中文核心期刊

SCOPUS 数据库收录期刊

中国科技核心期刊

美国《化学文摘》来源期刊

中国优秀冶金期刊

美国EBSCO数据库收录期刊

RCCSE中国核心学术期刊

美国《剑桥科学文摘》来源期刊

中国应用核心期刊(CACJ)

美国《乌利希期刊指南》收录期刊

中国学术期刊综合评价统计源刊

俄罗斯《文摘杂志》来源期刊

优秀中文科技期刊(西牛计划)

日本《科学技术文献数据库》(JST)收录刊

留言板

尊敬的读者、作者、审稿人, 关于本刊的投稿、审稿、编辑和出版的任何问题, 您可以本页添加留言。我们将尽快给您答复。谢谢您的支持!

姓名
邮箱
手机号码
标题
留言内容
验证码

钛石膏-钛矿渣低熟料水泥水化反应研究

蒋勇 苏姚彬 高瑞 吴茂杰 蒋贇 焦晓飞

蒋勇, 苏姚彬, 高瑞, 吴茂杰, 蒋贇, 焦晓飞. 钛石膏-钛矿渣低熟料水泥水化反应研究[J]. 钢铁钒钛, 2023, 44(4): 103-111. doi: 10.7513/j.issn.1004-7638.2023.04.016
引用本文: 蒋勇, 苏姚彬, 高瑞, 吴茂杰, 蒋贇, 焦晓飞. 钛石膏-钛矿渣低熟料水泥水化反应研究[J]. 钢铁钒钛, 2023, 44(4): 103-111. doi: 10.7513/j.issn.1004-7638.2023.04.016
Jiang Yong, Su Yaobin, Gao Rui, Wu Maojie, Jiang Yun, Jiao Xiaofei. Study on hydration reaction of titanium gypsum–titanium slag low clinker cement[J]. IRON STEEL VANADIUM TITANIUM, 2023, 44(4): 103-111. doi: 10.7513/j.issn.1004-7638.2023.04.016
Citation: Jiang Yong, Su Yaobin, Gao Rui, Wu Maojie, Jiang Yun, Jiao Xiaofei. Study on hydration reaction of titanium gypsum–titanium slag low clinker cement[J]. IRON STEEL VANADIUM TITANIUM, 2023, 44(4): 103-111. doi: 10.7513/j.issn.1004-7638.2023.04.016

钛石膏-钛矿渣低熟料水泥水化反应研究

doi: 10.7513/j.issn.1004-7638.2023.04.016
基金项目: 四川省功能复合材料产教融合示范基地建设项目;绵阳职业技术学院自然科学重点项目(MZ22ZD02、MZ22ZD01);山西省高校科技创新项目(2020L0765)。
详细信息
    作者简介:

    蒋勇,男,1988年出生,四川南充人,博士,讲师,主要从事工业固废处理和化学外加剂研发,E-mail: jiangyong7586@163.com

  • 中图分类号: X757

Study on hydration reaction of titanium gypsum–titanium slag low clinker cement

  • 摘要: 为了探究利用钛石膏和钛矿渣制备低熟料水泥的可行性,研究其水化特性。采用钛石膏、钛矿渣、水泥熟料为主要原料,并用硅酸钠做为激发剂,配制10组低熟料水泥。对各组的抗压强度、软化系数、收缩率进行了测试,采用水化热分析、TG-DSC、XRD和SEM等测试方法对水化过程和水化产物进行了研究。结果表明,适当增加钛矿渣或水泥熟料的掺量可以提升水泥的抗压强度和软化系数,并能减小水泥的收缩。硅酸钠可以显著激发水泥的水化反应活性,促使生成更多的C-S(A)-H、AFt、CH等水化产物,从而提高抗压强度和软化系数,但过量掺入硅酸钠会造成收缩率增加。当钛石膏、钛矿渣、熟料和硅酸钠的比例为30∶55∶15∶8时,养护56 d的抗压强度达到51.3 MPa,软化系数为0.74,表现出了较好的力学性能和耐水性。
  • 图  1  原料激光粒度测试结果

    Figure  1.  Laser particle size analysis of raw materials

    图  2  原材料的XRD分析结果

    Figure  2.  XRD analysis of raw materials

    图  3  抗压强度测试结果

    图中增长率表示56 d强度相比于3 d强度的增长率。

    Figure  3.  Compressive strength test

    图  4  软化系数测试结果

    Figure  4.  Softening coefficient test

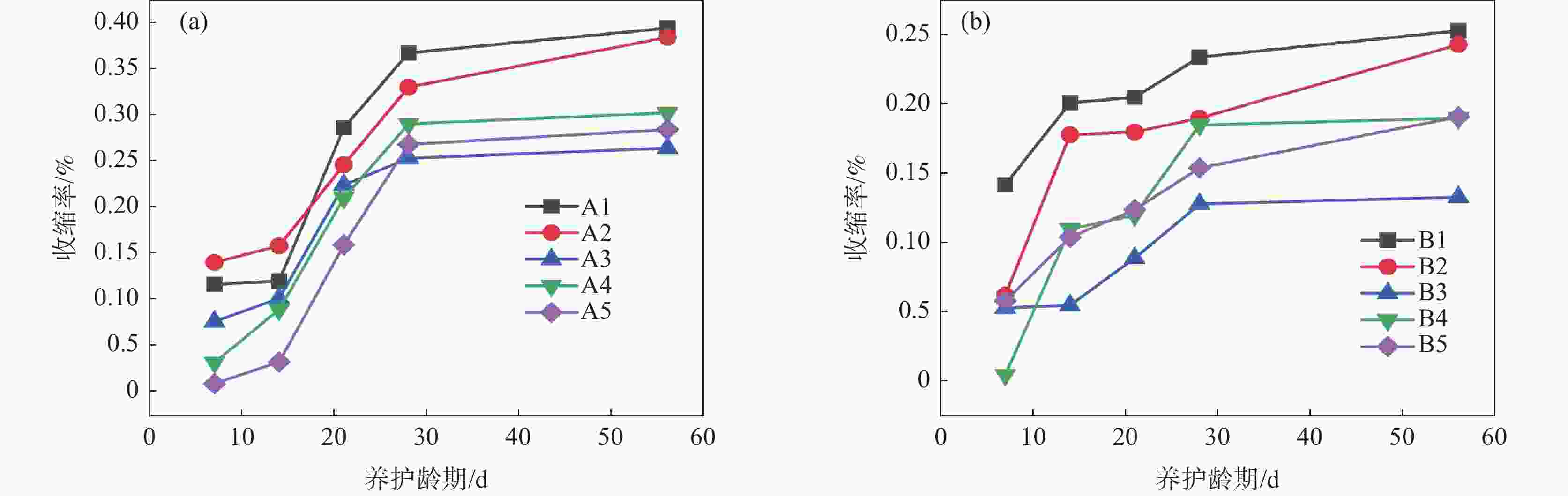
    图  5  收缩率测试结果

    Figure  5.  Shrinkage test

    图  6  水化放热速率和放热量

    Figure  6.  Hydration heat release rate and total heat release analysis

    图  7  TG-DSC测试结果

    Figure  7.  TG-DSC analysis

    图  8  XRD测试结果

    Figure  8.  XRD patterns

    图  9  SEM测试结果

    (a)A2;(b)A3;(c)A5;(d)B2;(e)B3;(f)B5

    Figure  9.  SEM images

    表  1  原材料的XRF分析结果

    Table  1.   XRF analysis results of raw materials %

    原料CaOSiO2TiO2Al2O3MgOFe2O3SO3P2O5Na2OK2OMnO
    钛矿渣26.0621.7617.6913.577.133.222.910.050.810.550.45
    钛石膏36.222.901.201.581.6213.5641.950.370.100.070.27
    熟料68.1718.540.674.441.403.571.680.120.310.830.10
    下载: 导出CSV

    表  2  试验配合比

    Table  2.   Experimental mix proportion %

    分组序号钛石膏矿渣熟料硅酸钠水灰比备注
    A组
    A145505030改变钛石膏与矿渣
    比例及硅酸钠掺量
    A225705030
    A325705330
    A425705530
    A525705830
    B组B1306010030改变矿渣与熟料
    比例及硅酸钠掺量
    B2305515030
    B3305515330
    B4305515530
    B5305515830
    下载: 导出CSV

    表  3  失重率统计

    Table  3.   Weight loss ratio statistics

    试验组各温度段失重率/%累积失重率/%
    30~110 ℃500~700 ℃700~900 ℃
    A20.0261.4451.3122.783
    A30.3162.2714.6367.223
    A50.3182.4244.6697.411
    B20.7353.6665.1819.582
    B31.0104.4394.98210.431
    B52.7554.5544.13611.445
    下载: 导出CSV
  • [1] Ma Lei, Sheng Yu, Zhou Junhong, et al. Study on new process of comprehensive utilization and separation of sulfur and calcium of titanium gypsum[J]. Inorganic Chemicals Industry, 2022,54(7):124−128. (马磊, 盛余, 周骏宏, 等. 钛石膏综合利用及硫钙分离新工艺研究[J]. 无机盐工业, 2022,54(7):124−128.

    Ma Lei, Sheng Yu, Zhou Junhong, et al. Study on new process of comprehensive utilization and separation of sulfur and calcium of titanium gypsum[J]. Inorganic Chemicals Industry, 2022, 54(7): 124-128
    [2] Jin Biqiang, Zhang Tingting, Zhu Jingping, et al. The development and research progress of titanium gypsum exploitation and utilization[J]. Multipurpose Utilization of Mineral Resources, 2020,(3):28−32. (靳必强, 张婷婷, 朱静平, 等. 钛石膏的开发利用研究进展[J]. 矿产综合利用, 2020,(3):28−32.

    Jin Biqiang, Zhang Tingting, Zhu Jingping, et al. The development and research progress of titanium gypsum exploitation and utilization[J]. Multipurpose Utilization of Mineral Resources, 2020(3): 28-32
    [3] Zhang Jiufu, Yan Yun, Hu Zhihua, et al. Properties and hydration behavior of Ti-extracted residues-red gypsum based cementitious materials[J]. Construction and Building Materials, 2019,(218):610−617.
    [4] Yang He. Analysis of the strength mechanism of lime-base activated titanium gypsum composite cementitious material[J]. Iron Steel Vanadium Titanium, 2021,42(3):111−118. (杨贺. 石灰碱激发钛石膏复合胶凝材料强度机理分析[J]. 钢铁钒钛, 2021,42(3):111−118.

    Yang He. Analysis of the strength mechanism of lime-base activated titanium gypsum composite cementitious material[J]. Iron Steel Vanadium Titanium, 2021, 42(3): 111-118
    [5] Du Huihui, Ni Wen, Gao Guangjun, et al. Research on application of vanadium-titanium slag in fabricated precast concrete slab[J]. New Building Materials, 2021,48(10):172−177. (杜惠惠, 倪文, 高广军, 等. 钒钛矿渣在装配式预制板材中的应用研究[J]. 新型建筑材料, 2021,48(10):172−177.

    Du Huihui, Ni Wen, Gao Guangjun, et al. Research on application of vanadium-titanium slag in fabricated precast concrete slab[J]. New Building Materials, 2021, 48(10): 172-177
    [6] Wang Shuai, Lv Shuzhen, Zhao Jie, et al. Preparation of mineral admixture for concrete with high titanium slag[J]. Journal of Southwest University of Science and Technology, 2021,36(1):28−34. (王帅, 吕淑珍, 赵杰, 等. 高钛矿渣制备混凝土用矿物掺合料研究[J]. 西南科技大学学报, 2021,36(1):28−34.

    Wang Shuai, Lv Shuzhen, Zhao Jie, et al. Preparation of mineral admixture for concrete with high titanium slag[J]. Journal of Southwest University of Science and Technology, 2021, 36(1): 28-34
    [7] Omeid Rahmani. An experimental study of accelerated mineral carbonation of industrial waste red gypsum for CO2 sequestration[J]. Journal of CO2 Utilization, 2020,(35):265−671.
    [8] Chen Feixiang, Shui Zhonghe, Ding Sha, et al. Optimization design research on the mix proportion of persulphated phosphogypsum-slag cement concrete[J]. Journal of Wuhan University of Technology, 2013,35(11):8−13. (陈飞翔, 水中和, 丁沙, 等. 过硫磷石膏矿渣水泥混凝土的配合比优化设计研究[J]. 武汉理工大学学报, 2013,35(11):8−13.

    Chen Feixiang, Shui Zhonghe, Ding Sha, et al. Optimization design research on the mix proportion of persulphated phosphogypsum-slag cement concrete[J]. Journal of Wuhan University of Technology, 2013, 35(11): 8-13.
    [9] Zhang Yue, Wang Hongjie, Yang Lin, et al. Influence of phosphogypsum particle size on properties and microstructure of wet-mixed mortar[J]. Bulletin of the Chinese Ceramic Society, 2022,41(8):2836−2843. (张粤, 王宏杰, 杨林, 等. 磷石膏粒径对湿拌砂浆性能及微观结构的影响研究[J]. 硅酸盐通报, 2022,41(8):2836−2843.

    Zhang Yue, Wang Hongjie, Yang Lin, et al. Influence of phosphogypsum particle size on properties and microstructure of wet-mixed mortar[J]. Bulletin of the Chinese Ceramic Society, 2022, 41(8): 2836-2843.
    [10] Xie Jianhai, Kang Huning, Xiang Renke, et al. Study on performance of fluorogypsum composite cementitious material[J]. Bulletin of the Chinese Ceramic Society, 2013,32(4):772−775. (谢建海, 亢虎宁, 向仁科, 等. 氟石膏复合胶凝材料的性能研究[J]. 硅酸盐通报, 2013,32(4):772−775.

    Xie Jianhai, Kang Huning, Xiang Renke, et al. Study on performance of fluorogypsum composite cementitious material[J]. Bulletin of the Chinese Ceramic Society, 2013, 32(4): 772-775
    [11] Ma Yuan, Fan Chuangang, Wu You, et al. Preparation and characterization of persulfur titanium gypsum slag cement[J]. Non-metallic Mines, 2016,39(6):41−44. (马远, 樊传刚, 吴悠, 等. 过硫钛石膏矿渣水泥的制备与性能表征[J]. 非金属矿, 2016,39(6):41−44. doi: 10.3969/j.issn.1000-8098.2016.06.013

    Ma Yuan, Fan Chuangang, Wu You, et al. Preparation and characterization of persulfur titanium gypsum slag cement[J]. Non-metallic Mines, 2016, 39(6): 41-44 doi: 10.3969/j.issn.1000-8098.2016.06.013
    [12] Li Jingwei, Wang Wenlong, Xu Dong, et al. Preparation of sulfoaluminate cementitious material using harmful titanium gypsum: material properties and heavy metal immobilization characteristics[J]. Waste Disposal & Sustainable Energy, 2020,2(2):127−137.
    [13] Zhang Jiufu, Yan Yun, Hu Zhihua. Preparation and characterization of foamed concrete with Ti-extracted residues and red gypsum[J]. Construction and Building Materials, 2018,171:109−119.
    [14] Li Liangyuan, Shi Zongli, Ai Yongping. Alkaline activation of gypsum-granulated blast furnace slag cementing materials[J]. Journal of the Chinese Ceramic Society, 2008,(3):405−410. (黎良元, 石宗利, 艾永平. 石膏-矿渣胶凝材料的碱性激发作用[J]. 硅酸盐学报, 2008,(3):405−410.

    Li Liangyuan, Shi Zongli, Ai Yongping. Alkaline activation of gypsum-granulated blast furnace slag cementing materials[J]. Journal of the Chinese Ceramic Society, 2008(3): 405-410
    [15] Chen Shikun, Zhang Yajun, Yan Dongming, et al. The influence of Si/Al ratio on sulfate durability of metakaolin-based geopolymer[J]. Construction and Building Materials, 2020,265(2):120735.
    [16] 郝忠卿, 高阳, 张翛, 等. 碱激发煤液化残渣地聚物力学及微观特性研究[J/OL]. 建筑材料学报: 1-12[2023-02-23].

    Hao Zhongqing, Gao Yang, Zhang Xiao, et al. Study on the mechanics and microscopic properties of direct coal liquefaction residue based geopolymer activated by alkali activator[J/OL]. Journal of Building Materials, 1-12[2023-02-23]
    [17] Ivanov K S, Korotkov E A. Effect of sodium silicate slurries on the properties of alkali-activated materials[J]. Inorganic Materials, 2017,53(9):973−979. doi: 10.1134/S0020168517090096
    [18] Jiang Yong, Jia Lujun, Wen Mengyuan, et al. Preparation of alkali-activated fly ash /steel slag cementitious materials[J]. Bulletin of the Chinese Ceramic Society, 2019,38(7):2152−2156, 2161. (蒋勇, 贾陆军, 文梦媛, 等. 碱激发粉煤灰/钢渣胶凝材料的制备[J]. 硅酸盐通报, 2019,38(7):2152−2156, 2161.

    Jiang Yong, Jia Lujun, Wen Mengyuan, et al. Preparation of alkali-activated fly ash /steel slag cementitious materials[J]. Bulletin of the Chinese Ceramic Society, 2019, 38(7): 2152-2156, 2161
    [19] Zhang Jun, Chen Haoyu, Hou Dongwei. Development of shrinkage and internal moisture in cement paste mortar and concrete at early age[J]. Journal of Building Materials, 2011,14(3):287−292. (张君, 陈浩宇, 侯东伟. 水泥净浆、砂浆及混凝土早期收缩与内部湿度发展分析[J]. 建筑材料学报, 2011,14(3):287−292.

    Zhang Jun, Chen Haoyu, Hou Dongwei. Development of shrinkage and internal moisture in cement paste mortar and concrete at early age[J]. Journal of Building Materials, 2011, 14(3): 287-292
    [20] Gu Yamin, Fang Yonghao. Shrinkage, cracking, shrinkage-reducing and toughening of alkali-activated slag cement-a short review[J]. Journal of the Chinese Ceramic Society, 2012,40(1):76−84. (顾亚敏, 方永浩. 碱矿渣水泥的收缩与开裂特性及其减缩与增韧[J]. 硅酸盐学报, 2012,40(1):76−84.

    Gu Yamin, Fang Yonghao. Shrinkage, cracking, shrinkage-reducing and toughening of alkali-activated slag cement-a short review[J]. Journal of the Chinese Ceramic Society, 2012, 40(1): 76-84
    [21] Cartwright C, Rajabipour F, Radlińska A. Shrinkage characteristics of alkaliactivated slag cements[J]. Journal of Materials in Civil Engineering, 2015, 27(7): B4014007: 1-9.
  • 加载中
图(9) / 表(3)
计量
  • 文章访问数:  463
  • HTML全文浏览量:  124
  • PDF下载量:  12
  • 被引次数: 0
出版历程
  • 收稿日期:  2023-03-23
  • 刊出日期:  2023-08-30

目录

    /

    返回文章
    返回