中文核心期刊

SCOPUS 数据库收录期刊

中国科技核心期刊

美国《化学文摘》来源期刊

中国优秀冶金期刊

美国EBSCO数据库收录期刊

RCCSE中国核心学术期刊

美国《剑桥科学文摘》来源期刊

中国应用核心期刊(CACJ)

美国《乌利希期刊指南》收录期刊

中国学术期刊综合评价统计源刊

俄罗斯《文摘杂志》来源期刊

优秀中文科技期刊(西牛计划)

日本《科学技术文献数据库》(JST)收录刊

留言板

尊敬的读者、作者、审稿人, 关于本刊的投稿、审稿、编辑和出版的任何问题, 您可以本页添加留言。我们将尽快给您答复。谢谢您的支持!

姓名
邮箱
手机号码
标题
留言内容
验证码

碲对38MnVS非调质钢腐蚀性影响研究

周群翔 徐瑞军 吴文博 曾凡正 李杰 徐翔宇 付建勋

周群翔, 徐瑞军, 吴文博, 曾凡正, 李杰, 徐翔宇, 付建勋. 碲对38MnVS非调质钢腐蚀性影响研究[J]. 钢铁钒钛, 2025, 46(4): 182-189, 196. doi: 10.7513/j.issn.1004-7638.2025.04.024
引用本文: 周群翔, 徐瑞军, 吴文博, 曾凡正, 李杰, 徐翔宇, 付建勋. 碲对38MnVS非调质钢腐蚀性影响研究[J]. 钢铁钒钛, 2025, 46(4): 182-189, 196. doi: 10.7513/j.issn.1004-7638.2025.04.024
ZHOU Qunxiang, XU Ruijun, WU Wenbo, ZENG Fanzheng, LI Jie, XU Xiangyu, FU Jianxun. Effect of tellurium on sulfide modification and corrosion resistance of 38MnVS non-tempered steel[J]. IRON STEEL VANADIUM TITANIUM, 2025, 46(4): 182-189, 196. doi: 10.7513/j.issn.1004-7638.2025.04.024
Citation: ZHOU Qunxiang, XU Ruijun, WU Wenbo, ZENG Fanzheng, LI Jie, XU Xiangyu, FU Jianxun. Effect of tellurium on sulfide modification and corrosion resistance of 38MnVS non-tempered steel[J]. IRON STEEL VANADIUM TITANIUM, 2025, 46(4): 182-189, 196. doi: 10.7513/j.issn.1004-7638.2025.04.024

碲对38MnVS非调质钢腐蚀性影响研究

doi: 10.7513/j.issn.1004-7638.2025.04.024
基金项目: 国家自然科学基金资助项目(52074179,51874195);国家十三五重点研发专项(2018YFB0704403)。
详细信息
    作者简介:

    周群翔,1998年出生,男,四川泸州人,研究生,研究方向:钢中夹杂物对材料性能的影响, E-mail: 18982497427@163.com

    通讯作者:

    付建勋,1969年出生,男,博士,教授,研究方向:钢铁冶金技术及高品质特殊钢的开发,E-mail: fujianxun@shu.edu.cn

  • 中图分类号: TF76,TF044

Effect of tellurium on sulfide modification and corrosion resistance of 38MnVS non-tempered steel

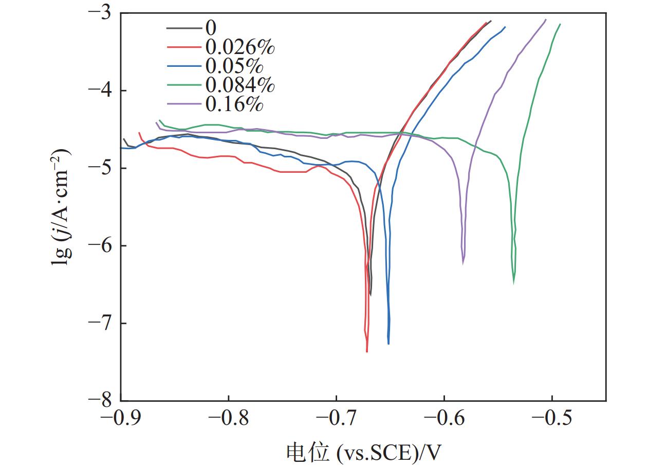
  • 摘要: 开展三电极系统电化学试验,分析碲添加对非调质钢腐蚀性的影响,利用扫描电镜(SEM)和电子探针(EDS)对钢中硫化物进行表征分析,对电化学腐蚀试验结果进行诠释。结果表明:随着钢中碲含量的增加,钢的自腐蚀电位升高,腐蚀倾向减小;少量碲(0.026%)固溶在硫化锰中,钢的腐蚀电流最小,为5.13×10−6 A,耐蚀性能最好。钢中加入碲后,MnTe包裹在MnS周围,导致夹杂物长宽比明显减小,长条状硫化物转变为椭球状,分布更加均匀,有效降低了硫化物周围的应力集中。
  • 图  1  不同碲含量的钢锭

    Figure  1.  Ingot with different tellurium content

    图  2  轧制后的试验钢

    Figure  2.  Picture of the test steel after rolling

    图  3  三电极体系试验装置

    Figure  3.  Three electrode system test device

    图  4  不同碲含量的塔费尔曲线

    Figure  4.  Tafel curve of 38MnSV steels with different tellurium contents

    图  5  不同碲含量非调质钢光学显微镜100倍照片

    Figure  5.  Optical microscope of 38MnSV steels with different tellurium contents

    (a) 0;(b) 0.026%;(c) 0.05%;(d) 0.084%;(e) 0.16%

    图  6  不同碲含量试样的硫化物

    (a) 平均面积;(b)面积分布;(c)长宽比分布

    Figure  6.  Sulfides of samples with different tellurium content

    图  7  不同碲含量钢中夹杂物SEM照片

    Figure  7.  SEM images of inclusions in steels with different tellurium contents

    (a) (b) 0; (c)(d) 0.026%;(e) (f) 0.05%;(g) (h) 0.084;(i) (j) 0.16%

    图  8  含碲0.16%钢中MnTe和MnS复合夹杂物的EDS照片

    (a)双核MnS和MnTe复合夹杂物; (b)单核MnS和MnTe复合夹杂物

    Figure  8.  EDS images of MnTe-MnS composite inclusions in steel containing 0.16% tellurium

    表  1  38MnSV化学成分

    Table  1.   Chemical composition of 38MnSV steel %

    CSiMnPSAlAlsCaCrMoVTiNiCu
    0.370.561.40.010.540.0170.0160.00040.170.010.130.0120.030.01
    下载: 导出CSV

    表  2  39MnSV冶炼钢锭中碲含量

    Table  2.   Tellurium content in smelted ingot of 39MnSV

    试样编号 碲含量/% Te/S
    1 0 0
    2 0.026 0.50
    3 0.050 0.96
    4 0.084 1.62
    5 0.160 3.08
    下载: 导出CSV

    表  3  不同碲含量试样的自腐蚀电位和腐蚀电流

    Table  3.   Self-corrosion potential and corrosion current of samples with different tellurium contents

    碲含量/%自腐蚀电位/Vlog( j/A·cm−2)j/(A·cm−2icorr/A
    0−0.67−5.019.77×10−69.77×10−6
    0.026−0.67−5.295.13×10−65.13×10−6
    0.05−0.65−5.157.08×10−67.08×10−6
    0.084−0.53−4.672.14×10−52.14×10−5
    0.16−0.58−4.592.57×10−52.57×10−5
    下载: 导出CSV
  • [1] HANG L R. Corrosion and protection of metals[J]. China Metal Bulletin, 2019(1): 230-231. (韩立荣. 金属的腐蚀与防护[J]. 中国金属通报, 2019(1): 230-231. doi: 10.3969/j.issn.1672-1667.2019.01.149

    HANG L R. Corrosion and protection of metals[J]. China Metal Bulletin, 2019(1): 230-231. doi: 10.3969/j.issn.1672-1667.2019.01.149
    [2] WANG C Y. Damage and protection of metal corrosion[J]. Mechanical Management and Development, 2012(5): 111-112. (王彩云. 金属腐蚀的危害及防护[J]. 机械管理开发, 2012(5): 111-112. doi: 10.3969/j.issn.1003-773X.2012.05.057

    WANG C Y. Damage and protection of metal corrosion[J]. Mechanical Management and Development, 2012(5): 111-112. doi: 10.3969/j.issn.1003-773X.2012.05.057
    [3] WAN W H, DENG X Y. Research on application of 46MnVS5 in connecting rod[J]. Automobile Technology & Material, 2021(3): 20-24. (万文华, 邓向阳. 46MnVS5材料连杆应用研究[J]. 汽车工艺与材料, 2021(3): 20-24.

    WAN W H, DENG X Y. Research on application of 46MnVS5 in connecting rod[J]. Automobile Technology & Material, 2021(3): 20-24.
    [4] XIA X J, CAI J B, YE Y H, et al. Failure analysis for fracture of stainless steel adjustable connecting rod[J]. Corrosion & Protection, 2019, 40(6): 453-456. (夏晓健, 蔡建宾, 叶英浩, 等. 不锈钢可调连杆断裂失效分析[J]. 腐蚀与防护, 2019, 40(6): 453-456. doi: 10.11973/fsyfh-201906012

    XIA X J, CAI J B, YE Y H, et al. Failure analysis for fracture of stainless steel adjustable connecting rod[J]. Corrosion & Protection, 2019, 40(6): 453-456. doi: 10.11973/fsyfh-201906012
    [5] LIU C C, ZHANG L F, REN Y, et al. Review on effect of non-metallic inclusions on pitting corrosion resistance of stainless steel[J]. Journal of lron and Steel Research, 2021, 33(10): 1040-1051. (刘城城, 张立峰, 任英, 等. 非金属夹杂物对不锈钢耐点蚀性能影响的综述[J]. 钢铁研究学报, 2021, 33(10): 1040-1051.

    LIU C C, ZHANG L F, REN Y, et al. Review on effect of non-metallic inclusions on pitting corrosion resistance of stainless steel[J]. Journal of lron and Steel Research, 2021, 33(10): 1040-1051.
    [6] LIU Z P, LI J, FU J X, et al. Industrial practice of tellurium modified sulfides in the non-quenched and tempered 38MnVS6 steels[J]. Iron Steel Vanadium Titanium, 2023, 44(2): 200-204. (刘增平, 李杰, 付建勋, 等. 38MnVS6非调质钢中硫化物碲改质工业实践[J]. 钢铁钒钛, 2023, 44(2): 200-204.

    LIU Z P, LI J, FU J X, et al. Industrial practice of tellurium modified sulfides in the non-quenched and tempered 38MnVS6 steels[J]. Iron Steel Vanadium Titanium, 2023, 44(2): 200-204.
    [7] HU T, ZHONG L M, ZHOU L, et al. The practice of tellurium to control the form of sulfide in non-quenched and tempered steel[J]. Steelmaking, 2022, 38(1): 63-67. (胡涛, 钟亮美, 周蕾, 等. 碲对非调质钢中硫化物形态调控的实践[J]. 炼钢, 2022, 38(1): 63-67. doi: 10.3969/j.issn.1002-1043.2022.1.lg202201011

    HU T, ZHONG L M, ZHOU L, et al. The practice of tellurium to control the form of sulfide in non-quenched and tempered steel[J]. Steelmaking, 2022, 38(1): 63-67. doi: 10.3969/j.issn.1002-1043.2022.1.lg202201011
    [8] SHEN W, LI Z W, TIAN Q R, et al. Modification of sulfide distribution in 46MnVS non-quenched and tempered steel by tellurium[J]. Steelmaking, 2023, 39(2): 56-61, 81. (沈伟, 李志伟, 田钱仁, 等. 碲对46MnVS非调质钢中硫化物分布的改质规律[J]. 炼钢, 2023, 39(2): 56-61, 81. doi: 10.3969/j.issn.1002-1043.2023.2.lg202302009

    SHEN W, LI Z W, TIAN Q R, et al. Modification of sulfide distribution in 46MnVS non-quenched and tempered steel by tellurium[J]. Steelmaking, 2023, 39(2): 56-61, 81. doi: 10.3969/j.issn.1002-1043.2023.2.lg202302009
    [9] SHEN P, YANG Q K, ZHANG D, et al. The effect of tellurium on the formation of MnTe-MnS composite inclusions in non-quenched and tempered steel[J]. Metals, 2018, 8(8): 369.
    [10] XIE J B, FAN T, SUN H, et al. Enhancement of impurity, machinability and mechanical properties in Te-treated Cr18Ni9 steel[J]. Met. Mater. Int., 2021, 27(6): 1416-1427. doi: 10.1007/s12540-019-00545-3
    [11] TORKKELI J, SAUKKONEN T, HANNINEN H, et al. Effect of MnS inclusion dissolution on carbon steel stress corrosion cracking in fuel-grade ethanol[J]. Corros. Sci., 2015, 96: 14-22. doi: 10.1016/j.corsci.2015.03.002
    [12] WANG Y F, CHENG G X, WU W, et al. Role of inclusions in the pitting initiation of pipeline steel and the effect of electron irradiation in SEM[J]. Corros. Sci., 2018, 130: 252-260. doi: 10.1016/j.corsci.2017.10.029
    [13] DEARDO A J, HUA M J, CHO K G, et al. On strength of microalloyed steels: an interpretive review[J]. Mater. Sci. Technol., 2013, 25(9): 1074-1082.
    [14] YANG S F, ZHAO M J, FENG J, et al. Induced-pitting behaviors of MnS inclusions in steel[J]. High Tem. Mater. Processes., 2018, 37(9-10): 1007-1016. doi: 10.1515/htmp-2017-0155
    [15] KONG D Q, LAI Z H, DONG X M, et al. Effect of inclusions on acid corrosion resistance of free-cutting steel crankshaft[J]. Corros. Prot., 2021, 42(7): 30-33, 47.
    [16] ZHENG W, XIONG S, LI T Y, et al. Effect of inclusions on pitting susceptibility in low alloy steel[J]. Steelmaking, 2017, 33(5): 31-38, 78. (郑万, 熊珊, 李天佑, 等. 夹杂物对低合金钢点蚀诱发敏感性的影响[J]. 炼钢, 2017, 33(5): 31-38, 78.

    ZHENG W, XIONG S, LI T Y, et al. Effect of inclusions on pitting susceptibility in low alloy steel[J]. Steelmaking, 2017, 33(5): 31-38, 78.
    [17] CHEN X Q, KONG X D, YANG S C. Effect of sulfide inclusion on corrosion expansion of low carbon steel[J]. Journal of Chinese Society for corrosion and protection, 2000, 20(2): 65-73. (陈学群, 孔小东, 杨思诚. 硫化物夹杂对低碳钢孔蚀扩展的影响[J]. 中国腐蚀与防护学报, 2000, 20(2): 65-73.

    CHEN X Q, KONG X D, YANG S C. Effect of sulfide inclusion on corrosion expansion of low carbon steel[J]. Journal of Chinese Society for corrosion and protection, 2000, 20(2): 65-73.
    [18] ABEYAMA S, NAKAMMA S. An ultra-free machining stainless steel “DSR6F”[J]. J. Jpn. Inst. Met., 2011, 21(5): 363-365.
    [19] YANG Q K, SHEN P, ZHANG D, et al. Analysis on composition and inclusions of ballpoint pen tip steel[J]. Int. J. Miner. , Metall. Mater., 2018, 25(4): 420-428. doi: 10.1007/s12613-018-1587-6
    [20] CHANG K D, WANG P, LIU W P. Development status and application prospect of non-quenched tempered steel[J]. Heat Treat. Met., 2011, 36(3): 80-85.
    [21] ZHENG J C, HU X J, PAN C, et al. Effects of inclusions on the resistance to pitting corrosion of S32205 duplex stainless steel[J]. Mater. Corros., 2018, 69(5): 572-579. doi: 10.1002/maco.201709723
    [22] ATKINSON H V, SHI G, Characterization of inclusions in clean steels: a review including the statistics of extremes methods[J]. Prog. Mater. Sci., 2003, 48(5): 457-520.
    [23] XU X Y, TIAN L, ZHOU Y, et al. Effect of Nb on corrosion behavior of inner bottom plate of cargo oil tankers[J]. J. Iron Steel Res. Int., 2019, 26(6): 611-620. doi: 10.1007/s42243-018-0180-6
    [24] WU W B, YANG S A, SUO D H, et al. Effect of tellurium treatment on the pitting behavior of 38MnVS6 Non-quenched and tempered steel in alkaline environment[J]. Corros. Sci., 2024, 226: 111629. doi: 10.1016/j.corsci.2023.111629
  • 加载中
图(8) / 表(3)
计量
  • 文章访问数:  72
  • HTML全文浏览量:  38
  • PDF下载量:  5
  • 被引次数: 0
出版历程
  • 收稿日期:  2024-04-22
  • 网络出版日期:  2025-08-31
  • 刊出日期:  2025-08-31

目录

    /

    返回文章
    返回