中文核心期刊

SCOPUS 数据库收录期刊

中国科技核心期刊

美国《化学文摘》来源期刊

中国优秀冶金期刊

美国EBSCO数据库收录期刊

RCCSE中国核心学术期刊

美国《剑桥科学文摘》来源期刊

中国应用核心期刊(CACJ)

美国《乌利希期刊指南》收录期刊

中国学术期刊综合评价统计源刊

俄罗斯《文摘杂志》来源期刊

优秀中文科技期刊(西牛计划)

日本《科学技术文献数据库》(JST)收录刊

留言板

尊敬的读者、作者、审稿人, 关于本刊的投稿、审稿、编辑和出版的任何问题, 您可以本页添加留言。我们将尽快给您答复。谢谢您的支持!

姓名
邮箱
手机号码
标题
留言内容
验证码

2023年  第44卷  第4期

钒钛分离与提取
钙化提钒过程中元素迁移转化行为的研究
刘羲, 蒲宇文, 徐宗源, 唐康, 郑国灿, 陈燕, 刘作华, 杜军, 彭毅, 陶长元
2023, 44(4): 1-9. doi: 10.7513/j.issn.1004-7638.2023.04.001
摘要(503) HTML (161) PDF(50)
摘要:
试验结合XRD、XPS、SEM-EDS和ICP-OES等分析手段,研究了不同pH值条件下酸性铵盐沉钒产物的物相组成及形貌,并分析了沉钒pH值等于2.20时V、Fe和Mn三种元素的迁移转化行为。结果表明,沉钒pH值显著影响产物的组成和形貌,较低pH值沉钒滤饼为无定形结构,随着pH值的升高,晶型逐渐确定。V在提钒尾渣中以CaV2O6形式存在,在滤饼中以多聚钒酸根形式存在,终产品中则以V2O5的形式存在;Fe在尾渣中的主要存在形式为Fe2O3和Fe2TiO5,在沉钒滤饼和终产品中含量较少;Mn在尾渣中以MnSO4形式存在,沉钒过程中主要进入到上清液中,滤饼中则以MnV2O6·4H2O形式存在,终产品中有0.210%。
熔盐法制备球形碳化钛纳米粉体的研究
李文靓, 郭赟, 杨亚东, 刘波, 辛亚男
2023, 44(4): 10-17. doi: 10.7513/j.issn.1004-7638.2023.04.002
摘要(524) HTML (178) PDF(26)
摘要:
结合国家十四五战略部署,基于企业资源背景及下游市场需求,提出通过熔盐法短流程制备球形碳化钛纳米粉体,整个流程温度远低于传统工艺温度(1300 ℃),过程不使用易燃易爆还原剂,安全系数高,生产产品质量高、产量可控、生产周期较短且环保,具有一定工业推广性。研究了钛源碳源的选择及配比、熔盐比例,以及纳米颗粒的煅烧温度、保温时长对颗粒形貌和质量的影响。通过XRD和SEM对颗粒的物相组成、显微形貌进行了表征。结果表明,在NaCl-KCl混合盐摩尔比为1∶1的情况下,反应物以Ti/C摩尔比为1∶1配比,700 ℃保温2 h时开始有TiC生成,随温度升高,产物中目标产物的纯度逐步提高,900 ℃保温2 h可得到纯净的目标产物,无其余副产物生成,形貌为球形,粒径为80 nm左右。改变保温时长为5 h时,850 ℃即可得到纯净的目标产物,但粒径会适度增加到100 nm。从降低原料成本考虑,钛源比例为Ti∶TiO2=9∶1时,900 ℃即可得到无杂质的碳化钛纳米颗粒,形貌均为球形颗粒,颗粒粒径为50~65 nm。
高钛型高炉渣中Ca、Mg、Al元素浸出特性研究
皇甫林, 姜洋, 邱正秋, 王奎
2023, 44(4): 18-24. doi: 10.7513/j.issn.1004-7638.2023.04.003
摘要(472) HTML (115) PDF(24)
摘要:
为了充分利用高钛型高炉渣中的价值元素,通过对其理化性质进行分析,提出采用盐酸水热浸出的方式分离出高钛型高炉渣中Ca、Mg元素,重点考察了反应条件参数对高钛型高炉渣中元素浸出特性的影响。试验结果显示,随着盐酸浓度、盐酸量、反应温度和反应时间的增加,高钛型高炉渣中Ca、Mg、Al元素浸出率均呈上升趋势。其中,Mg、Al元素浸出率在高于95%后基本保持稳定,而Ca元素浸出率最高可接近100%。在盐酸浓度为4 mol/L、盐酸量为理论计算可完全溶解高钛型高炉渣中Ca、Mg、Al元素的1.5倍、反应温度为150 ℃、反应时间为10 h的条件下,可使高钛型高炉渣中Ca、Mg元素完全解离,浸出残渣中MgO、CaO含量均在1%以下,而TiO2、SiO2、Al2O3总含量则高于95%,可满足制备多孔吸附材料的要求。该研究成果有望为高钛型高炉渣的资源化高效利用提供数据支撑。
Al3+对偏钛酸煅烧过程的影响和作用机制研究
路瑞芳, 杨芳, 刘婵, 郝琳
2023, 44(4): 25-32. doi: 10.7513/j.issn.1004-7638.2023.04.004
摘要(392) HTML (156) PDF(19)
摘要:
硫酸法钛白生产工艺中,偏钛酸经不同盐处理和高温煅烧后获得适宜粒径的金红石二氧化钛是制备颜料钛白的基础,铝系盐处理是目前普遍采用的盐处理体系之一,但目前铝盐在煅烧过程的作用机制尚不明确。以硫酸法钛白生产中间物料二洗偏钛酸为原料,仅以硫酸铝作为盐处理剂,在马弗炉里升温至800~950 ℃条件下煅烧。利用XRD、SEM、HRTEM等分析手段研究了Al3+在煅烧过程中对TiO2晶型转变和粒子生长的影响。结果表明,不同铝盐加量以及煅烧温度对TiO2晶型转变、粒子生长以及Al3+的存在状态具有显著影响。铝盐加量较低时,Al3+以取代模式掺入TiO2晶格中,置换Ti4+,使晶胞体积变小,晶体内部键长变短,不利于原子重排和断键过程,导致晶型转变率降低。随着铝盐加量的增加,过量的Al3+在TiO2表面以Al2O3的形式存在,同时相同煅烧温度下得到的锐钛型或金红石型TiO2粒子粒径减小。
石煤钒矿焙烧提钒的研究进展
宋昌溆, 叶国华, 亢选雄, 张云, 荣一阳, 项新月
2023, 44(4): 33-40. doi: 10.7513/j.issn.1004-7638.2023.04.005
摘要(884) HTML (220) PDF(74)
摘要:
评述了石煤钒矿焙烧提钒的研究进展,探讨了焙烧工艺可能的应用场景,通过实例论述了不同焙烧工艺的优势与不足,并对石煤钒矿焙烧提钒这一领域的发展现状、行业难点进行了总结与展望。石煤钒矿中的钒主要以类质同相形式赋存,焙烧是提钒的关键。传统的焙烧工艺有钠化焙烧、钙化焙烧、复合添加剂焙烧和无盐焙烧等,这些工艺比较成熟但是需要控制污染;新近提出的焙烧工艺有微波焙烧、碱熔焙烧、氯化焙烧和低温硫酸化焙烧等,其中微波焙烧的概念提出较早,但是最近才取得明显的理论与实践进展,碱熔焙烧在提升钒价态这方面有较好效果,氯化焙烧和低温硫酸化焙烧符合绿色低碳的发展理念,同时可以获得较理想的提钒指标。
葡萄糖添加量对溶胶凝胶燃烧法制备Li3V2(PO4)3/C正极材料储锂性能的影响
李娜丽, 张仁杰
2023, 44(4): 41-47. doi: 10.7513/j.issn.1004-7638.2023.04.006
摘要(320) HTML (92) PDF(11)
摘要:
通过改变葡萄糖添加量,采用改进的溶胶凝胶燃烧法成功制备出不同碳含量的亚微多孔Li3V2(PO4)3(LVP)/C复合材料。系统研究了葡萄糖添加量对LVP的结构、形貌及电化学性能的影响。添加葡萄糖虽然没有改变LVP的晶型结构和晶格参数,但是添加了葡萄糖的样品中出现了有利于电子传输和Li+扩散的纳米针状颗粒,且随着葡萄糖添加量的增加,纳米针状颗粒的体积分数增加,从而提高了LVP/C正极材料的倍率性能。葡萄糖碳化生成的无定形碳均匀包覆在LVP颗粒的表面,提高了复合材料的电导率,电导率随着葡萄糖添加量的增加而增加,但是葡萄糖添加量过多会导致碳包覆层过厚,不利于Li+的传输。得益于适当的葡萄糖添加量以及纳米针状颗粒和多孔结构,LVP/C-G15%样品具有优异的储锂性能,其在10 C的高倍率下循环200次后仍可提供75.1 mAh/g的放电比容量,容量保持率高达89.0%。
钒钛材料与应用
Cu夹层激光熔化沉积IN625/TC4双金属结构过渡区组织与性能的研究
王文博, 徐诺, 徐国建, 井志成, 张国瑜, 赵雪, 项卓
2023, 44(4): 48-54. doi: 10.7513/j.issn.1004-7638.2023.04.007
摘要(437) HTML (165) PDF(25)
摘要:
由具有优异高温性能的IN625镍基高温合金和轻质高强度的TC4钛合金构成的双金属结构在航空航天领域中具有广阔的应用前景,然而,由于两种金属的物理化学性质差异较大,直接制造IN625/TC4双金属结构时,不可避免地在过渡区形成裂纹等冶金缺陷,因此IN625/TC4双金属结构的有效连接一直是行业研究的热点与难点。采用激光熔化沉积技术,通过添加Cu夹层制备了无裂纹等冶金缺陷的IN625/TC4双金属结构,研究了其过渡区的显微组织与力学性能。结果表明,Cu夹层激光熔化沉积IN625/TC4双金属结构过渡区内部的相组成主要为:γ-Ni、γ-Cu、(Cr, Mo)、Ti2Cu、TiCu、TiNi3、α-Ti及β-Ti;室温拉伸结果表明,添加Cu夹层的IN625/TC4双金属结构的抗拉强度约为228.9 MPa,断裂位置位于Cu/IN625过渡区附近,断口形貌表现为准解理断裂特性。
钛合金VAR过程中自感电磁场对流场与偏析行为的影响
黄立清, 吴京洋, 郭杰, 樊凯, 李超, 李志宏, 李俊杰, 王锦程
2023, 44(4): 55-61. doi: 10.7513/j.issn.1004-7638.2023.04.008
摘要(424) HTML (266) PDF(42)
摘要:
采用合金凝固的连续介质模型,模拟了钛合金真空自耗电弧熔炼过程中温度场、溶质场、流场、自感电磁场的演化行为。通过对比浮力单独作用、自感电磁力单独作用以及二者共同作用下的熔池流动及成分偏析结果,揭示了熔炼过程中熔体流动和溶质偏析的形成机理。结果表明,0.3 kA小电流熔炼时,熔池内熔体流动由浮力主导,形成侧壁向下、中心向上的对流;0.73 kA大电流熔炼时,熔池内呈现由电磁力主导的反向对流,熔池最大流速为0.036 m/s;0.45 kA中等电流熔炼时,浮力和电磁力对熔体流动的作用均比较明显,熔池内形成两个流动方向相反的区域,且由于两者相互竞争制约,导致熔池中最大流速达到极低值0.004 m/s。铸锭整体宏观成分偏析随着熔炼电流的增加呈现先上升后下降再上升的变化规律,三阶段宏观偏析的极值分别为0.54%、0.39%与0.57%。当电磁力和浮力作用基本相当时,宏观偏析程度最轻。
球磨时间对多孔Ti-5Cu合金微观结构和力学性能的影响
麦萍
2023, 44(4): 62-67. doi: 10.7513/j.issn.1004-7638.2023.04.009
摘要(337) HTML (96) PDF(9)
摘要:
采用机械球磨和空间占位法经真空烧结制备生物医用多孔Ti-5Cu合金。使用扫描电子显微镜、X射线衍射仪、激光粒度仪等对球磨不同时间的金属粉末进行分析,并研究球磨时间对制备出的多孔Ti-5Cu合金微观结构和力学性能的影响。结果表明,球磨2 h时,Ti-5Cu粉末的形貌变得扁平,其平均粒径明显减小。进一步增加球磨时间仅轻微降低粉末的平均粒径。随着球磨时间的增加,制备出的具有模拟人体骨骼各向异性孔结构的多孔Ti-5Cu合金的孔隙率逐渐减小,其弹性模量和抗压强度先升高后下降。在研究的球磨时间范围内,球磨2 h的金属粉末制备出的多孔Ti-5Cu合金的弹性模量和抗压强度最高,分别为3.79 GPa和89.00 MPa。
变形量对TA18钛合金微观组织和性能的影响
霍思含, 吕逍
2023, 44(4): 68-72. doi: 10.7513/j.issn.1004-7638.2023.04.010
摘要(847) HTML (195) PDF(20)
摘要:
针对经精锻和热轧两种工艺加工后的近α型TA18钛合金棒材进行了压缩变形量为10%、 20%、 30%、 50%和70%的压缩试验,之后进行了510 ℃×2 h/AC的退火处理,利用金相显微镜观察并分析了压缩变形量对TA18钛合金微观组织和力学性能的影响。结果表明,经过精锻和热轧后的TA18钛合金棒材分别经过压缩变形量为10%、20%和30%的压缩试验后均可以得到均匀的显微组织,且精锻棒材的力学性能与热轧棒基本一致,在压缩变形量为30%时压缩强度达到最大。退火处理后,压缩后的棒材的晶粒尺寸和分布仍相对均匀,且经过退火处理后的精锻棒材其微观组织更为均匀。
不同钛源制备钛酸锂负极材料及其性能研究
蒋鑫玉, 马光强, 朱芩枚, 田从学
2023, 44(4): 73-77. doi: 10.7513/j.issn.1004-7638.2023.04.011
摘要(334) HTML (390) PDF(18)
摘要:
通过高温固相法制备球形Li4Ti5O12负极材料,探究了采用不同钛源所制备的Li4Ti5O12的性能差异。通过XRD、SEM对制备的材料进行结构及形貌的表征,同时将合成的材料进行电化学测试。结果表明,分别以纳米TiO2(P40)、工业H2TiO3、含铁工业H2TiO3为钛源制备的Li4Ti5O12材料t-LTO、h-LTO、f-LTO在较低倍率0.2 C下的放电比容量分别为170.0、156.3、150.7 mAh/g,在较高倍率5 C下的放电比容量分别为91.9、93.0、26.7 mAh/g。在1 C下充放电循环100次后容量保持率分别为97.4%、97.3%、94.6%。以纳米TiO2及工业H2TiO3为钛源制备得到的Li4Ti5O12具有较好的电化学性能,因此可用较为纯净的工业H2TiO3为钛源代替价格高昂的TiO2制备Li4Ti5O12负极材料。
低温熔盐中钛铝合金电解脱铝的研究
徐培栋, 谭敏, 李涛, 高爱民, 辛朝阳, 刘伟, 谷少鹏
2023, 44(4): 78-84. doi: 10.7513/j.issn.1004-7638.2023.04.012
摘要(391) HTML (178) PDF(17)
摘要:
为实现钛铝合金的二次回收与分离利用,以钛铝合金为牺牲阳极,1-丁基-3-甲基咪唑氯铝酸盐(BMIC-AlCl3)作为电解液,进行钛铝合金的脱合金化研究。采用循环伏安曲线、动电位极化和恒电位极化对电解过程的脱合金行为进行电化学分析;使用SEM对电解前后样品微区形貌进行表征,使用ICP-AES对电解前后钛铝合金样品中的Al含量进行定量分析。结果表明,钛铝合金在BMIC-AlCl3中的脱合金反应为准可逆反应,且长时间电解过程中电流保持稳定,可实现持续电解脱铝;通过扫描电子显微镜发现阴极沉积层为纯度较高且呈现多孔结构的金属铝。ICP-AES对电解前后的钛铝合金中Al元素含量的分析结果表明,电解后钛铝合金中Al元素含量相对于电解前下降10.67%。
钛焊管长时耐腐蚀性研究
李海明, 胡星光, 李军兆, 刘文正, 杨维军
2023, 44(4): 85-88. doi: 10.7513/j.issn.1004-7638.2023.04.013
摘要(316) HTML (108) PDF(7)
摘要:
模拟不同工况条件,通过宏观尺寸检测、金相分析、力学性能测试等,研究钛焊管在自来水、质量分数为5%的氯化镁水溶液、海水、体积分数为10%的硫酸溶液中长时浸泡的耐腐蚀性能。结果表明,钛焊管在自来水、质量分数为5%的氯化镁水溶液、海水三种溶液中浸泡长达7年,几乎不出现腐蚀现象,腐蚀速率分别为0.333、0.466、0.466 μm/a,具备良好的耐腐蚀性能。钛焊管在体积分数为10%的硫酸溶液中长期浸泡,会出现腐蚀现象,壁厚减薄,减薄率为2%,腐蚀速率为1.398 μm/a,耐腐蚀性能较其他三种溶液下差。该研究对钛焊管在生活用水、制盐、海洋工程、海水淡化等环境的应用具有重要意义。
资源环境与节能
生物质还原提钒废渣回收有价金属的试验研究
高阳, 谢华清, 周密, 郭锐, 秦梦鑫, 王征宇, 代兵
2023, 44(4): 89-95. doi: 10.7513/j.issn.1004-7638.2023.04.014
摘要(398) HTML (158) PDF(16)
摘要:
为解决提钒废渣堆积造成的土地资源浪费、污染环境等问题,以两种提钒废渣为研究对象,采用生物质作为还原剂进行高温还原试验,对还原产物进行组分分析、物相分析等,探究吸氧比、时间、温度对还原过程、产物金属化率的影响。结果表明,水浸提钒废渣在吸氧比为4、还原温度为1450 ℃、还原时间为2 h的条件下,铁金属化率可达到58.67%;沉钒废渣在吸氧比为1.75、还原温度为1550 ℃、还原时间为4 h的条件下,铬金属化率可达到99.19%。将两种提钒废渣混合,进行了生物质高温还原制备铬铁合金的初步试验验证,对在吸氧比4、还原时间3 h、反应温度1550 ℃条件下所得的还原产物进行熔分,合金中铬含量为61.51%,铁含量为31.05%,元素含量满足FeCr65C4.0牌号合金的国家标准要求。
不同粒径气淬钢渣磨料的性能研究
李硕, 邢宏伟, 刘超, 林文龙, 张伟, 谷少鹏, 王辉, 裴晶晶
2023, 44(4): 96-102. doi: 10.7513/j.issn.1004-7638.2023.04.015
摘要(310) HTML (93) PDF(11)
摘要:
以固态钢渣为原料,经电弧炉高温重熔后,采用气淬法制备了不同粒径的钢渣。对比不同粒径气淬钢渣在物相组成、显微结构、表观密度、形貌特征以及硬度方面的异同,并分析气淬钢渣用作喷砂磨料的可行性,选择磨料性能较好的气淬钢渣进行喷砂试验。结果表明,不同粒径气淬钢渣的物相组成基本一致,主要为硅酸钙相和方镁石相;表观密度随着粒径增大而减小,均符合非金属磨料的密度标准;五个粒径的气淬钢渣维氏硬度(HV)平均值均超过588,适合用作喷砂磨料。综合考虑不同粒径下气淬钢渣磨料的性能和喷砂效果,0.5~1.0 mm的气淬钢渣最适合用作喷砂磨料。
钛石膏-钛矿渣低熟料水泥水化反应研究
蒋勇, 苏姚彬, 高瑞, 吴茂杰, 蒋贇, 焦晓飞
2023, 44(4): 103-111. doi: 10.7513/j.issn.1004-7638.2023.04.016
摘要(486) HTML (129) PDF(13)
摘要:
为了探究利用钛石膏和钛矿渣制备低熟料水泥的可行性,研究其水化特性。采用钛石膏、钛矿渣、水泥熟料为主要原料,并用硅酸钠做为激发剂,配制10组低熟料水泥。对各组的抗压强度、软化系数、收缩率进行了测试,采用水化热分析、TG-DSC、XRD和SEM等测试方法对水化过程和水化产物进行了研究。结果表明,适当增加钛矿渣或水泥熟料的掺量可以提升水泥的抗压强度和软化系数,并能减小水泥的收缩。硅酸钠可以显著激发水泥的水化反应活性,促使生成更多的C-S(A)-H、AFt、CH等水化产物,从而提高抗压强度和软化系数,但过量掺入硅酸钠会造成收缩率增加。当钛石膏、钛矿渣、熟料和硅酸钠的比例为30∶55∶15∶8时,养护56 d的抗压强度达到51.3 MPa,软化系数为0.74,表现出了较好的力学性能和耐水性。
提高攀西选钛过程中硫精矿回收率的实验室研究
王洪彬, 史章良, 赵开乐, 杨耀辉, 罗荣飞
2023, 44(4): 112-116. doi: 10.7513/j.issn.1004-7638.2023.04.017
摘要(313) HTML (111) PDF(13)
摘要:
针对攀西地区某选钛浮选斜板沉砂采用常规“先浮硫再硫钴富集”工艺及常规药剂“丁基黄药+2#油”回收硫化物时,硫钴回收率低、不利于后续硫钴浮选分离等问题,采用“一粗两扫三精”浮选流程,并添加微细粒硫钴矿物高效辅助捕收剂EMC-50、起泡剂EMP-02和抑制剂EM515等进行了实验室优化研究。试验表明,添加新药剂后能获得产率2.00%、S品位36.37%、Co品位0.36%、S回收率83.53%的硫精矿,硫精矿的回收率较当前采用常规药剂的提高了3.21个百分点,单位硫精矿药剂成本降低111元/t。新药剂的使用将有利于提高攀西硫精矿的综合利用价值。
钢铁冶金与材料
预制铁酸钙技术对钒钛磁铁矿烧结行为的影响
谢皓, 李刚, 吕学伟, 孙小东, 何海熙
2023, 44(4): 117-124. doi: 10.7513/j.issn.1004-7638.2023.04.018
摘要(460) HTML (172) PDF(17)
摘要:
针对钒钛磁铁矿在烧结过程中的成品率低、强度差、能耗高等问题,提出了预制铁酸钙烧结新技术,并通过压块焙烧试验和热分析测试揭示该技术的可行性及理论依据。结果表明,随着预制铁酸钙替代生石灰比例增加,焙烧产物微观形貌由粒状结构向熔蚀结构转变,四元复合铁酸钙(SFCA)含量增加,钙钛矿含量降低,有利于焙烧过程的液相生成,烧结孔洞熔合程度增大,平均孔隙率从42.9%下降到36.2%,促进基体的致密化。升温过程中铁酸钙液相的生成可分为三个反应,根据生成温度由低到高依次为CF+CF2→L的共熔反应,SFCA-I及SFCA的熔化分解反应;预制铁酸钙的加入可降低初始液相的产生温度,整体提高烧结液相量,提高比例约9%;预制铁酸钙技术可促进铁氧化物向初始液相中熔解,增加铁酸钙含量,促进固-液同化反应。
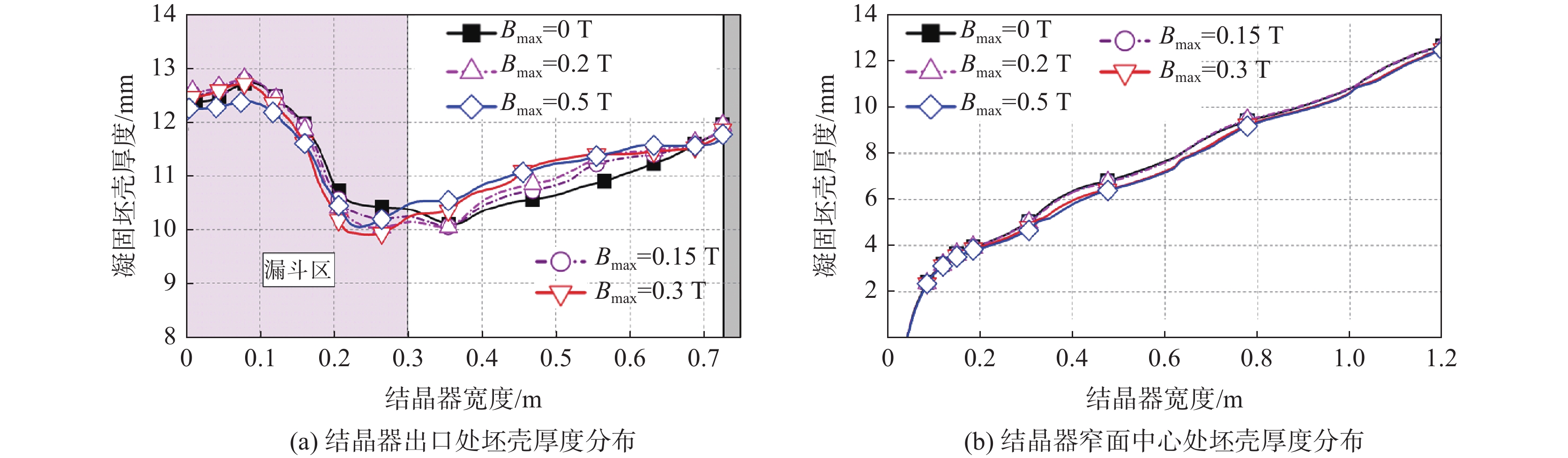
电磁连铸过程FTSR结晶器多相传输行为的研究
许琳, 裴群武, 李阳, 韩泽峰, 杨硕, 王建宇
2023, 44(4): 125-134. doi: 10.7513/j.issn.1004-7638.2023.04.019
摘要(380) HTML (113) PDF(6)
摘要:
为研究薄板坯连铸全幅一段电磁制动冶金效果,以漏斗形FTSR结晶器为研究对象,利用建立的三维多场数学模型,模拟全幅一段电磁制动作用下电磁参数变化对FTSR结晶器钢液流动、传热凝固及夹杂物迁移行为的影响。结果表明,施加全幅一段电磁制动后,结晶器内钢液温度分布的均匀性提高,钢液流股对熔池的穿透深度减小,这不仅利于下回流钢液夹带的夹杂物上浮去除,还促使上回流钢液将热量输送到弯月面区,避免弯月面处熔渣凝固而形成渣圈。此外,通过适当增加磁感应强度,可降低钢液表面流速,控制上吐出孔处液面波动。当磁感应强度达到0.3 T时,钢液表面最大流速降低至0.27 m/s,上吐出孔处液面峰值降低至7.3 mm。
高磁感取向硅钢高温力学性能与热加工性能
时朋召, 李江波, 乔家龙, 郭飞虎, 仇圣桃
2023, 44(4): 135-141. doi: 10.7513/j.issn.1004-7638.2023.04.020
摘要(452) HTML (174) PDF(14)
摘要:
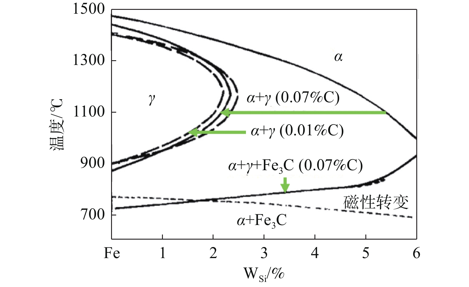
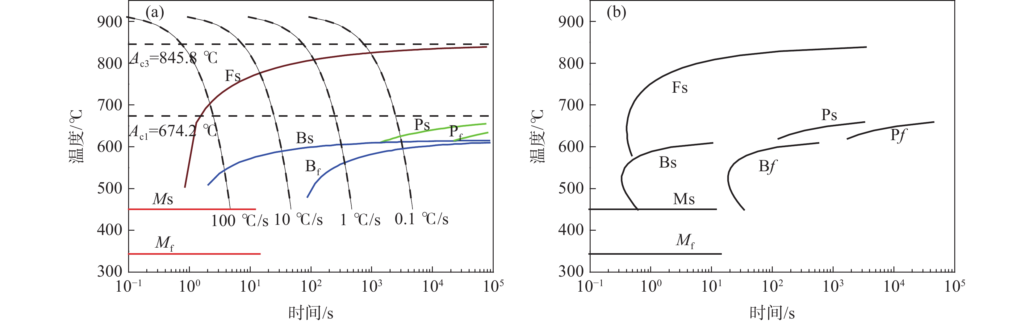
采用Gleeble3800热模拟试验机对高磁感取向硅钢铸坯进行高温拉伸和高温压缩试验,研究温度对高磁感取向硅钢的高温力学性能(抗拉强度和断面收缩率)的影响关系,同时研究了高磁感取向硅钢的热加工性能。结果表明,高磁感取向硅钢的第Ⅰ脆性区温度为熔点~1200 ℃,第Ⅲ脆性区温度为750 ℃附近,不存在第Ⅱ脆性区;750 ℃试样断裂机制为沿晶脆性,且在断口处存在Al、Si等的氧化夹杂物;当形变量和温度一定的情况下,试样随应变速率增大,变形抗力大幅提高。
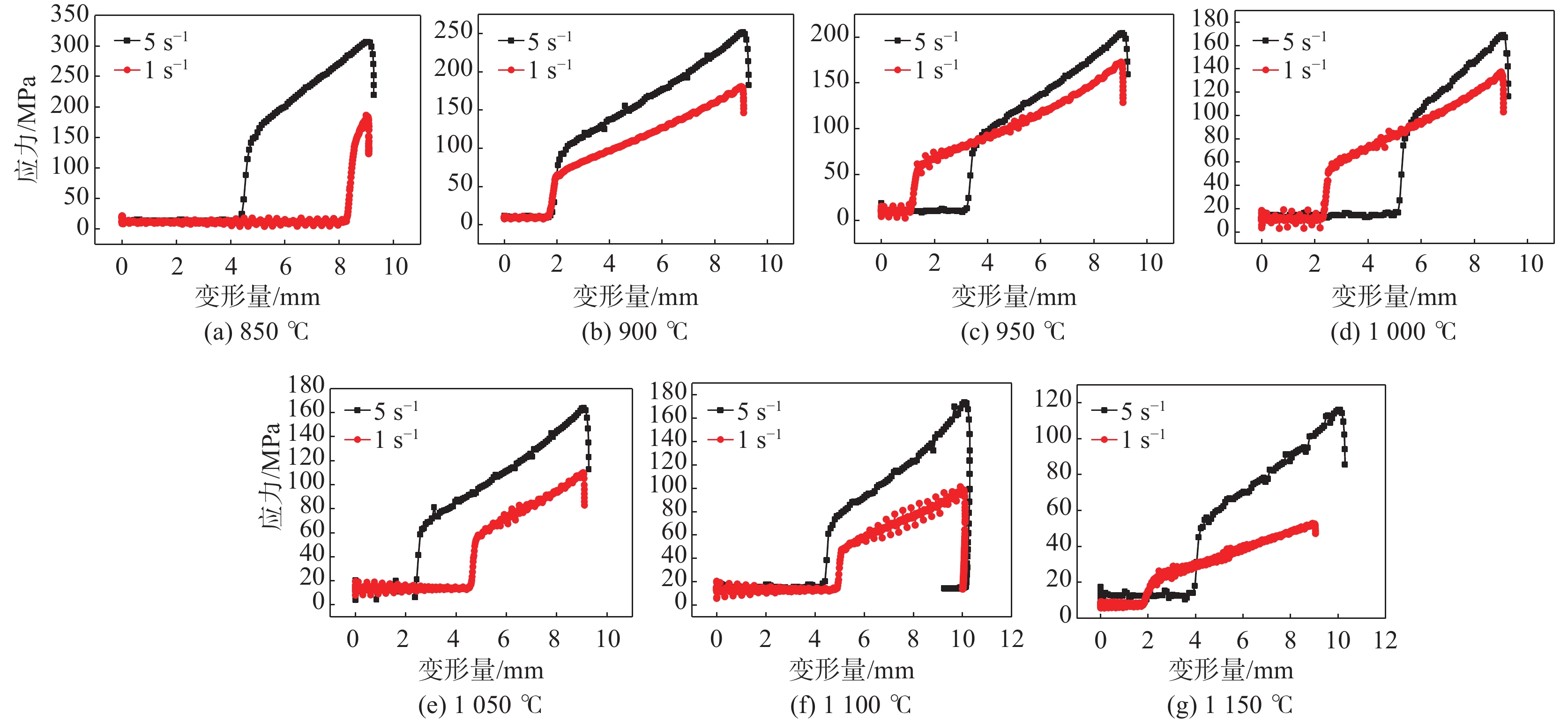
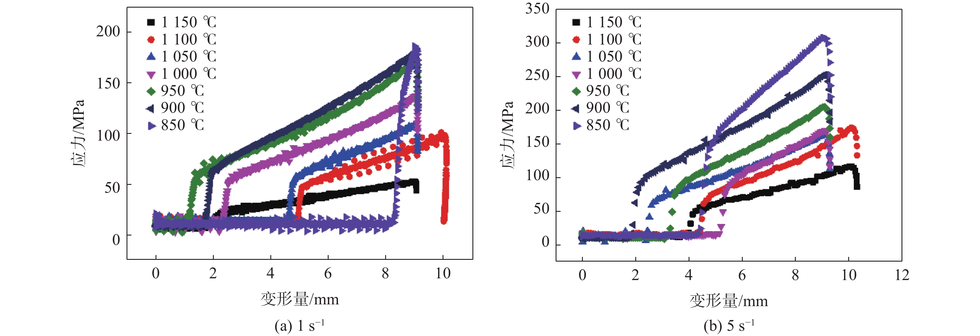
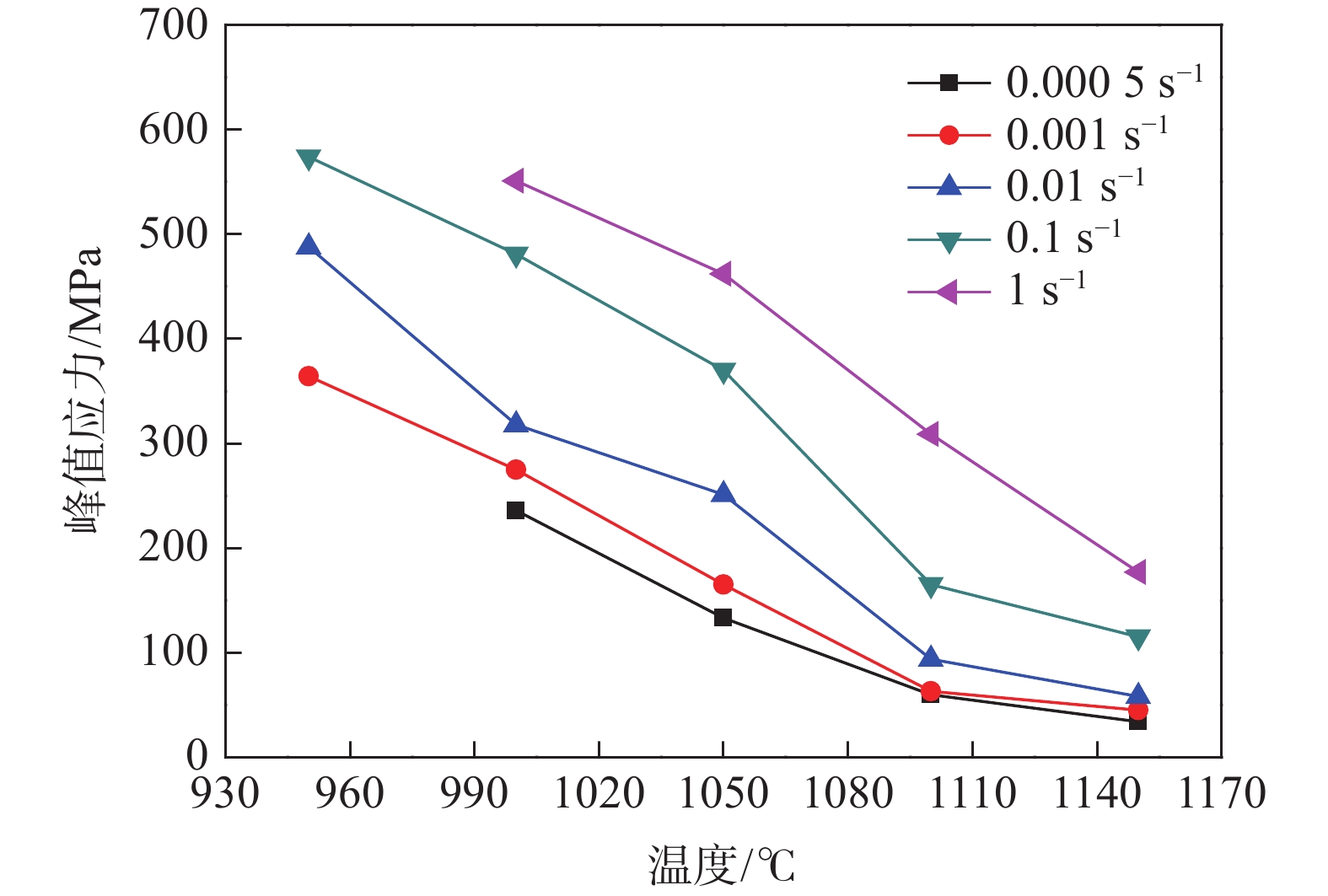
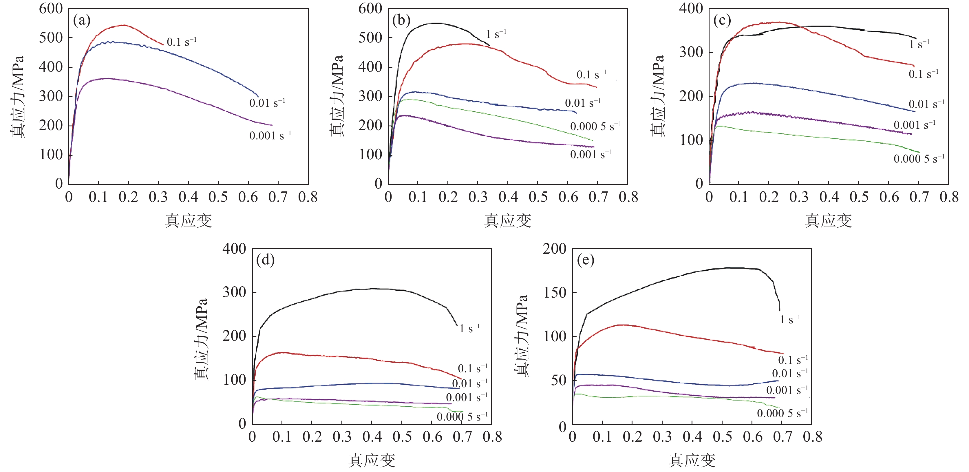
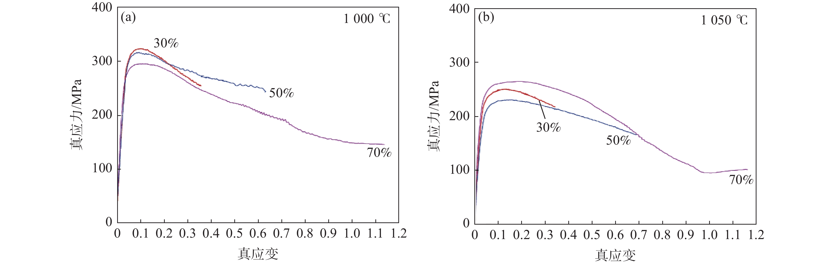
GH5188合金塑性加工过程组织演变规律研究
郭续龙, 蒋世川, 戚慧琳, 付建辉
2023, 44(4): 142-148. doi: 10.7513/j.issn.1004-7638.2023.04.021
摘要(422) HTML (124) PDF(16)
摘要:
利用Gleeble-3800热模拟试验机对GH5188高温合金进行了热变形行为及组织传递规律研究,在等温压缩试验中,获得了变形温度在980~1230 ℃,应变速率0.01~10 s−1,变形量10%~70%范围内GH5188高温合金的应力值,探究了不同温度和应变速率条件下的应力变化规律,建立了GH5188合金的本构关系模型,提出了优化的锻造工艺参数。结果表明,变形温度越高,流变应力越低,应变速率越大,流变应力越大;合金变形量不超过70%,锻造温度不超过1230 ℃,在1080~1180 ℃温度区间进行多次镦拔时,能够实现铸态组织的破碎细化;随着变形量的增加,在保温过程中合金更容易达到完全再结晶状态,且晶粒尺寸细化,然而,在持续保温过程中,晶粒尺寸则会逐渐长大。
不同钒、氮含量对Nb-V微合金化高强抗震钢筋组织和性能的影响
路洁, 苏其响, 黄吉祥, 张欢欢, 雷霆, 阴树标, 马正洪
2023, 44(4): 149-157. doi: 10.7513/j.issn.1004-7638.2023.04.022
摘要(550) HTML (135) PDF(24)
摘要:
钒和氮可有效提高Nb-V微合金化高强抗震钢筋的综合性能。采用金相显微镜、扫描电镜、透射电镜、力学试验机等对三种不同钒、氮含量的Nb-V微合金化高强抗震钢筋的显微组织进行表征和测试。结果表明,三种试验钢的最终显微组织均为铁素体+珠光体+少量贝氏体。随着试验钢中钒、氮含量增加,其铁素体晶粒尺寸减小,珠光体片层间距逐渐细化。析出相NbV(C,N)随钒、氮含量的增加,沉淀析出的第二相颗粒体积分数增大,颗粒尺寸减小。试验钢断口形貌均为韧窝断裂,随着钒、氮含量增加,其韧窝加深,口径变大。在力学性能方面,抗拉强度逐渐升高,屈服强度和硬度略微下降而后增强。
铁基材料在生物可降解血管支架领域的研究进展
许雅南, 王伟强, 杨帅康, 王轶农
2023, 44(4): 158-166. doi: 10.7513/j.issn.1004-7638.2023.04.023
摘要(936) HTML (159) PDF(72)
摘要:
铁基可降解金属材料是最有潜力替代永久性血管支架的材料之一,降解速率慢是制约其发展的主要原因。对可降解铁基血管支架材料近年来的研究进行了梳理、总结和展望,发现众多研究者通过调整其微观组织结构、表面处理、合金化、和“复合”材料设计等方式对其生物相容性、腐蚀降解行为、机械性能和磁性能等方面进行了优化,以期设计理想铁基可降解血管支架材料。然而,单一的微观组织结构调整,虽然保证了纯铁的生物相容性,但对降解性能的提升有限;通过特殊的表面处理技术,也可以提高纯铁近表区域的腐蚀速率,但是难以优化基体的腐蚀性能;合金化可以均匀地提高材料的综合性能,但是单一合金化的方式所制备的合金和理想血管支架的性能要求仍然有差距。认为在合金化的基础上进行“复合”材料设计,可以更好地优化材料的综合性能。
汽车底盘用高强度复相钢HR680/800CP的开发与应用
谭大庆, 周莉, 贾国翔, 曹晓恩, 文才君, 薛仁杰
2023, 44(4): 167-172. doi: 10.7513/j.issn.1004-7638.2023.04.024
摘要(437) HTML (139) PDF(14)
摘要:
顺应汽车轻量化发展需求,综合考虑汽车底盘结构件成型工艺特点,采用低C-Si-Mn-Nb-Ti-Mo复合成分体系设计实现良好焊接性能、第二相析出强化效果及促进中温贝氏体相变。通过理论计算制定热轧控轧控冷工艺,按照精轧终轧温度890 ℃、卷取温度570 ℃及前段3/4层流冷却模式,实现奥氏体区轧制稳定性、主要发生贝氏体相变,成功开发了铁素体/贝氏体为主、屈服强度769 MPa、抗拉强度840 MPa、延伸率17.92%、扩孔率高达110%、具有良好凸缘翻边和扩孔性能的高强度复相钢HR680/800CP,并成功应用于某车型底盘控制臂和新能源电池包支架。
镍基高温合金GH4065A的热变形行为及组织演变规律研究
税烺, 付建辉
2023, 44(4): 173-182. doi: 10.7513/j.issn.1004-7638.2023.04.025
摘要(504) HTML (156) PDF(33)
摘要:
运用热力压缩试验设备对取自工业三联工艺(VIM+ESR+VAR)铸锭并完成均匀化的GH4065A样品进行试验。结果揭示了热加工工艺参数变形温度、应变速率和工程应变量对GH4065A流变应力的影响,并通过试验数据建立起GH4065A 50%工程应变量下的本构方程。在此基础上,通过试验数据绘制了GH4065A的热加工图和失稳判据图,明确了其稳定变形的加工区间。通过对变形组织演变规律的研究,明确了γ’相析出范围、未再结晶工艺条件、部分再结晶工艺条件、完全再结晶工艺条件,并绘制了GH4065A的再结晶图。
中碳车轮钢中MnS-Al2O3复合夹杂物的研究
丁小明, 李涛, 郭晓培, 庄欠玉, 刘恺
2023, 44(4): 183-189. doi: 10.7513/j.issn.1004-7638.2023.04.026
摘要(333) HTML (196) PDF(22)
摘要:
高速车轮钢中的MnS-Al2O3复合夹杂物能够降低Al2O3夹杂物对于车轮钢疲劳性能的危害。通过检测实验室制备的车轮钢,确定了车轮钢中存在MnS夹杂物、Al2O3夹杂物和MnS-Al2O3复合夹杂物。采用酸溶法提取Al2O3夹杂物,根据XRD检测结果确定钢中Al2O3夹杂物的晶体类型为α-Al2O3。通过非水溶液电解法提取了钢中的复合夹杂物,并检测MnS-Al2O3复合夹杂物的形貌。根据钢的成分进行热力学计算,分析试验钢的固相线和液相线温度和夹杂物析出温度的关系,表明车轮钢中Al2O3夹杂物能够为MnS的析出提供形核条件。最后,通过计算MnS-Al2O3复合夹杂物界面两相的晶面错配度,说明了MnS的(100)面在Al2O3 (0001)面上可以有效形核析出。这为钢中形成MnS-Al2O3复合夹杂物,降低Al2O3夹杂物危害提供了一定的理论基础。
钒微合金化汽车用铸造镁合金的组织与性能
高亚男, 郑镭, 张全逾
2023, 44(4): 190-195. doi: 10.7513/j.issn.1004-7638.2023.04.027
摘要(314) HTML (107) PDF(10)
摘要:
为了研究钒微合金化汽车用铸造镁合金的显微组织、耐磨损性能和耐腐蚀性能,在铸造Mg-9Al-1Zn镁合金中添加了不同含量的合金元素钒,并进行了试验合金显微组织、力学性能、耐磨损性能和耐腐蚀性能的测试与对比分析。结果表明,合金元素钒可以有效细化合金内部组织,提高合金的耐磨损性能和耐腐蚀性能。随钒含量由0逐渐增加到0.4%时,试验合金的耐磨损性能和耐腐蚀性能均提高,进一步将钒含量增加到0.5%,则两种性能均开始下降。同不含钒的Mg-9Al-1Zn镁合金相比,当在Mg-9Al-1Zn镁合金中添加0.4%合金元素钒时,合金的磨损体积减小了12.7×10−3 mm3,减小幅度达29.8%;腐蚀电位正移了0.107 V,正移幅度达到12.2%;抗拉强度、屈服强度和断后伸长率分别增大58、58 MPa、3.3%,增大幅度分别为20.9%、36.0%、40.2%。Mg-9Al-1Zn-V镁合金的合金元素钒含量优选为0.4%。
基于机器学习的0Cr17Ni4Cu4Nb不锈钢流变应力预测研究
赵礼栋, 张又铭, 张继林, 窦建明, 姚家宝
2023, 44(4): 196-204. doi: 10.7513/j.issn.1004-7638.2023.04.028
摘要(344) HTML (140) PDF(8)
摘要:
以0Cr17Ni4Cu4Nb不锈钢为例,提出一种基于粒子群优化BP神经网络预测流变应力的新模型。以常温下的准静态(0.001 s−1)压缩试验数据、四种温度(25、350、500、300 ℃)和六种应变率(750、1500、2 000、2600、3500、4500 s−1)的冲击试验数据为基础,构建了 0Cr17Ni4Cu4Nb不锈钢流变应力的随机森林预测模型、粒子群优化随机森林预测模型、Back Propagation(BP)神经网络预测模型以及粒子群优化BP神经网络预测模型,采用统计学的决定系数(R2)、平均绝对误差(MAE)、均方差(MSE)和均方误差平方根(RMSE)四个指标分析评价上述四种模型,得出四种模型预测的综合性能依次是粒子群优化BP神经网络模型、BP神经网络模型、粒子群优化随机森林模型、随机森林模型。粒子群优化BP神经网络模型决定系数R2=0.9997、平均绝对误差MAE=1.5773、均方差MSE=5.5053和均方误差平方根RMSE=2.3463,该模型能够很好预测 0Cr17Ni4Cu4Nb不锈钢流变应力。