中文核心期刊

SCOPUS 数据库收录期刊

中国科技核心期刊

美国《化学文摘》来源期刊

中国优秀冶金期刊

美国EBSCO数据库收录期刊

RCCSE中国核心学术期刊

美国《剑桥科学文摘》来源期刊

中国应用核心期刊(CACJ)

美国《乌利希期刊指南》收录期刊

中国学术期刊综合评价统计源刊

俄罗斯《文摘杂志》来源期刊

优秀中文科技期刊(西牛计划)

日本《科学技术文献数据库》(JST)收录刊

留言板

尊敬的读者、作者、审稿人, 关于本刊的投稿、审稿、编辑和出版的任何问题, 您可以本页添加留言。我们将尽快给您答复。谢谢您的支持!

姓名
邮箱
手机号码
标题
留言内容
验证码

氢气协同生物质还原钒钛磁铁矿试验研究

袁艺旁 周玉青 洪陆阔 李亚强 艾立群 刘泽华 雷悦

袁艺旁, 周玉青, 洪陆阔, 李亚强, 艾立群, 刘泽华, 雷悦. 氢气协同生物质还原钒钛磁铁矿试验研究[J]. 钢铁钒钛, 2022, 43(1): 113-118. doi: 10.7513/j.issn.1004-7638.2022.01.017
引用本文: 袁艺旁, 周玉青, 洪陆阔, 李亚强, 艾立群, 刘泽华, 雷悦. 氢气协同生物质还原钒钛磁铁矿试验研究[J]. 钢铁钒钛, 2022, 43(1): 113-118. doi: 10.7513/j.issn.1004-7638.2022.01.017
Yuan Yipang, Zhou Yuqing, Hong Lukuo, Li Yaqiang, Ai Liqun, Liu Zehua, Lei Yue. Experimental study on reduction of vanadium-titanium magnetite with hydrogen and biomass[J]. IRON STEEL VANADIUM TITANIUM, 2022, 43(1): 113-118. doi: 10.7513/j.issn.1004-7638.2022.01.017
Citation: Yuan Yipang, Zhou Yuqing, Hong Lukuo, Li Yaqiang, Ai Liqun, Liu Zehua, Lei Yue. Experimental study on reduction of vanadium-titanium magnetite with hydrogen and biomass[J]. IRON STEEL VANADIUM TITANIUM, 2022, 43(1): 113-118. doi: 10.7513/j.issn.1004-7638.2022.01.017

氢气协同生物质还原钒钛磁铁矿试验研究

doi: 10.7513/j.issn.1004-7638.2022.01.017
基金项目: 河北省自然科学基金资助项目(E2019209160,E2021209101);河北省教育厅科技基础研究资助项目(JQN2020029);河北省研究生创新资助项目(CXZZBS2020131);博士科研启动基金项目(BS201846);创新创业项目(X2021215)。
详细信息
    作者简介:

    袁艺旁(1997—),男,河北辛集人,硕士生,研究方向:炼钢新技术与资源综合利用,E-mail:373525633@qq.com

    通讯作者:

    洪陆阔,男(1986—),博士,讲师,研究方向:炼钢新技术与资源综合利用,E-mail:honglk@ncst.edu.cn

  • 中图分类号: TF55

Experimental study on reduction of vanadium-titanium magnetite with hydrogen and biomass

  • 摘要: 针对钒钛磁铁矿所含元素较多、结构较为复杂且铁钛紧密共生等特殊的物化性质以及充分综合利用难度较大的问题,研究了高温下钒钛磁铁矿与Na2CO3反应之后其物相的变化,讨论了温度以及生物质木屑对还原产物金属化率的影响。结果表明,Na2CO3的加入可促进钒钛磁铁矿与H2反应,降低H2还原钒钛磁铁矿中铁钛氧化物的难度;H2还原钒钛磁铁矿时,升高温度和在钒钛磁铁矿中加入生物质木屑均对还原有利。在加热温度为1100 ℃时,钒钛磁铁矿金属化率可达80.22%,相同条件下加入生物质木屑可使还原产物的金属化率提升至84.47%。采用H2还原钒钛磁铁矿的同时加入生物质木屑,有望实现铁的高效富集。
  • 图  1  钒钛磁铁矿XRD图谱

    Figure  1.  XRD pattern of vanadium-titanium magnetite

    图  2  高温卧式管式炉

    Figure  2.  High temperature horizontal tube furnace

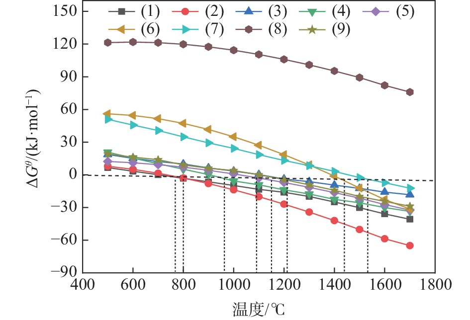
    图  3  钛铁氧化物还原反应吉布斯自由能随温度变化关系

    Figure  3.  The relationship between Gibbs free energy and temperature during reduction reaction of ferro-titanium oxide

    图  4  不同温度下加入碳酸钠后钒钛磁铁矿XRD图谱

    Figure  4.  XRD patterns of resulted vanadium-titanium magnetite reacted with sodium carbonate at different temperatures

    图  5  不同温度下H2还原钒钛磁铁矿XRD图谱

    Figure  5.  XRD patterns of resulted vanadium-titanium magnetite reduced by H2 at different temperatures

    图  6  不同温度下H2+生物质木屑和钒钛磁铁矿反应后XRD图谱

    Figure  6.  XRD patterns of resulted vanadium-titanium magnetite reacted with H2+ biomass sawdust at different temperatures

  • [1] Ou Yang, Sun Yongsheng, Yu Jianwen, et al. The research status and development trend of processing and utilization of vanadium-titanium magnetite[J]. Journal of Iron and Steel Research, 2021,33(4):267−278. (欧杨, 孙永升, 余建文, 等. 钒钛磁铁矿加工利用研究现状及发展趋势[J]. 钢铁研究学报, 2021,33(4):267−278.
    [2] Zhu Yuexian, Zhang Xian, Xu Yi, et al. Patent analysis of key technologies for comprehensive utilization of vanadium-titanium magnetite[J]. World Science and Technology Research and Development, 2017,39(4):325−331. (朱月仙, 张娴, 许轶, 等. 钒钛磁铁矿综合利用关键技术专利分析[J]. 世界科技研究与发展, 2017,39(4):325−331.
    [3] Smirnov L A, Tret'yakov M A, Gladyshev V I. Processing vanadium-bearing titanomagnetites at the nizhniy tagil metallurgical combine[J]. Metallurgist, 2001,45(5-6):232−234.
    [4] Ju Dianchun, Wu Zhaoyong, Zhang Rongliang, et al. Research status and prospects of titanium extraction technology from blast furnace slag containing titanium[J]. Modern Engineering, 2019,39(S1):104−107. (居殿春, 武兆勇, 张荣良, 等. 含钛高炉渣提钛技术研究现状及展望[J]. 现代化工, 2019,39(S1):104−107.
    [5] Wang Yijie, Xue Yazhou, Pan Mao, et al. Mineralogy characteristics of directly reduced titanium slag in Panzhihua[J]. Journal of Central South University (Natural Science Edition), 2019,50(3):497−505. (王伊杰, 薛亚洲, 潘懋, 等. 攀枝花直接还原钛渣的矿物学特征[J]. 中南大学学报(自然科学版), 2019,50(3):497−505. doi: 10.11817/j.issn.1672-7207.2019.03.001
    [6] Hao Jianzhang, Zeng Guanwu. One-step separation test of iron, vanadium and titanium from vanadium-titanium magnetite[J]. Comprehensive Utilization of Mineral Resources, 2020,(6):73−78. (郝建璋, 曾冠武. 钒钛磁铁矿铁、钒、钛一步分离试验[J]. 矿产综合利用, 2020,(6):73−78. doi: 10.3969/j.issn.1000-6532.2020.06.013
    [7] Hou Yaobin, Hong Lukuo, Sun Caijiao, et al. Research on low temperature smelting process of vanadium-titanium magnetite alkali fusion[J]. Iron Steel Vanadium Titanium, 2020,41(2):6−13. (侯耀斌, 洪陆阔, 孙彩娇, 等. 钒钛磁铁矿碱熔低温冶炼工艺研究[J]. 钢铁钒钛, 2020,41(2):6−13.
    [8] Guo Ke, Zhang Zhiqiang, Wang Shaoyan, et al. Study on separation technology of ferro-titanium in vanadium-titanium magnetite concentrate[J]. Metal Mine, 2019,(8):113−119. (郭客, 张志强, 王绍艳, 等. 钒钛磁铁精矿中钛铁分离技术研究[J]. 金属矿山, 2019,(8):113−119.
    [9] Wang Xufeng, Hong Lukuo, Sun Caijiao. Study on the effect of NaOH on the direct reduction of vanadium-titanium magnetite concentrate[J]. Iron Steel Vanadium Titanium, 2020,41(2):89−93. (王旭锋, 洪陆阔, 孙彩娇. NaOH对钒钛磁铁精矿直接还原的影响研究[J]. 钢铁钒钛, 2020,41(2):89−93.
    [10] Zhang Xiangguo, Jia Lijun, Wang Bing. Comparative analysis of smelting process of vanadium-titanium magnetite[J]. Shandong Metallurgy, 2019,41(1):39−42. (张向国, 贾利军, 王冰. 钒钛磁铁矿冶炼工艺比较分析[J]. 山东冶金, 2019,41(1):39−42.
    [11] Wu Shichao, Sun Tichang, Li Xiaohui, et al. Research progress in direct reduction technology of vanadium-titanium magnetite[J]. China Nonferrous Metallurgy, 2018,47(4):26−30. (吴世超, 孙体昌, 李小辉, 等. 钒钛磁铁矿直接还原技术研究进展[J]. 中国有色冶金, 2018,47(4):26−30. doi: 10.3969/j.issn.1672-6103.2018.04.008
    [12] 史丽羽. 碱熔盐体系中钒钛磁铁矿还原过程物相转变规律[D]. 北京: 中国科学院大学(中国科学院过程工程研究所), 2018.

    Shi Liyu. Phase transition law of vanadium-titanium magnetite reduction process in alkali molten salt system[D]. Beijing: University of Chinese Academy of Sciences (Institute of Process Engineering, Chinese Academy of Sciences), 2018.
    [13] Zhang Jun, Dai Xiaotian, Yan Dingliu, et al. Carbothermal sodium reduction process of vanadium-titanium magnetite[J]. Iron and Steel, 2016,51(10):6−9. (张俊, 戴晓天, 严定鎏, 等. 钒钛磁铁矿碳热钠化还原工艺[J]. 钢铁, 2016,51(10):6−9.
    [14] Liu Xianghai. Experimental study on reduction of Panzhihua low-silicon titanium concentrate[J]. Iron Steel Vanadium Titanium, 2020,41(3):41−46. (刘祥海. 攀枝花低硅钛精矿还原试验研究[J]. 钢铁钒钛, 2020,41(3):41−46. doi: 10.7513/j.issn.1004-7638.2020.03.006
    [15] Zheng Peng. Study on the direct reduction characteristics of vanadium-titanium magnetite[J]. Nonferrous Mining and Metallurgy, 2018,34(2):35−38. (郑鹏. 钒钛磁铁矿直接还原特性的研究[J]. 有色矿冶, 2018,34(2):35−38. doi: 10.3969/j.issn.1007-967X.2018.02.009
    [16] Huang Zhucheng, Jiang Xiong, Yi Lingyun, et al. The effect of biomass on the reduction behavior of vanadium-titanium magnetite and process enhancement[J]. Iron and Steel, 2021,56(1):12−20. (黄柱成, 姜雄, 易凌云, 等. 生物质对钒钛磁铁矿还原行为影响及过程强化[J]. 钢铁, 2021,56(1):12−20.
    [17] 肖玮. 基于富氢气体直接还原钛铁矿制备富钛料及钛合金的新工艺研究[D].上海: 上海大学,2014: 62-67.

    Xiao Wei. Technology research of the preparation of titanium-rich material and extraction of Ti-Fe alloy based on hydrogen-rich reduction of ilmenite[D].Shanghai: Shanghai University, 2014: 62-67.
  • 加载中
图(6)
计量
  • 文章访问数:  621
  • HTML全文浏览量:  250
  • PDF下载量:  53
  • 被引次数: 0
出版历程
  • 收稿日期:  2021-11-11
  • 网络出版日期:  2022-02-28
  • 刊出日期:  2022-02-28

目录

    /

    返回文章
    返回