中文核心期刊

SCOPUS 数据库收录期刊

中国科技核心期刊

美国《化学文摘》来源期刊

中国优秀冶金期刊

美国EBSCO数据库收录期刊

RCCSE中国核心学术期刊

美国《剑桥科学文摘》来源期刊

中国应用核心期刊(CACJ)

美国《乌利希期刊指南》收录期刊

中国学术期刊综合评价统计源刊

俄罗斯《文摘杂志》来源期刊

优秀中文科技期刊(西牛计划)

日本《科学技术文献数据库》(JST)收录刊

留言板

尊敬的读者、作者、审稿人, 关于本刊的投稿、审稿、编辑和出版的任何问题, 您可以本页添加留言。我们将尽快给您答复。谢谢您的支持!

姓名
邮箱
手机号码
标题
留言内容
验证码

不同成分钛合金焊丝激光-电弧复合焊接熔敷金属组织与性能研究

邹升光 何明涛 王大锋 姜彤 周洪刚 张文治 何逸凡

邹升光, 何明涛, 王大锋, 姜彤, 周洪刚, 张文治, 何逸凡. 不同成分钛合金焊丝激光-电弧复合焊接熔敷金属组织与性能研究[J]. 钢铁钒钛, 2025, 46(4): 59-65. doi: 10.7513/j.issn.1004-7638.2025.04.008
引用本文: 邹升光, 何明涛, 王大锋, 姜彤, 周洪刚, 张文治, 何逸凡. 不同成分钛合金焊丝激光-电弧复合焊接熔敷金属组织与性能研究[J]. 钢铁钒钛, 2025, 46(4): 59-65. doi: 10.7513/j.issn.1004-7638.2025.04.008
ZOU Shengguang, HE Mingtao, WANG Dafeng, JIANG Tong, ZHOU Honggang, ZHANG Wenzhi, HE Yifan. Research on the microstructure and properties of titanium alloy weld metal by laser-arc hybrid welding with different filler wires[J]. IRON STEEL VANADIUM TITANIUM, 2025, 46(4): 59-65. doi: 10.7513/j.issn.1004-7638.2025.04.008
Citation: ZOU Shengguang, HE Mingtao, WANG Dafeng, JIANG Tong, ZHOU Honggang, ZHANG Wenzhi, HE Yifan. Research on the microstructure and properties of titanium alloy weld metal by laser-arc hybrid welding with different filler wires[J]. IRON STEEL VANADIUM TITANIUM, 2025, 46(4): 59-65. doi: 10.7513/j.issn.1004-7638.2025.04.008

不同成分钛合金焊丝激光-电弧复合焊接熔敷金属组织与性能研究

doi: 10.7513/j.issn.1004-7638.2025.04.008
基金项目: 宁波市重点研发计划项目(2023Z098);“科创甬江2035”关键技术(2024Z170)。
详细信息
    作者简介:

    邹升光,1997年出生,男,安徽蚌埠人,硕士,长期从事激光复合焊工作,E-mail:528694317@qq.com

    通讯作者:

    王大锋,1987年出生,男,安徽阜阳人,博士,副研究员,长期从事激光复合焊接与表面工程技术研究工作,E-mail:bjing2013 saw@126.com

  • 中图分类号: TF823,TG44

Research on the microstructure and properties of titanium alloy weld metal by laser-arc hybrid welding with different filler wires

  • 摘要: 为探明激光−电弧复合焊接中钛合金焊丝熔敷金属组织性能的演变,分别以Ti-6Al-4V和Ti-4Al-3V-1.5Zr焊丝为焊材,利用摆动激光-MIG复合焊接工艺制备钛合金焊丝熔敷金属,采用X射线探伤、OM、SEM和EBSD分析熔敷金属的缺陷、组织、物相成分、晶粒尺寸和断口形貌。采用拉伸试验机、冲击试验机及维氏硬度仪测试熔敷金属的强度、冲击功和硬度。结果表明:摆动激光-MIG复合焊接钛合金熔敷金属内部无明显气孔和裂纹;Ti-6Al-4V焊丝熔敷金属由针叶状α相和网篮状β相组成,晶粒较小,平均晶粒尺寸约7.96 µm,硬度(HV0.2)、抗拉强度和冲击吸收功分别为257、1057 MPa和41.7 J;Ti-4Al-3V-1.5Zr焊丝熔敷金属主要由片层状α相构成,晶粒较大,平均晶粒尺寸为8.96 µm,硬度和抗拉强度较低,而冲击吸收功较大,冲击吸收功49.6 J。这与摆动激光复合焊熔敷工艺、Ti-6Al-4V中V元素的第二相强化和晶粒细化作用密切相关。
  • 图  1  激光-MIG复合熔敷装置示意

    Figure  1.  Schematic diagram of the oscillating laser-MIG hybrid welding device

    图  2  熔敷金属填充示意

    Figure  2.  Schematic diagram of the deposited metal

    图  3  熔敷金属取样位置

    Figure  3.  Sampling location of the deposited metal

    图  4  上层、层间以及下层硬度测试位置示意

    Figure  4.  Schematic diagram of upper layer and bottom layer and the interface hardness test position

    图  5  两种熔敷金属表面及探伤照片

    (a)Ti-6Al-4V宏观形貌; (b)Ti-6Al-4V探伤底片; (c)Ti-4Al-3V-1.5Zr宏观形貌; (d)Ti-4Al-3V-1.5Zr探伤底片

    Figure  5.  Photos of two deposited metal surfaces and flaw

    图  6  熔敷金属 XRD 谱

    Figure  6.  XRD spectra of the deposited metal

    图  7  两种焊丝熔敷金属不同区域金相组织

    Figure  7.  Metallographic structure of two wire deposited metals in different areas

    (a)~(d)Ti-6Al-4V; (e)~(h)Ti-4Al-3V-1.5Zr

    图  8  两种熔敷金属EBSD晶粒分布

    Figure  8.  Distribution diagram of EBSD grains of the two deposited metals

    (a)Ti-6Al-4V;(b)Ti-4Al-3V-1.5Zr

    图  9  两种熔敷材料的金属组织及EDS图

    Figure  9.  Metal tissue and EDS diagram of the two deposited materials

    (a)(b)Ti-6Al-4V;(c)(d)Ti-4Al-3V-1.5Zr

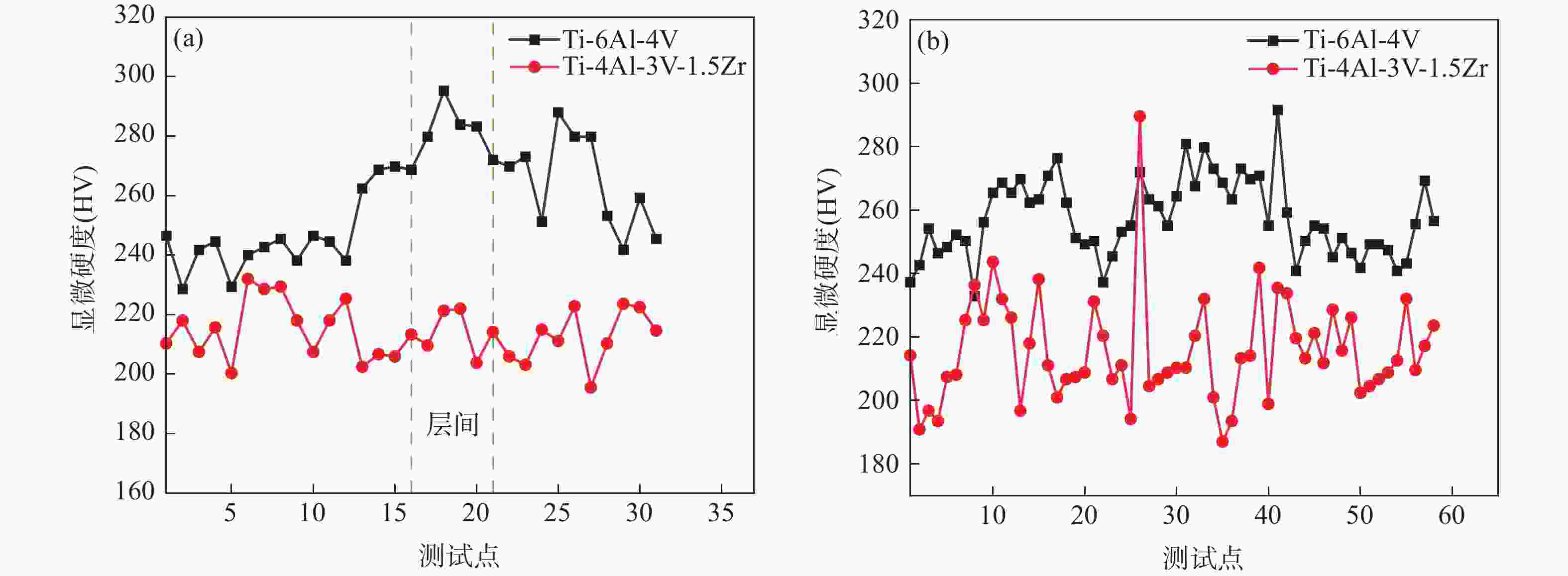
    图  10  两种熔敷材料的硬度分布

    (a)纵向硬度分布;(b)横向层间硬度分布

    Figure  10.  Hardness distribution of the two deposited materials

    图  11  拉伸断口形貌

    (a)Ti-6Al-4V断口扫描;(b)Ti-4Al-3V-1.5Zr断口扫描

    Figure  11.  Tensile fracture morphology

    图  12  冲击断口形貌

    (a)Ti-6Al-4V;(b)Ti-4Al-3V-1.5Zr

    Figure  12.  Impact fracture morphology

    表  1  Ti-6Al-4V和Ti-4Al-3V-1.5Zr焊丝化学成分

    Table  1.   Chemical compositions of Ti-6Al-4V and Ti-4Al-3V-1.5Zr wires %

    材料 Al V Fe O C N H Si Zr Ti
    Ti-6Al-4V 6.15 4.15 0.025 0.11 0.036 0.006 0.001 余量
    Ti-4Al-3V-1.5Zr 3.75 2.36 0.09 0.15 0.028 0.025 0.002 0.06 1.13 余量
    下载: 导出CSV

    表  2  摆动激光-MIG复合熔敷参数

    Table  2.   Parameters of oscillating laser-MIG hybrid welding

    层数 激光功率/kW 激光摆动频率/Hz 激光摆动幅度/mm 熔敷速度/(m·min−1 光丝间距/mm 电弧电流/A 机器人摆动幅度/mm
    1~5 2 300 1 0.2~0.4 2 180~220 4~10
    下载: 导出CSV

    表  3  各区域平均晶粒尺寸

    Table  3.   Average grain size of each region μm

    材料下层晶粒尺寸层间晶粒尺寸上层晶粒尺寸
    Ti-6Al-4V9.356.9847.55
    Ti-4Al-3V-1.5Zr9.6498.48.84
    下载: 导出CSV

    表  4  抗拉强度和断后伸长率

    Table  4.   Tensile strength and elongation

    材料 抗拉强度 Rm/MPa 断后伸长率 A/%
    Ti-6Al-4V 1057 9.5
    Ti-4Al-3V-1.5Zr 896 13.3
    下载: 导出CSV

    表  5  熔敷金属吸收功

    Table  5.   Impact absorption energy of the deposited metal

    材料 吸收功/J 平均值/J
    Ti-6Al-4V 40.9, 41.8, 42.4 41.7
    Ti-4Al-3V-1.5Zr 48.9,50.2,49.7 49.6
    下载: 导出CSV
  • [1] GAO Y N, ZHANG S, LIU J, et al. Joining process, microstructure and properties of ultra-thin plate TA1/304 dissimilar metals[J/OL]. Welding & Joining, 1-7[2024-10-05]. (郜雅楠, 张帅, 刘杰, 等. 超薄板TA1/304异种金属连接工艺、组织及性能[J/OL]. 焊接, 1-7[2024-10-05].

    GAO Y N, ZHANG S, LIU J, et al. Joining process, microstructure and properties of ultra-thin plate TA1/304 dissimilar metals[J/OL]. Welding & Joining, 1-7[2024-10-05].
    [2] YADAV P, SAXENA K K. Effect of heat-treatment on microstructure and mechanical properties of Ti alloys: an overview[J]. Materials Today: Proceedings, 2020, 26: 2546-2557. doi: 10.1016/j.matpr.2020.02.541
    [3] LIU G Q, FENG C J, XIN L, et al. Preparation and microstructure of diffused Ti-Al-Si coatings on Ti-6Al-4V alloy[J/OL]. Journal of Chinese Society for Corrosion and Protection, 1-18[2024-10-05]. (刘国强, 冯长杰, 辛丽, 等. 钛合金表面Ti-Al-Si扩散涂层的制备和显微结构[J/OL]. 中国腐蚀与防护学报, 1-18[2024-10-05].

    LIU G Q, FENG C J, XIN L, et al. Preparation and microstructure of diffused Ti-Al-Si coatings on Ti-6Al-4V alloy[J/OL]. Journal of Chinese Society for Corrosion and Protection, 1-18[2024-10-05].
    [4] MOTYKA M. Martensite formation and decomposition during traditional and AM processing of two phase titanium alloys—An overview[J]. Metals, 2021, 11(3): 481. doi: 10.3390/met11030481
    [5] LIU Q M, ZHANG Z H, LIU S F, et al. Application and development of titanium alloy in aerospace and military hardware[J]. Journal of Iron and Steel Research, 2015, 27(3): 1-4. (刘全明, 张朝晖, 刘世锋, 等. 钛合金在航空航天及武器装备领域的应用与发展[J]. 钢铁研究学报, 2015, 27(3): 1-4.

    LIU Q M, ZHANG Z H, LIU S F, et al. Application and development of titanium alloy in aerospace and military hardware[J]. Journal of Iron and Steel Research, 2015, 27(3): 1-4.
    [6] LING Z Y. Research on titanium alloy sheets and bending properties under the compound energy-field with temperature, ultrasonic vibration and speed[D]. Shenyang: Shenyang Aerospace University, 2022. (凌志远. 温度/超声/速度复合能场下钛合金板材及弯曲性能研究[D]. 沈阳: 沈阳航空航天大学, 2022.

    LING Z Y. Research on titanium alloy sheets and bending properties under the compound energy-field with temperature, ultrasonic vibration and speed[D]. Shenyang: Shenyang Aerospace University, 2022.
    [7] DU J, WEI Z Y, WANG X, et al. Numerical simulation and experimental research of fused deposition for forming large-size thin-walled parts[J]. Machinery Design & Manufacture, 2016(8): 86-89, 93. (杜军, 魏正英, 王鑫, 等. 大型薄壁件熔融成形数值计算与工艺实验研究[J]. 机械设计与制造, 2016(8): 86-89, 93. doi: 10.3969/j.issn.1001-3997.2016.08.023

    DU J, WEI Z Y, WANG X, et al. Numerical simulation and experimental research of fused deposition for forming large-size thin-walled parts[J]. Machinery Design & Manufacture, 2016(8): 86-89, 93. doi: 10.3969/j.issn.1001-3997.2016.08.023
    [8] WANG Y. Induction re-melt deposit welding for aluminum cladding to copper[D]. Nanjing: Nanjing University of Science & Technology, 2012. (汪云. 铜基体表面感应熔敷铝基材料[D]. 南京: 南京理工大学, 2012.

    WANG Y. Induction re-melt deposit welding for aluminum cladding to copper[D]. Nanjing: Nanjing University of Science & Technology, 2012.
    [9] CHEN W. Microstructure and mechanical property control of CMT arc additive manufacturing TC4 titanium alloy[D]. Nanchang: Nanchang University, 2019. (陈伟. CMT电弧增材制造TC4钛合金组织及力学性能调控[D]. 南昌: 南昌航空大学, 2019.

    CHEN W. Microstructure and mechanical property control of CMT arc additive manufacturing TC4 titanium alloy[D]. Nanchang: Nanchang University, 2019.
    [10] HU J, TAO M P, TANG J Y. Study on forming process and heat treatment behavior of 3D print TC4 titanium alloy[J]. Hot Working Technology, 2017, 46(16): 220-224. (胡婧, 陶梅平, 唐金颖. 3D打印TC4钛合金的成形工艺与热处理行为研究[J]. 热加工工艺, 2017, 46(16): 220-224.

    HU J, TAO M P, TANG J Y. Study on forming process and heat treatment behavior of 3D print TC4 titanium alloy[J]. Hot Working Technology, 2017, 46(16): 220-224.
    [11] GONCALO P, FILOMENO M, STEWART W. Laser stabilization of GMAW additive manufacturing of Ti-6Al-4V components[J]. Journal of Materials Processing Technology, 2019, 272: 1-8.
    [12] YAO Y L, FENG N Q. Automatic identification of robot weld defect image based on artificial neural network[J]. Machinery Design & Manufacture, 2023(6): 268-271, 276. (姚迎乐, 冯乃勤. 人工神经网络的机器人焊缝缺陷图像自动辨识[J]. 机械设计与制造, 2023(6): 268-271, 276. doi: 10.3969/j.issn.1001-3997.2023.06.056

    YAO Y L, FENG N Q. Automatic identification of robot weld defect image based on artificial neural network[J]. Machinery Design & Manufacture, 2023(6): 268-271, 276. doi: 10.3969/j.issn.1001-3997.2023.06.056
    [13] GAO P F, FAN J K, ZHANG J, et al. The influence of interlayer temperature on microstructure and properties of high nitrogen steel fabricated by arc additive manufacturing[J/OL]. Acta Armamentari, 1-12[2024-07-10]. (高鹏飞, 范霁康, 张建, 等. 层间温度对高氮钢电弧增材组织与性能的影响[J/OL]. 兵工学报, 1-12[2024-07-10].

    GAO P F, FAN J K, ZHANG J, et al. The influence of interlayer temperature on microstructure and properties of high nitrogen steel fabricated by arc additive manufacturing[J/OL]. Acta Armamentari, 1-12[2024-07-10].
    [14] LUAN Z F, DI X J, LI C N, et al. Effect of Al and Mg elements on the microstructure and mechanical properties of the fused metal[J]. Transactions of the China Welding Institution, 2022, 43(12): 20-26. (栾宗锋, 邸新杰, 利成宁, 等. Al和Mg元素对吉帕级熔敷金属组织和力学性能的影响[J]. 焊接学报, 2022, 43(12): 20-26. doi: 10.12073/j.hjxb.20211201001

    LUAN Z F, DI X J, LI C N, et al. Effect of Al and Mg elements on the microstructure and mechanical properties of the fused metal[J]. Transactions of the China Welding Institution, 2022, 43(12): 20-26. doi: 10.12073/j.hjxb.20211201001
    [15] YAO X Z, LI H J, YANG Z W, et al. Tailoring the microstructure and mechanical properties of wire arc additive manufactured Ti-6Al-4V alloy by trace TiC powder addition[J]. Transactions of the China Welding Institution, 2024, 45(6): 12-19. (姚兴中, 李会军, 杨振文, 等. 微量TiC粉末合金化改善电弧增材制造Ti-6Al-4V合金的组织和性能[J]. 焊接学报, 2024, 45(6): 12-19. doi: 10.12073/j.hjxb.20230422001

    YAO X Z, LI H J, YANG Z W, et al. Tailoring the microstructure and mechanical properties of wire arc additive manufactured Ti-6Al-4V alloy by trace TiC powder addition[J]. Transactions of the China Welding Institution, 2024, 45(6): 12-19. doi: 10.12073/j.hjxb.20230422001
    [16] ZHANG Z Q, LI H Q, HE S W, et al. Study on microstructure characterization by laser and CMT-P arc hybrid additive components[J]. Materials Protection, 2023, 56(10): 74-82. (张志强, 李涵茜, 贺世伟, 等. 激光与CMT-P电弧复合增材构件的微观组织特征研究[J]. 材料保护, 2023, 56(10): 74-82.

    ZHANG Z Q, LI H Q, HE S W, et al. Study on microstructure characterization by laser and CMT-P arc hybrid additive components[J]. Materials Protection, 2023, 56(10): 74-82.
  • 加载中
图(12) / 表(5)
计量
  • 文章访问数:  102
  • HTML全文浏览量:  46
  • PDF下载量:  7
  • 被引次数: 0
出版历程
  • 收稿日期:  2024-09-30
  • 网络出版日期:  2025-08-31
  • 刊出日期:  2025-08-31

目录

    /

    返回文章
    返回