中文核心期刊

SCOPUS 数据库收录期刊

中国科技核心期刊

美国《化学文摘》来源期刊

中国优秀冶金期刊

美国EBSCO数据库收录期刊

RCCSE中国核心学术期刊

美国《剑桥科学文摘》来源期刊

中国应用核心期刊(CACJ)

美国《乌利希期刊指南》收录期刊

中国学术期刊综合评价统计源刊

俄罗斯《文摘杂志》来源期刊

优秀中文科技期刊(西牛计划)

日本《科学技术文献数据库》(JST)收录刊

留言板

尊敬的读者、作者、审稿人, 关于本刊的投稿、审稿、编辑和出版的任何问题, 您可以本页添加留言。我们将尽快给您答复。谢谢您的支持!

姓名
邮箱
手机号码
标题
留言内容
验证码

轧制工艺对低碳微Nb钢变形抗力及其模型的影响研究

郑万杰 庞厚君 曾武 王运峰 徐光 田俊羽

郑万杰, 庞厚君, 曾武, 王运峰, 徐光, 田俊羽. 轧制工艺对低碳微Nb钢变形抗力及其模型的影响研究[J]. 钢铁钒钛, 2025, 46(5): 93-101. doi: 10.7513/j.issn.1004-7638.2025.05.010
引用本文: 郑万杰, 庞厚君, 曾武, 王运峰, 徐光, 田俊羽. 轧制工艺对低碳微Nb钢变形抗力及其模型的影响研究[J]. 钢铁钒钛, 2025, 46(5): 93-101. doi: 10.7513/j.issn.1004-7638.2025.05.010
ZHENG Wanjie, PANG Houjun, ZENG Wu, WANG Yunfeng, XU Guang, TIAN Junyu. Study on the effect of rolling process on the deformation resistance of low carbon micro-Nb steel and its model[J]. IRON STEEL VANADIUM TITANIUM, 2025, 46(5): 93-101. doi: 10.7513/j.issn.1004-7638.2025.05.010
Citation: ZHENG Wanjie, PANG Houjun, ZENG Wu, WANG Yunfeng, XU Guang, TIAN Junyu. Study on the effect of rolling process on the deformation resistance of low carbon micro-Nb steel and its model[J]. IRON STEEL VANADIUM TITANIUM, 2025, 46(5): 93-101. doi: 10.7513/j.issn.1004-7638.2025.05.010

轧制工艺对低碳微Nb钢变形抗力及其模型的影响研究

doi: 10.7513/j.issn.1004-7638.2025.05.010
基金项目: 武汉都市圈协同创新科技项目(2024070904020437);湖北省揭榜制科技项目(2025BEB059)。
详细信息
    作者简介:

    郑万杰,1999年出生,男,湖北宜昌人,硕士研究生,从事高强钢热轧变形抗力研究,E-mail:zwj1106 wust@163.com

    通讯作者:

    田俊羽,1992出生,男,湖北孝感人,博士,副教授,从事先进高强钢组织和性能调控研究,E-mail:tianjunyu@wust.edu.cn

  • 中图分类号: TF302,TG33

Study on the effect of rolling process on the deformation resistance of low carbon micro-Nb steel and its model

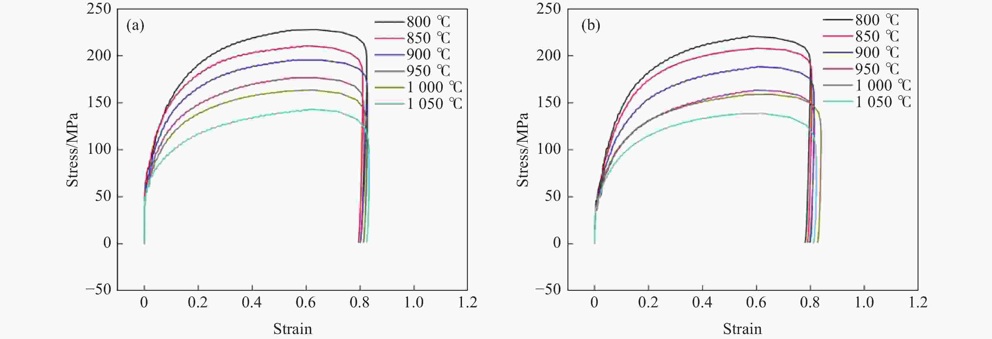
  • 摘要: 金属变形时的变形抗力受到多种因素的影响,其中变形温度、变形工艺以及应变诱导相变均会对变形抗力造成影响。以低碳微Nb钢为对象,在Gleeble-3500热模拟试验机上进行热压缩试验,同时在高温激光共聚焦显微镜上辅助观察常规热装和高温直轧两种工艺下的高温原位形貌。结果表明,随着变形温度从800 ℃上升到1050 ℃,高温直轧工艺下的最大变形抗力从220.9 MPa降低到138.9 MPa,而常规热装工艺下的最大变形抗力从227.9 MPa降低到143.8 MPa。这主要是因为随着温度的升高,热激活能逐渐加强,位错运动更加容易,使得变形抗力降低。此外,在相同温度变形时,常规热装工艺的变形抗力大于高温直轧工艺,这是由于常规热装工艺下的原始奥氏体晶粒尺寸(98.7 μm)小于高温直轧工艺(107.0 μm)。常规热装工艺在再次加热前的降温过程中会发生铁素体相变,再加热后重新奥氏体化,使得新生成的奥氏体晶粒要小于原始奥氏体晶粒,故常规热装工艺下晶粒尺寸小,细晶强化作用更强,导致变形抗力的增加。与此同时,对不同轧制工艺下变形抗力试验数据利用管克智、周纪华变形抗力模型进行拟合修正,建立了试验钢在高温变形时的变形抗力预测模型,常规热装工艺模型和高温直轧工艺模型的决定系数R2分别达到了0.98650.9826,表明模型的预测结果与试验结果拟合程度较高。
  • 图  1  试验钢理论计算CCT曲线

    Figure  1.  Theoretical calculation of CCT curves of the experimental steel

    图  2  试验钢热模拟及高温原位观察工艺

    (a)(c)传统热装工艺;(b)(d)高温直轧工艺

    Figure  2.  Thermal simulation and in-situ high-temperature observation processes of the experimental steel

    图  3  不同工艺下真应力应变曲线

    (a) 常规热装工艺;(b) 高温直轧工艺

    Figure  3.  True stress-strain curves under different processes

    图  4  不同工艺下最大变形抗力与变形温度的变化曲线

    Figure  4.  Variation curves of the maximum deformation resistance and the deformation temperature under different processes

    图  5  不同工艺变形前时刻的高温原位图

    (a) 常规热装工艺;(b) 高温直轧工艺

    Figure  5.  High temperature in situ diagram of different processes before deformation

    图  6  不同工艺试样冷却阶段膨胀量-温度变化曲线

    (a) 常规热装工艺; (b) 高温直轧工艺

    Figure  6.  Dilatation-temperature curves of samples in the cooling stages of different processes

    图  7  室温组织

    (a) 常规热装工艺;(b) 高温直轧工艺

    Figure  7.  Microstructures at room temperature

    图  8  不同工艺降温阶段相变时的高温原位图

    (a)(b) 常规热装工艺;(c)(d) 高温直轧工艺

    Figure  8.  High temperature in situ diagrams of phase transformation during cooling under different processes

    图  9  不同工艺下真应力试验值和模型预测值

    (a)~(f) 常规热装工艺; (g)~(l) 高温直轧工艺

    Figure  9.  The true stress testing values and model prediction values under different processes

    图  10  不同工艺在各变形温度下最大变形抗力的试验值与预测值

    (a) 常规热装工艺;(b) 高温直轧工艺

    Figure  10.  Experimental and predicted values of the maximum deformation resistance at different deformation temperatures and processes

    图  11  不同工艺实测的变形抗力和模型预测的变形抗力对比

    (a) 常规热装工艺;(b) 高温直轧工艺

    Figure  11.  Comparison of the deformation resistance measured by different processes and predicted by the models

    表  1  试验钢坯的化学成分

    Table  1.   Chemical composition of the experimental steel %

    C Si Mn P S Cu Ni
    0.075 0.018 0.853 0.013 0.004 0.017 0.007
    Cr Mo V Nb Ti N
    0.022 0.002 0.001 0.014 0.012 0.003
    下载: 导出CSV

    表  2  不同变形温度下参数A的值

    Table  2.   The value of parameter A at different deformation temperatures

    T/℃ A
    700 ℃热装 高温直轧
    800 0.33193 0.33987
    850 0.34675 0.28606
    900 0.35958 0.17181
    950 0.3532 0.00061
    1000 0.00038752 0.01603
    1050 0.16117 0.14308
    下载: 导出CSV
  • [1] BAN H Y, ZHOU G H, YU H Q, et al. Mechanical properties and modelling of superior high-performance steel at elevated temperatures[J]. Journal of Constructional Steel Research, 2021, 176: 106407. doi: 10.1016/j.jcsr.2020.106407
    [2] YANG W J. Eeffect of tensile rate on tensile test results of 05Cr17Ni4Cu4Nb Steel[J]. Heat Treatment, 2024, 39(2): 15-18, 22. (杨旺久. 拉伸速率对05Cr17Ni4Cu4Nb钢拉伸试验结果的影响[J]. 热处理, 2024, 39(2): 15-18, 22. doi: 10.3969/j.issn.1008-1690.2024.02.003

    YANG W J. Eeffect of tensile rate on tensile test results of 05Cr17Ni4Cu4Nb Steel[J]. Heat Treatment, 2024, 39(2): 15-18, 22. doi: 10.3969/j.issn.1008-1690.2024.02.003
    [3] WANG G D. Status and prospects of research and development of key common technologies for high-quality heavy and medium plate production[J]. Steel Rolling, 019, 36(1): 1-8, 30. (王国栋. 高质量中厚板生产关键共性技术研发现状和前景[J]. 轧钢, 2019, 36(01): 1-8, 30.

    WANG G D. Status and prospects of research and development of key common technologies for high-quality heavy and medium plate production[J]. Steel Rolling, 019, 36(1): 1-8, 30.
    [4] CHEN G X, LU X Y, YAN J, et al. High-temperature deformation behavior of M50 steel[J]. Metals, 2022, 12(4): 541. doi: 10.3390/met12040541
    [5] SONG S Y, TIAN J Y, FAN L, et al. Study on dynamic and static CCT curves of steel Q460 for high performance building structures[J]. Journal of Wuhan University of Science and Technology, 2021, 44(6): 406-414. (宋思颖, 田俊羽, 樊雷, 等. 高性能建筑结构用钢Q460的动态和静态CCT曲线研究[J]. 武汉科技大学学报, 2021, 44(6): 406-414. doi: 10.3969/j.issn.1674-3644.2021.06.002

    SONG S Y, TIAN J Y, FAN L, et al. Study on dynamic and static CCT curves of steel Q460 for high performance building structures[J]. Journal of Wuhan University of Science and Technology, 2021, 44(6): 406-414. doi: 10.3969/j.issn.1674-3644.2021.06.002
    [6] ZOU J H, TIAN J Y, LI X, et al. Study on dynamic CCT curve and cooling technology of steel containing low carbon niobium building structure[J]. Journal of Wuhan University of Science and Technology, 2024, 47(5): 329-338. (邹佳辉, 田俊羽, 李显, 等. 低碳含铌建筑结构用钢动态CCT曲线及冷却工艺研究[J]. 武汉科技大学学报, 2024, 47(5): 329-338. doi: 10.3969/j.issn.1674-3644.2024.05.002

    ZOU J H, TIAN J Y, LI X, et al. Study on dynamic CCT curve and cooling technology of steel containing low carbon niobium building structure[J]. Journal of Wuhan University of Science and Technology, 2024, 47(5): 329-338. doi: 10.3969/j.issn.1674-3644.2024.05.002
    [7] ZHANG X P P, WU X D, ZHOU S R. Dynamic recrystallization and subdynamic recrystallization behavior of 18CrNiMo7-6 gear steel and their dynamic models[J]. Materials for Mechanical Engineering, 2024, 48(11): 29-36. (张肖佩佩, 吴晓东, 周少荣. 18CrNiMo7-6齿轮钢的动态再结晶和亚动态再结晶行为及其动力学模型[J]. 机械工程材料, 2024, 48(11): 29-36. doi: 10.11973/jxgccl230552

    ZHANG X P P, WU X D, ZHOU S R. Dynamic recrystallization and subdynamic recrystallization behavior of 18CrNiMo7-6 gear steel and their dynamic models[J]. Materials for Mechanical Engineering, 2024, 48(11): 29-36. doi: 10.11973/jxgccl230552
    [8] CHEN L H, LI C R, WEI J J. Effect of thermal deformation and Nb element action on the organization and performance of steel[J]. Materials Research Express, 2022, 9(5): 056518. doi: 10.1088/2053-1591/ac703b
    [9] SUN J H, GU H, ZHANG J, et al. Ti6Al4V-0.72H on the establishment of flow behavior and the analysis of hot processing maps[J]. Crystals, 2024, 14(4): 345. doi: 10.3390/cryst14040345
    [10] SHEN W F, ZHANG C, ZHANG L W, et al. Experimental study on the hot deformation characterization of low-carbon Nb-V-Ti microalloyed steel[J]. Journal of Materials Engineering and Performance, 2018, 27: 4616-4624. doi: 10.1007/s11665-018-3594-1
    [11] SUN J Q, DAI H, ZHANG Y C. Research on mathematical model of thermal deformation resistance of X80 pipeline steel[J]. Materials & Design, 2011, 32(3): 1612-1616.
    [12] LIU J, MAO B X, DUANMU Y C, et al. An investigation on deformation resistance modeling for AH36 hull structural steel[J]. Modern Transportation and Metallurgical Materials, 2025, 5(1): 68-75, 84. (刘健, 毛柄勋, 端木怡超, 等. AH36船板钢变形抗力模型研究[J]. 现代交通与冶金材料, 2025, 5(1): 68-75, 84. doi: 10.3969/j.issn.2097-017X.2025.01.011

    LIU J, MAO B X, DUANMU Y C, et al. An investigation on deformation resistance modeling for AH36 hull structural steel[J]. Modern Transportation and Metallurgical Materials, 2025, 5(1): 68-75, 84. doi: 10.3969/j.issn.2097-017X.2025.01.011
    [13] YIN B L, SAHAL A, CUI X Y, et al. Prediction model of deformation resistance of strip steel during hot continous rolling process[J]. Journal of Plasticity Engineering, 2024, 31(10): 159-166. (尹宝良, SAHAL A, 崔熙颖, 等. 热连轧过程大梁钢变形抗力预报模型[J]. 塑性工程学报, 2024, 31(10): 159-166.

    YIN B L, SAHAL A, CUI X Y, et al. Prediction model of deformation resistance of strip steel during hot continous rolling process[J]. Journal of Plasticity Engineering, 2024, 31(10): 159-166.
    [14] LI C, CHEN C Y, HUANG K, et al. Hot deformation behavior and microstructure evolution of Al-7.92Zn-1.64Mg-2.00Cu Alloy[J]. Metals, 2024, 14(2): 176. doi: 10.3390/met14020176
    [15] LIU K Z, HUANG L, SU Y, et al. Hot deformation behavior and comparison of three rheological stress models on AerMet100 ultra-high strength steel[J]. Forging and Stamping Technology, 2024, 49(10): 209-220. (刘可卓, 黄亮, 苏阳, 等. AerMet100超高强钢热变形行为及3种流变应力模型对比[J]. 锻压技术, 2024, 49(10): 209-220.

    LIU K Z, HUANG L, SU Y, et al. Hot deformation behavior and comparison of three rheological stress models on AerMet100 ultra-high strength steel[J]. Forging and Stamping Technology, 2024, 49(10): 209-220.
    [16] FENG Y L, LI J, AI L Q, et al. Deformation resistance of Fe-Mn-V-N alloy under different deformation processes[J]. Rare Metals, 2017, 36: 833-839. doi: 10.1007/s12598-015-0678-z
    [17] ZHAO H T, PALMIERE E J. Influence of cooling rate on the grain-refining effect of austenite deformation in a HSLA steel[J]. Materials Characterization, 2019, 158: 109990. doi: 10.1016/j.matchar.2019.109990
    [18] ZHAO H T, PALMIERE E J. Effect of austenite grain size on acicular ferrite transformation in a HSLA steel[J]. Materials Characterization, 2018, 145: 479-489. doi: 10.1016/j.matchar.2018.09.013
    [19] MANDAL S, BHOWMIK N, TEWARY N K, et al. Austenite grain growth and effect of austenite grain size on bainitic transformation[J]. Materials Science and Technology, 2022, 38(7): 409-418. doi: 10.1080/02670836.2022.2045547
    [20] WANG L F, HE P, HAN L, et al. Stress-strain analysis and yield strength prediction of austenite deformation of a medium carbon alloy steel[J]. Materials Science and Technology, 2023, 31(1): 43-48. (王礼凡, 何平, 韩理, 等. 中碳合金钢奥氏体变形应力应变分析及屈服强度的预测[J]. 材料科学与工艺, 2023, 31(1): 43-48. doi: 10.11951/j.issn.1005-0299.20220040

    WANG L F, HE P, HAN L, et al. Stress-strain analysis and yield strength prediction of austenite deformation of a medium carbon alloy steel[J]. Materials Science and Technology, 2023, 31(1): 43-48. doi: 10.11951/j.issn.1005-0299.20220040
    [21] ZHOU J H, GUAN K Z. Resistance to plastic deformation of metals[M]. Beijing: China Machine PRESS, 1989: 60-63. (周纪华, 管克智. 金属塑性变形阻力[M]. 北京: 机械工业出版社, 1989: 60-63.

    ZHOU J H, GUAN K Z. Resistance to plastic deformation of metals[M]. Beijing: China Machine PRESS, 1989: 60-63.
  • 加载中
图(11) / 表(2)
计量
  • 文章访问数:  21
  • HTML全文浏览量:  10
  • PDF下载量:  7
  • 被引次数: 0
出版历程
  • 收稿日期:  2025-01-15
  • 录用日期:  2025-02-28
  • 修回日期:  2025-02-13
  • 刊出日期:  2025-10-30

目录

    /

    返回文章
    返回