Effects of ageing treatment on the microstructures and tensile properties of maraging stainless steel
-
摘要: 采用金相显微镜、扫描电镜、透射电镜及拉伸试验机等研究了不同时效处理高钛马氏体时效不锈钢的微观组织与拉伸行为。结果表明,不同时效处理高钛马氏体时效不锈钢的组织为马氏体和少量奥氏体,在马氏体基体内存在大量纳米级Ni3Ti析出相;
1050 -480、1050 -500、1050 -530和1050 -550样品中Ni3Ti析出相长度分别为11.5、7.9、15.9 nm和33.1 nm,宽度分别为2.8、2.8、4.3 nm和7.8 nm。随析出相尺寸的增大,析出相分布逐渐变得稀疏,高钛马氏体时效不锈钢拉伸强度逐渐降低,塑性逐渐增大,拉伸断裂特征从脆性解理断裂向韧性韧窝断裂转变。-
关键词:
- 高钛马氏体时效不锈钢 /
- 时效处理 /
- 微观组织 /
- 拉伸性能 /
- 断裂特征
Abstract: The microstructures and tensile behaviors of high-titanium maraging stainless steel under different ageing treatments were studied by means of metallurgical microscope, scanning electron microscope, transmission electron microscope and tensile testing machine. Microstructures observations shows high-titanium maraging stainless steel with different ageing treatments consist of martensite and a small amount of austenite, and there are a large number of nano-scaled Ni3Ti precipitates in the martensite matrix. The lengths of Ni3Ti precipitates in 1050-480, 1050-500, 1050-530 and 1050-550 samples are 11.5, 7.9, 15.9 and 33.1 nm, respectively, and their corresponding widths are 2.8, 2.8, 4.3 and 7.8 nm, respectively. As Ni3Ti precipitates size increases, their distribution gradually becomes sparse, consequently the tensile strength of high-titanium maraging stainless steel decreases and the plasticity improves, and the resulting tensile fracture characteristics change from brittle cleavage fracture to ductile dimple fracture. -
0. 引言
马氏体时效不锈钢具有超高强度、优异的断裂韧性和耐蚀性,被广泛应用于制备飞机起落架、曲轴等重要构件[1-2],主要有PH15-5、PH17-4和PH13-8Mo等钢种[3-7]。通过适当的热处理工艺,可以提高钢的机械性能,马氏体时效不锈钢的热处理工艺普遍是高温固溶处理加低温时效处理[8]。高温固溶处理使钢中的合金元素充分均匀地溶解在马氏体中,可形成提高钢强韧性的超细马氏体板条,为后续的时效处理做好准备[9]。时效处理的主要目的是使钢中析出强化相(如Ni3Ti、Fe2Mo等纳米级析出相),从而提高钢的强度[10]。此外,马氏体时效不锈钢在时效过程中还会形成逆转变奥氏体,这会延缓裂纹在板条间的扩展,从而提高钢的韧性[1]。前人已针对热处理对马氏体时效不锈钢组织和性能的影响展开了大量研究。甄彩霞等[11]研究了时效处理对00Cr13Ni7Co5Mo4Ti不锈钢组织与性能的影响,发现时效温度与时效硬化速度成正比,随着时效温度升高,不锈钢硬化速度加快,同时缩短了峰时效的出现时间;在430~475 ℃范围内时效后,Ni3Ti为主要时效析出相。李科欣等[12]研究了时效温度对Co-Cu合金化马氏体时效不锈钢组织性能的影响,发现在480 ℃时效2 h后硬度达到最高。邓德伟等[13]对不同温度时效处理17-4 PH马氏体不锈钢的组织和性能进行研究,发现当时效温度为480 ℃时,基体中有第二相析出物出现,硬度及强度提高、塑性降低;当时效温度升高620 ℃时,第二相析出物发生粗化,同时有逆变奥氏体产生,硬度及强度下降、塑性升高。
由上可知,不同成分、牌号马氏体时效不锈钢组织和性能随热处理参数改变的变化规律有所不同。针对某公司近期新研发的高钛马氏体时效不锈钢,其组织及性能随热处理工艺改变的变化规律目前还尚不明确。鉴于此,笔者以某公司研发的高钛马氏体时效不锈钢为研究对象,对其进行固溶和时效处理,研究不同时效处理高钛马氏体时效不锈钢的微观组织及拉伸性能,以揭示时效工艺改变对其组织和性能的影响规律。
1. 试验材料及方法
试验所用新型高钛马氏体时效不锈钢的化学成分如表1所示。首先,利用电火花切割技术从长度为106 cm,直径为16 cm的棒状原材料上切取长度为90 mm,直径为13 mm的棒状试样;然后,对试样进行固溶处理,处理温度为
1050 ℃,时间为1 h,冷却方式为空冷;固溶处理后,对试样进行时效处理,时效温度分别为480、500、530 ℃和550 ℃,以上述四种温度下新型高钛马氏体时效不锈钢时效硬化曲线的峰时效时间为依据,将时效时间分别设置为60、8、4 h和4 h,冷却方式为空冷。根据时效温度的不同,将经上述制度热处理后的样品分别命名为1050 -480、1050 -500、1050 -530和1050 -550。表 1 新型高钛马氏体时效不锈钢的化学成分Table 1. Chemical composition of the newly developed high-titanium martensitic aged stainless steel% C Co Cr Mo Ni Ti O Ni 0.0022 ~0.0037 7.94~8.13 12.51~12.62 3.18~3.23 7.12~7.18 1.32~1.76 0.0005 ~0.0023 0.002~ 0.0044 对不同时效处理的试样进行研磨和抛光,用FeCl3(10 g)+HCl(50 mL)+酒精(50 mL)的混合溶液进行腐蚀,Olympus DP73金相显微镜进行晶粒度评级,评级以“GB/T 6394-2017 金属平均晶粒度测定方法”为标准依据;Rigaku D/Max 2500PC X射线衍射仪对时效处理试样相组成进行分析,衍射角度为40°~104°,扫描速度为5°/min,依据“YB/T5338-2006 钢中残余奥氏体定量测试X射线衍射仪法”对奥氏体含量进行评定;Zeiss Sigma 500场发射扫描电镜进行EBSD观察,步长为0.2 μm;采用Aztec Crystal软件对EBSD结果进行降噪处理,以便后续测量马氏体板条束的尺寸。利用电火花线切割从不同时效处理试样上切取薄片,然后对其进行研磨、凹坑以及离子减薄以制备透射样品。最后,利用Talos F200X场发射透射电子显微镜对试样进行表征。
将不同时效处理后的试样制备成形状为“狗骨”状圆棒拉伸样品,平行段长度为30 mm,直径为5 mm,在Instron 5982试验机上进行拉伸试验,拉伸速率为1×10−5/s,拉伸前在试样的平行段内画出25 mm的标距线,以便测算断后延伸率。完成拉伸试验后,利用日本电子Jsm 6510或Zeiss Sigma 500场发射扫描电镜观察断口形貌。
2. 结果与讨论
2.1 金相组织
不同时效处理高钛马氏体时效不锈钢的光学显微组织如图1所示。由图1可知试样基体组织均为板条状马氏体,晶粒度评级结果都为5级,说明时效处理并不会影响高钛马氏体时效不锈钢的晶粒尺寸。除马氏体之外,晶界附近还存在少量的细小奥氏体[14-15]。
2.2 奥氏体含量
为进一步确定不同时效处理高钛马氏体时效不锈钢的微观组织,采用XRD分析了其相的组成(见图2),由结果可知高钛马氏体时效不锈钢内部主要有马氏体和奥氏体相。奥氏体相包括了固溶过程中没有完全转变为马氏体相的残留奥氏体,以及时效过程中部分马氏体逆相变而形成的逆变奥氏体[16-18]。依据YB/T 5338-2006 中奥氏体体积分数计算公式,见式(1),求得不同状态高钛马氏体时效不锈钢的奥氏体含量。
$$ V_{\text{A}}=\frac{1-V_{\text{C}}}{1+G\dfrac{I_{\text{M}(\text{hkl})\mathit{_{\text{i}}}}}{I_{\text{A}(\text{hkl})\mathit{_{\text{j}}}}}} $$ (1) 式中VA为钢中奥氏体相的体积分数;VC为钢中碳化物相总量的体积分数;$ I_{\text{M}(\text{hkl})\mathit{_{\text{i}}}} $为钢中马氏体(hkl)i晶面衍射线的累积强度;$ I_{\text{A}(\text{hkl})\mathit{_{\text{j}}}} $为钢中奥氏体(hkl)j晶面衍射线的累积强度;G为奥氏体(hkl)j晶面与马氏体(hkl)i晶面所对应的强度有关因子之比。
1050 -480、1050 -500、1050 -530和1050 -550样品的奥氏体体积分数计算结果分别为7.2%、5.7%、7.7%和5.1%。2.3 马氏体
马氏体可以在多尺度上进行表征,根据尺寸递减可以分为马氏体包(Packet)、板条束(Block)和板条(Lath)[19]。图3为不同温度时效处理高钛马氏体时效不锈钢的EBSD照片,由图3可知马氏体组织内部包含许多板条束(Block)。采用Image Pro Plus软件对马氏体板条束的长度和宽度进行测量,并且计算出马氏体板条束的平均长度、平均宽度和长宽比(见表2)。
1050 -480、1050 -500、1050 -530和1050 -550样品的马氏体板条束平均宽度分别为2.9、2.9、3.8 μm和3.5 μm;平均长度分别为18.3、19.6、17.1 μm和14.4 μm;长宽比分别为6.3、6.8、4.5和4.1。由上述结果可知,相同固溶条件下,时效温度改变对马氏体板条束尺寸的影响较小。表 2 马氏体板条束的平均尺寸Table 2. The average size of martensite block bundles样品名称 平均长度 /μm 平均宽度 /μm 长宽比 1050 -48018.3 2.9 6.3 1050 -50019.6 2.9 6.8 1050 -53017.1 3.8 4.5 1050 -55014.4 3.5 4.1 不同时效处理高钛马氏体时效不锈钢的马氏体板条TEM照片见图4,可以看到清晰的马氏体板条界面。不同时效处理高钛马氏体时效不锈钢的板条宽度统计如表3所示,
1050 -480、1050 -500、1050 -530和1050 -550样品的马氏体板条平均宽度分别为512.9、433.0、482.8 nm和363.1 nm。表 3 马氏体板条的平均尺寸Table 3. The average size of martensite lath bundles样品名称 平均宽度 /nm 1050 -480512.9 1050 -500433.0 1050 -530482.8 1050 -550363.1 2.4 析出相
不同时效处理高钛马氏体时效不锈钢内部的析出相形貌如图5所示,可以看到马氏体基体内存在大量纳米级析出相。由图5(a)(b)可知,
1050 -480和1050 -500样品内部包含大量密集分布的颗粒状析出相和少量的棒状析出相,结合图6(a)(b)EDS能谱可知,颗粒状和棒状析出相均为Ni3Ti,棒状析出相平均尺寸见表4。图5(c)(d)和表4显示了1050 -530和1050 -550样品的析出相形貌和平均尺寸情况,可以看到棒状析出相数量开始逐渐增多,尺寸逐渐增大,颗粒状析出相数量逐渐减少。其中,1050 -550样品内部的颗粒状析出相基本消失不见,由此推断颗粒状析出相为还未长大的Ni3Ti析出相。表 4 棒状析出相Ni3Ti的平均尺寸Table 4. The average size of rod-like precipitated phase Ni3Ti样品名称 平均宽度 /nm 平均长度 /nm 1050 -4802.8 11.5 1050 -5002.8 7.9 1050 -5304.3 15.9 1050 -5507.8 33.1 时效温度和时间都会影响析出相的尺寸和分布。在相同温度下进行时效时,Ni和Ti在时效初期就会出现明显偏聚形成Ni-Ti团簇;随时效时间的延长,团簇会在基体的位错上富集,并逐渐生长形成纳米级析出相[20];进一步延长时效时间,团簇数量密度会逐渐降低,析出相则会逐渐长大[21]。另外,时效温度与时效硬化速度正相关,随时效温度升高,峰时效出现的时间会缩短[11]。在相同时效时间下,析出相的尺寸会随时效温度的升高而增大[22],而析出相粗化会引起析出相间距的增大,即析出相分布变得稀疏[23],如图5(c)(d)所示。
2.5 拉伸行为
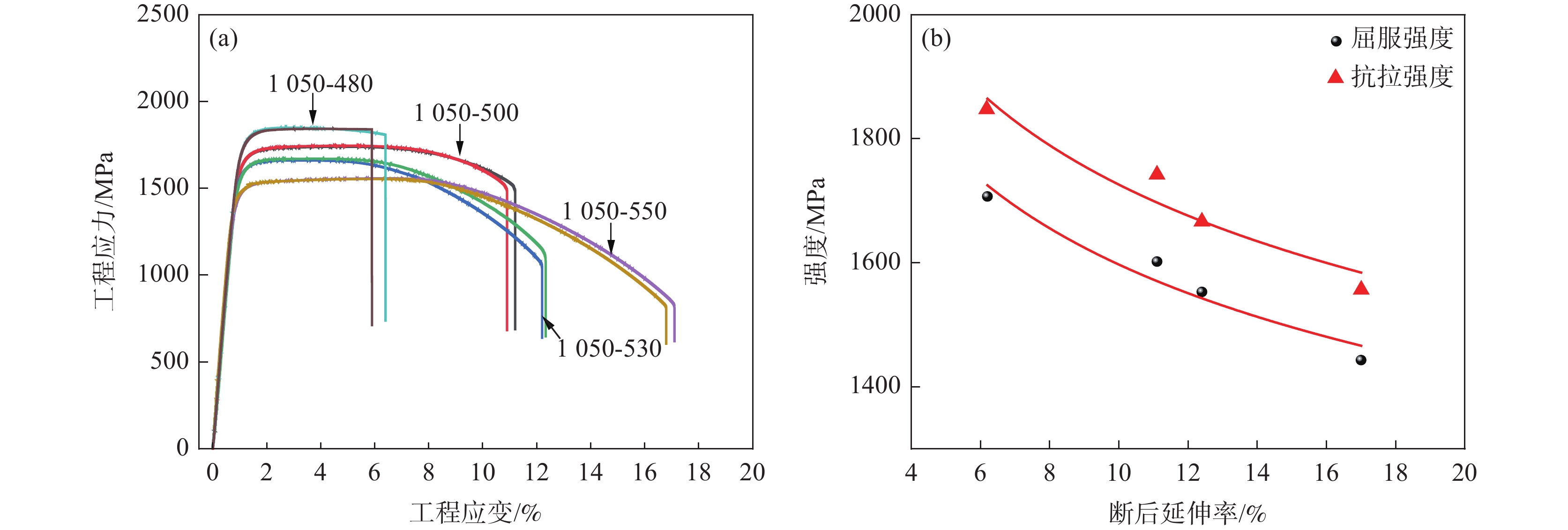
图7(a)为不同时效处理高钛马氏体时效不锈钢的拉伸工程应力-应变曲线,
1050 -550、1050 -530、1050 -500和1050 -480样品的拉伸性能见表5。图7(b)为屈服强度和抗拉强度与断后延伸率的关系,从图7(b)可以看出,随着屈服强度和抗拉强度的增加,断后延伸率持续减小。马氏体时效钢的强化机制主要有固溶强化、相变强化和析出强化[24];而析出强化是影响不同时效处理马氏体时效钢强度的关键因素。高钛马氏体时效不锈钢屈服强度的变化可以用Orowan关系式[25](式(2))来进行解释。表 5 不同时效处理高钛马氏体时效不锈钢的拉伸性能Table 5. Tensile properties of high-titanium maraging stainless steel obtained with different ageing treatments样品 屈服强
度/MPa抗拉强
度/MPa断后延
伸率/%断面收
缩率/%1050 -4801707 ±21 847±4 6.2±0.2 9.4±0.3 1050 -5001602 ±11743 ±311.1±0.2 25.0±3.9 1050 -5301553 ±41667 ±512.4±0.2 56.8±1.4 1050 -5501443 ±41556 ±217.0±0.2 67.6±0.5 $$ {\sigma _{\text{y}}} = {\sigma _0} + K \cdot \frac{{\ln \left(\frac{d}{b}\right)}}{\lambda } $$ (2) 式(2)中σy为屈服强度,为σ0未时效基体的屈服强度,K为常数,d为析出相等效球直径,b为柏氏矢量,λ为析出相间距。
由式(2)可以看出,增大析出相尺寸或降低析出相间距都会提高屈服强度。由表4和表5可以看出,随着Ni3Ti析出相尺寸的增大,高钛马氏体时效不锈钢的屈服强度呈降低趋势。而随析出相尺寸的增大,马氏体时效钢基体内析出相分布会逐渐变得稀疏(见图5),即析出相间距逐渐增大[23, 26]。结合式(2)可知,相比于析出相尺寸,析出相间距对马氏体时效钢屈服强度的影响更大。
图8给出了不同时效处理高钛马氏体时效不锈钢的拉伸断口形貌。
1050 -480样品的拉伸断口主要由解理面组成,呈现脆性断裂的特征,如图8(a)所示;1050 -500样品的拉伸断口由韧窝和解理面组成,呈现出韧性与脆性混合断裂的特征,如图8(b)所示;而1050 -530和1050 -550样品的拉伸断口形貌则主要由韧窝组成,呈现出韧性断裂的特征,如图8(c)和(d)所示。比较不同时效处理高钛马氏体时效钢的拉伸断口形貌特征可以发现,随强度降低,拉伸断裂特征从脆性断裂向韧性断裂转变,且韧窝尺寸逐渐增大。3. 结论
1)不同时效处理高钛马氏体时效不锈钢的组织为马氏体和少量奥氏体,马氏体基体内存在着大量的纳米级Ni3Ti析出相,
1050 -480、1050 -500、1050 -530和1050 -550样品的析出相的长度分别为11.5、7.9、15.9 nm和33.1 nm;宽度分别为2.8、2.8、4.3 nm和7.8 nm。2)相比于析出相尺寸,析出相间距对马氏体时效钢屈服强度的影响更大;随析出相尺寸的增大,析出相分布会逐渐变稀疏,高钛马氏体时效不锈钢的强度呈现出随析出相尺寸增大而降低的趋势;而拉伸断裂特征从脆性解理断裂向韧性断裂转变,韧窝尺寸逐渐增大。
-
表 1 新型高钛马氏体时效不锈钢的化学成分
Table 1. Chemical composition of the newly developed high-titanium martensitic aged stainless steel
% C Co Cr Mo Ni Ti O Ni 0.0022 ~0.0037 7.94~8.13 12.51~12.62 3.18~3.23 7.12~7.18 1.32~1.76 0.0005 ~0.0023 0.002~ 0.0044 表 2 马氏体板条束的平均尺寸
Table 2. The average size of martensite block bundles
样品名称 平均长度 /μm 平均宽度 /μm 长宽比 1050 -48018.3 2.9 6.3 1050 -50019.6 2.9 6.8 1050 -53017.1 3.8 4.5 1050 -55014.4 3.5 4.1 表 3 马氏体板条的平均尺寸
Table 3. The average size of martensite lath bundles
样品名称 平均宽度 /nm 1050 -480512.9 1050 -500433.0 1050 -530482.8 1050 -550363.1 表 4 棒状析出相Ni3Ti的平均尺寸
Table 4. The average size of rod-like precipitated phase Ni3Ti
样品名称 平均宽度 /nm 平均长度 /nm 1050 -4802.8 11.5 1050 -5002.8 7.9 1050 -5304.3 15.9 1050 -5507.8 33.1 表 5 不同时效处理高钛马氏体时效不锈钢的拉伸性能
Table 5. Tensile properties of high-titanium maraging stainless steel obtained with different ageing treatments
样品 屈服强
度/MPa抗拉强
度/MPa断后延
伸率/%断面收
缩率/%1050 -4801707 ±21 847±4 6.2±0.2 9.4±0.3 1050 -5001602 ±11743 ±311.1±0.2 25.0±3.9 1050 -5301553 ±41667 ±512.4±0.2 56.8±1.4 1050 -5501443 ±41556 ±217.0±0.2 67.6±0.5 -
[1] WANG B, NIU M C, WANG W, et al. Microstructure and strength-toughness of a Cu-contained maraging stainless steel[J]. Acta Metallurgica Sinica, 2023,59(5):636-646. (王滨, 牛梦超, 王威, 等. 含Cu马氏体时效不锈钢的组织与强韧性[J]. 金属学报, 2023,59(5):636-646.WANG B, NIU M C, WANG W, et al. Microstructure and strength-toughness of a Cu-contained maraging stainless steel[J]. Acta Metallurgica Sinica, 2023, 59(5): 636-646. [2] WANG W, YAN W, DUAN Q Q, et al. Study on fatigue property of a new 2.8 GPa grade maraging steel[J]. Materials Science and Engineering A, 2010,527(13-14):3057-3063. doi: 10.1016/j.msea.2010.02.002 [3] YANG K, ZHU H W, YU L M, et al. Effect of aging time on microstructure and mechanical properties of PH13-8Mo stainless steel[J]. Heat Treatment of Metals, 2023,48(3):100-103. (杨凯, 朱宏伟, 于利民, 等. 时效时间对PH13-8Mo不锈钢组织和力学性能的影响[J]. 金属热处理, 2023,48(3):100-103.YANG K, ZHU H W, YU L M, et al. Effect of aging time on microstructure and mechanical properties of PH13-8Mo stainless steel[J]. Heat Treatment of Metals, 2023, 48(3): 100-103. [4] WANG X M, HE W W, WEI H D, et al. Effect of heat treatment process on microstructure and mechanical properties of 17-4PH stainless steel[J]. Heat Treatment of Metals, 2023,48(6):85-88. (王旭明, 何文武, 魏海东, 等. 热处理工艺对17-4PH不锈钢组织和力学性能的影响[J]. 金属热处理, 2023,48(6):85-88.WANG X M, HE W W, WEI H D, et al. Effect of heat treatment process on microstructure and mechanical properties of 17-4PH stainless steel[J]. Heat Treatment of Metals, 2023, 48(6): 85-88. [5] ZHAN Z H, ZHANG Y L, CHENG G G, et al. Study on smelting deoxidation process of 15-5PH stainless steel large forgings[J]. Journal of Iron and Steel Research, 2021,33(8):752-758. (詹中华, 张延玲, 成国光, 等. 15-5PH不锈钢大型锻件冶炼脱氧工艺研究[J]. 钢铁研究学报, 2021,33(8):752-758.ZHAN Z H, ZHANG Y L, CHENG G G, et al. Study on smelting deoxidation process of 15-5PH stainless steel large forgings[J]. Journal of Iron and Steel Research, 2021, 33(8): 752-758. [6] CHEN J Y, YANG Z Y, SONG W S, et al. Effects of aging temperature on mechanical properties of Custom 465[J]. Journal of Iron and Steel Research, 2008,20(12):31-34. (陈嘉砚, 杨卓越, 宋维顺, 等. 时效温度对Custom 465钢力学性能的影响[J]. 钢铁研究学报, 2008,20(12):31-34.CHEN J Y, YANG Z Y, SONG W S, et al. Effects of aging temperature on mechanical properties of Custom 465[J]. Journal of Iron and Steel Research, 2008, 20(12): 31-34. [7] ZHANG S Y. Study on welding and heat treatment technology of Custom 455 precipitation hardening stainless steel[D]. Chengdou: Southwest Jiaotong University, 2022. (张思远. Custom 455沉淀硬化不锈钢焊接及热处理工艺研究[D]. 成都: 西南交通大学, 2022.ZHANG S Y. Study on welding and heat treatment technology of Custom 455 precipitation hardening stainless steel[D]. Chengdou: Southwest Jiaotong University, 2022. [8] ZHANG M, ZHU Q L. Heat treatment of 17-4PH stainless steel[J]. Heat Treatment of Metals, 2012,37(9):8-11. (张敏, 褚巧玲. 17-4PH不锈钢热处理工艺[J]. 金属热处理, 2012,37(9):8-11.ZHANG M, ZHU Q L. Heat treatment of 17-4PH stainless steel[J]. Heat Treatment of Metals, 2012, 37(9): 8-11. [9] WANG Q T. 00Cr13Ni7Co5Mo4W2 maraging stainless steel performance research[D]. Harbin: Harbin University of Science and Technology, 2014. (王启廷. 00Cr13Ni7Co5Mo4W2马氏体时效不锈钢性能研究[D]. 哈尔滨: 哈尔滨理工大学, 2014.WANG Q T. 00Cr13Ni7Co5Mo4W2 maraging stainless steel performance research[D]. Harbin: Harbin University of Science and Technology, 2014. [10] WANG X J, SHEN Q, YAN J J, et al. Precipitation characterization of NiAl and Cu-rich phases in dual-phase region of precipitation strengthening steel[J]. Acta Metallurgica Sinica, 2014,50(11):1305-1310. (王晓姣, 沈琴, 严菊杰, 等. 沉淀强化钢中两相区NiAl相和富Cu相的析出特点[J]. 金属学报, 2014,50(11):1305-1310. doi: 10.11900/0412.1961.2014.00118WANG X J, SHEN Q, YAN J J, et al. Precipitation characterization of NiAl and Cu-rich phases in dual-phase region of precipitation strengthening steel[J]. Acta Metallurgica Sinica, 2014, 50(11): 1305-1310. doi: 10.11900/0412.1961.2014.00118 [11] ZHEN C X, MA Q P, LIN L, et al. Effect of aging treatment on microstructure and properties of 00Cr13Ni7Co5Mo4Ti stainless steel[J]. Jiangxi Building Materials, 2015(3):65. (甄彩霞, 马庆朋, 林兰, 等. 时效处理对00Cr13Ni7Co5Mo4Ti不锈钢组织与性能的影响[J]. 江西建材, 2015(3):65.ZHEN C X, MA Q P, LIN L, et al. Effect of aging treatment on microstructure and properties of 00Cr13Ni7Co5Mo4Ti stainless steel[J]. Jiangxi Building Materials, 2015(3): 65. [12] LI K X, ZOU D N, ZHANG W, et al. Effect of aging temperature on microstructure and properties of Co-Cu alloying maraging hardening stainless steel[J]. Heat Treatment of Metals, 2017,42(11):72-76. (李科欣, 邹德宁, 张威, 等. 时效温度对Co-Cu合金化马氏体时效硬化不锈钢组织性能的影响[J]. 金属热处理, 2017,42(11):72-76.LI K X, ZOU D N, ZHANG W, et al. Effect of aging temperature on microstructure and properties of Co-Cu alloying maraging hardening stainless steel[J]. Heat Treatment of Metals, 2017, 42(11): 72-76. [13] DENG D W, CHEN R, TIAN X, et al. Influence of heat treatment on microstructure and properties of 17-4PH martensitic stainless steel[J]. Heat Treatment of Metals, 2013,38(4):32-36. (邓德伟, 陈蕊, 田鑫, 等. 热处理对17-4PH马氏体不锈钢显微组织及性能的影响[J]. 金属热处理, 2013,38(4):32-36.DENG D W, CHEN R, TIAN X, et al. Influence of heat treatment on microstructure and properties of 17-4PH martensitic stainless steel[J]. Heat Treatment of Metals, 2013, 38(4): 32-36. [14] HOU H, QI L, ZHAO Y H. Effect of austenitizing temperature on the mechanical properties of high-strength maraging steel[J]. Materials Science and Engineering A, 2013,587:209-212. doi: 10.1016/j.msea.2013.08.070 [15] LIU K, SHAN Y Y, YANG Z Y, et al. Effect of aging on microstructure and mechanical property of 1900 MPa grade maraging stainless steel[J]. Journal of Materials Science and Technology, 2007,23(3):312-318. [16] SINHA P P, SIVAKUMAR D, BABU N S, et al. Austenite reversion in 18 Ni Co-free maraging steel[J]. Steel Research, 1995,66(11):490-494. doi: 10.1002/srin.199501160 [17] PARDAL J M, TAVARES S S M, FONSECA M P C, et al. Study of the austenite quantification by X-ray diffraction in the 18Ni-Co-Mo-Ti maraging 300 steel[J]. Journal of Materials Science, 2006,41(8):2301-2307. doi: 10.1007/s10853-006-7170-y [18] ZEMTSOVA N D, KABANOVA I G, ANUFRIEVA E I. Kinetics and the mechanism of the realization of the reverse alpha-gamma transformation in the metastable Fe-Ni-Ti alloys: II. Electron-microscopic examination of the alloy structure[J]. Physics of Metals and Metallography, 2008,105(1):19-35. doi: 10.1134/S0031918X08010031 [19] LUO H W, WANG X H, et al. Influence of refined hierarchical martensitic microstructures on yield strength and impact toughness of ultra-high strength stainless steel[J]. Journal of Materials Science and Technology, 2020,51:130-136. doi: 10.1016/j.jmst.2020.04.001 [20] SHEKHTER A, AARONSON H I, et al. Effect of aging and deformation on the microstructure and properties of Fe−Ni−Ti maraging steel[J]. Metallurgical & Materials Transactions A, 2004, 35A:973-983. [21] TIAN J L, LI Y C, WANG W, et al. Alloying element segregation effect in a multi-phase strengthened maraging stainless steel[J]. Acta Metallurgica Sinica, 2016,52(12):1517-1526. (田家龙, 李永灿, 王威, 等. 多相强化型马氏体时效不锈钢中的合金元素偏聚效应[J]. 金属学报, 2016,52(12):1517-1526.TIAN J L, LI Y C, WANG W, et al. Alloying element segregation effect in a multi-phase strengthened maraging stainless steel[J]. Acta Metallurgica Sinica, 2016,52(12): 1517-1526. [22] VISWANATHAN U K, DEY G K, SETHUMADHAVAN V. Effects of austenite reversion during overageing on the mechanical properties of 18 Ni (350) maraging steel[J]. Materials Science and Engineering A, 2005, 398(1-2): 367-372. [23] REIS D G A, REIS P A D, ABDALLA J A, et al. High-temperature creep resistance and effects on the austenite reversion and precipitation of 18 Ni (300) maraging steel[J]. Materials Characterization, 2015,107:350-357. doi: 10.1016/j.matchar.2015.08.002 [24] WANG M M, WEI C Y, GUO G S, et al. Research progress on strengthening, toughening, and fatigue properties of ultra-high strength martensitic-based steel[J]. Transactions of Materials and Heat Treatment, 2023, 4(3):17-27. (王明明, 魏晨阳, 郭广顺, 等. 超高强度马氏体基钢强韧化及疲劳性能研究进展[J]. 材料热处理学报, 2023, 4(3):17-27.WANG M M, WEI C Y, GUO G S, et al. Research progress on strengthening, toughening, and fatigue properties of ultra-high strength martensitic-based steel[J]. Transactions of Materials and Heat Treatment, 2023, 4(3): 17-27. [25] VISWANATHAN U K, DEY G K, ASUNDI M K. Precipitation hardening in 350 grade maraging steel[J]. Metallurgical Transactions A, 1993, 24(11):2429-2442. doi: 10.1007/BF02646522 [26] WANG B, ZHANG P, DUAN Q Q, et al. Optimizing the fatigue strength of 18Ni maraging steel through ageing treatment[J]. Materials Science and Engineering A, 2017,707:674-688. doi: 10.1016/j.msea.2017.09.107 -

下载:
下载:







