中文核心期刊

SCOPUS 数据库收录期刊

中国科技核心期刊

美国《化学文摘》来源期刊

中国优秀冶金期刊

美国EBSCO数据库收录期刊

RCCSE中国核心学术期刊

美国《剑桥科学文摘》来源期刊

中国应用核心期刊(CACJ)

美国《乌利希期刊指南》收录期刊

中国学术期刊综合评价统计源刊

俄罗斯《文摘杂志》来源期刊

优秀中文科技期刊(西牛计划)

日本《科学技术文献数据库》(JST)收录刊

留言板

尊敬的读者、作者、审稿人, 关于本刊的投稿、审稿、编辑和出版的任何问题, 您可以本页添加留言。我们将尽快给您答复。谢谢您的支持!

姓名
邮箱
手机号码
标题
留言内容
验证码

模拟深海环境中TC4 ELI合金的蠕变-疲劳行为

边舫 刘珂 李梦莎 王志炜 王起 孙冬柏

边舫, 刘珂, 李梦莎, 王志炜, 王起, 孙冬柏. 模拟深海环境中TC4 ELI合金的蠕变-疲劳行为[J]. 钢铁钒钛, 2025, 46(5): 184-189, 204. doi: 10.7513/j.issn.1004-7638.2025.05.020
引用本文: 边舫, 刘珂, 李梦莎, 王志炜, 王起, 孙冬柏. 模拟深海环境中TC4 ELI合金的蠕变-疲劳行为[J]. 钢铁钒钛, 2025, 46(5): 184-189, 204. doi: 10.7513/j.issn.1004-7638.2025.05.020
BIAN Fang, LIU Ke, LI Mengsha, WANG Zhiwei, WANG Qi, SUN Dongbai. The creep-fatigue behavior of TC4 ELI alloy under simulated deep-sea environments[J]. IRON STEEL VANADIUM TITANIUM, 2025, 46(5): 184-189, 204. doi: 10.7513/j.issn.1004-7638.2025.05.020
Citation: BIAN Fang, LIU Ke, LI Mengsha, WANG Zhiwei, WANG Qi, SUN Dongbai. The creep-fatigue behavior of TC4 ELI alloy under simulated deep-sea environments[J]. IRON STEEL VANADIUM TITANIUM, 2025, 46(5): 184-189, 204. doi: 10.7513/j.issn.1004-7638.2025.05.020

模拟深海环境中TC4 ELI合金的蠕变-疲劳行为

doi: 10.7513/j.issn.1004-7638.2025.05.020
详细信息
    作者简介:

    边舫,1972年出生,女,辽宁辽阳人,博士,高级工程师,主要研究方向:材料疲劳断裂性能测试,E-mail:bianfang@sml-zhuhai.cn

  • 中图分类号: TF823,TG456.7

The creep-fatigue behavior of TC4 ELI alloy under simulated deep-sea environments

  • 摘要: 针对TC4 ELI钛合金在深海多因素耦合环境下的蠕变-疲劳损伤机制不明问题,通过高压腐蚀试验系统,模拟南海200、600 m和6000 m海水环境,系统研究了TC4 ELI合金的循环应力-寿命响应及损伤演化规律。试验给出了不同环境条件下TC4 ELI合金的循环应力-疲劳寿命数据。结果表明,模拟深海环境中蠕变-疲劳的循环应力-寿命关系可以用Basquin方程表征;有保载时间的蠕变-疲劳比纯疲劳的疲劳寿命显著降低;同等加载条件下疲劳过程的断裂应变量相当,疲劳寿命取决于应变增加的速率。扫描电镜观察到断口表面多源裂纹萌生,无明显扩展区,疲劳寿命主要为裂纹萌生寿命,表明深海环境与空气中裂纹萌生机制不同。
  • 图  1  蠕变-疲劳试样

    (a)试样规格示意;(b) 实物

    Figure  1.  Geometry of samples for creep-fatigue

    图  2  试验材料原始组织形貌

    (b)横向;(b) 纵向

    Figure  2.  Microstructure of as-received TC4 ELI alloy

    图  3  高压腐蚀溶液环境模拟试验系统

    Figure  3.  Environmental simulation test system for high-pressure corrosive solution

    图  4  空气和三种海水环境中蠕变-疲劳寿命曲线

    Figure  4.  Creep-fatigue peak stress-cycles curves in air and three seawater environments

    图  5  不同环境中保载时间-疲劳寿命试验结果

    Figure  5.  Dwell time-fatigue life tests results in different environments

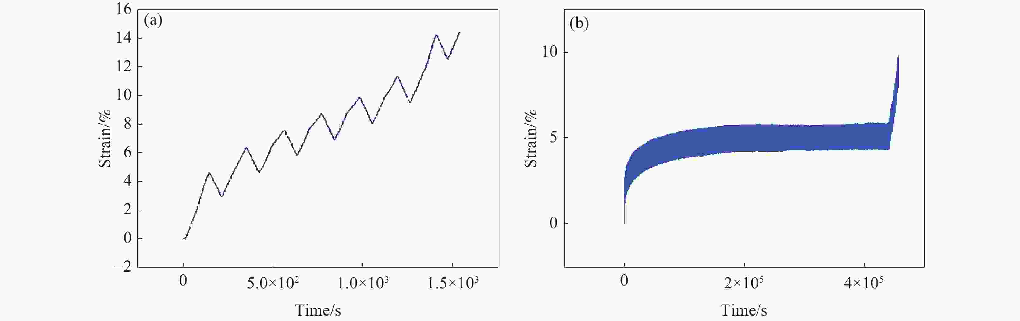
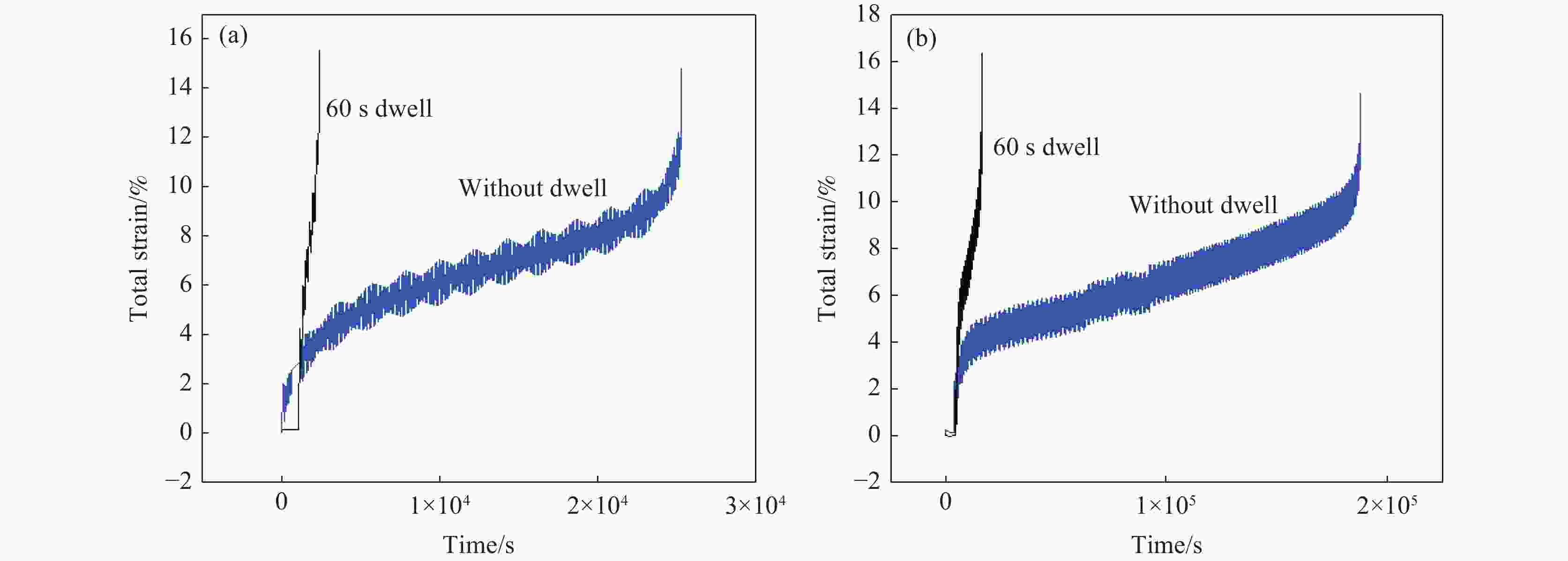
    图  6  保载对疲劳加载过程总应变的影响

    (a)水深200 m;(b) 水深600 m

    Figure  6.  Dependence of fatigue loading total strain on the dwell time

    图  7  第一周及半寿命稳定循环的应力-应变曲线(σmax=819 MPa,tD=60 s)

    (a) 第一周; (b) 半寿命前; (c)半寿命后

    Figure  7.  The stress-strain curves for the first cycle and stable half-life cycle (σmax=819 MPa,tD=60 s)

    图  8  蠕变疲劳的总应变-时间曲线

    (a) 空气中; (b) 水深6 000 m

    Figure  8.  The curve of total strain-time during creep-fatigue

    图  9  典型样品的蠕变-疲劳断口

    (a)水深6 000 m;(b)空气中

    Figure  9.  The morphology and microstructure of the creep-fatigued typical samples

    表  1  试验材料的合金成分

    Table  1.   Chemical composition of TC4 ELI titanium alloy %

    AlVFeNHOTi
    5.993.910.0340.00360.00240.050Bal.
    下载: 导出CSV

    表  2  三种不同试验环境控制参数设定

    Table  2.   Three sets of environment parameters for test

    Serial number Simulated water depth/m Hydrostatic pressure/MPa Dissolved oxygen×106 Temperature/ ℃
    1 200 2 8 27
    2 600 6 2 9
    3 6000 60 4 3
    下载: 导出CSV

    表  3  试验环境中蠕变-疲劳的应力-寿命方程(tD=60 s)

    Table  3.   Stress-life equation for creep fatigue in the test environment (tD=60 s)

    Test depth/m Peak stress-fatigue life equation
    Air $ \mathit{\sigma}_0=894N^{-0.019\; 5} $
    200 $ {\sigma }_{1}=930{N}^{-0.041\;4} $
    600 $ {\sigma }_{2}=904{N}^{-0.015\;4} $
    6000 $ {\sigma }_{3}=1\;050{N}^{-0.029\;4} $
    下载: 导出CSV
  • [1] ZHAO Y Q. Phase transformation and heat treatment of titanium alloys[M]. Changsha: Central South University Press, 2012. (赵永庆. 钛合金相变及热处理[M]. 中南大学出版社, 2012.

    ZHAO Y Q. Phase transformation and heat treatment of titanium alloys[M]. Changsha: Central South University Press, 2012.
    [2] FENG Y Q, JIA S X, WANG W Q, et al. Development of TC4 ELI titanium alloy hemisphere shell for manned submersible[J]. Titanium Industry Progress, 2016, 33(1): 19-22. (冯雅奇, 贾栓孝, 王韦琪, 等. 深潜器载人舱用TC4 ELI 钛合金半球壳的研制[J]. 钛工业进展, 2016, 33(1): 19-22.

    FENG Y Q, JIA S X, WANG W Q, et al. Development of TC4 ELI titanium alloy hemisphere shell for manned submersible[J]. Titanium Industry Progress, 2016, 33(1): 19-22.
    [3] LI Y H, YANG R, QING D G, et al. Effect of microstructure on tensile creep behavior of TC4ELI titanium alloy at roomtemperature[J]. World Nonferrous Metal, 2018(23): 180-181. (李有华, 杨蓉, 庆达嘎, 等. 显微组织对TC4ELI钛合金常温拉伸蠕变行为影响研究[J]. 世界有色金属, 2018(23): 180-181. doi: 10.3969/j.issn.1002-5065.2018.23.102

    LI Y H, YANG R, QING D G, et al. Effect of microstructure on tensile creep behavior of TC4ELI titanium alloy at roomtemperature[J]. World Nonferrous Metal, 2018(23): 180-181. doi: 10.3969/j.issn.1002-5065.2018.23.102
    [4] XI G Q, QIU J K, LEI J F, et al. Room temperature creep behavior of Ti-6Al-4V alloy[J]. Chinese Journal of Materials Research, 2021, 35(12): 881-892. (席国强, 邱建科, 雷家峰, 等. Ti-6Al-4V合金的室温蠕变行为[J]. 材料研究学报, 2021, 35(12): 881-892.

    XI G Q, QIU J K, LEI J F, et al. Room temperature creep behavior of Ti-6Al-4V alloy[J]. Chinese Journal of Materials Research, 2021, 35(12): 881-892.
    [5] DONG Y C, FANG Z G, CHANG H, et al. Service performance of titanium alloy in marine environment[J]. Materials China, 2020, 39(3): 185-190. (董月成, 方志刚, 常辉, 等. 海洋环境下钛合金主要服役性能研究[J]. 中国材料进展, 2020, 39(3): 185-190.

    DONG Y C, FANG Z G, CHANG H, et al. Service performance of titanium alloy in marine environment[J]. Materials China, 2020, 39(3): 185-190.
    [6] ZHOU J L, LI X G, CHENG X Q, et al. Research progress on corrosion of metallic materials in deep sea environment[J]. Corros. Sci. Prot. Technol. , 2010, 22: 47. (周建龙, 李晓刚, 程学群, 等. 深海环境下金属及合金材料腐蚀研究进展[J]. 腐蚀科学与防护技术, 2010, 22: 47.

    ZHOU J L, LI X G, CHENG X Q, et al. Research progress on corrosion of metallic materials in deep sea environment[J]. Corros. Sci. Prot. Technol. , 2010, 22: 47.
    [7] FU Z X, LI X F, LUO L Z. Research progress on corrosion fatigue of metal materials[J]. Equipment Enviromental Engineering, 2019, 16(7): 71-75. (符朝旭, 黎小锋 , 罗来正. 金属材料腐蚀疲劳研究进展[J]. 装备环境工程, 2019, 16(7): 71-75.

    FU Z X, LI X F, LUO L Z. Research progress on corrosion fatigue of metal materials[J]. Equipment Enviromental Engineering, 2019, 16(7): 71-75.
    [8] LIN J H, DAN Z H, LU J F, et al. Research status and prospect on marine corrosion of titanium alloys in deep ocean environments[J]. Rare Met. Mater. Eng., 2020, 49: 1090. (林俊辉, 淡振华, 陆嘉飞, 等. 深海腐蚀环境下钛合金海洋腐蚀的发展现状及展望[J]. 稀有金属材料与工程, 2020, 49: 1090.

    LIN J H, DAN Z H, LU J F, et al. Research status and prospect on marine corrosion of titanium alloys in deep ocean environments[J]. Rare Met. Mater. Eng., 2020, 49: 1090.
    [9] LI Y H, ZHANG W X, CHEN X L, et al. Research and application status of titanium alloys for marine engineering[J]. Titanium Industry Progress, 2022, 39(1): 43-48. (李永华, 张文旭, 陈小龙, 等. 海洋工程用钛合金研究与应用现状[J]. 钛工业进展, 2022, 39(1): 43-48.

    LI Y H, ZHANG W X, CHEN X L, et al. Research and application status of titanium alloys for marine engineering[J]. Titanium Industry Progress, 2022, 39(1): 43-48.
    [10] ZHU S P, HUANG H Z, HE L P, et al. Improved generalized strain energy damage function method for high temperature low cycle fatigue-creep[J]. Acta Aeronautica et Astronautica Sinica, 2011, 32(8): 1445-1452. (朱顺鹏, 黄洪钟, 何俐萍, 等. 高温低周疲劳-蠕变的改进型广义应变能损伤函数方法[J]. 航空学报, 2011, 32(8): 1445-1452.

    ZHU S P, HUANG H Z, HE L P, et al. Improved generalized strain energy damage function method for high temperature low cycle fatigue-creep[J]. Acta Aeronautica et Astronautica Sinica, 2011, 32(8): 1445-1452.
    [11] LIU Y Y, ZHAO Z H, WANG G S, et al. Effect of the over-aging degree on high cycle fatigue properties of an ultra-high strength Al-Zn-Mg-Cu alloy[J]. Materials Science & Engineering A, 2024, 918: 147428.
    [12] TANG S J. Sdudy on microstructure, properties and room temperature creep of TC4 ELI sheet[D]. Shenyang: Northeastern University, 2021. (汤苏晋. TC4 ELI板材组织性能及室温蠕变研究[D]. 沈阳: 东北大学, 2021.

    TANG S J. Sdudy on microstructure, properties and room temperature creep of TC4 ELI sheet[D]. Shenyang: Northeastern University, 2021.
    [13] WANG L, WANG K, LI Y Q, et al. Low-cycle fatigue properties of TC4 ELI titanium alloy[J]. Titanium Industry Progress, 2018, 35(2): 17-21. (王雷, 王琨, 李艳青, 等. TC4 ELI钛合金低周疲劳性能研究[J]. 钛工业进展, 2018, 35(2): 17-21.

    WANG L, WANG K, LI Y Q, et al. Low-cycle fatigue properties of TC4 ELI titanium alloy[J]. Titanium Industry Progress, 2018, 35(2): 17-21.
    [14] HONG Y S, FANG B. Microscopic process and description for the initiation and propagation of short fatigue cracks[J]. Advances in Mechanics, 1993, 23(4): 468-486. (洪友士, 方彪. 疲劳短裂纹萌生及发展的细观过程和理论[J]. 力学进展, 1993 23(4): 468-486.

    HONG Y S, FANG B. Microscopic process and description for the initiation and propagation of short fatigue cracks[J]. Advances in Mechanics, 1993, 23(4): 468-486.
    [15] SUN Y Y, CHANG H, FANG Z G. et al. Effect of microstructure on low cycle fatigue property of TC4 ELI titanium alloy[J]. Rare Met. Mater. Eng, 2020, 49(5): 1623-1628.
  • 加载中
图(9) / 表(3)
计量
  • 文章访问数:  37
  • HTML全文浏览量:  18
  • PDF下载量:  12
  • 被引次数: 0
出版历程
  • 收稿日期:  2024-12-10
  • 录用日期:  2025-04-14
  • 修回日期:  2025-04-07
  • 刊出日期:  2025-10-30

目录

    /

    返回文章
    返回