国方, 张雪良, 杨树峰, 等. 20CrMnTi齿轮钢冶炼全流程的夹杂物分析[J]. 中国冶金, 2020,30(11):23-28.

    XU G F, ZHANG X L, YANG S F, et al. Inclusion characterization in whole smelting process of 20CrMnTi gear steel[J]. China Metallurgy, 2020, 30(11): 23-28.
    [12] WU H Q, LIN L, GU C. Optimization and industrial tests of LF refining slag for gear steel(8620H)[J]. China Metallurgy, 2016,26(8):32-38. (吴辉强, 林路, 顾超. 齿轮钢(8620H)精炼渣优化及工业试验[J]. 中国冶金, 2016,26(8):32-38.

    WU H Q, LIN L, GU C. Optimization and industrial tests of LF refining slag for gear steel(8620H)[J]. China Metallurgy, 2016, 26(8): 32-38.
    [13] LIN L, GU C, BAO Y P, et al. Optimization of LF refining slag of 20CrMnTi gear steel[J]. Steelmaking, 2017,33(2):15-19. (林路, 顾超, 包燕平, 等. 20CrMnTi齿轮钢LF精炼渣优化[J]. 炼钢, 2017,33(2):15-19.

    LIN L, GU C, BAO Y P, et al. Optimization of LF refining slag of 20CrMnTi gear steel[J]. Steelmaking, 2017, 33(2): 15-19.
    [14] LIU J, AN J, TIAN W Y, et al. Production practice on improving cleanliness of gear steel 8620RH[J]. Industrial Heating, 2023,52(12):7-10. (柳军, 安杰, 田万原, 等. 改善齿轮钢8620RH洁净度的生产实践[J]. 工业加热, 2023,52(12):7-10. doi: 10.3969/j.issn.1002-1639.2023.12.002

    LIU J, AN J, TIAN W Y, et al. Production practice on improving cleanliness of gear steel 8620RH[J]. Industrial Heating, 2023, 52(12): 7-10. doi: 10.3969/j.issn.1002-1639.2023.12.002
    [15] ZENG Y X. Cleanness control of sulfur bearing gear steel 20CrMnTiH[J]. Iron and Steel, 2021,56(2):76-81. (曾耀先. 含硫齿轮钢20CrMnTiH洁净度控制[J]. 钢铁, 2021,56(2):76-81.

    ZENG Y X. Cleanness control of sulfur bearing gear steel 20CrMnTiH[J]. Iron and Steel, 2021, 56(2): 76-81.
    [16] JI S, ZHANG L F, LUO Y, et al. Effect of calcium treatment on nonmetallic inclusions in 20CrMnTiH gear steel[J]. Chinese Jounal of Engineering, 2021,43(6):825-834. (季莎, 张立峰, 罗艳, 等. 钙处理对20CrMnTiH齿轮钢中非金属夹杂物的影响[J]. 工程科学学报, 2021,43(6):825-834.

    JI S, ZHANG L F, LUO Y, et al. Effect of calcium treatment on nonmetallic inclusions in 20CrMnTiH gear steel[J]. Chinese Jounal of Engineering, 2021, 43(6): 825-834.
    [17] WU H J, LU P Y, YUE F, et al. Effect of calciumtreatment on sulfide inclusions in steel with medium sulphurcontent[J]. Journal of University of Science and Technology Beijing, 2014,36(S1):230-234. (吴华杰, 陆鹏雁, 岳峰, 等. 钙处理对中硫含量钢中硫化物形态影响的试验研究[J]. 北京科技大学学报, 2014,36(S1):230-234.

    WU H J, LU P Y, YUE F, et al. Effect of calciumtreatment on sulfide inclusions in steel with medium sulphurcontent[J]. Journal of University of Science and Technology Beijing, 2014, 36(S1): 230-234.
    [18] CAI X F, BAO Y P, LIN L. Evolution of inclusions during calcium treatment in liquid steel and its thermodynamic analysis[J]. Chinese Journal of Engineering, 2016,38(S1):32-36. (蔡小锋, 包燕平, 林路. 钙处理过程夹杂物演变及热力学分析[J]. 工程科学学报, 2016,38(S1):32-36.

    CAI X F, BAO Y P, LIN L. Evolution of inclusions during calcium treatment in liquid steel and its thermodynamic analysis[J]. Chinese Journal of Engineering, 2016, 38(S1): 32-36.
    [19] WANG H, LI J, SHI C B, et al. Evolution of inclusions in calcium-reated H13 die steel[J]. Chinese Journal of Engineering, 2018,40(S1):11-18. (王昊, 李晶, 史成斌, 等. 钙处理H13钢中夹杂物的转变[J]. 工程科学学报, 2018,40(S1):11-18.

    WANG H, LI J, SHI C B, et al. Evolution of inclusions in calcium-reated H13 die steel[J]. Chinese Journal of Engineering, 2018, 40(S1): 11-18.
    [20] BAI X, SUN Y, CHEN R, et al. Formation and thermodynamics of CaS-bearing inclusions during Ca treatment in oil casting steels[J]. International Journal of Minerals, Metallurgy and Materials, 2019,26:573-587.
    [21] GOLLAPALLI V, RAO M B V, KARAMCHED P S, et al. Modification of oxide inclusions in calcium-treated Al-killed high sulphur steels[J]. Ironmaking & Steelmaking, 2019,46(7):663-670.
    [22] ZHANG L F, LI F, FANG W. Thermodynamic investigation for the accurate calcium addition during calciumtreatment of molten steels[J]. Steelmaking, 2016,32(2):1-8. (张立峰, 李菲, 方文. 钢液钙处理过程中钙加入量精准计算的热力学研究[J]. 炼钢, 2016,32(2):1-8.

    ZHANG L F, LI F, FANG W. Thermodynamic investigation for the accurate calcium addition during calciumtreatment of molten steels[J]. Steelmaking, 2016, 32(2): 1-8.
    [23] LIU K L, LÜ M, SONG B M, et al. Q355B aluminum calming steel inclusion evolution and calcium treatment process optimization[J]. Iron and Steel, 2022,57(12):79-87. (刘坤龙, 吕明, 宋保民, 等. Q355B铝镇静钢夹杂物演变及钙处理工艺优化[J]. 钢铁, 2022,57(12):79-87.

    LIU K L, LÜ M, SONG B M, et al. Q355B aluminum calming steel inclusion evolution and calcium treatment process optimization[J]. Iron and Steel, 2022, 57(12): 79-87.
    [24] LONG H, QIU W S, LIU D, et al. Mechanism of ZrO2 containing nozzle clogging in continuous casting of calcium treated aluminum killed steel[J]. Continuous Casting, 2024(1):38-45. (龙鹄, 丘文生, 刘栋, 等. 钙处理铝镇静钢连铸锆质水口堵塞机理分析[J]. 连铸, 2024(1):38-45.

    LONG H, QIU W S, LIU D, et al. Mechanism of ZrO2 containing nozzle clogging in continuous casting of calcium treated aluminum killed steel[J]. Continuous Casting, 2024(1): 38-45.
    [25] JIA T, WANG W J, REN Y, et al. Effect of calcium addition amount on the modification of non-metallic inclusions in high-strength steel[J]. Continuous Casting, 2024, (3): 32-40. (贾涛, 王伟健, 任英, 等. 喂钙量对高强钢中非金属夹杂物的改性影响[J]. 连铸, 2024, (03): 32-40.

    JIA T, WANG W J, REN Y, et al. Effect of calcium addition amount on the modification of non-metallic inclusions in high-strength steel[J]. Continuous Casting, 2024, (3): 32-40.
    [26] WANG W J, YANG W, REN Y, et al. Development of the guidance software of precise calcium treatment and its application in special steel production[J]. Special Steel, 2023,44(6):25-30. (王伟健, 杨文, 任英, 等. 精准钙处理指导软件开发及在特殊钢生产中的应用[J]. 特殊钢, 2023,44(6):25-30.

    WANG W J, YANG W, REN Y, et al. Development of the guidance software of precise calcium treatment and its application in special steel production[J]. Special Steel, 2023, 44(6): 25-30.
    [27] LI X, WU H J, LIU W, et al. Practice and analysis of light calcium treatment of 55Cr3 aluminum deoxidized spring steel[J]. Special Steel, 2023,44(4):49-53 (李学, 吴华杰, 刘维, 等. 铝脱氧55Cr3弹簧钢轻钙处理的实践与分析[J]. 特殊钢, 2023,44(4):49-53.

    LI X, WU H J, LIU W, et al. Practice and analysis of light calcium treatment of 55Cr3 aluminum deoxidized spring steel[J]. Special Steel, 2023, 44(4): 49-53
    [28] DENG Z Y, ZHU M Y. Discussion on calcium treatment technology for clean steel refining[J]. Iron and Steel, 2023,58(9):104-115, 147. (邓志银, 朱苗勇. 洁净钢精炼钙处理技术探析[J]. 钢铁, 2023,58(9):104-115, 147.

    DENG Z Y, ZHU M Y. Discussion on calcium treatment technology for clean steel refining[J]. Iron and Steel, 2023, 58(9): 104-115, 147.
    [29] ZHANG Y Q, CHENG G G, Li Y, et al. Characteristics and distribution of sulfide in calciumtreated resulfurized steel at home and abroad[J]. China Metallurgy, 2023,33(2):65-72. (张友祺, 成国光, 李尧, 等. 国内外钙处理含硫钢中硫化物的特征和分布[J]. 中国冶金, 2023,33(2):65-72.

    ZHANG Y Q, CHENG G G, Li Y, et al. Characteristics and distribution of sulfide in calciumtreated resulfurized steel at home and abroad[J]. China Metallurgy, 2023, 33(2): 65-72.
  • 加载中
图(10) / 表(4)
计量
  • 文章访问数:  69
  • HTML全文浏览量:  32
  • PDF下载量:  10
  • 被引次数: 0
出版历程
  • 收稿日期:  2024-10-09
  • 网络出版日期:  2025-06-30
  • 刊出日期:  2025-06-30

目录

    /

    返回文章
    返回