中文核心期刊

SCOPUS 数据库收录期刊

中国科技核心期刊

美国《化学文摘》来源期刊

中国优秀冶金期刊

美国EBSCO数据库收录期刊

RCCSE中国核心学术期刊

美国《剑桥科学文摘》来源期刊

中国应用核心期刊(CACJ)

美国《乌利希期刊指南》收录期刊

中国学术期刊综合评价统计源刊

俄罗斯《文摘杂志》来源期刊

优秀中文科技期刊(西牛计划)

日本《科学技术文献数据库》(JST)收录刊

留言板

尊敬的读者、作者、审稿人, 关于本刊的投稿、审稿、编辑和出版的任何问题, 您可以本页添加留言。我们将尽快给您答复。谢谢您的支持!

姓名
邮箱
手机号码
标题
留言内容
验证码

2022年  第43卷  第1期

钒钛分离与提取
惰性气氛下热分解法制备M相二氧化钒超细颗粒
尹翔鹭, 曾泽华, 高荣荣, 代宇, 滕艾均
2022, 43(1): 1-6. doi: 10.7513/j.issn.1004-7638.2022.01.001
摘要(966) HTML (323) PDF(103)
摘要:
M相二氧化钒(VO2)是一种主要的热致相变材料,相变温度为68 ℃。由于相变前后会发生明显的物理化学性质的变化,M相VO2可以广泛应用在相变节能和传感等领域。采用草酸氧钒作为前驱体,在惰性气氛中直接热分解制备M相VO2超细颗粒。探究了主要反应条件:热解温度、热解时间和气体流速对产物物相纯度的影响。在最优的制备条件(热解温度450 ℃,热解时间30 min,氩气流速2.0 L/min)下,制备了较纯的M相VO2超细颗粒。采用扫描电镜、差示热分析仪表征了产物的形貌和相变性能。制备的M相VO2颗粒主要为类长方体形的微米级颗粒,在其表面附着大量不规则形貌的纳米级细小颗粒,微米级颗粒平均尺寸为5.76 μm,纳米级颗粒平均尺寸为177.21 nm,相变温度为65 ℃。该方法简单高效、易于放大制备M相VO2超细颗粒。
四氯化钛除钒尾渣钠化焙烧动力学研究
堵伟桐, 姜丛翔, 郑睿琦, 陈卓, 居殿春
2022, 43(1): 7-12. doi: 10.7513/j.issn.1004-7638.2022.01.002
摘要(970) HTML (369) PDF(215)
摘要:
基于非等温热重分析研究Na2CO3添加量和升温速率对含钒尾渣氧化的影响规律,采用Kissinger-Akahira-Sunose(KAS)法计算了含钒尾渣氧化过程活化能和指前因子,并通过Coats-Redfem法推断机理函数并建立不同阶段所适用的动力学方程。结果表明:含钒尾渣完全氧化的温度为700 ℃,随Na2CO3添加量增加,表观活化能逐渐降低,氧化速率提高;当Na2CO3添加量超过20%后,钒渣在氧化焙烧过程中出现玻璃相,产生烧结现象,表观活化能开始逐渐增大,氧化速率降低。钠化焙烧过程分为四个阶段,其动力学方程分别为:第一阶段二维扩散dα/dT=exp(−72.03/RT)4(1−α)1/2[1−(1−α)1/2]20.022/β,第二阶段三维扩散dα/dT=exp(−23.7/RT)3/2(1−α)4/3[(1−α)−1/3−1]−10.014/β,第三阶段化学反应dα/dT=exp(−27.91/RT) (1−α)20.06/β,第四阶段形核与长大dα/dT=exp(−12.09/RT)2(1−α)[−ln(1−α)]1/20.14/β
低品位钛渣酸解反应试验研究
李凯茂, 王海波, 肖军
2022, 43(1): 13-18, 98. doi: 10.7513/j.issn.1004-7638.2022.01.003
摘要(599) HTML (172) PDF(42)
摘要:
针对低品位钛渣酸解率低的问题,研究了低品位钛渣和74渣的物相组成、钛渣酸解温度曲线和化学反应标准生成热之间的差异,考察了反应酸浓度、引发温度、主反应时间、酸渣比对低品位钛渣酸解率的影响。结果表明:低品位钛渣酸解率低不是由难溶于硫酸的物相引起,而是与酸解反应速率有关;引发温度高引起酸解反应速率快、主反应时间短是低品位钛渣酸解率低的主要原因之一;适当降低引发温度,可以满足低品位钛渣酸解需要外加热补充热量需求;通过降低反应酸浓度和引发温度,延长主反应时间,1#渣的酸解率由78.98%提高至94.31%,2#渣的酸解率由71.77%提高至91.19%;与优化前相比,酸解工艺优化后残渣物相中黑钛石相(M2TiO5)峰值减弱,且新增了辉石相(Ca(Mg,Fe,Al)(Si,Al)2O6)。
酸性钒溶液中锰的脱除研究进展
张菊花, 梁月, 常雨微, 惠旭杰
2022, 43(1): 19-27. doi: 10.7513/j.issn.1004-7638.2022.01.004
摘要(682) HTML (307) PDF(77)
摘要:
钙化焙烧-酸浸是一种极具应用前景的清洁提钒工艺,但是所得酸性含钒溶液中锰的含量较高,严重影响钒产品的品质及其应用,因此,对酸性钒溶液中锰的脱除研究亟不可待。对近年来国内外不同溶液体系以及酸性钒溶液中锰的去除进行了综述,阐明了不同溶液锰的去除方法的原理、脱除条件以及除锰效果,并对酸性钒溶液中杂质锰的脱除方法进行了探讨,为高效、高选择性、低成本脱除酸性含钒溶液中的杂质锰提供理论和技术指导。基于酸性含钒溶液体系对除锰剂及除锰方法选择的具体要求,在理论上过硫酸铵氧化法、萃取法和离子交换法适用于该体系中杂质锰的脱除,但具体脱除效果、操作条件和作用机理需进一步研究。
钒渣与Na2O2焙烧提钒技术的探索
邵胜琦, 岳宏瑞, 曹晓舟, 程功金, 刘建兴, 薛向欣
2022, 43(1): 28-35. doi: 10.7513/j.issn.1004-7638.2022.01.005
摘要(877) HTML (327) PDF(59)
摘要:
将钒渣与过氧化钠(Na2O2)混和,经压块、焙烧、水浸等处理工艺,将钒富集到V2O5中。研究了焙烧温度、压块压力、焙烧时间、Na2O2加入量、浸出温度等因素对钒浸出率的影响。结果表明,当Na2O2与钒渣中V2O5的摩尔比在0.5∶1~4∶1、焙烧温度在700~1000 ℃、压块压力在1~25 MPa范围内变化时,钒浸出率均呈现先增大后减小的规律,且当钠钒比(Na2O2/V2O5)为3∶1、焙烧温度为850 ℃、压块压力为5 MPa时钒浸出率最大,为95.57%。焙烧时间在0.5~2.5 h、浸出温度在60~100 ℃时,钒浸出率出现波动,在焙烧时间为2.5 h、浸出温度为80 ℃时达到最大值。最优试验条件下,钒浸出率为95.57%。同时,使用X射线衍射分析仪和电子探针分析和表征了焙烧熟料中的物相及其分布规律。结果表明,焙烧后熟料中主要的物相有Fe2O3,Fe3O4,Ca(TiO3),Na3VO4,Mg0.165Mn0.835O等。最后,将熟料加入铵盐再经过沉淀和煅烧处理得到质量分数为96.84%的V2O5
海绵钛中杂质元素Al来源及控制技术研究
朵云霞, 王丽娟, 李仪, 魏治中
2022, 43(1): 36-39. doi: 10.7513/j.issn.1004-7638.2022.01.006
摘要(613) HTML (174) PDF(57)
摘要:
对克劳尔法生产过程海绵钛中Al杂质的来源进行了分析,主要为原料四氯化钛以及原料镁所引入。随后主要对四氯化钛的Al杂质元素的来源进行分析,采取在氯化工序中通水蒸气的措施进行除铝,当通水量在10 kg/h时,就能达到84.22%的除铝效果;同时对原料镁中带入的Al的来源进行分析,并通过加入精炼剂来进行除杂,当精炼剂加入量达到20 kg/t时,除杂效果优异。又因为海绵钛钛坨在生成期间,受反应过程影响,杂质元素Al在海绵钛中分布并不均匀,因此要生产高质量海绵钛,需要从源头进行Al元素的除杂。
钒钛材料与应用
Si对(Ti5Si3+TiBw)/TC11组织与性能影响
钟亮, 付玉, 王荫洋, 韩俊刚, 曹召勋, 宋运坤, 李雷, 徐永东
2022, 43(1): 40-47. doi: 10.7513/j.issn.1004-7638.2022.01.007
摘要(984) HTML (343) PDF(36)
摘要:
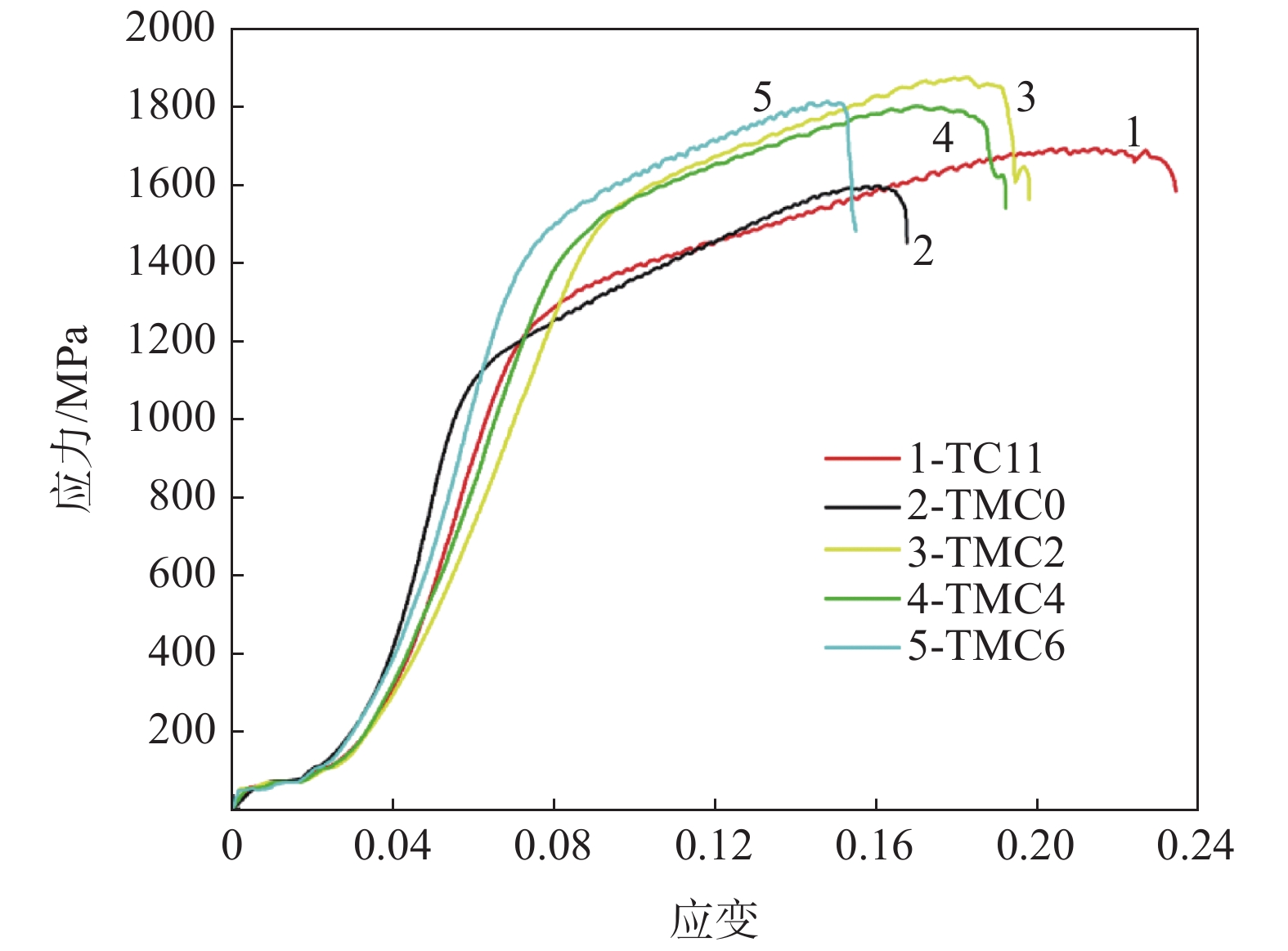
采用粉末冶金法制备原位自生网状(Ti5Si3+TiBw)/TC11复合材料,对其金相组织、微观形貌、力学性能与断口进行研究分析。结果表明:TiBw 、部分Ti5Si3分布于基体颗粒周围,呈准连续网状分布;其余Ti5Si3分布于基体周围、β-Ti内、α-Ti与β-Ti相界处。随着Si元素的增加,原位生成Ti5Si3增多,α-Ti由长片状变为短棒状并趋向于等轴状,有明显细化组织作用。TiBw、Ti5Si3起到载荷传递、强化相界等作用,一方面Ti5Si3、TiBw 降低基体连通性,另一方面细化组织;复合材料强度提高的同时牺牲了部分塑性。 随着Si元素的增加,复合材料强度、塑性先增加后降低。(2vol.%Ti5Si3 + 5vol.%TiBw)/TC11具有最高的抗拉强度和抗压强度,分别为 1105.8 MPa和1870.6 MPa,具有优异的综合力学性能。 (Ti5Si3+TiBw)/TC11断口形貌以韧窝为主,在断裂过程中 (Ti5Si3+TiBw) 起到减缓裂纹扩展的作用。
热处理工艺对ZTC4钛合金显微组织及性能的影响研究
冉兴, 王哲, 吕志刚, 曹建, 陈垚, 杨朝荣, 李培杰
2022, 43(1): 48-52. doi: 10.7513/j.issn.1004-7638.2022.01.008
摘要(782) HTML (288) PDF(63)
摘要:
采用金相显微镜(OM)研究了热处理制度对ZTC4钛合金显微组织的演变规律,以及显微组织对力学性能的影响关系。结果表明:ZTC4钛合金铸件由马氏体α′相组成,进行退火以及热等静压+退火热处理后,显微组织均为典型魏氏组织。ZTC4钛合金铸件退火后抗拉强度可达955 MPa,其延伸率和断面收缩率分别为8.8%和13.1%。采用热等静压+退火热处理后,抗拉强度降低至892 MPa,但其延伸率和断面收缩率升高至11.2%和21.4%。采用热等静压热处理,可破碎原始β相晶粒,形成破碎的晶界α相,提高ZTC4钛合金塑性性能。
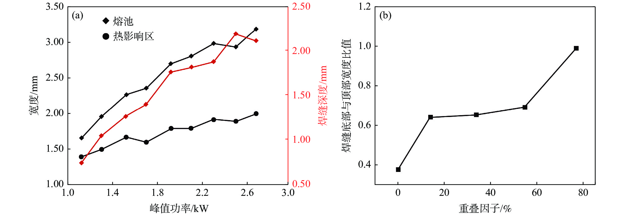
薄壁TC4钛合金激光焊缝成型与性能调控研究进展
于航, 李军兆, 张望成, 孙清洁
2022, 43(1): 53-66. doi: 10.7513/j.issn.1004-7638.2022.01.009
摘要(1161) HTML (221) PDF(86)
摘要:
TC4钛合金的焊接工艺及焊接性研究一直受到国内外的广泛关注,主要综述了目前激光焊工艺对薄壁TC4钛合金焊缝几何形状、显微组织及力学性能影响的研究进展。简要分析了激光焊接工艺对焊缝几何形状及焊缝显微组织转变的规律,并对焊缝几何形状和显微组织的转变机理进行了探讨。研究发现,激光焊焊缝几何形状的变化主要原因在于焊接热输入的变化导致焊接过程中激光焊匙孔形状及模式发生了改变;焊接热输入的增加会引起显微组织的转变,焊缝金属中针状马氏体α'相是主要的强化相,块状αm和魏氏α相是主要的韧性相;应对激光能量进行严格的控制,以便在实际生产应用中提高焊接质量。
P对V-Mo/Ti脱硝催化剂的性能影响研究
黄力, 王虎, 纵宇浩, 常峥峰, 高义博, 李金珂, 于洋
2022, 43(1): 67-73. doi: 10.7513/j.issn.1004-7638.2022.01.010
摘要(659) HTML (226) PDF(46)
摘要:
为提升工业V-Mo/Ti脱硝催化剂的活性,采用浸渍法对其进行P改性。使用XRD、N2-吸附脱附、XPS、H2-TPR、UV-vis等表征手段对催化剂的物化性质进行分析。随后,在固定床微型反应器上测试了催化剂的脱硝活性。结果显示,向V-Mo/Ti催化剂上负载P后,催化剂的晶型和孔结构无明显变化。P促进了催化剂上聚合钒的生成,导致催化剂(V3++V4+)/V5+比率、化学吸附氧含量的增加。煅烧温度的提升则会进一步促进这个增长趋势,这对催化剂脱硝活性的提升有积极的影响。此外,P的负载还会影响催化剂的酸性。当煅烧温度较低(≤500 ℃)时,V-Mo-P/Ti催化剂的酸量较高。继续升高煅烧温度,催化剂上的P2O5增加,导致其酸性下降。500 ℃煅烧制得的催化剂体现了优良的脱硝活性和抗SO2、H2O性能,具有较好的工业应用前景。
钒-氮共掺杂含钛高炉渣光催化优化研究
霍红英, 同艳维
2022, 43(1): 74-79. doi: 10.7513/j.issn.1004-7638.2022.01.011
摘要(812) HTML (269) PDF(29)
摘要:
为了实现含钛高炉渣的高附加值、合理的综合利用问题,利用其含TiO2可制备光催化剂的特点,以攀钢含钛高炉渣为原料,以硝酸铵为氮源,以偏钒酸铵为钒源,采用高温固相烧结法掺入钒源,液相法掺入氮源的分步掺杂的方式制备了钒-氮共掺杂含钛高炉渣光催化材料,在紫外光下,以亚甲基蓝为模拟污染物,选取掺杂量、煅烧温度及煅烧时间为影响因素,评价其光催化活性;并用SEM、XRD手段对催化剂进行了表征。结果表明:钒、氮共掺杂对高炉渣的物相晶型影响较小,但能够增大其比表面积,提高其光催化活性;在煅烧温度300 ℃、N-Ti摩尔掺杂比30%、偏钒酸铵-TiO2质量百分比45%、煅烧时间2 h时,制备的钒-氮共掺杂含钛高炉渣光催化剂降解率达到97.0%,比未掺杂之前提高了47.0%。
锻造设备对TA15钛合金显微组织及性能的影响研究
王哲, 何健, 张帅, 刘程程, 郭明辉
2022, 43(1): 80-84. doi: 10.7513/j.issn.1004-7638.2022.01.012
摘要(414) HTML (219) PDF(33)
摘要:
采用Deform软件对TA15钛合金在液压和锤压锻造条件下的变形进行模拟并采用两种锻造设备进行生产对比,结果表明:采用Deform软件液压模块对TA15钛合金进行锻造,等效应变沿厚度方向呈对称分布,中心位置等效应变最大,而采用锤击模块进行模拟,近下模位置等效应变较小,近上模具位置等效应变较大。TA15钛合金锻件中心位置片层α相厚度均粗于表层片层α相,采用400 kJ对击锤生产的TA15钛合金锻件,相较于100 MN油压机生产锻件,片层α相厚度较小。TA15钛合金锻件表层位置抗拉强度均高于其中心位置,采用400 kJ对击锤生产的TA15钛合金锻件抗拉强度较高。
资源环境与节能
Fe3+/GO-TiO2薄膜光催化降解饮用水中消毒副产物TCM的研究
李雨霏, 刘昱
2022, 43(1): 85-90. doi: 10.7513/j.issn.1004-7638.2022.01.013
摘要(581) HTML (270) PDF(38)
摘要:
通过溶胶凝胶法在玻璃基片上制得不同配比Fe3+掺杂量的GO-TiO2薄膜,对样品采用X-射线衍射和紫外可见光谱分析进行表征。在功率20 W,波长254 nm紫外灯下照射210 min光催化降解三氯甲烷(TCM),考察Fe3+掺杂比例、薄膜焙烧温度、薄膜层数及薄膜复用次数四方面对降解率的影响。结果表明,制得的样品均为锐钛矿型,Fe3+的掺杂使晶体粒径缩小且发生了红移现象。对TCM的降解效果随着Fe3+掺杂比例的增大而提高,400 ℃下焙烧形成的薄膜最佳。无论Fe3+掺杂与否,多次覆膜均能提高TCM降解率。各个薄膜在重复使用四次后降解能力趋于稳定。
超声波增强炼钢渣中钙的浸出用于CO2矿物封存
刘建平, 陈林, 宇文超, 刘秉国, 郭胜惠
2022, 43(1): 91-98. doi: 10.7513/j.issn.1004-7638.2022.01.014
摘要(549) HTML (214) PDF(40)
摘要:
炼钢渣是一种含有大量硅酸钙的碱性废物,可用于钢铁企业捕获CO2并合成高附加值的CaCO3。在此研究了在乙酸溶液中超声对炼钢渣中Ca的浸出率和选择性提取率的影响。试验结果表明,超声功率、液固比和乙酸溶液的初始浓度与Ca的浸出率呈正相关,但炼钢渣的粒度和温度与Ca的浸出率呈负相关。温度和乙酸溶液的初始浓度与Ca的选择性提取率呈负相关。此外,超声功率和固液比对Ca的选择性提取率影响不大,但增加超声功率和固液比会增加非钙杂质元素的浸出率。在0.5 mol/L乙酸水溶液中提取0.96 μm以下炼钢渣中的钙,反应40 min后Ca的选择性提取率高达96.7%。在浸出过程中,超声可以有效打破和去除炼钢渣颗粒表面残留的二氧化硅形成的多孔钝化层,提高Ca的浸出率。
低含钒刚玉渣直接熔炼制备硅钒合金研究
李亮
2022, 43(1): 99-104. doi: 10.7513/j.issn.1004-7638.2022.01.015
摘要(472) HTML (206) PDF(37)
摘要:
刚玉渣是采用铝热法冶炼50或80钒铁过程中产生的固体废渣,为了提高含钒刚玉渣的利用价值,试验以刚玉渣、硅铁、石灰石、碳化钙和碳酸钠为主要原料,采用电炉熔炼制备硅钒合金。选择石灰石作为造渣剂,研究了石灰石添加量对渣的物相和钒收率的影响,结果表明:终渣中CaO含量为22%时,钒的回收率可以达到96.5%;选择硅铁作为还原剂,当配硅系数增加到105%时,钒的回收率增加到最大值96.2%;选择碳化钙作脱磷剂,CaC2添加量达3.5%时,脱磷率增加到最大值72%;采用CaO+2%Na2CO3组合进行脱硫,渣中CaO含量由16%增加到22%时,脱硫率由70%增加到86%。
高钛重矿渣混凝土破坏机理及数值模拟
王浩, 李小伟, 王军
2022, 43(1): 105-112. doi: 10.7513/j.issn.1004-7638.2022.01.016
摘要(638) HTML (261) PDF(33)
摘要:
进行了高钛重矿渣混凝土和普通混凝土配合比试验设计,分别制作了4组混凝土立方体试块和棱柱体试块并进行强度测试,通过PFC离散元软件标定了高钛重矿渣混凝土与普通混凝土试件的细观力学参数,模拟了高钛重矿渣混凝土和普通混凝土棱柱体试件受压破坏,分析了高钛重矿渣混凝土棱柱体试件破坏现象和破坏机理。研究结果表明,高钛重矿渣骨料内部的孔洞会削弱骨料的强度;高钛重矿渣骨料的粗糙表面会提高界面过渡区的粘结强度;高钛重矿渣混凝土破坏形态与普通混凝土破坏形态不一致,高钛重矿渣混凝土破坏时形成的破坏面会穿越骨料与硬化砂浆,而普通混凝土破坏时形成的破坏面会沿着界面过渡区穿越硬化砂浆。
钢铁冶金与材料
氢气协同生物质还原钒钛磁铁矿试验研究
袁艺旁, 周玉青, 洪陆阔, 李亚强, 艾立群, 刘泽华, 雷悦
2022, 43(1): 113-118. doi: 10.7513/j.issn.1004-7638.2022.01.017
摘要(618) HTML (248) PDF(53)
摘要:
针对钒钛磁铁矿所含元素较多、结构较为复杂且铁钛紧密共生等特殊的物化性质以及充分综合利用难度较大的问题,研究了高温下钒钛磁铁矿与Na2CO3反应之后其物相的变化,讨论了温度以及生物质木屑对还原产物金属化率的影响。结果表明,Na2CO3的加入可促进钒钛磁铁矿与H2反应,降低H2还原钒钛磁铁矿中铁钛氧化物的难度;H2还原钒钛磁铁矿时,升高温度和在钒钛磁铁矿中加入生物质木屑均对还原有利。在加热温度为1100 ℃时,钒钛磁铁矿金属化率可达80.22%,相同条件下加入生物质木屑可使还原产物的金属化率提升至84.47%。采用H2还原钒钛磁铁矿的同时加入生物质木屑,有望实现铁的高效富集。
激光熔丝增材制造低合金钢的微观组织及性能研究
刘旭明, 张大越, 张建, 李彬周, 赵阳, 王军生
2022, 43(1): 119-124. doi: 10.7513/j.issn.1004-7638.2022.01.018
摘要(642) HTML (242) PDF(42)
摘要:
通过清洁炼钢、热轧、拉拔工艺开发了增材制造专用的低合金钢丝,并用此钢丝进行了激光3D打印试验。打印件的力学性能分别为屈服强度857 MPa、抗拉强度930 MPa、延伸率18%,−40℃的平均低温冲击韧性达到了118 J,可以满足900 MPa级海工用增材制造的使用。通过扫描电镜、透射电镜对打印件微观组织的分析,发现微观组织为粒状贝氏体、板条状贝氏体和弥散分布的马奥岛(M-A)组织,在贝氏体基体上弥散分布的马奥岛组织可以同时提高打印件的拉伸性能和冲击性能。
RH铝脱氧后夹杂物碰撞聚合去除的数学模型
郝赳赳
2022, 43(1): 125-130. doi: 10.7513/j.issn.1004-7638.2022.01.019
摘要(422) HTML (197) PDF(41)
摘要:
在夹杂物碰撞经典聚合模型的基础上,使用了指数级增长的夹杂物分组方式,建立RH铝氧反应生成夹杂物、夹杂物碰撞聚合和夹杂物去除过程的数学模型,从而对RH冶炼过程夹杂物的质量分数及分布进行预测。得到结论如下:模拟结果与文献给出数据有很好的吻合度,模型真实可靠。夹杂物质量分数随着金属铝的加入而快速增加,循环300 s后,夹杂物的总质量分数从最开始的0升至0.065%左右,夹杂物质量分数达到最大值,继而在上浮、壁面吸附和顶渣吸附的作用下去除。经过900 s左右的钢液循环后,夹杂物的总质量分数降至0.01%左右,其整体去除率在84.6%左右,说明RH循环对夹杂物有很好的去除作用。加铝后900 s,2 μm和50.8 μm的夹杂物质量分数的最大值分别为0.00002%和0.0078%。
结晶器电磁搅拌对方坯中非金属夹杂物去除的影响研究
王勇
2022, 43(1): 131-134, 151. doi: 10.7513/j.issn.1004-7638.2022.01.020
摘要(575) HTML (251) PDF(38)
摘要:
电磁力影响金属熔体中非金属夹杂物的分布及颗粒的传输速度,根据这一原理,进行了结晶器电磁搅拌对方坯中非金属夹杂物去除影响的试验研究。采用200、250 A和300 A这3种不同的EMS电流对方坯坯料进行了夹杂物分离和去除的试验,并采集样品进行能谱分析。结果表明,当结晶器的电磁搅拌参数为300 A电流和3 Hz频率时,铸坯中的非金属夹杂物控制效果最佳,比不采用电磁搅拌减少了35%。
振动条件下金属凝固过程的研究现状与展望
杨宝, 张慧, 王明林, 赵文博, 刘斌, 刘帅
2022, 43(1): 135-144. doi: 10.7513/j.issn.1004-7638.2022.01.021
摘要(792) HTML (251) PDF(44)
摘要:
介绍了振动被引入金属凝固过程的发展历程,重点归纳了机械振动技术、振动激发形核技术、超声振动技术和脉冲磁致振荡技术运用于金属凝固过程控制的振动方式、应用领域、冶金效果及优缺点,总结了四种振动产生的方式和机理,概述了振动对金属液凝固的影响及具体形式,总结了现有振动改善凝固组织的机理和振动技术在金属凝固过程中的研究现状,最后对几种控制金属凝固的振动技术做了简要分析,并对其后续发展做了简单的展望,为以后研究振动技术在凝固过程中应用的学者提供一个参考。
高温高应变率对06Cr19Ni10奥氏体不锈钢动态力学性能的影响
张继林, 贾海深, 易湘斌, 窦建明, 唐林虎, 秦娟娟, 徐创文
2022, 43(1): 145-151. doi: 10.7513/j.issn.1004-7638.2022.01.022
摘要(1026) HTML (304) PDF(52)
摘要:
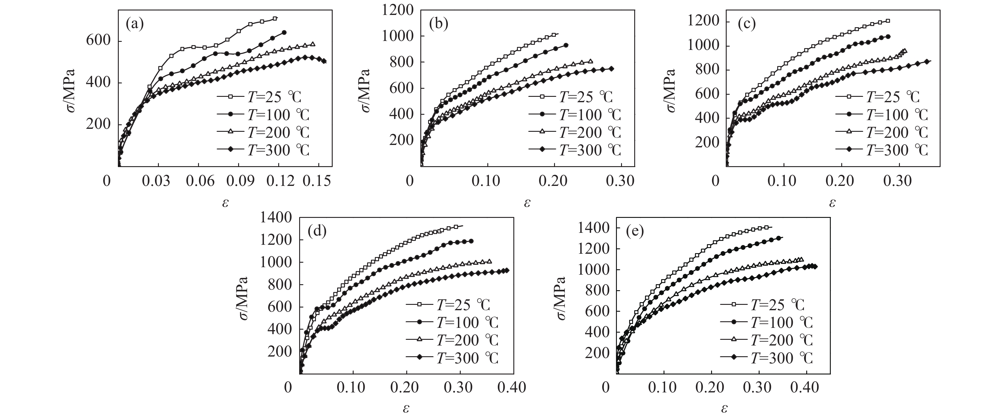
采用高温分离式霍普金森(High Temperature Split Hopkinson Pressure Bar)动态试验装置,研究了06Cr19Ni10奥氏体不锈钢在温度25~300 ℃和应变率1000 ~3000 s−1下的动态力学性能。结果表明,06Cr19Ni10奥氏体不锈钢在1000~3000 s−1范围内表现出应变率强化效应,在25~300 ℃范围内表现出温度软化效应。利用扫描电子显微镜(SEM)对应变率为3000 s−1的变形试样进行微观组织研究。结果表明,高应变率下,变形带密度大,随着变形温度的增加变形带密度降低。
铸铁表面激光熔覆1725/WC复合涂层工艺参数优化
杨海丽, 周海宽, 张凯奕
2022, 43(1): 152-157. doi: 10.7513/j.issn.1004-7638.2022.01.023
摘要(576) HTML (297) PDF(42)
摘要:
采用激光熔覆技术在铸铁表面制备了1725/WC复合涂层,利用正交试验考察了激光功率、扫描速度及送粉率等因素对熔覆层稀释率和硬度的影响。结果表明:各因素对熔覆层稀释率影响的主次顺序为激光功率>送粉率>扫描速度。对熔覆层表面显微硬度影响的主次顺序为送粉率>激光功率>扫描速度。最优工艺参数为激光功率2 000 W,扫描速度15 mm/s,送粉率10 g/min。按最优工艺制备的1725/WC复合涂层成形质量较好,WC分布较均匀,熔覆层的平均硬度(HV0.2)为483.0。
Ti处理工艺对钢中夹杂物的影响
肖爱达, 郑庆, 梁亮, 周剑丰, 谢世正, 王勃, 张波, 刘春泉
2022, 43(1): 158-164. doi: 10.7513/j.issn.1004-7638.2022.01.024
摘要(714) HTML (216) PDF(59)
摘要:
采用模拟计算和试验相结合的方式研究了加Ti处理对钢中夹杂物的影响,探明了含Ti氧化物夹杂物的形成条件及演变过程。研究结果表明:在1600 ℃温度下,当钢中[O]含量大于22×10−6时,才会生成含Ti氧化物夹杂物。同时,由于钢中[Als]的存在会抑制含Ti氧化物夹杂的生成,要求在冶炼过程中尽可能避免采用金属Al进行脱氧处理;当Ti处理前钢中[O]含量在80×10−6以内时,随着[O]含量的增加,夹杂物尺寸未见明显变化;在Ti处理结束后加入Ca粒可对夹杂物进行改性处理,促使MnS在夹杂物上形核,从而有利于促进晶内针状铁素体的形成。
SO42−浓度对含Cl溶液中304不锈钢腐蚀损伤影响
苏建文, 董小平, 高腾远, 张昭卿, 孙振铎, 苏丹丹
2022, 43(1): 165-173. doi: 10.7513/j.issn.1004-7638.2022.01.025
摘要(646) HTML (344) PDF(31)
摘要:
为了研究SO42−对含有0.7 mol/L Cl溶液中304不锈钢腐蚀损伤的影响,采用声发射技术与形貌观察技术分别测试试样腐蚀过程中产生的声信号和腐蚀前后试样表面形貌。结果表明:在Cl/SO42−溶液中,随着SO42−浓度的增加,304不锈钢腐蚀过程产生的AE信号相对能量与幅度较大值、撞击累积数曲线斜率、持续时间等参数先减小后增加;腐蚀坑与龟裂块状的腐蚀产物数量先减少后增加,由龟裂腐蚀产物引起的表面疏松程度先紧密后疏松。试样腐蚀损伤发生的时间因SO42−离子浓度不同,0、0.10、0.25和0.40 mol/L时试样损伤发生的时间段分别为腐蚀的前中期、前期、后期以及全程时间段。腐蚀损伤程度由强到弱的顺序为0 mol/L> 0.40 mol/L> 0.10 mol/L > 0.25 mol/L。综合试样腐蚀形貌与声发射参数,在本试验范围内,对于含0.7 mol/L Cl溶液中,为了减轻304不锈钢腐蚀发生,添加SO42−离子的适宜浓度为0.25 mol/L。
稀土变质剂对热冲压成型钢夹杂物形貌及尺寸分布的影响
杨丽, 孙雅平, 李永亮, 陈彤, 孙天昊
2022, 43(1): 174-179. doi: 10.7513/j.issn.1004-7638.2022.01.026
摘要(586) HTML (252) PDF(12)
摘要:
利用光学显微镜、扫描电镜等手段研究了稀土变质剂对1 500 MPa级热冲压成型用钢夹杂物形貌、尺寸和分布状态的影响,并在此基础上对钢的显微组织和常温塑性进行了对比评价。结果显示:添加稀土变质剂后,铸坯中心偏析现象消失;与未进行变质剂处理的钢相比,粗大的D类质点夹杂物显著降低,但D类夹杂的密度并未减少;产品的显微组织得到有效细化,常温塑性显著提高,对材料性能提升效果显著。
新型含钛建筑高强钢的组织与性能研究
杨明, 刘芳, 陈久权, 赵立夏
2022, 43(1): 180-184. doi: 10.7513/j.issn.1004-7638.2022.01.027
摘要(478) HTML (169) PDF(21)
摘要:
进行了不同钛含量的Fe-Si-Mn-C-Ti系建筑高强钢显微组织,以及耐腐蚀性能和耐磨损性能的测试与分析。结果表明,添加合金元素钛,有助于细化试验钢的内部组织,提高耐腐蚀性能和耐磨损性能。随钢中钛含量从0逐步增至0.15%,试验钢的内部组织先细化后粗化,腐蚀电位先正移后负移,磨损体积先减小后增大,耐腐蚀性能和耐磨损性能先提高后下降。与不添加钛相比,添加0.06%钛含量时,试验钢的腐蚀电位正移91 mV,磨损体积减小9×10−3 mm3,耐腐蚀性能显著提高。不添加钛时,Fe-Si-Mn-C试验钢中由基体Fe和M3C碳化物组成;当合金元素钛含量0.02%~0.06%时,试验钢由基体Fe、TiC和M3C碳化物组成;当合金元素钛含量0.15%时,试验钢由基体Fe、TiC、TiN和M3C碳化物组成。
HC冷连轧机弯辊力饱和分析及调控策略
周一林
2022, 43(1): 185-189, 196. doi: 10.7513/j.issn.1004-7638.2022.01.028
摘要(489) HTML (216) PDF(24)
摘要:
四机架六辊HC冷连轧机组末机架在采用光辊轧制时,工作辊弯辊力常处于饱和状态,致使板形调控能力不足,板形缺陷很难消除或进一步降低,影响了板形质量的持续提升。为此,收集并统计了部分热轧卷的板凸度及其分布,结合前三机架弯辊力的分布特点,分析了热轧来料凸度与冷轧末机架承载辊缝形状的匹配关系及对弯辊力的影响。同时分析了利用中间辊负窜来降低弯辊力的在线调整方法对带钢表面质量的影响。在此基础上,提出了采用多段式凸度辊辊型来解决末机架弯辊力饱和的调控策略。在分析辊型参数对板形影响的基础上,通过多次凸度工作辊轧制试验,获得了较优的六次多项式辊型参数。辊型试验结果也表明,在末机架采用五段式正凸度工作辊可增大弯辊的调节能力,减小中间辊负窜量,能有效地解决末机架弯辊力饱和的问题,可进一步提升带钢板形质量。
SAE1144易切削钢八角棒表面裂纹缺陷分析
王高峰, 钟亮美, 周楠, 张志明, 付建勋
2022, 43(1): 190-196. doi: 10.7513/j.issn.1004-7638.2022.01.029
摘要(633) HTML (387) PDF(39)
摘要:
采用光学显微镜、小样电解、扫描电镜及能谱、ImageJ软件等分析检测方法,对SAE1144易切削钢由18 mm圆棒冷拉拔至15 mm八角棒过程中产生表面裂纹的区域进行研究。结果表明:八角棒裂纹扩展区有大颗粒状MnS夹杂、细长条形团簇状MnS夹杂以及大块的FeO夹杂,开裂面有大量密集的细长条状MnS;而大块的FeO夹杂是裂纹产生的微裂纹源,大颗粒状MnS夹杂、细长条形团簇状MnS夹杂是裂纹扩展的主要原因。