中文核心期刊

SCOPUS 数据库收录期刊

中国科技核心期刊

美国《化学文摘》来源期刊

中国优秀冶金期刊

美国EBSCO数据库收录期刊

RCCSE中国核心学术期刊

美国《剑桥科学文摘》来源期刊

中国应用核心期刊(CACJ)

美国《乌利希期刊指南》收录期刊

中国学术期刊综合评价统计源刊

俄罗斯《文摘杂志》来源期刊

优秀中文科技期刊(西牛计划)

日本《科学技术文献数据库》(JST)收录刊

留言板

尊敬的读者、作者、审稿人, 关于本刊的投稿、审稿、编辑和出版的任何问题, 您可以本页添加留言。我们将尽快给您答复。谢谢您的支持!

姓名
邮箱
手机号码
标题
留言内容
验证码

高炉渣熔滴连续凝固过程的数值模拟

冯鹏博 楼国锋 武新晨 肖永力

冯鹏博, 楼国锋, 武新晨, 肖永力. 高炉渣熔滴连续凝固过程的数值模拟[J]. 钢铁钒钛, 2025, 46(5): 23-32. doi: 10.7513/j.issn.1004-7638.2025.05.003
引用本文: 冯鹏博, 楼国锋, 武新晨, 肖永力. 高炉渣熔滴连续凝固过程的数值模拟[J]. 钢铁钒钛, 2025, 46(5): 23-32. doi: 10.7513/j.issn.1004-7638.2025.05.003
FENG Pengbo, LOU Guofeng, WU Xinchen, XIAO Yongli. Numerical simulation of continuous solidification process for blast furnace slag droplets[J]. IRON STEEL VANADIUM TITANIUM, 2025, 46(5): 23-32. doi: 10.7513/j.issn.1004-7638.2025.05.003
Citation: FENG Pengbo, LOU Guofeng, WU Xinchen, XIAO Yongli. Numerical simulation of continuous solidification process for blast furnace slag droplets[J]. IRON STEEL VANADIUM TITANIUM, 2025, 46(5): 23-32. doi: 10.7513/j.issn.1004-7638.2025.05.003

高炉渣熔滴连续凝固过程的数值模拟

doi: 10.7513/j.issn.1004-7638.2025.05.003
基金项目: 河北省重点研发计划项目(22373805D)。
详细信息
    作者简介:

    冯鹏博,1997年出生,男,河北石家庄人,硕士研究生,主要从事高炉渣换热过程研究,E-mail:fengpengbo97@163.com

    通讯作者:

    楼国锋,1969年出生,男,博士,副教授;主要从事高炉渣处理工艺和余热回收研究, E-mail:lgf@ustb.edu.cn

  • 中图分类号: TF534,TP391.9

Numerical simulation of continuous solidification process for blast furnace slag droplets

  • 摘要: 高炉渣熔滴在冷却过程中的结晶行为会降低其商业价值,为了研究不同冷却条件下熔滴的凝固行为特征,将熔滴的飞行模型以及高炉渣结晶模型相结合对熔滴的连续凝固过程进行了数值模拟研究。结果表明:熔滴粒径的增加会导致其表面结壳所需距离大幅度增加,冷却后的平均晶相含量也会增加,熔滴粒径通过影响内部导热速率与冷却均匀性,成为主导凝固行为与晶相生长的关键因素。5 mm 熔滴在 15 m/s 初速度下,冷却全程不反熔需水平飞行 16 m,当对流换热系数从70 W/(m2·K)提至150 W/(m2·K) 时,所需距离缩短至 12 m。冷却条件需相互匹配,即表面结壳时延长飞行距离可降低初级流化床内冷却强度要求,增大初级流化床内冷却强度能缩小造粒装置尺寸。
  • 图  1  熔滴冷却过程示意

    Figure  1.  Schematic diagram of droplet cooling process

    图  2  物理模型示意

    Figure  2.  Schematic diagram of physical model

    图  3  计算模型使用的网格

    Figure  3.  The grid used in the calculation model

    图  4  网格独立性验证

    Figure  4.  Grid independence verification

    图  5  不同高度处高炉渣玻璃相含量的对比

    Figure  5.  Comparison of vitreous phase content of blast furnace slag at different heights

    图  6  熔滴表面温度随水平飞行距离的演化

    Figure  6.  Evolution of droplet surface temperature with horizontal flight distance

    图  7  熔滴表面结壳时的水平飞行距离演化

    Figure  7.  Evolution of horizontal flight distance when the droplet surface is crusted

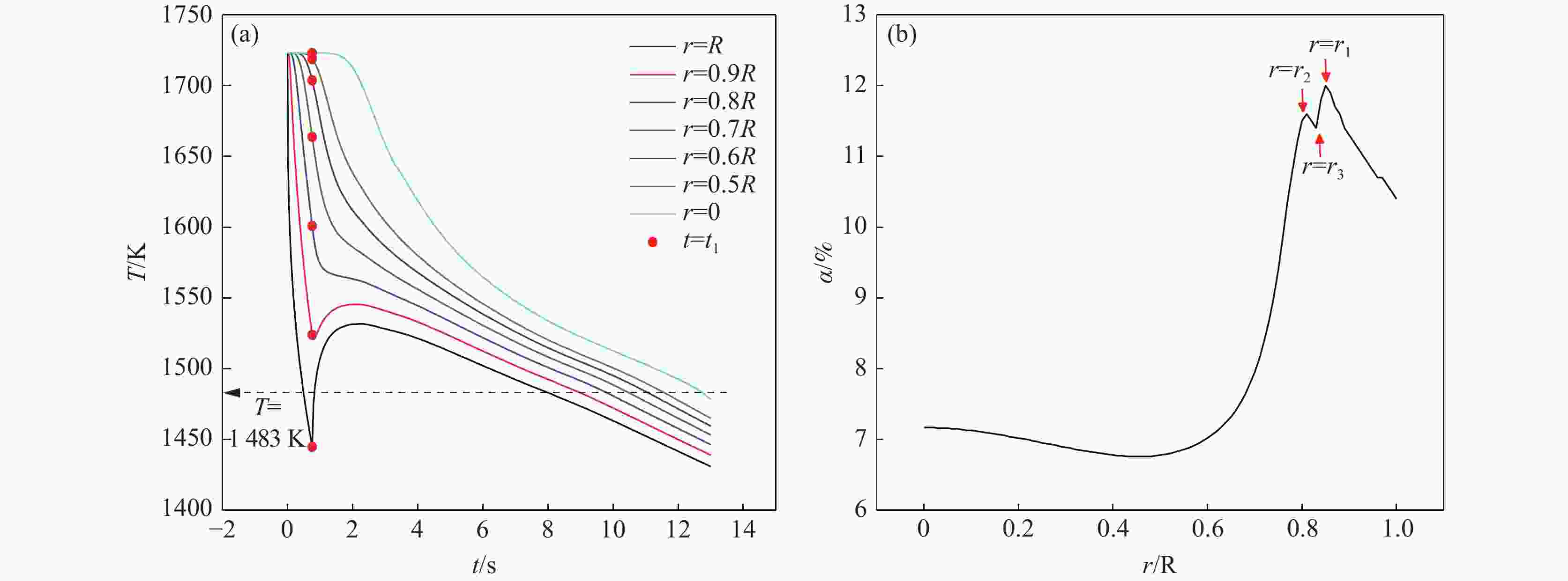
    图  8  熔滴的温度演化和晶相分布

    (a)温度演化;(b)晶相分布

    Figure  8.  Temperature evolution and crystal phase content distribution inside the droplet

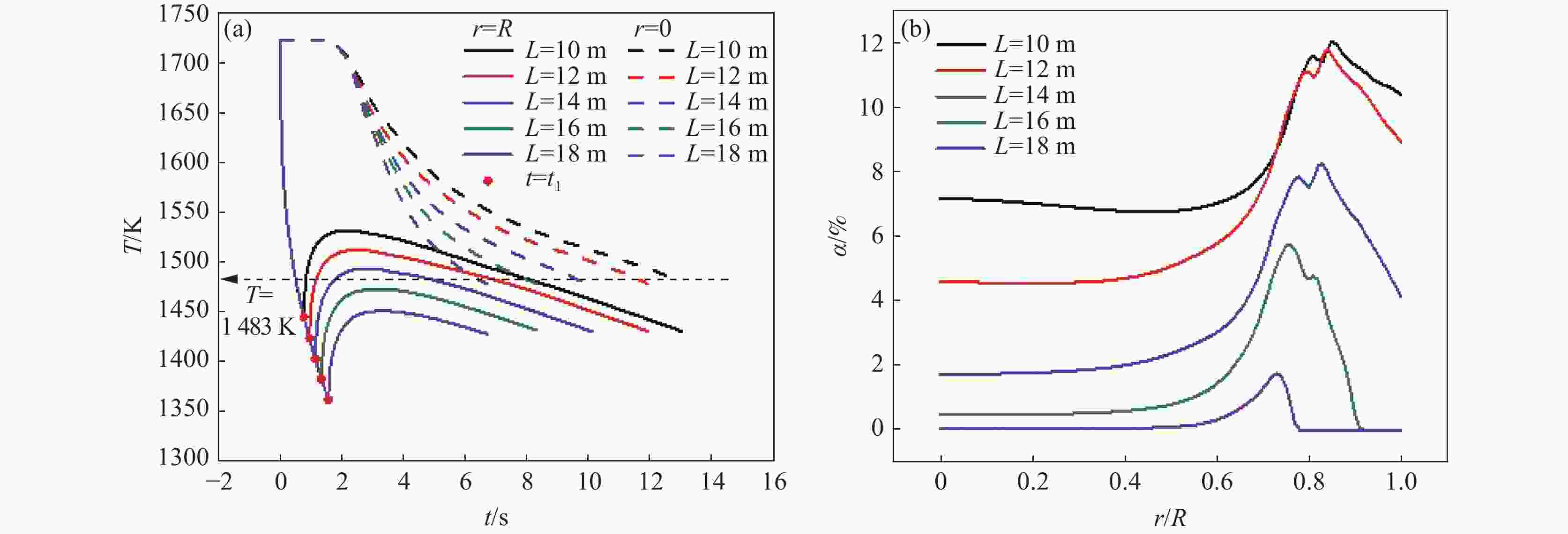
    图  9  不同水平飞行距离下熔滴内部的温度分布

    Figure  9.  Temperature distribution inside the droplet under different horizontal flight distances

    图  10  不同水平飞行距离下熔滴内的温度演化和晶相含量分布

    (a)温度演化;(b)晶相含量

    Figure  10.  Temperature evolution and crystal phase content distribution inside the droplet under different horizontal flight distances

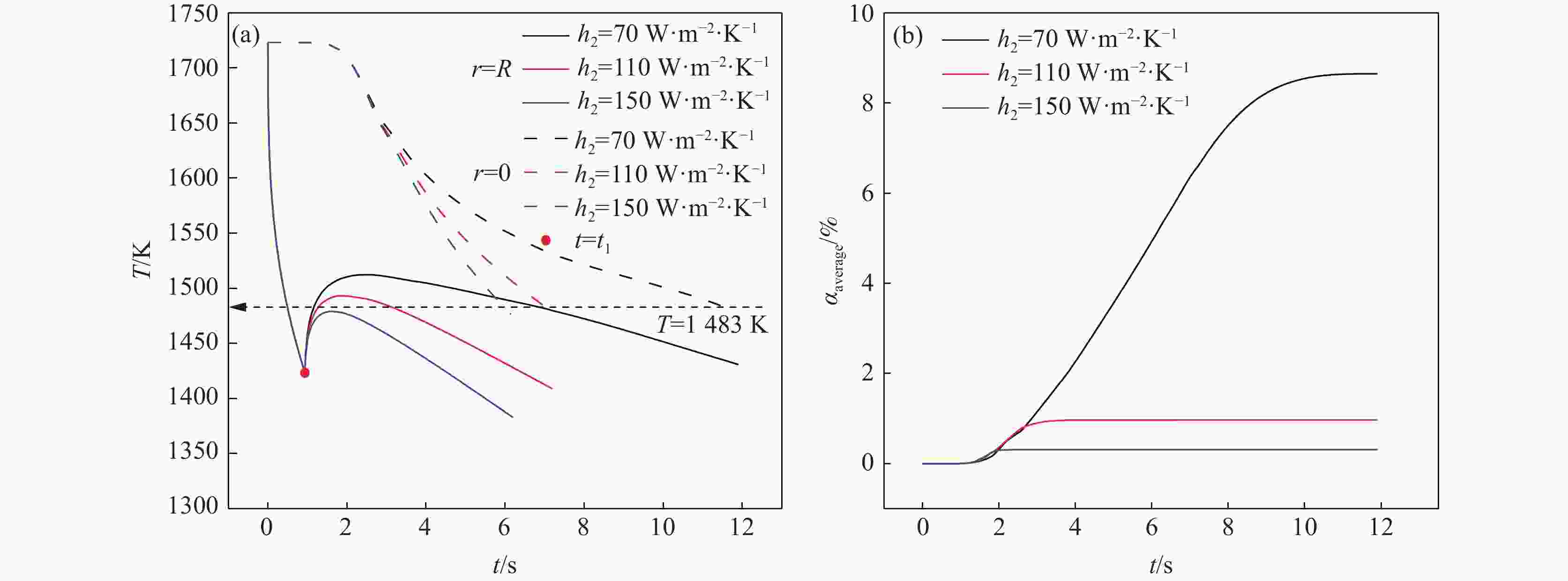
    图  11  不同对流换热系数下熔滴的温度演化和平均晶相含量演化

    (a)温度演化;(b)平均晶相含量演化

    Figure  11.  Temperature evolution and average crystal phase content evolution inside the droplet under various convective heat transfer coefficients

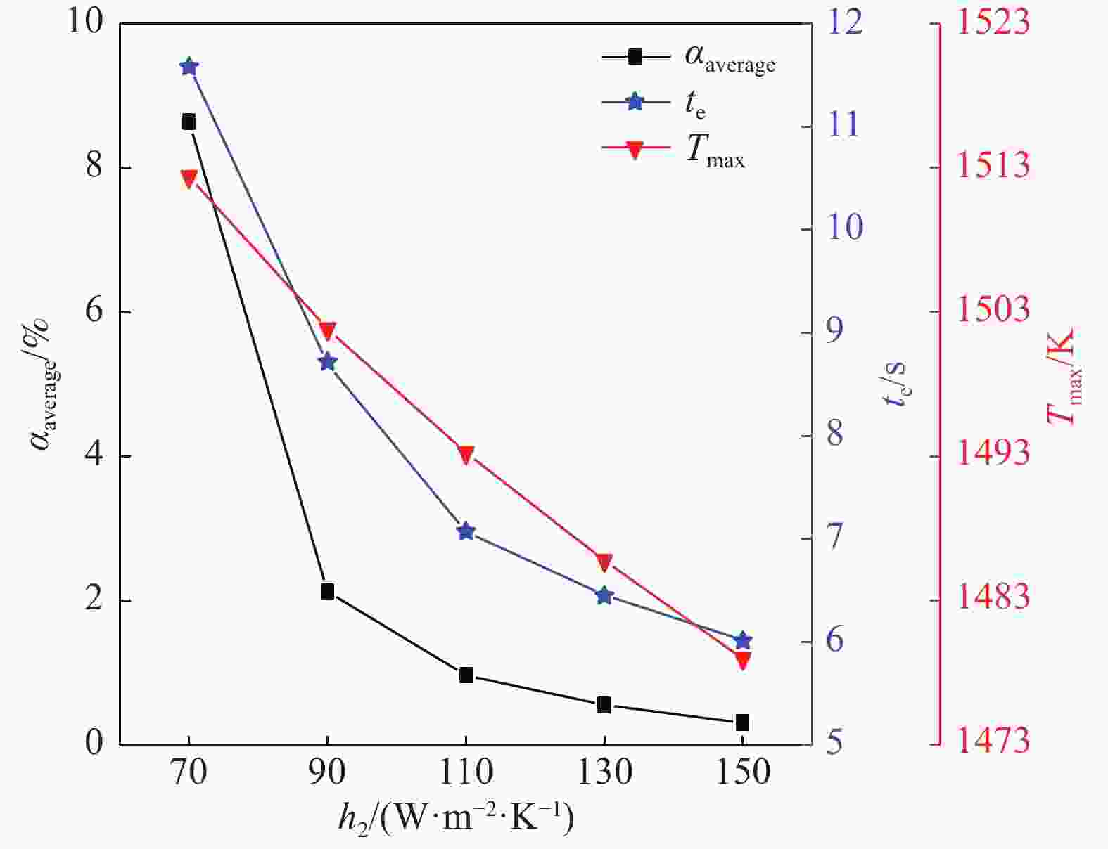
    图  12  三个重要参数随对流换热系数的变化

    Figure  12.  Variation of three key parameters with convective heat transfer coefficient

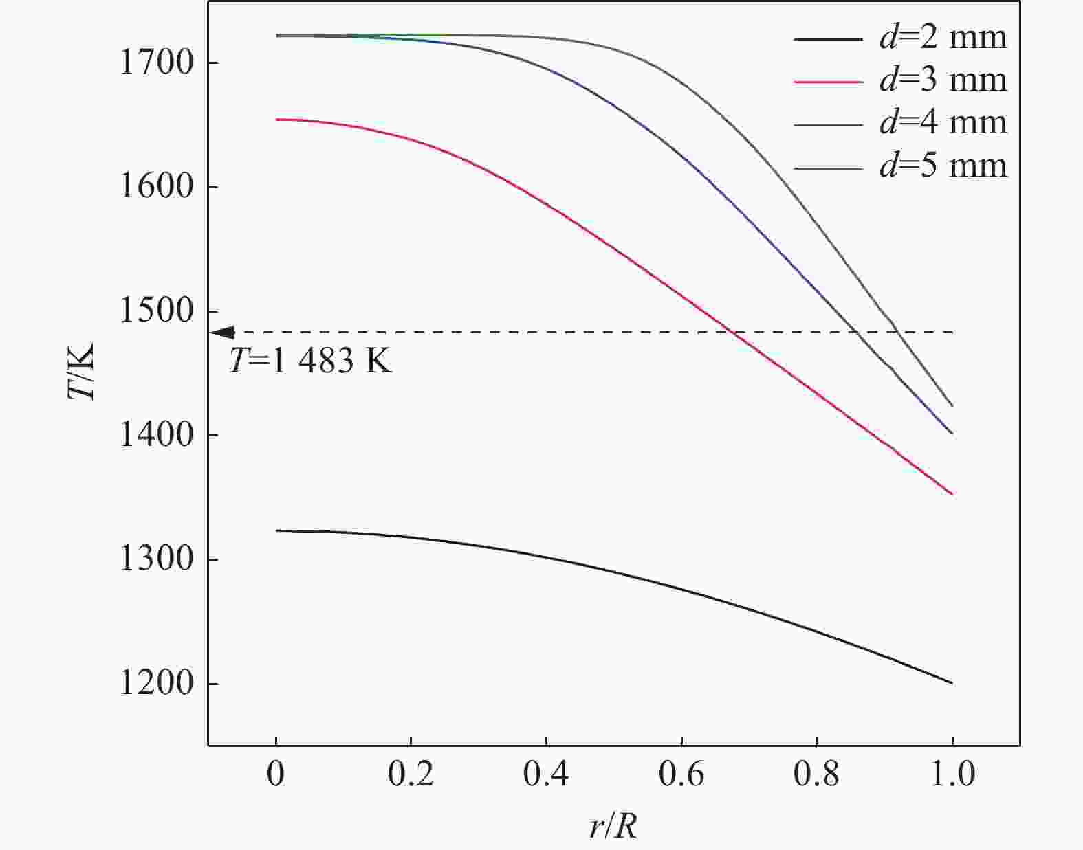
    图  13  不同粒径熔滴在水平飞行距离为12 m时的内部温度分布

    Figure  13.  Temperature distribution inside the droplet at horizontal flight distance of 12 m under various droplet diameters

    图  14  三个重要参数随熔滴粒径的变化

    Figure  14.  Variation of three key parameters with droplet diameter

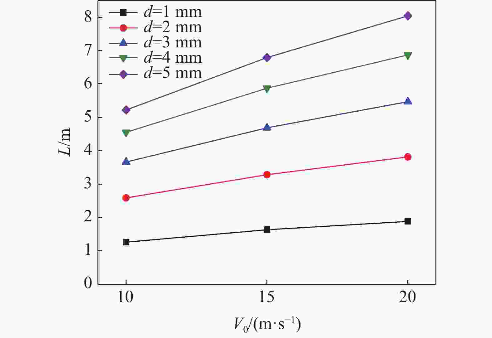
    图  15  熔滴粒径对水平飞行距离及临界对流换热系数的影响

    Figure  15.  Effect of droplet diameter on horizontal flight distance and critical heat transfer coefficient

    表  1  高炉渣的物理参数[19,23-24]

    Table  1.   Physical properties of the BF slag[19,23-24]

    参数εLvitreous/(J·kg−1)Lcrystal/(J·kg−1)Tl/KT0/KTe/KTg/K
    数值0.82840004560001643162314831013
    下载: 导出CSV
  • [1] SI W H, ZHANG Y Q. Current status and development trend of waste heat recovery technology for high-temperature slag[J]. Yizhong Technology, 2025(1): 1-4. (姒伟华, 张元奇. 高温熔渣余热回收技术现状及发展趋势[J]. 一重技术, 2025(1): 1-4. doi: 10.3969/j.issn.1673-3355.2025.01.001

    SI W H, ZHANG Y Q. Current status and development trend of waste heat recovery technology for high-temperature slag[J]. Yizhong Technology, 2025(1): 1-4. doi: 10.3969/j.issn.1673-3355.2025.01.001
    [2] DING B, LIAO Q, ZHU X, et al. Deep insight into phase transition and crystallization of high temperature molten slag during cooling: A review[J]. Applied Thermal Engineering, 2021, 184: 116260. doi: 10.1016/j.applthermaleng.2020.116260
    [3] ZHANG X, WANG S, WU Z, et al. Optimizing heat transfer and solidification crystallization in dry granulation of blast furnace slag[J]. Powder Technology, 2024, 447: 120202. doi: 10.1016/j.powtec.2024.120202
    [4] KUMAR S S, SINGH A R, KARTIK S. Utilizing ground granulated blast furnace slag during carbon sequestration in concrete[J]. Journal of Materials in Civil Engineering, 2025, 37(2): 12-27.
    [5] LIU J X, QIN Q, YU Q B. The effect of size distribution of slag particles obtained in dry granulation on blast furnace slag cement strength[J]. Powder Technology, 2020, 362(C): 32-36.
    [6] KAVEH T M, MOHAMMADI E, MEHRNAHAD H. Durability of steel slag as railway ballast under freezing–thawing and salt crystallization weathering[J]. Journal of Material Cycles and Waste Management, 2025, 27(3): 1-14.
    [7] SUN R J, KANG Y, SHAO C, et al. Numerical simulation on intensified cooling and solidification process of gas-quenched blast furnace slag beads[J]. China Metallurgy, 2024, 34(9): 34-44. (孙瑞靖, 康月, 邵宸, 等. 气淬高炉渣珠强化冷却凝固过程数值仿真[J]. 中国冶金, 2024, 34(9): 34-44.

    SUN R J, KANG Y, SHAO C, et al. Numerical simulation on intensified cooling and solidification process of gas-quenched blast furnace slag beads[J]. China Metallurgy, 2024, 34(9): 34-44.
    [8] LI X H, WANG X S, LIU Z L, et al. New direction for comprehensive utilization of high-titanium blast furnace slag[J]. Iron Steel Vanadium Titanium, 2009, 30(3): 10-16. (李兴华, 王雪松, 刘知路, 等. 高钛高炉渣综合利用新方向[J]. 钢铁钒钛, 2009, 30(3): 10-16. doi: 10.7513/j.issn.1004-7638.2009.03.002

    LI X H, WANG X S, LIU Z L, et al. New direction for comprehensive utilization of high-titanium blast furnace slag[J]. Iron Steel Vanadium Titanium, 2009, 30(3): 10-16. doi: 10.7513/j.issn.1004-7638.2009.03.002
    [9] FANG W Y, WANG H, ZHU X, et al. Heat transfer characteristics of molten slag in rotary cup granulation process[J]. Iron and Steel, 2020, 55(8): 151-159. (方维扬, 王宏, 朱恂, 等. 转杯粒化工艺高温熔渣换热数值模拟[J]. 钢铁, 2020, 55(8): 151-159.

    FANG W Y, WANG H, ZHU X, et al. Heat transfer characteristics of molten slag in rotary cup granulation process[J]. Iron and Steel, 2020, 55(8): 151-159.
    [10] SUN G T. Study on mechanical centrifugal granulation characteristics of blast furnace slag[D]. Qingdao: Qingdao University, 2020. (孙广彤. 高炉熔渣机械离心粒化特性研究[D]. 青岛: 青岛大学, 2020.

    SUN G T. Study on mechanical centrifugal granulation characteristics of blast furnace slag[D]. Qingdao: Qingdao University, 2020.
    [11] SHAO C, KANG Y, XING H W, et al. Experimental and simulation on the granulation process of blast furnace slag[J]. Iron Steel Vanadium Titanium, 2024, 45(1): 104-114. (邵宸, 康月, 邢宏伟, 等. 高炉熔渣粒化工艺试验及其数值仿真研究分析[J]. 钢铁钒钛, 2024, 45(1): 104-114. doi: 10.7513/j.issn.1004-7638.2024.01.016

    SHAO C, KANG Y, XING H W, et al. Experimental and simulation on the granulation process of blast furnace slag[J]. Iron Steel Vanadium Titanium, 2024, 45(1): 104-114. doi: 10.7513/j.issn.1004-7638.2024.01.016
    [12] CHANG Q M, CHENG Y K, LI X W, et al. Modeling and simulation study on dry centrifugal granulation of blast furnace slag[J]. Iron Steel Vanadium Titanium, 2014, 35(1): 69-73. (常庆明, 程永楷, 李先旺, 等. 高炉渣干式离心粒化的建模仿真研究[J]. 钢铁钒钛, 2014, 35(1): 69-73. doi: 10.7513/j.issn.1004-7638.2014.01.014

    CHANG Q M, CHENG Y K, LI X W, et al. Modeling and simulation study on dry centrifugal granulation of blast furnace slag[J]. Iron Steel Vanadium Titanium, 2014, 35(1): 69-73. doi: 10.7513/j.issn.1004-7638.2014.01.014
    [13] LI X H. Study on mechanism of gas-liquid atomization and solidification heat transfer characteristics of blast furnace slag [D]. Beijing: University of Science and Technology Beijing, 2025. (刘晓宏. 高炉熔渣气雾粒化机理及凝固换热特性研究[D]. 北京: 北京科技大学, 2025.

    LI X H. Study on mechanism of gas-liquid atomization and solidification heat transfer characteristics of blast furnace slag [D]. Beijing: University of Science and Technology Beijing, 2025.
    [14] WANG Z B, LIU Y, ZHANG Y Z, et al. Experimental study on heat recovery of blast furnace slag by gas quenching granulation[J]. Iron Steel Vanadium Titanium, 2018, 39(4): 93-98. (王子兵, 刘跃, 张玉柱, 等. 高炉熔渣气淬粒化热量回收试验研究[J]. 钢铁钒钛, 2018, 39(4): 93-98. doi: 10.7513/j.issn.1004-7638.2018.04.016

    WANG Z B, LIU Y, ZHANG Y Z, et al. Experimental study on heat recovery of blast furnace slag by gas quenching granulation[J]. Iron Steel Vanadium Titanium, 2018, 39(4): 93-98. doi: 10.7513/j.issn.1004-7638.2018.04.016
    [15] LIU X Y, ZHU X, LIAO Q, et al. Theoretic analysis on transient solidification behaviors of a molten blast furnace slag particle[J]. CIESC Journal, 2014, 65(S1): 285-291. (刘小英, 朱恂, 廖强, 等. 高温熔融高炉渣颗粒相变冷却特性分析[J]. 化工学报, 2014, 65(S1): 285-291.

    LIU X Y, ZHU X, LIAO Q, et al. Theoretic analysis on transient solidification behaviors of a molten blast furnace slag particle[J]. CIESC Journal, 2014, 65(S1): 285-291.
    [16] QIU Y J, ZHU X, WANG H, et al. Three-dimensional simulation of solidification and heat transfer for air-cooling molten blast furnace slag droplet[J]. CIESC Journal, 2014, 65(S1): 340-345. (邱勇军, 朱恂, 王宏, 等. 熔渣颗粒空冷相变换热的三维数值模拟[J]. 化工学报, 2014, 65(S1): 340-345.

    QIU Y J, ZHU X, WANG H, et al. Three-dimensional simulation of solidification and heat transfer for air-cooling molten blast furnace slag droplet[J]. CIESC Journal, 2014, 65(S1): 340-345.
    [17] WANG H, DING B, LIU X Y, et al. Solidification behaviors of a molten blast furnace slag droplet cooled by air[J]. Applied Thermal Engineering, 2017, 127: 915-924. doi: 10.1016/j.applthermaleng.2017.07.215
    [18] DING B, WANG H, ZHU X, et al. Crystallization behaviors of blast furnace (BF) slag in a phase-change cooling process[J]. Energy & Fuels, 2016, 30(4): 3331-3339.
    [19] DING B, ZHU X, WANG H, et al. Numerical investigation on phase change cooling and crystallization of a molten blast furnace slag droplet[J]. International Journal of Heat and Mass Transfer, 2018, 118: 471-479. doi: 10.1016/j.ijheatmasstransfer.2017.10.108
    [20] GAO J, FENG Y H, FENG D L, et al. Solidification with crystallization behavior of molten blast furnace slag particle during the cooling process[J]. International Journal of Heat and Mass Transfer, 2020, 146: 118888. doi: 10.1016/j.ijheatmasstransfer.2019.118888
    [21] GAO J, FENG Y H, FENG D L, et al. The effects of interactions between multiple blast furnace slag particles on crystallization characteristics[J]. International Journal of Heat and Mass Transfer, 2022, 185: 122374. doi: 10.1016/j.ijheatmasstransfer.2021.122374
    [22] FAN F H, MIN Z, YANG S L, et al. Numerical study of fluid dynamics and heat transfer property of dual fluidized bed gasifier[J]. Energy, 2021, 234: 74-83.
    [23] WANG B, QIU J Y, GUO Q H, et al. Numerical simulations of solidification characteristics of molten slag droplets in radiant syngas coolers for entrained-flow coal gasification[J]. ACS omega, 2021, 6(31): 20388-20397. doi: 10.1021/acsomega.1c02406
    [24] YANG P, MA C, MA G, et al. Waste heat recovery of blast furnace slag in moving bed: Influencing of structural parameters and operating parameters[J]. International Journal of Heat and Fluid Flow, 2024, 107: 109421. doi: 10.1016/j.ijheatfluidflow.2024.109421
  • 加载中
图(15) / 表(1)
计量
  • 文章访问数:  34
  • HTML全文浏览量:  15
  • PDF下载量:  9
  • 被引次数: 0
出版历程
  • 收稿日期:  2025-05-27
  • 录用日期:  2025-06-20
  • 修回日期:  2025-06-18
  • 刊出日期:  2025-10-30

目录

    /

    返回文章
    返回