中文核心期刊

SCOPUS 数据库收录期刊

中国科技核心期刊

美国《化学文摘》来源期刊

中国优秀冶金期刊

美国EBSCO数据库收录期刊

RCCSE中国核心学术期刊

美国《剑桥科学文摘》来源期刊

中国应用核心期刊(CACJ)

美国《乌利希期刊指南》收录期刊

中国学术期刊综合评价统计源刊

俄罗斯《文摘杂志》来源期刊

优秀中文科技期刊(西牛计划)

日本《科学技术文献数据库》(JST)收录刊

留言板

尊敬的读者、作者、审稿人, 关于本刊的投稿、审稿、编辑和出版的任何问题, 您可以本页添加留言。我们将尽快给您答复。谢谢您的支持!

姓名
邮箱
手机号码
标题
留言内容
验证码

P对V-Mo/Ti脱硝催化剂的性能影响研究

黄力 王虎 纵宇浩 常峥峰 高义博 李金珂 于洋

黄力, 王虎, 纵宇浩, 常峥峰, 高义博, 李金珂, 于洋. P对V-Mo/Ti脱硝催化剂的性能影响研究[J]. 钢铁钒钛, 2022, 43(1): 67-73. doi: 10.7513/j.issn.1004-7638.2022.01.010
引用本文: 黄力, 王虎, 纵宇浩, 常峥峰, 高义博, 李金珂, 于洋. P对V-Mo/Ti脱硝催化剂的性能影响研究[J]. 钢铁钒钛, 2022, 43(1): 67-73. doi: 10.7513/j.issn.1004-7638.2022.01.010
Huang Li, Wang Hu, Zong Yuhao, Chang Zhengfeng, Gao Yibo, Li Jinke, Yu Yang. Effect of P on catalytic performances of V-Mo/Ti denitration catalyst[J]. IRON STEEL VANADIUM TITANIUM, 2022, 43(1): 67-73. doi: 10.7513/j.issn.1004-7638.2022.01.010
Citation: Huang Li, Wang Hu, Zong Yuhao, Chang Zhengfeng, Gao Yibo, Li Jinke, Yu Yang. Effect of P on catalytic performances of V-Mo/Ti denitration catalyst[J]. IRON STEEL VANADIUM TITANIUM, 2022, 43(1): 67-73. doi: 10.7513/j.issn.1004-7638.2022.01.010

P对V-Mo/Ti脱硝催化剂的性能影响研究

doi: 10.7513/j.issn.1004-7638.2022.01.010
基金项目: 江苏省自然科学基金(BK20210001);江苏省博士后科研资助计划(2018K076C);中国博士后科学基金(2019M651632)。
详细信息
    作者简介:

    黄力(1986—),男,江苏南京人,硕士,高级工程师,长期从事脱硝催化剂方面的研究工作,E-mail:stef0628@126.com

  • 中图分类号: TF823,TQ426

Effect of P on catalytic performances of V-Mo/Ti denitration catalyst

  • 摘要: 为提升工业V-Mo/Ti脱硝催化剂的活性,采用浸渍法对其进行P改性。使用XRD、N2-吸附脱附、XPS、H2-TPR、UV-vis等表征手段对催化剂的物化性质进行分析。随后,在固定床微型反应器上测试了催化剂的脱硝活性。结果显示,向V-Mo/Ti催化剂上负载P后,催化剂的晶型和孔结构无明显变化。P促进了催化剂上聚合钒的生成,导致催化剂(V3++V4+)/V5+比率、化学吸附氧含量的增加。煅烧温度的提升则会进一步促进这个增长趋势,这对催化剂脱硝活性的提升有积极的影响。此外,P的负载还会影响催化剂的酸性。当煅烧温度较低(≤500 ℃)时,V-Mo-P/Ti催化剂的酸量较高。继续升高煅烧温度,催化剂上的P2O5增加,导致其酸性下降。500 ℃煅烧制得的催化剂体现了优良的脱硝活性和抗SO2、H2O性能,具有较好的工业应用前景。
  • 图  1  不同催化剂的XRD图

    Figure  1.  XRD patterns of different catalysts

    图  2  不同催化剂的V 2p (a)、Mo 3d (b)、O 1 s (c)和P 2p (d) XPS谱图

    Figure  2.  XPS of V 2p (a), Mo 3d (b), O 1s (c) and P 2p (d) of different catalysts

    图  3  不同催化剂的H2-TPR谱

    Figure  3.  H2-TPR spectra of different catalysts

    图  4  不同催化剂的UV-vis谱

    Figure  4.  UV-vis spectra of different catalysts

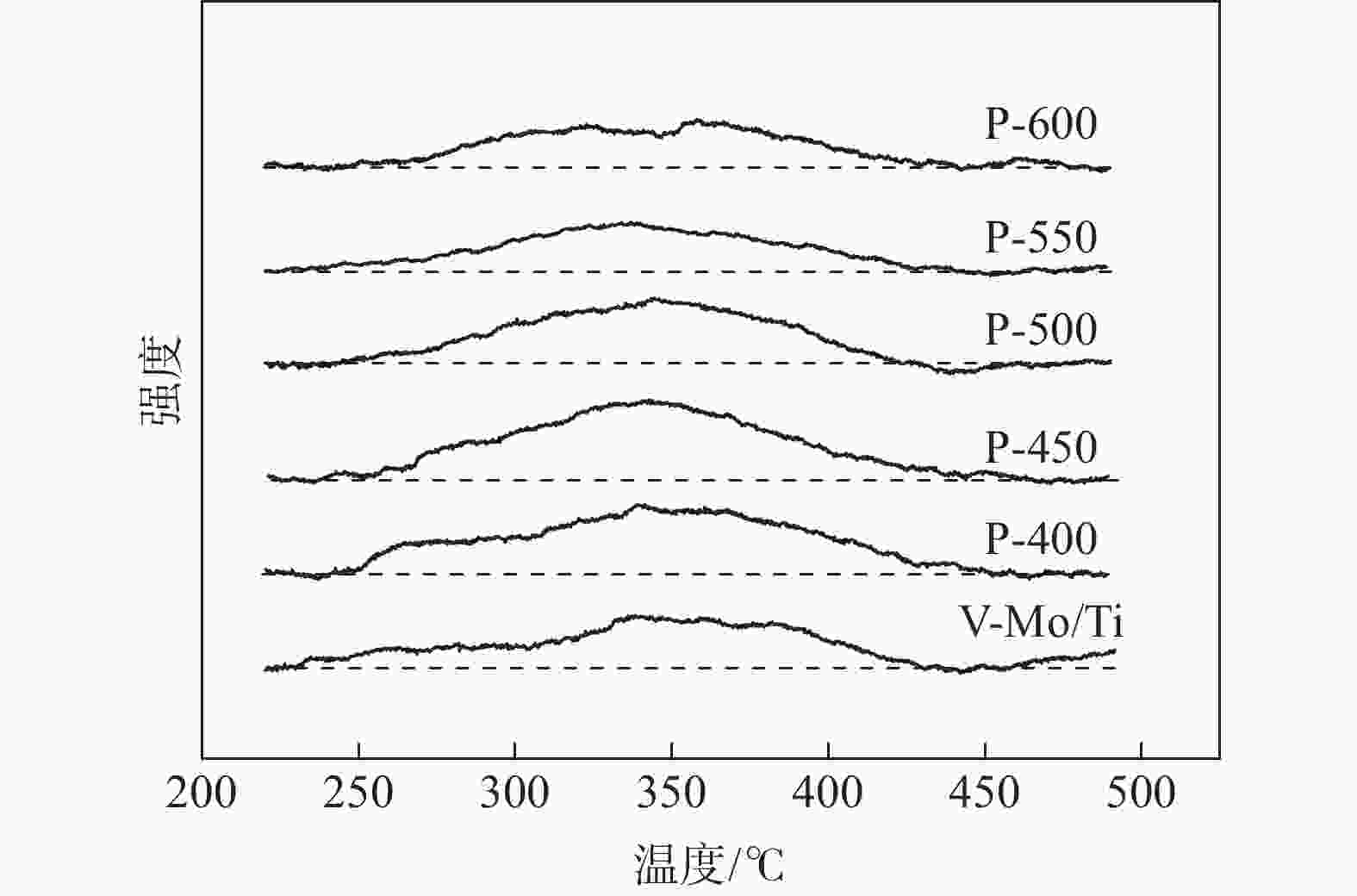
    图  5  不同催化剂的NH3-TPD谱

    Figure  5.  NH3-TPD spectra of different catalysts

    图  6  不同煅烧温度V-Mo/Ti催化剂的脱硝效率(a)、不同煅烧温度V-Mo-P/Ti催化剂的脱硝效率(b)和N2O生成量(c)

    Figure  6.  Denitration efficiency of V-Mo/Ti catalysts calcinated at different temperatures (a), denitration efficiency (b) and N2O concentration (c) of V-Mo-P/Ti catalysts calcinated at different temperatures

    图  7  P-500催化剂的抗SO2、H2O性能

    Figure  7.  Resistance of SO2 and H2O of P-500 catalyst

    图  8  反应前后P-500催化剂的红外光谱

    Figure  8.  FT-IR spectra of P-500 catalyst before and after reaction

    表  1  不同催化剂的孔结构分析数据

    Table  1.   Analysis results of pore structure of different catalysts

    催化剂比表面积/(m2·g−1)孔容/(cm3·g−1)平均孔径/nm
    V-Mo/Ti84.80.3415.2
    P-40082.60.3215.4
    P-45081.40.3115.6
    P-50081.10.3015.7
    P-55080.70.2816.1
    P-60080.10.2516.5
    下载: 导出CSV

    表  2  不同催化剂的XPS分析数据

    Table  2.   XPS analysis data of different catalysts

    催化剂(V3++V4+)/V5+Mo6+/(Mo5++Mo6+)Oα/(Oα+ Oβ)PO3/(P2O5+PO3)
    V-Mo/Ti0.820.930.14
    P-4000.860.920.250.40
    P-4500.910.910.280.39
    P-5000.990.900.310.38
    P-5501.020.890.330.33
    P-6001.040.880.350.31
    下载: 导出CSV
  • [1] Shen Yuesong, Zhu Shemin, Shen Xiaodong. Research process on catalytic materials for selective catalytic reduction of nitrogen oxides[J]. Materials China, 2019,38(12):1125−1134. (沈岳松, 祝社民, 沈晓冬. 选择性催化还原脱硝催化材料研究进展[J]. 中国材料进展, 2019,38(12):1125−1134.
    [2] Tang Changjin, Sun Jingfang, Dong Lin. Recent process on elimination of NOx from flue gas via SCR technology under ultra-low temperature(<150 ℃)[J]. CIESC Journal, 2020,71(11):4873−4884. (汤常金, 孙敬方, 董林. 超低温(<150 ℃)SCR脱硝技术研究进展[J]. 化工学报, 2020,71(11):4873−4884.
    [3] Chen Huanzhe, He Haixia, Wan Yameng, et al. Research process of coal-fired flue gas denitrification technology[J]. Applied Chemical Industry, 2019,48(5):1146−1155. (陈欢哲, 何海霞, 万亚萌, 等. 燃煤烟气脱硝技术研究进展[J]. 应用化工, 2019,48(5):1146−1155. doi: 10.3969/j.issn.1671-3206.2019.05.037
    [4] Huang Li, Zong Yuhao, Wang Hu, et al. Effect of neodymium addition on the plate-type V2O5-MoO3/TiO2 catalyst for selective catalytic reduction of NO[J]. Rare Metal Materials and Engineering, 2021,50(2):475−482.
    [5] Chao Jingdi, He Hong, Song Liyun, et al. Promotional effect of Pr-doping on the NH3-SCR activity over the V2O5-MoO3/TiO2 catalyst[J]. Chemical Journal of Chinese Universities, 2015,36(3):523−530. (晁晶迪, 何洪, 宋丽云, 等. Pr掺杂对V2O5-MoO3/TiO2催化剂NH3-SCR反应活性的影响[J]. 高等学校化学学报, 2015,36(3):523−530.
    [6] 黄力, 王虎, 纵宇浩, 等. Y改性对V2O5-MoO3/TiO2催化剂脱硝性能的影响[J]. 现代化工, 2020, 40(3): 162-166.

    Huang Li, Wang Hu, Zong Yuhao, et al, Influence of yttrium on denitrification performance of V2O5-MoO3/TiO2 catalyst[J]. Modern Chemical Industry, 2020, 40(3): 162-166.
    [7] Wu Yanxia, Liang Hailong, Chen Xin, et al. Effect of ZrO2 doping on denitrification performance of V2O5-MoO3/TiO2 catalysts[J]. Environmental Engineering, 2020,38(5):107−119. (吴彦霞, 梁海龙, 陈鑫, 等. ZrO2掺杂对V2O5-MoO3/TiO2催化剂脱硝性能的影响[J]. 环境工程, 2020,38(5):107−119.
    [8] Wang Jun, Wu Xianghao, Zhou Feixiang, et al. Modification of V-W/TiO2 catalyst for low temperature NH3-SCR on low power load of power plant[J]. Chinese Journal of Environmental Engineering, 2018,12(8):2244−2250. (汪俊, 吴相浩, 周飞翔, 等. 电厂低负荷下V-W/TiO2基NH3-SCR催化剂的低温改性[J]. 环境工程学报, 2018,12(8):2244−2250. doi: 10.12030/j.cjee.201712080
    [9] Yan Tao, Liu Qi, Wang Shihao, et al. Promoter rather than inhibitor: Phosphorus incorporation accelerates the activity of V2O5-WO3/TiO2 catalyst for selective catalytic reduction of NOx by NH3[J]. ACS Catalysis, 2020,10(4):2747−2753. doi: 10.1021/acscatal.9b05549
    [10] Guo Xiaoyu, Calvin Bartholomew, Willian Hecker, et al. Effects of sulfate species on V2O5/TiO2 SCR catalysts in coal and biomass-fired systems[J]. Applied Catalysis B:Environmental, 2009,92(1−2):30−40. doi: 10.1016/j.apcatb.2009.07.025
    [11] Broclawik E, Góra A, Najbar M. The role of tungsten in formation of active sites for no SCR on the V-W-O catalyst surface-Quantum chemical modeling(DFT)[J]. Journal of Molecular Catalysis A:Chemical, 2001,166(1):31−38. doi: 10.1016/S1381-1169(00)00462-3
    [12] Al-Kandari H, Al-Kharafi F, Al-Awadia N, et al. The catalytic active sites in partially reduced MoO3 for the hydroisomerization of 1-pentene and n-pentane[J]. Applied Catalysis A:General, 2005,295(1):1−10. doi: 10.1016/j.apcata.2005.07.023
    [13] Wang Penglu, Gao Shan, Wang Haiqiang, et al. Enhanced dual resistance to alkali metal and phosphate poisoning: Mo modifying vanadium-titanate nanotubes SCR catalyst[J]. Applied Catalysis A:General, 2018,561(1):68−77.
    [14] Yao Jia, Liu Shaoguang, Lin Wensong, et al. Study on performance of Ce-Cr-Ni/TiO2 catalysts in CO-SCR[J]. Modern Chemical Industry, 2019,39(5):123−127. (姚佳, 刘少光, 林文松, 等. Ce-Cr-Ni/TiO2催化剂的CO-SCR性能研究[J]. 现代化工, 2019,39(5):123−127.
    [15] Shawn D Lin, Andreea C Gluhoi, Bernard E Nieuwenhuys. Ammonia oxidation over Au/MOx/γ-Al2O3-activity, selectivity and FTIR measurements[J]. Catalysis Today, 2004,90(1−2):3−14. doi: 10.1016/j.cattod.2004.04.047
    [16] Huang Li, Zong Yuhao, Wang Hu, et al. Influence of calcination temperature on the plate-type V2O5-MoO3/TiO2 catalyst for selective catalytic reduction of NO[J]. Reaction Kinetics, Mechanisms and Catalysis, 2018,124(2):603−617. doi: 10.1007/s11144-018-1378-0
    [17] Li Mingyuan, Guo Ruitang, Hu Changxing, et al. The enhanced resistance to K deactivation of Ce/TiO2 catalyst for NH3-SCR reaction by the modification with P[J]. Applied Surface Science, 2018,436(1):814−822.
    [18] Dong Guojun, Zhang Yufeng, Zhao Yuan, et al. Effect of the pH value of precursor solution on the catalytic performance of V2O5-WO3/TiO2 in the low temperature NH3-SCR of NOx[J]. Journal of Fuel Chemistry and Technology, 2014,42(12):1455−1463. doi: 10.1016/S1872-5813(15)60003-2
    [19] Tang Fushun, Xu Bolian, Shi Haihua, et al. The poisoning effect of Na+ and Ca2+ ions doped on the V2O5/TiO2 catalysts for selective catalytic reduction of NO by NH3[J]. Applied Catalysis B:Environmental, 2010,94(1-2):71−76. doi: 10.1016/j.apcatb.2009.10.022
    [20] Ki Bok Nam, Jong Hyeon Yeo, Sung Chang Hong. Study of the phosphorus deactivation effect and resistance of vanadium-based catalysts[J]. Industrial & Engineering Chemistry Research, 2019,58(41):18930−18941.
    [21] Li Xiang, Li Junhua, He Xv, et al. Poisoning mechanism and regeneration process of the denitration catalyst[J]. Chemical Industry and Engineering Process, 2015,34(12):4129−4138. (李想, 李俊华, 何煦, 等. 烟气脱硝催化剂中毒机制与再生技术[J]. 化工进展, 2015,34(12):4129−4138.
    [22] Castellino F, Rasmuss S B, Jense A D, et al. Deactivation of vanadia-based commercial SCR catalysts by polyphosphoric acids[J]. Applied Catalysis B:Environmental, 2008,83(1-2):110−122. doi: 10.1016/j.apcatb.2008.02.008
    [23] Gregory T Went, Li-Jen Leu, Richard R Rosin, et al. The effects of structure on the catalytic activity and selectivity of V2O5/TiO2 for the reduction of NO by NH3[J]. Journal of Catalysis, 1992,134(2):492−505. doi: 10.1016/0021-9517(92)90337-H
    [24] Dong Guojun, Bai Yang, Zhang Yufeng, et al. Effect of the V4+(3+)/V5+ ratio on the denitration activity for V2O5-WO3/TiO2 catalysts[J]. New Journal of Chemistry, 2015,5(39):3588−3596.
    [25] Juan Antonio Martín, Malcolm Yates, Pedro Ávila, et al. Nitrous oxide formation in low temperature selective catalytic reduction of nitrogen oxides with V2O5/TiO2 catalysts[J]. Applied Catalysis B:Environmental, 2007,70(1):330−334.
    [26] Yang Jie, Li Xia, Du Hongwei, et al. Preparation and characterization of low-temperature La/Ce doped manganese-based denitration catalyst[J]. Rare Metals and Cemented Carbides, 2021,49(3):41−45. (杨洁, 李侠, 杜红伟, 等. 低温La/Ce掺杂锰基脱硝催化剂的制备及表征[J]. 稀有金属与硬质合金, 2021,49(3):41−45.
    [27] Jia Yong, Zhou Jun, Bai Jiachuan, et al. Hybrid regeneration of selective catalytic reduction denitration catalyst poisoned by arsenic and potassium[J]. Journal of the Chinese Ceramic Society, 2016,44(7):1025−1032. (贾勇, 周军, 柏家串, 等. 砷、钾复合中毒选择性催化还原脱硝催化剂的再生[J]. 硅酸盐学报, 2016,44(7):1025−1032.
    [28] Huang Zhanggen, Zhu Zhenping, Liu Zhenyu, et al. Formation and reaction of ammonium sulfate salts on V2O5/AC catalyst during selective catalytic reduction of nitric oxide by ammonia at low temperatures[J]. Journal of Catalysis, 2003,214(2):213−219. doi: 10.1016/S0021-9517(02)00157-4
  • 加载中
图(8) / 表(2)
计量
  • 文章访问数:  677
  • HTML全文浏览量:  234
  • PDF下载量:  46
  • 被引次数: 0
出版历程
  • 收稿日期:  2021-11-14
  • 网络出版日期:  2022-02-28
  • 刊出日期:  2022-02-28

目录

    /

    返回文章
    返回