中文核心期刊

SCOPUS 数据库收录期刊

中国科技核心期刊

美国《化学文摘》来源期刊

中国优秀冶金期刊

美国EBSCO数据库收录期刊

RCCSE中国核心学术期刊

美国《剑桥科学文摘》来源期刊

中国应用核心期刊(CACJ)

美国《乌利希期刊指南》收录期刊

中国学术期刊综合评价统计源刊

俄罗斯《文摘杂志》来源期刊

优秀中文科技期刊(西牛计划)

日本《科学技术文献数据库》(JST)收录刊

留言板

尊敬的读者、作者、审稿人, 关于本刊的投稿、审稿、编辑和出版的任何问题, 您可以本页添加留言。我们将尽快给您答复。谢谢您的支持!

姓名
邮箱
手机号码
标题
留言内容
验证码

碱金属氧化物对CaO-Al2O3保护渣熔体结构和黏性特性的影响

张晓博 田勇 刘承军

张晓博, 田勇, 刘承军. 碱金属氧化物对CaO-Al2O3保护渣熔体结构和黏性特性的影响[J]. 钢铁钒钛, 2025, 46(4): 135-141. doi: 10.7513/j.issn.1004-7638.2025.04.018
引用本文: 张晓博, 田勇, 刘承军. 碱金属氧化物对CaO-Al2O3保护渣熔体结构和黏性特性的影响[J]. 钢铁钒钛, 2025, 46(4): 135-141. doi: 10.7513/j.issn.1004-7638.2025.04.018
ZHANG Xiaobo, TIAN Yong, LIU Chengjun. Influence of alkali metal oxides on the melt structure and viscosity properties of CaO-Al2O3 based mold flux[J]. IRON STEEL VANADIUM TITANIUM, 2025, 46(4): 135-141. doi: 10.7513/j.issn.1004-7638.2025.04.018
Citation: ZHANG Xiaobo, TIAN Yong, LIU Chengjun. Influence of alkali metal oxides on the melt structure and viscosity properties of CaO-Al2O3 based mold flux[J]. IRON STEEL VANADIUM TITANIUM, 2025, 46(4): 135-141. doi: 10.7513/j.issn.1004-7638.2025.04.018

碱金属氧化物对CaO-Al2O3保护渣熔体结构和黏性特性的影响

doi: 10.7513/j.issn.1004-7638.2025.04.018
基金项目: 中国博士后基金面上项目(2023M730022);辽宁省科技计划联合计划项目(2023JH2/101800002)。
详细信息
    作者简介:

    张晓博,1989年出生,男,辽宁鞍山人,博士,汉族,工程师,研究方向:冶金渣系设计,E-mail:neuzhangxb@126.com

  • 中图分类号: TF044,TF777

Influence of alkali metal oxides on the melt structure and viscosity properties of CaO-Al2O3 based mold flux

  • 摘要: 低反应性CaO-Al2O3基保护渣可以大幅降低高铝钢连铸过程中的渣-钢反应强度,但此类保护渣黏度较大,结晶性能较强,易在结晶器弯月面处产生较大渣圈,造成铸坯缺陷。采用分子动力学模拟方法结合黏度测试试验,解析同为碱金属氧化物的Li2O、Na2O和K2O对CaO-Al2O3基保护渣熔体结构和黏性特性影响的异同,结果表明,碱金属氧化物对[AlO4]5−四面体进行电荷补偿遵循Li2O<Na2O<K2O的顺序,对铝酸盐网络结构的解聚能力遵循Li2O>Na2O>K2O的顺序。
  • 图  1  CaO-Al2O3基保护渣熔体结构示意

    (a)Al-O三配位结构;(b) Al-O四配位结构;(c) Al-O五配位结构

    Figure  1.  Schematic structure of CaO-Al2O3 based mold flux

    图  2  黏度测试装置示意

    Figure  2.  Schematic diagram of viscosity testing device in the experiment

    图  3  含不同碱性氧化物体系的偏径向分布函数和配位数曲线

    偏径向分布函数:(a)CaO-Al2O3-Li2O;(b)CaO-Al2O3-Na2O; (c)CaO-Al2O3-K2O  配位数曲线: (d) CaO-Al2O3-Li2O; (e) CaO-Al2O3-Na2O; (f) CaO-Al2O3-K2O

    Figure  3.  Radical distribution function and coordination number curves for systems containing different basic oxides

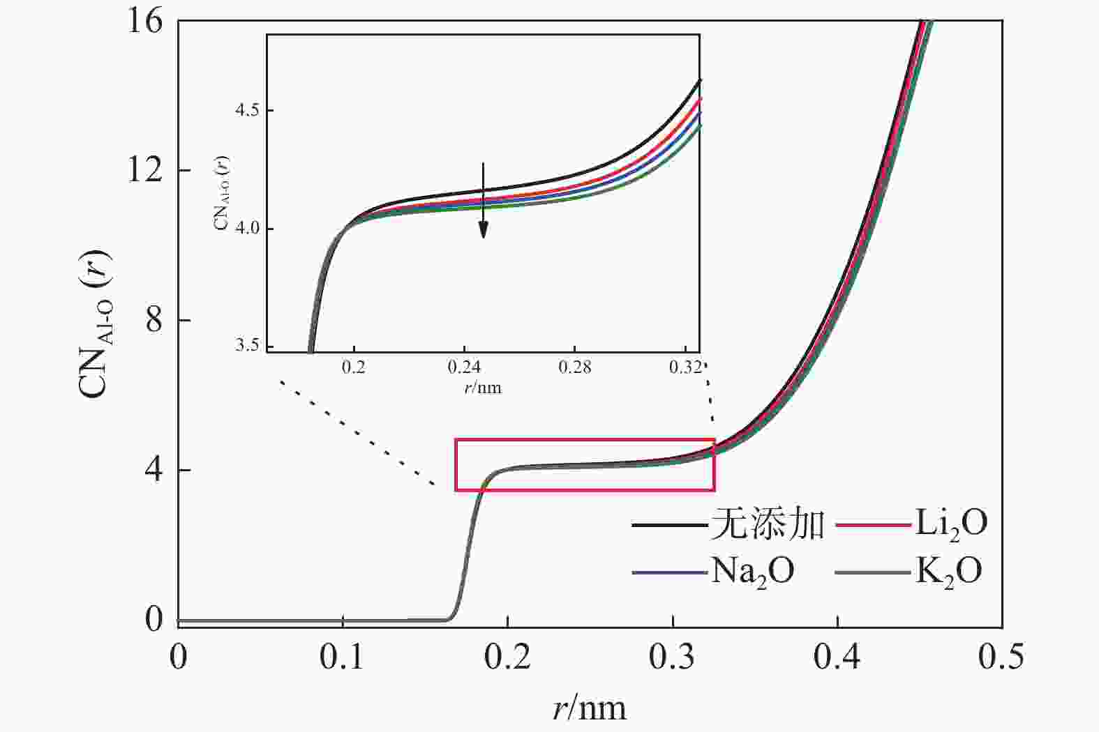
    图  4  不同碱性氧化物对CaO-Al2O3体系中Al-O配位数的影响

    Figure  4.  Effect of different basic oxides on Al-O coordination number in CaO-Al2O3 system

    图  5  不同碱性氧化物对CaO-Al2O3体系中氧类型分布的影响

    Figure  5.  Effect of different basic oxides on the distribution of oxygen types in the CaO-Al2O3 system

    图  6  不同碱性氧化物对CaO-Al2O3体系中Qn结构单元分布的影响

    Figure  6.  Effect of different basic oxides on the distribution of Qn structural units in the CaO-Al2O3 system

    图  7  不同碱性氧化物对CaO-Al2O3体系中键角分布的影响

    (a)O-Al-O键角分布;(b)Al-O-Al键角分布

    Figure  7.  Effect of different basic oxides on bond angle distribution in CaO-Al2O3 system

    图  8  不同碱性氧化物对CaO-Al2O3保护渣黏度-温度曲线的影响

    Figure  8.  Effect of different basic oxides on the viscosity-temperature curve of CaO-Al2O3 mold flux

    表  1  配加不同碱金属氧化物(Li2O、Na2O、K2O)体系的分子动力学模拟体系组成

    Table  1.   Composition of molecular dynamics simulation system with different alkali metal oxides (Li2O, Na2O, K2O) systems

    质量分数/% 粒子数量/个 密度/(g·cm−3
    CaO Al2O3 Li2O Na2O K2O CaO Al2O3 Li2O Na2O K2O 总数
    1 50 50 2107 1157 9999 2.77
    2 48 48 4 1 920 1055 295 10000 2.70
    3 48 48 4 2 009 1104 154 10000 2.72
    4 48 48 4 2 042 1122 102 10000 2.74
    下载: 导出CSV

    表  2  分子动力学模拟中采用的Buckingham势参数[21-23]

    Table  2.   Buckingham potential parameters used in molecular dynamics simulations

    粒子对Aij/eVρij/nmCij×106/(eV·nm6)
    Li-O37795.000.01654.34
    Na-O282278.800.0168.67
    K-O2149947.000.016513.00
    Ca-O717827.000.01658.67
    Al-O86057.580.01650.00
    O-O1497049.000.01717.34
    下载: 导出CSV

    表  3  黏度测试用保护渣化学成分

    Table  3.   Chemical compositions of mold flux for viscosity test %

    CaOAl2O3Li2ONa2OK2OCaF2B2O3
    140401010
    2383841010
    3383841010
    4383841010
    下载: 导出CSV
  • [1] WANG Q, QIU S T, ZHAO P, et al. Status of research on mold flux for high aluminum steel[J]. Steelmaking, 2012, 28(1): 74-78. (王强, 仇圣桃, 赵沛, 等. 高铝钢连铸保护渣的研究现状[J]. 炼钢, 2012, 28(1): 74-78.

    WANG Q, QIU S T, ZHAO P, et al. Status of research on mold flux for high aluminum steel[J]. Steelmaking, 2012, 28(1): 74-78.
    [2] WANG H, TANG P, WEN G H, et al. Research on the non-reactive mold powder for high aluminium steel[J]. Iron Steel Vanadium Titanium, 2010, 31(3): 20-24. (王欢, 唐萍, 文光华, 等. 高铝钢非反应性连铸保护渣的研究[J]. 钢铁钒钛, 2010, 31(3): 20-24. doi: 10.7513/j.issn.1004-7638.2010.03.005

    WANG H, TANG P, WEN G H, et al. Research on the non-reactive mold powder for high aluminium steel[J]. Iron Steel Vanadium Titanium, 2010, 31(3): 20-24. doi: 10.7513/j.issn.1004-7638.2010.03.005
    [3] YUTAKA Y, YASUHIRO K, TOSHIHIKO E, et al. Powder for surface coating of molten metal in continuous casting[P]. JPS6356019B2 [P/OL]. 1988-11-07.
    [4] ZHU Z M, ZHANG C, CAI D X, et al. A kind of continuous casting mold flux for high aluminum steel and its manufacturing method: CN200710042540.6[P]. 2010-05-19. (朱祖民, 张晨, 蔡得祥, 等. 一种高铝钢用连铸保护渣及其制造方法: CN200710042540.6[P]. 2010-05-19.

    ZHU Z M, ZHANG C, CAI D X, et al. A kind of continuous casting mold flux for high aluminum steel and its manufacturing method: CN200710042540.6[P]. 2010-05-19.
    [5] WANG H, TANG P, WEN G H, et al. Effect of Na2O on crystallization behavior and heat transfer of high Al steel mould fluxes[J]. Ironmaking and Steelmaking, 2011, 38(5): 369-373. doi: 10.1179/1743281211Y.0000000011
    [6] STŔEET S. Production of high-aluminum steel slabs[J]. Iron and Steel Technology, 2008, 7: 38-49.
    [7] BLAZEK K, YIN H, SKOCZYLAS G, et al. Development and evaluation of lime aluminum-based mold powders for casting high-aluminum TRIP steel grades[J]. AIST Transactions, 2011, 8: 232-240.
    [8] HE S P, LIU Y D, LI Q H, et al. Research progress of mold fluxes for high-Al steel[J]. Iron and Steel, 2024, 59(5): 1-11. (何生平, 刘亚东, 李权辉, 等. 高铝钢连铸保护渣研究进展[J]. 钢铁, 2024, 59(5): 1-11.

    HE S P, LIU Y D, LI Q H, et al. Research progress of mold fluxes for high-Al steel[J]. Iron and Steel, 2024, 59(5): 1-11.
    [9] ZHANG C, CAI D X. Investigation on development of low-Li2O mold fluxes used for high aluminum steel[J]. Steelmaking, 2017, 33(3): 51-55. (张晨, 蔡得祥. 高铝钢用低Li2O保护渣的开发研究[J]. 炼钢, 2017, 33(3): 51-55.

    ZHANG C, CAI D X. Investigation on development of low-Li2O mold fluxes used for high aluminum steel[J]. Steelmaking, 2017, 33(3): 51-55.
    [10] PAN W J, LI M, ZHU L L, et al. Effect of Na2O on properties of ultra-high basicity continuous casting mold fluxes[J]. Iron and Steel, 2022, 57(1): 93-101. (潘伟杰, 李民, 朱礼龙, 等. Na2O对超高碱度连铸保护渣性能的影响[J]. 钢铁, 2022, 57(1): 93-101.

    PAN W J, LI M, ZHU L L, et al. Effect of Na2O on properties of ultra-high basicity continuous casting mold fluxes[J]. Iron and Steel, 2022, 57(1): 93-101.
    [11] SEO M S, SOHN I. Substitutional effect of Na2O with K2O on the viscosity and structure of CaO-SiO2-CaF2‐based mold flux systems[J]. Journal of the American Ceramic Society, 2019, 102(10): 6275-6283. doi: 10.1111/jace.16456
    [12] LI C, QI J, LIU C J, et al. Effect of fluxing agent on the properties of CaO-Al2O3 based mold flux[J]. Iron Steel Vanadium Titanium, 2021, 42(4): 124-130. (李晨, 亓捷, 刘承军, 等. 助熔剂对CaO-Al2O3基保护渣理化性能的影响[J]. 钢铁钒钛, 2021, 42(4): 124-130. doi: 10.7513/j.issn.1004-7638.2021.04.021

    LI C, QI J, LIU C J, et al. Effect of fluxing agent on the properties of CaO-Al2O3 based mold flux[J]. Iron Steel Vanadium Titanium, 2021, 42(4): 124-130. doi: 10.7513/j.issn.1004-7638.2021.04.021
    [13] KIM G H, SOHN I. Influence of Li2O on the viscous behavior of CaO-Al2O3-12 mass% Na2O-12 mass% CaF2 based slags[J]. ISIJ International, 2012, 52(1): 68-73. doi: 10.2355/isijinternational.52.68
    [14] ZHANG X B, LIU C J, JIANG M F. Molecular dynamics simulations of melt structure properties of CaO-Al2O3-Na2O slag[J]. Metallurgical and Materials Transactions B, 2021, 52(4): 2604-2611. doi: 10.1007/s11663-021-02184-9
    [15] ZHANG G H, CHOU K C. Measuring and modeling viscosity of CaO-Al2O3-SiO2(-K2O) melt[J]. Metallurgical and Materials Transactions B, 2012, 43: 841-848. doi: 10.1007/s11663-012-9668-9
    [16] ZHANG X B, LIU C J, JIANG M F. Effect of fluorine on melt structure for CaO-SiO2-CaF2 and CaO-Al2O3-CaF2 by molecular dynamics simulations[J]. ISIJ International, 2020, 60(10): 2176-2182. doi: 10.2355/isijinternational.ISIJINT-2020-002
    [17] ZHANG X B, LIU C J, JIANG M F. Effect of Na ions on melt structure and viscosity of CaO-SiO2-Na2O by molecular dynamics simulations[J]. ISIJ International, 2021, 61(5): 1389-1395. doi: 10.2355/isijinternational.ISIJINT-2020-635
    [18] JEREBTSOV D, MIKHAILOV G. Phase diagram of CaO-Al2O3 system[J]. Ceramics International, 2001, 27(1): 25-28. doi: 10.1016/S0272-8842(00)00037-7
    [19] WU T, HE S P, LIANG Y, et al. Molecular dynamics simulation of the structure and properties for the CaO-SiO2 and CaO-Al2O3 systems[J]. Journal of Non-Crystalline Solids, 2015, 411: 145-151. doi: 10.1016/j.jnoncrysol.2014.12.030
    [20] NOSÉ S. A molecular dynamics method for simulations in the canonical ensemble[J]. Molecular Physics, 1984, 52(2): 255-268. doi: 10.1080/00268978400101201
    [21] SAETOVA N, RASKOVALOV A, ANTONOV B, et al. Structural features of Li2O-V2O5-B2O3 glasses: Experiment and molecular dynamics simulation[J]. Journal of Non-Crystalline Solids, 2020, 545: 120253. doi: 10.1016/j.jnoncrysol.2020.120253
    [22] BELASHCHENKO D K, SKVORTSOV L V. Molecular dynamics study of CaO–Al2O3 melts[J]. Inorganic Materials, 2001, 37: 476-481. doi: 10.1023/A:1017576717112
    [23] WU T, WANG Q, YAO T, et al. Molecular dynamics simulations of the structural properties of Al2O3-based binary systems[J]. Journal of Non-Crystalline Solids, 2016, 435: 17-26. doi: 10.1016/j.jnoncrysol.2015.12.025
    [24] CORMIER L, NEUVILLE D R, CALAS G. Structure and properties of low-silica calcium aluminosilicate glasses[J]. Journal of Non-Crystalline Solids, 2000, 274(1-3): 110-114. doi: 10.1016/S0022-3093(00)00209-X
    [25] HANNON A C, PARKER J M. The structure of aluminate glasses by neutron diffraction[J]. Journal of Non-Crystalline Solids, 2000, 274(1-3): 102-109. doi: 10.1016/S0022-3093(00)00208-8
    [26] KARLSSON C, ZANGHELLINI E, SWENSON J, et al. Structure of mixed alkali/alkaline-earth silicate glasses from neutron diffraction and vibrational spectroscopy[J]. Physical Review B, 2005, 72(6): 064206. doi: 10.1103/PhysRevB.72.064206
    [27] LI K, KHANNA R, BOUHADJA M, et al. A molecular dynamic simulation on the factors influencing the fluidity of molten coke ash during alkalization with K2O and Na2O[J]. Chemical Engineering Journal, 2017, 313: 1184-1193. doi: 10.1016/j.cej.2016.11.011
    [28] JIA B, LI M, YAN X, et al. Structure investigation of CaO-SiO2-Al2O3-Li2O by molecular dynamics simulation and Raman spectroscopy[J]. Journal of Non-Crystalline Solids, 2019, 526: 119695. doi: 10.1016/j.jnoncrysol.2019.119695
    [29] WU T, YANG W, ZHANG C, et al. Microstructural analysis by molecular dynamics simulation of aluminate ternary slag with alkaline oxide[J]. Journal of Non-Crystalline Solids, 2021, 570: 121044. doi: 10.1016/j.jnoncrysol.2021.121044
    [30] MCMILLAN P, PIRIOU B. The structures and vibrational spectra of crystals and glasses in the silica-alumina system[J]. Journal of Non-Crystalline Solids, 1982, 53(3): 279-298. doi: 10.1016/0022-3093(82)90086-2
    [31] MYSEN B O, VIRGO D, SCARFE C. Relations between the anionic structure and viscosity of silicate melts; a Raman spectroscopic study[J]. American Mineralogist, 1980, 65: 690-710.
  • 加载中
图(8) / 表(3)
计量
  • 文章访问数:  41
  • HTML全文浏览量:  19
  • PDF下载量:  6
  • 被引次数: 0
出版历程
  • 收稿日期:  2024-12-17
  • 网络出版日期:  2025-08-31
  • 刊出日期:  2025-08-31

目录

    /

    返回文章
    返回