中文核心期刊

SCOPUS 数据库收录期刊

中国科技核心期刊

美国《化学文摘》来源期刊

中国优秀冶金期刊

美国EBSCO数据库收录期刊

RCCSE中国核心学术期刊

美国《剑桥科学文摘》来源期刊

中国应用核心期刊(CACJ)

美国《乌利希期刊指南》收录期刊

中国学术期刊综合评价统计源刊

俄罗斯《文摘杂志》来源期刊

优秀中文科技期刊(西牛计划)

日本《科学技术文献数据库》(JST)收录刊

留言板

尊敬的读者、作者、审稿人, 关于本刊的投稿、审稿、编辑和出版的任何问题, 您可以本页添加留言。我们将尽快给您答复。谢谢您的支持!

姓名
邮箱
手机号码
标题
留言内容
验证码

铌析出物对X80管线钢抗氢致裂纹性能的影响

任振渔 宋波 许国方 程文森

任振渔, 宋波, 许国方, 程文森. 铌析出物对X80管线钢抗氢致裂纹性能的影响[J]. 钢铁钒钛, 2025, 46(4): 166-173. doi: 10.7513/j.issn.1004-7638.2025.04.022
引用本文: 任振渔, 宋波, 许国方, 程文森. 铌析出物对X80管线钢抗氢致裂纹性能的影响[J]. 钢铁钒钛, 2025, 46(4): 166-173. doi: 10.7513/j.issn.1004-7638.2025.04.022
REN Zhenyu, SONG Bo, XU Guofang, CHENG Wensen. Influence of niobium precipitates on the hydrogen-induced cracking resistance of X80 pipeline steel[J]. IRON STEEL VANADIUM TITANIUM, 2025, 46(4): 166-173. doi: 10.7513/j.issn.1004-7638.2025.04.022
Citation: REN Zhenyu, SONG Bo, XU Guofang, CHENG Wensen. Influence of niobium precipitates on the hydrogen-induced cracking resistance of X80 pipeline steel[J]. IRON STEEL VANADIUM TITANIUM, 2025, 46(4): 166-173. doi: 10.7513/j.issn.1004-7638.2025.04.022

铌析出物对X80管线钢抗氢致裂纹性能的影响

doi: 10.7513/j.issn.1004-7638.2025.04.022
基金项目: 国家自然科学基金(52074025)。
详细信息
    作者简介:

    任振渔,1999年出生,男,陕西榆林人,硕士研究生,主要从事金属材料研究,E-mail:15929979281@163.com

    通讯作者:

    宋波,1963年出生,男,北京人,博士,教授,主要从事氧化物、稀土冶金研究,E-mail:songbo@metall.ustb.edu.cn

  • 中图分类号: TF76,TG142.1

Influence of niobium precipitates on the hydrogen-induced cracking resistance of X80 pipeline steel

  • 摘要: 研究了Nb含量对X80管线钢中析出相特征、氢扩散行为、抗氢致裂纹(HIC)性能的影响。结果表明:随着钢中Nb含量增加,在相同的统计面积下,钢中纳米级析出相数量由Nb1钢(含铌0.04%)中的87个增加到Nb3钢(含铌0.12%)中的506个,钢中NbC占比由64.82%增加到98.22%。氢原子在钢中的扩散系数由Nb1钢中的1.63×10−6 cm2/s降低到Nb3钢中的9.35×10−7 cm2/s。钢中裂纹的扩展模式由Nb1钢中沿晶、穿晶混合变为Nb2、Nb3钢中的以穿晶为主。纳米级NbC可作为氢陷阱捕获钢中可扩散氢原子,降低氢原子的聚集和钢中氢致裂纹的萌生。当钢中Nb含量为0.12%时,钢的抗HIC性能最好。
  • 图  2  氢渗透试验示意

    1-参比电极;2-试样;3,4-铂电极

    Figure  2.  Schematic diagram of hydrogen permeation experiment

    图  1  试样钢加工流程

    Figure  1.  Flow diagram of steel processing

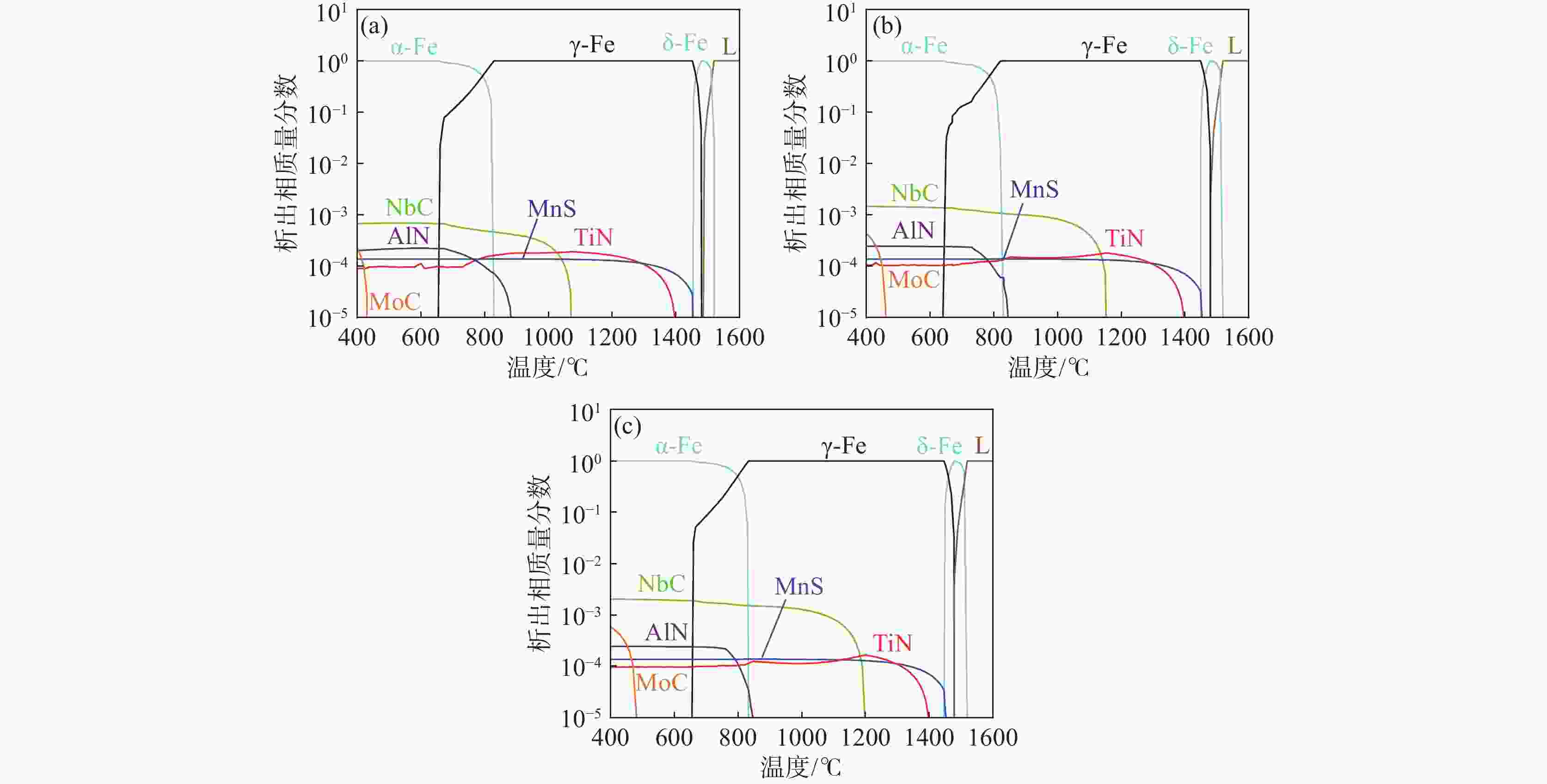
    图  3  含Nb试验钢平衡相析出行为

    (a) Nb1; (b) Nb2; (c) Nb3

    Figure  3.  Equilibrium phase precipitation behavior of niobium-containing steels

    图  4  三种试验钢中析出相形貌及尺寸分布

    Figure  4.  The morphology and size distribution of the precipitated phases in the three test steels

    (a)(d)Nb1;(b)(e)Nb2;(c)(f)Nb3

    图  5  典型析出相分析

    Figure  5.  Typical precipitate phase analysis

    (a) TiN; (b) NbC

    图  6  三种试验钢显微组织

    Figure  6.  Microstructure of three different experimental steels

    (a)Nb1;(b)Nb2;(c)Nb3

    图  7  试验钢氢渗透曲线

    Figure  7.  Hydrogen permeation curves of different experimental steels

    图  8  试验钢氢致裂纹敏感性参数

    Figure  8.  Parameters for HIC of tested steels

    图  9  夹杂物作为裂纹源的SEM图像及能谱分析

    (a) SEM图像; (b)能谱分析

    Figure  9.  SEM image and energy spectrum analysis of inclusions as crack sources

    图  10  试验钢裂纹扩展模式SEM图像

    Figure  10.  SEM image of crack propagation modes in different experimental steels

    (a) Nb1; (b) Nb2; (c) Nb3

    表  1  试验钢化学成分

    Table  1.   The chemical compositions of experimental steels %

    编号CSiMnSMoNbTiCrNi
    Nb10.0560.201.810.0040.110.040.010.260.26
    Nb20.0560.201.820.0050.110.080.010.260.25
    Nb30.0580.201.820.0050.110.120.010.260.25
    下载: 导出CSV

    表  2  含铌钢中NbC平衡相的析出参数

    Table  2.   Precipitation parameters of the NbC equilibrium phase in niobium-containing steels

    编号析出温度/℃最大析出质量分数
    Nb110706.89×10−4
    Nb211501.3×10−3
    Nb312002.0×10−3
    下载: 导出CSV

    表  3  试验钢中不同析出相占比和平均尺寸

    Table  3.   Proportions and average sizes of different precipitated phases in experimental steels

    编号TiNNbC
    占比/%平均尺寸/nm占比/%平均尺寸/nm
    Nb135.1844.864.829.0
    Nb24.8258.895.1810.4
    Nb31.7840.098.2210.3
    下载: 导出CSV

    表  4  试验钢氢渗透参数

    Table  4.   Hydrogen permeation parameters of different experimental steels

    编号 L/mm I/μA tL/s J×10−10/(mol·cm−2·s−1) Dapp×10−6/(cm2·s−1) Capp×10−5/(mol·cm−3) NT×1020/cm−3
    Nb1 1.14 21.5 1329 1.27 1.63 0.885 1.38
    Nb2 1.14 20.7 2163 1.22 1.00 1.39 3.53
    Nb3 1.18 20.0 2481 1.18 0.935 1.49 4.05
    下载: 导出CSV
  • [1] GAO H L. Pipeline steel and pipeline steel pipe[M]. Beijing: China Petrochemical Press, 2012. (高惠临. 管线钢与管线钢管[M]. 北京: 中国石化出版社, 2012.

    GAO H L. Pipeline steel and pipeline steel pipe[M]. Beijing: China Petrochemical Press, 2012.
    [2] FENG H, CHI Q, JI L K, et al. Research and development of hydrogen embrittlement of pipeline steel[J]. Corrosion Science and Protection Technology, 2017, 29(3): 318-322. (封辉, 池强, 吉玲康, 等. 管线钢氢脆研究现状及进展[J]. 腐蚀科学与防护技术, 2017, 29(3): 318-322. doi: 10.11903/1002.6495.2016.154

    FENG H, CHI Q, JI L K, et al. Research and development of hydrogen embrittlement of pipeline steel[J]. Corrosion Science and Protection Technology, 2017, 29(3): 318-322. doi: 10.11903/1002.6495.2016.154
    [3] WANG X M, JIN P P, WANG A, et al. Research on corrosion and protection of petroleum and natural gas pipelines[J]. Liaoning Chemical Industry, 2023, 52(11): 1602-1605. (汪仙明, 靳培培, 王傲, 等. 石油天然气管道腐蚀与防护[J]. 辽宁化工, 2023, 52(11): 1602-1605.

    WANG X M, JIN P P, WANG A, et al. Research on corrosion and protection of petroleum and natural gas pipelines[J]. Liaoning Chemical Industry, 2023, 52(11): 1602-1605.
    [4] FAN Y W, WU M, CHEN X, et al. Research progress of hydrogen induced cracking for pipeline steel[J]. Thermal Working Technology, 2017, 46(4): 48-53. (范裕文, 吴明, 陈旭, 等. 管线钢氢致开裂研究现状[J]. 热加工工艺, 2017, 46(4): 48-53.

    FAN Y W, WU M, CHEN X, et al. Research progress of hydrogen induced cracking for pipeline steel[J]. Thermal Working Technology, 2017, 46(4): 48-53.
    [5] CHENG Y F, SUN Y H, ZHANG Y D. Development of hydrogen pipelines and hydrogen embrittlement challenges of pipeline steel[J]. Journal of Yangtze University, 2022, 19(1): 54-69. (程玉峰, 孙颖昊, 张引弟. 氢气管道发展与管线钢氢脆挑战[J]. 长江大学学报, 2022, 19(1): 54-69.

    CHENG Y F, SUN Y H, ZHANG Y D. Development of hydrogen pipelines and hydrogen embrittlement challenges of pipeline steel[J]. Journal of Yangtze University, 2022, 19(1): 54-69.
    [6] LI T Y, CHEN Y M, MA G Q, et al. Effect of microalloying by adding Nb and V on phase precipitation behaviors and strengths of high strength pipeline steels[J]. Angang Technology, 2023(6): 64-70, 83. (李天怡, 陈义冕, 马国强, 等. Nb、V微合金化对高强管线钢相析出及强度的影响[J]. 鞍钢技术, 2023(6): 64-70, 83. doi: 10.3969/j.issn.1006-4613.2023.06.0011

    LI T Y, CHEN Y M, MA G Q, et al. Effect of microalloying by adding Nb and V on phase precipitation behaviors and strengths of high strength pipeline steels[J]. Angang Technology, 2023(6): 64-70, 83. doi: 10.3969/j.issn.1006-4613.2023.06.0011
    [7] DU J W, MING H L, WANG J Q. Research status and progress of hydrogen embrittlement of hydrogen pi[elines[J]. Oil& Gas Storage and Transportation, 2023, 42(10): 1107-1117. (杜建伟, 明洪亮, 王俭秋. 输氢管道氢脆研究现状及进展[J]. 油气储运, 2023, 42(10): 1107-1117.

    DU J W, MING H L, WANG J Q. Research status and progress of hydrogen embrittlement of hydrogen pi[elines[J]. Oil& Gas Storage and Transportation, 2023, 42(10): 1107-1117.
    [8] DEPOVER T, VERBEKEN K. The effect of TiC on the hydrogen induced ductility loss and trapping behavior of Fe-C-Ti alloys[J]. Corrosion Science, 2016, 112: 308-326. doi: 10.1016/j.corsci.2016.07.013
    [9] LI L F, SONG B, CHENG J, et al. Effects of vanadium precipitates on hydrogen trapping efficiency and hydrogen induced cracking resistance in X80 pipeline steel[J]. International Journal of Hydrogen Energy, 2018, 43(36): 17353-17363. doi: 10.1016/j.ijhydene.2018.07.110
    [10] WAN R C, YU M. Effects of Nb on austenite dynamic recovery and dynamic recrystallization of low-carbon steels[J]. Thermal Working Technology, 2015, 44(2): 115-117, 20. (万荣春, 于淼. 铌对低碳钢奥氏体的变形及动态回复再结晶的影响[J]. 热加工工艺, 2015, 44(2): 115-117, 20.

    WAN R C, YU M. Effects of Nb on austenite dynamic recovery and dynamic recrystallization of low-carbon steels[J]. Thermal Working Technology, 2015, 44(2): 115-117, 20.
    [11] ZHANG S Q, WAN J F, ZHAO Q Y, et al. Dual role of nanosized NbC precipitates in hydrogen embrittlement susceptibility of lath martensitic steel[J]. Corrosion Science, 2020, 164: 108345. doi: 10.1016/j.corsci.2019.108345
    [12] FAN Y Q, MA C W, LI S P, et al. Effect of Nb on the hydrogen-induced cracking of X80 pipeline steel[J]. Journal of Physics: Conference Series, 2023, 2566(1): 012082. doi: 10.1088/1742-6596/2566/1/012082
    [13] WANG H. Research on the effects of dispersion precipitates on hydrogen behavior in structural steels[D]. Wuhan: Huazhong University of Science and Technology, 2023. (王恒. 弥散析出相对结构钢中氢行为影响机制的研究[D]. 武汉: 华中科技大学, 2023.

    WANG H. Research on the effects of dispersion precipitates on hydrogen behavior in structural steels[D]. Wuhan: Huazhong University of Science and Technology, 2023.
    [14] MA Y, SHI Y F, WANG H Y, et al. A first-principles study on the hydrogen trap characteristics of coherent nano-precipitates in α-Fe[J]. International Journal of Hydrogen Energy, 2020, 45(51): 27941-27949. doi: 10.1016/j.ijhydene.2020.07.123
    [15] GUO A M, MA M T, XU Z, et al. EVI with embrittlement[M]. Beijing: Beijing Institute of Technology Press, 2023. (郭爱民, 马鸣图, 徐佐, 等. EVI与氢脆[M]. 北京: 北京理工大学出版社, 2023.

    GUO A M, MA M T, XU Z, et al. EVI with embrittlement[M]. Beijing: Beijing Institute of Technology Press, 2023.
    [16] RAMIREZ M F G, HERNÁNDEZ J W C, LADINO D H, et al. Effects of different cooling rates on the microstructure, crystallographic features, and hydrogen induced cracking of API X80 pipeline steel[J]. Journal of Materials Research and Technology, 2021, 14: 1848-1861. doi: 10.1016/j.jmrt.2021.07.060
    [17] GOU J X, XING X, CUI G, et al. Hydrogen-induced cracking in CGHAZ of welded X80 steel under tension load[J]. 2023, 13(7): 1307-1325.
    [18] MOHTADI-BONAB M A, SZPUNAR J A, RAZAVI-TOUSI S S. Hydrogen induced cracking susceptibility in different layers of a hot rolled X70 pipeline steel[J]. International Journal of Hydrogen Energy, 2013, 38(31): 13831-13841. doi: 10.1016/j.ijhydene.2013.08.046
    [19] XIE D G, WAN L, SHAN Z W. Hydrogen enhanced cracking via dynamic formation of grain boundary inside aluminium crystal[J]. Corrosion Science, 2021, 183: 109307. doi: 10.1016/j.corsci.2021.109307
  • 加载中
图(10) / 表(4)
计量
  • 文章访问数:  76
  • HTML全文浏览量:  41
  • PDF下载量:  7
  • 被引次数: 0
出版历程
  • 收稿日期:  2024-09-05
  • 网络出版日期:  2025-08-31
  • 刊出日期:  2025-08-31

目录

    /

    返回文章
    返回