中文核心期刊

SCOPUS 数据库收录期刊

中国科技核心期刊

美国《化学文摘》来源期刊

中国优秀冶金期刊

美国EBSCO数据库收录期刊

RCCSE中国核心学术期刊

美国《剑桥科学文摘》来源期刊

中国应用核心期刊(CACJ)

美国《乌利希期刊指南》收录期刊

中国学术期刊综合评价统计源刊

俄罗斯《文摘杂志》来源期刊

优秀中文科技期刊(西牛计划)

日本《科学技术文献数据库》(JST)收录刊

留言板

尊敬的读者、作者、审稿人, 关于本刊的投稿、审稿、编辑和出版的任何问题, 您可以本页添加留言。我们将尽快给您答复。谢谢您的支持!

姓名
邮箱
手机号码
标题
留言内容
验证码

四氯化钛除钒尾渣钠化焙烧动力学研究

堵伟桐 姜丛翔 郑睿琦 陈卓 居殿春

堵伟桐, 姜丛翔, 郑睿琦, 陈卓, 居殿春. 四氯化钛除钒尾渣钠化焙烧动力学研究[J]. 钢铁钒钛, 2022, 43(1): 7-12. doi: 10.7513/j.issn.1004-7638.2022.01.002
引用本文: 堵伟桐, 姜丛翔, 郑睿琦, 陈卓, 居殿春. 四氯化钛除钒尾渣钠化焙烧动力学研究[J]. 钢铁钒钛, 2022, 43(1): 7-12. doi: 10.7513/j.issn.1004-7638.2022.01.002
Du Weitong, Jiang Congxiang, Zheng Ruiqi, Chen Zhuo, Ju Dianchun. Study on sodium roasting kinetics of vanadium removal slag of titanium tetrachloride[J]. IRON STEEL VANADIUM TITANIUM, 2022, 43(1): 7-12. doi: 10.7513/j.issn.1004-7638.2022.01.002
Citation: Du Weitong, Jiang Congxiang, Zheng Ruiqi, Chen Zhuo, Ju Dianchun. Study on sodium roasting kinetics of vanadium removal slag of titanium tetrachloride[J]. IRON STEEL VANADIUM TITANIUM, 2022, 43(1): 7-12. doi: 10.7513/j.issn.1004-7638.2022.01.002

四氯化钛除钒尾渣钠化焙烧动力学研究

doi: 10.7513/j.issn.1004-7638.2022.01.002
基金项目: 江苏省自然科学基金青年项目(BK20210888);江苏省高等学校自然科学研究面上项目(20KJB450001,20KJD450001)
详细信息
    作者简介:

    堵伟桐(1990—),男,河北沧州人, 博士, 讲师,主要从事含钒熔渣提钒研究, E-mail:weitong.du@just.edu.cn

    通讯作者:

    陈卓(1992—),女,河南开封人,博士,讲师,主要从事连铸保护渣及冶金固废利用等方面研究,E-mail:chenzhuo@just.edu.cn

  • 中图分类号: X757,TF841.3

Study on sodium roasting kinetics of vanadium removal slag of titanium tetrachloride

  • 摘要: 基于非等温热重分析研究Na2CO3添加量和升温速率对含钒尾渣氧化的影响规律,采用Kissinger-Akahira-Sunose(KAS)法计算了含钒尾渣氧化过程活化能和指前因子,并通过Coats-Redfem法推断机理函数并建立不同阶段所适用的动力学方程。结果表明:含钒尾渣完全氧化的温度为700 ℃,随Na2CO3添加量增加,表观活化能逐渐降低,氧化速率提高;当Na2CO3添加量超过20%后,钒渣在氧化焙烧过程中出现玻璃相,产生烧结现象,表观活化能开始逐渐增大,氧化速率降低。钠化焙烧过程分为四个阶段,其动力学方程分别为:第一阶段二维扩散dα/dT=exp(−72.03/RT)4(1−α)1/2[1−(1−α)1/2]20.022/β,第二阶段三维扩散dα/dT=exp(−23.7/RT)3/2(1−α)4/3[(1−α)−1/3−1]−10.014/β,第三阶段化学反应dα/dT=exp(−27.91/RT) (1−α)20.06/β,第四阶段形核与长大dα/dT=exp(−12.09/RT)2(1−α)[−ln(1−α)]1/20.14/β
  • 图  1  四氯化钛除钒尾渣XRD图谱

    Figure  1.  XRD pattern of vanadium removal slag of crude titanium tetrachloride

    图  2  不同升温速率下钒渣氧化的TG/DTG曲线

    Figure  2.  TG/DTG curves of oxidation of vanadium containing slag at different heating rates

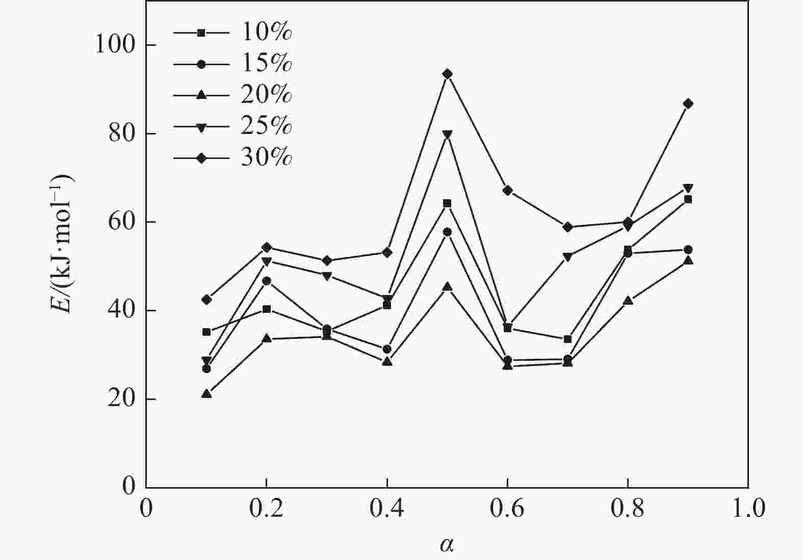
    图  3  不同Na2CO3添加量下表观活化能与转换率的关系

    Figure  3.  The relationship between apparent activation energy and conversion rate with different addition amount of Na2CO3

    图  4  四氯化钛除钒尾渣钠化焙烧反应速率与转化率的关系

    Figure  4.  The relationship between the reaction rate and conversion rate of sodium calcination of the vanadium removal slag of titanium tetrachloride

    图  5  升温速率为10、15、20 K/min下ln(G(α)/T2)−1/T关系

    Figure  5.  Relationship of ln(G(α)/T2)−1/T at heating rate of 10 K/min, 15 K/min, and 20 K/min

    表  1  粗四氯化钛精制尾渣的主要化学成分

    Table  1.   Main chemical compositions of vanadium removal slag of crude titanium tetrachloride %

    ClFe2O3TiO2Al2O3V2O5ZrO2CSiO2Cr2O3
    31.9519.1815.398.6411.176.772.681.860.81
    下载: 导出CSV

    表  2  四氯化钛除钒尾渣添加20%Na2CO3钠化焙烧在不同阶段的表观活化能和指前因子

    Table  2.   Apparent activation energy and pre-exponential factor in different stages for sodium roasting of vanadium removal slag of titanium tetrachloride with 20% Na2CO3

    阶段不同升温速率时的活化能活化能/(kJ·mol−1)指前因子/min−1
    10 K/min15 K/min20 K/min
    活化能/(kJ·mol−1)拟合度活化能/(kJ·mol−1)拟合度活化能/(kJ·mol−1)拟合度
    第一阶段77.660.9971.980.9966.440.9972.030.022
    第二阶段24.810.9921.780.9924.510.9823.70.014
    第三阶段33.670.9826.040.9924.030.9927.910.06
    第四阶段13.430.9810.210.9912.640.9912.090.14
    下载: 导出CSV
  • [1] Qu Jinwei, Zhang Ting′an, Niu Liping, et al. Technical progress of comprehensive utilization of converter vanadium slag[J]. Iron Steel Vanadium Titanium, 2020,41(5):1−7. (瞿金为, 张廷安, 牛丽萍, 等. 转炉钒渣的综合利用技术进展[J]. 钢铁钒钛, 2020,41(5):1−7.
    [2] Xie Qichun. Research and application of reclaiming ilmenite from titanium tailings in Panxi[J]. Mining and Metallurgical Engineering, 2018,38(3):40−42. (谢琪春. 攀西选钛尾矿中再回收钛铁矿工艺研究与应用[J]. 矿冶工程, 2018,38(3):40−42. doi: 10.3969/j.issn.0253-6099.2018.03.009
    [3] Li Liang, Zhou Li, Li Dongqin, et al. Research on the recovery and utilization of TiCl4 refined tailings[J]. Iron Steel Vanadium Titanium, 2016,7(5):76−79. (李良, 周丽, 李冬勤, 等. TiCl4精制尾渣的回收利用研究[J]. 钢铁钒钛, 2016,7(5):76−79.
    [4] Zhou Li. Study on the vanadium removal process of the organic pretreatment of high vanadium content crude titanium tetrachloride[J]. Iron Steel Vanadium Titanium, 2017,38(4):24−28. (周丽. 高含钒粗四氯化钛有机物预处理除钒工艺研究[J]. 钢铁钒钛, 2017,38(4):24−28. doi: 10.7513/j.issn.1004-7638.2017.04.005
    [5] Yu Jing, Zhang Ping, Chen Tianxiang, et al. Research on the process of removing vanadium from crude titanium tetrachloride organics[J]. Journal of Guizhou University of Technology(Natural Science Edition), 2008,37(2):29−32. (于静, 章平, 陈天祥, 等. 粗四氯化钛有机物除钒工艺研究[J]. 贵州工业大学学报(自然科学版), 2008,37(2):29−32.
    [6] Shi Zhixin. Characterization of the variation law of vanadium spinel and fayalite during the sodium roasting of vanadium slag[J]. Non-ferrous Metals (Mineral Processing Part), 2018,(4):4−8,14. (史志新. 钒渣钠化焙烧过程中钒尖晶石和铁橄榄石的变化规律表征[J]. 有色金属(选矿部分), 2018,(4):4−8,14.
    [7] Zhang Xinxia. Optimization of sodium roasting process for high silicon high calcium vanadium slag[J]. Ferro Alloys, 2013,44(1):22−24,29. (张新霞. 高硅高钙钒渣钠化焙烧工艺的优化研究[J]. 铁合金, 2013,44(1):22−24,29. doi: 10.3969/j.issn.1001-1943.2013.01.006
    [8] Yang Z, Li H Y, Yin X C, et al. Leaching kinetics of calcification roasted vanadium slag with high CaO content by sulfuric acid[J]. International Journal of Mineral Processing, 2014,133:105−111. doi: 10.1016/j.minpro.2014.10.011
    [9] Pan Ziwei, Zheng Shili, Wang Zhongxing, et al. High-efficiency simultaneous extraction process of vanadium and chromium from high chromium vanadium slag by sub-molten salt method[J]. Iron Steel Vanadium Titanium, 2014,35(2):1−8. (潘自维, 郑诗礼, 王中行, 等. 亚熔盐法高铬钒渣钒铬高效同步提取工艺研究[J]. 钢铁钒钛, 2014,35(2):1−8. doi: 10.7513/j.issn.1004-7638.2014.02.001
    [10] Gao Jian, Liu Xibin, Shi Zhixin. Phase changes and vanadium element migration characteristics of vanadium slag during sodium oxidation roasting[J]. Mining and Metallurgy, 2019,28(3):105−110. (高健, 刘希斌, 史志新. 钒渣氧化钠化焙烧过程中物相变化及钒元素迁移特征[J]. 矿冶, 2019,28(3):105−110. doi: 10.3969/j.issn.1005-7854.2019.03.022
    [11] Li Xinsheng, Xie Bing, Wang Guang, en, et al. Oxidation process of low-grade vanadium slag in presence of Na2CO3[J]. Transactions of Nonferrous Metals Society of China, 2011,21(8):1860−1867. doi: 10.1016/S1003-6326(11)60942-4
    [12] Xie Zhaoming, Deng Rongrui, Liu Zuohua, et al. Evolutionary behavior of fractal growth of vanadium slag powder in sodium roasting converter[J]. Journal of Chemical Industry, 2019,70(5):1904−1912. (谢昭明, 邓容锐, 刘作华, 等. 钠化焙烧转炉钒渣粉体分形生长的演化行为[J]. 化工学报, 2019,70(5):1904−1912.
    [13] Wang Minghua, Zhao Hui, Liu Yan, et al. Semi-quantitative analysis of the sodiumization roasting process of vanadium slag[J]. Iron Steel Vanadium Titanium, 2017,38(5):31−36. (王明华, 赵辉, 刘岩, 等. 钒渣钠化焙烧过程的半定量分析[J]. 钢铁钒钛, 2017,38(5):31−36. doi: 10.7513/j.issn.1004-7638.2017.05.006
    [14] Lu X L, Zhu Q, Meng Y Z. Kinetic analysis of thermal decomposition of poly (propylene carbonate)[J]. Polymer Degradation and Stability, 2005,89(2):282−288. doi: 10.1016/j.polymdegradstab.2004.12.025
    [15] Flynn J H, Wall L A. A quick, direct method for the determination of activation energy from thermogravimetric data[J]. Journal of Polymer Science Part B:Polymer Letters, 1966,4(5):323−328. doi: 10.1002/pol.1966.110040504
    [16] Criado J M, Sánchez-Jiménez P E, Pérez-Maqueda L A. Critical study of the isoconversional methods of kinetic analysis[J]. Journal of Thermal Analysis & Calorimetry, 2008,92(1):199−203.
    [17] Kissinger H E. Reaction kinetics in differential thermal analysis[J]. Analytical Chemistry, 1957,29(11):1702−1706. doi: 10.1021/ac60131a045
    [18] Vyazovkin S, Chrissafis K, Lorenzo M L D, et al. ICTAC kinetics committee recommendations for collecting experimental thermal analysis data for kinetic computations[J]. Thermochimica ACTA, 2014,590:1−23. doi: 10.1016/j.tca.2014.05.036
    [19] Coats A W, Redfern J P. Kinetic parameters from thermogravimetric data. II[J]. Nature, 1964,201:68−69. doi: 10.1038/201068a0
    [20] Huang L, Chen Y C, Liu G, et al. Non-isothermal pyrolysis characteristics of giant reed using thermogravimetric analysis[J]. Energy, 2015,87:31−40. doi: 10.1016/j.energy.2015.04.089
  • 加载中
图(5) / 表(2)
计量
  • 文章访问数:  973
  • HTML全文浏览量:  372
  • PDF下载量:  215
  • 被引次数: 0
出版历程
  • 收稿日期:  2021-09-27
  • 网络出版日期:  2022-02-28
  • 刊出日期:  2022-02-28

目录

    /

    返回文章
    返回