中文核心期刊

SCOPUS 数据库收录期刊

中国科技核心期刊

美国《化学文摘》来源期刊

中国优秀冶金期刊

美国EBSCO数据库收录期刊

RCCSE中国核心学术期刊

美国《剑桥科学文摘》来源期刊

中国应用核心期刊(CACJ)

美国《乌利希期刊指南》收录期刊

中国学术期刊综合评价统计源刊

俄罗斯《文摘杂志》来源期刊

优秀中文科技期刊(西牛计划)

日本《科学技术文献数据库》(JST)收录刊

留言板

尊敬的读者、作者、审稿人, 关于本刊的投稿、审稿、编辑和出版的任何问题, 您可以本页添加留言。我们将尽快给您答复。谢谢您的支持!

姓名
邮箱
手机号码
标题
留言内容
验证码

汽车底盘用高强度复相钢HR680/800CP的开发与应用

谭大庆 周莉 贾国翔 曹晓恩 文才君 薛仁杰

谭大庆, 周莉, 贾国翔, 曹晓恩, 文才君, 薛仁杰. 汽车底盘用高强度复相钢HR680/800CP的开发与应用[J]. 钢铁钒钛, 2023, 44(4): 167-172. doi: 10.7513/j.issn.1004-7638.2023.04.024
引用本文: 谭大庆, 周莉, 贾国翔, 曹晓恩, 文才君, 薛仁杰. 汽车底盘用高强度复相钢HR680/800CP的开发与应用[J]. 钢铁钒钛, 2023, 44(4): 167-172. doi: 10.7513/j.issn.1004-7638.2023.04.024
Tan Daqing, Zhou Li, Jia Guoxiang, Cao Xiao’en, Wen Caijun, Xue Renjie. Development and application of high strength complex phase steel HR680/800CP for automobile chassis[J]. IRON STEEL VANADIUM TITANIUM, 2023, 44(4): 167-172. doi: 10.7513/j.issn.1004-7638.2023.04.024
Citation: Tan Daqing, Zhou Li, Jia Guoxiang, Cao Xiao’en, Wen Caijun, Xue Renjie. Development and application of high strength complex phase steel HR680/800CP for automobile chassis[J]. IRON STEEL VANADIUM TITANIUM, 2023, 44(4): 167-172. doi: 10.7513/j.issn.1004-7638.2023.04.024

汽车底盘用高强度复相钢HR680/800CP的开发与应用

doi: 10.7513/j.issn.1004-7638.2023.04.024
基金项目: 重庆市教委科学技术研究项目(KJQN202103211)。
详细信息
    作者简介:

    谭大庆,1984年出生,男,重庆永川人,副教授,主要从事高品质钢铁材料研发、精密模具设计与制造,E-mail:tandaqing1984@163.com

    通讯作者:

    贾国翔,1987年出生,男,河北邯郸人,工程师,硕士,主要从事汽车板冶炼工艺研究,E-mail:847902215@qq.com

  • 中图分类号: TF76

Development and application of high strength complex phase steel HR680/800CP for automobile chassis

  • 摘要: 顺应汽车轻量化发展需求,综合考虑汽车底盘结构件成型工艺特点,采用低C-Si-Mn-Nb-Ti-Mo复合成分体系设计实现良好焊接性能、第二相析出强化效果及促进中温贝氏体相变。通过理论计算制定热轧控轧控冷工艺,按照精轧终轧温度890 ℃、卷取温度570 ℃及前段3/4层流冷却模式,实现奥氏体区轧制稳定性、主要发生贝氏体相变,成功开发了铁素体/贝氏体为主、屈服强度769 MPa、抗拉强度840 MPa、延伸率17.92%、扩孔率高达110%、具有良好凸缘翻边和扩孔性能的高强度复相钢HR680/800CP,并成功应用于某车型底盘控制臂和新能源电池包支架。
  • 图  1  铸坯挡风墙集中堆垛缓冷

    Figure  1.  Concentrated stacking and slow cooling of slab in windshield wall

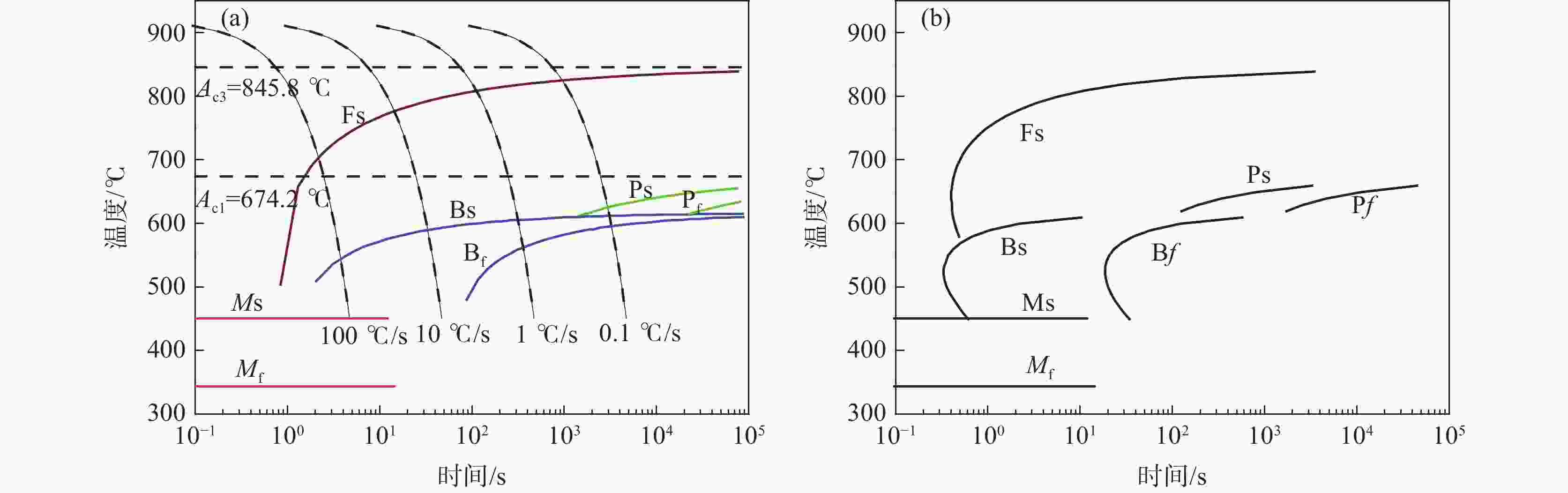
    图  2  CCT和TTT曲线

    Figure  2.  CCT&TTT curves

    图  3  热轧终轧温度(FDT)和卷取温度(CT)控制情况

    Figure  3.  FDT and CT control of hot rolling process

    图  4  HR680/800CP显微组织

    Figure  4.  Microstructure of developed HR680/800CP

    图  5  HR680/800CP试验钢Z/Y/Z方向的IPF图

    (a) IPF-Z; (b) IPF-Y; (c) IPF-X

    Figure  5.  IPF diagram of developed HR680/800CP in Z/Y/Z direction

    图  6  晶粒取向误差的分布

    Figure  6.  Distribution for misorientation of grain boundaries

    图  7  HR680/800CP应用零件

    Figure  7.  Application parts of HR680/800CP (a) Control arm, (b) battery pack bracket

    表  1  HR680/800CP典型化学成分

    Table  1.   Typical chemical composition of HR680/800CP %

    CSiMnPSAlsAlNbTiMoN
    0.070.131.680.0110.0010.0290.0300.0490.110.110.0030
    下载: 导出CSV

    表  2  热轧工艺典型关键参数

    Table  2.   Key parameters of hot rolling process

    加热温
    度/ ℃
    在炉时
    间/min
    粗轧道次

    R1+R2
    中间坯
    厚度/mm
    R2出口
    温度/ ℃
    精轧入口
    温度/ ℃
    终轧温度
    均值/ ℃
    卷取温度
    均值/ ℃
    层流冷却
    方式
    凸度平均
    值/μm
    12602093+54410801042888574前段3/4
    冷却
    40
    下载: 导出CSV

    表  3  HR680/800CP力学性能

    Table  3.   Mechanical properties of developed HR680/800CP

    项目屈服强度Rp0.2/MPa抗拉强度Rm/MPa断后伸长率A/%扩孔率λ/%
    标准要求680~830800~980≥11未要求
    实测76984017.92110
    注:轧向 L0=80 mm,b0=20 mm标样。
    下载: 导出CSV
  • [1] 王卫卫. 冷轧高强钢连退工艺对组织和性能的影响及强塑化机理研究[D]. 北京: 钢铁研究总院, 2021.

    Wang Weiwei. Effect of continuous annealing process on microstructure-properties and study on strength plasticization mechanism of cold rolled high strength steel[D]. Beijing: General Iron and Steel Research Institute, 2021.
    [2] 李佳彧. 汽车用980 MPa级双相钢退火及热镀锌工艺研究[D]. 沈阳: 东北大学, 2018.

    Li Jiayu. A study of the annealing and the hot-dip galvanizing process of 980 MPa DP steel for automobile[D]. Shenyang: Northeastern University, 2018.
    [3] Cao Xiao, en, Zhao Hongqi, Li Shouhua, et al. Cause analysis and process optimization of edge crack for 980 MPa cold rolled ultra high strength dual-phase steel[J]. China Metallurgy, 2022,32(9):90−96. (曹晓恩, 赵红旗, 李守华, 等. 980 MPa级冷轧超高强度双相钢边裂原因分析与工艺优化[J]. 中国冶金, 2022,32(9):90−96.

    Cao Xiao, en, Zhao Hongqi, Li Shouhua, et al. Cause analysis and process optimization of edge crack for 980 MPa cold rolled ultra high strength dual-phase steel[J]. China Metallurgy, 2022, 32(9): 90-96.
    [4] 唐荻, 赵征志, 米振莉, 等. 汽车用先进高强板带钢[M]. 北京: 冶金工业出版社, 2016.

    Tang Di, Zhao Zhengzhi, Mi Zhenli, et al. Advanced high strength strip steel for automobile[M]. Beijing: Metallurgical Industry Press, 2016.
    [5] Zhao Yan, Cai Xiaohui, Liu Zhenyu. Effects of continuous annealing parameters on microstructure and mechanical properties of 980 MPa cold-rolled dual-phase steel[J]. Journal of Iron and Steel Research, 2015,27(2):55−59. (赵岩, 蔡晓辉, 刘振宇. 连续退火参数对980 MPa级冷轧双相钢组织和性能的影响[J]. 钢铁研究学报, 2015,27(2):55−59.

    Zhao Yan, Cai Xiaohui, Liu Zhenyu. Effects of continuous annealing parameters on microstructure and mechanical properties of 980 MPa cold-rolled dual-phase steel[J]. Journal of Iron and Steel Research, 2015, 27(2): 55-59.
    [6] Kang Yonglin. Light weight vehicle, advanced high strength steel and energy-saving and emission reduction[J]. Iron and Steel, 2008,43(6):1−7. (康永林. 汽车轻量化先进高强钢与节能减排[J]. 钢铁, 2008,43(6):1−7. doi: 10.3321/j.issn:0449-749X.2008.06.001

    Kang Yonglin. Light weight vehicle, advanced high strength steel and energy-saving and emission reduction[J]. Iron and Steel, 2008, 43(6): 1-7. doi: 10.3321/j.issn:0449-749X.2008.06.001
    [7] Gao Yun, Shao Lixin. Optimization of heat treatment process for automobile high strength steel[J]. Hot Working Technology, 2016,45(14):204−207. (高云, 邵立新. 汽车高强钢的热处理工艺优化研究[J]. 热加工工艺, 2016,45(14):204−207. doi: 10.14158/j.cnki.1001-3814.2016.14.060

    Gao Yun, Shao Lixin. Optimization of heat treatment process for automobile high strength steel[J]. Hot Working Technology, 2016, 45(14): 204-207. doi: 10.14158/j.cnki.1001-3814.2016.14.060
    [8] Sun Hang, Chu Xiaohong, Tang Mengxia, et al. Microstructure and properties analysis of 1500 MPa grade high elongation dual phase steel[J]. China Metallurgy, 2022,32(4):47−53. (孙航, 褚晓红, 唐梦霞, 等. 1500 MPa级高伸长率双相钢的组织性能分析[J]. 中国冶金, 2022,32(4):47−53.

    Sun Hang, Chu Xiaohong, Tang Mengxia, et al. Microstructure and properties analysis of 1500 MPa grade high elongation dual phase steel[J]. China Metallurgy, 2022, 32(4): 47-53.
    [9] 中华人民共和国国家质量监督检验检疫总局, 中国国家标准化管理委员会. GB/T 20887.6-2017. 汽车用高强度热连轧钢板及钢带 第6部分: 复相钢[S]. 北京: 中国标准出版社, 2017.

    General Administration of Quality Supervision, Inspection and Quarantine of the People's Republic of China, Standardization Administration of China. GB/T 20887. 6-2017. Continuously hot rolled high strength steel sheet and strip for automobile-part 6: Complex phase steel[S]. Beijing: Standards Press of China, 2017.
    [10] Gao Yongxu, Wang Shuize, Chu Xiaohong, et al. Effect of annealing process on microstructure and properties of Nb-V microalloyed dual phase steel[J]. China Metallurgy, 2022,32(10):52−60. (高永旭, 汪水泽, 褚晓红, 等. 退火工艺对Nb-V微合金化双相钢组织性能的影响[J]. 中国冶金, 2022,32(10):52−60. doi: 10.13228/j.boyuan.issn1006-9356.20220342

    Gao Yongxu, Wang Shuize, Chu Xiaohong, et al. Effect of annealing process on microstructure and properties of Nb-V microalloyed dual phase steel[J]. China Metallurgy, 2022, 32(10): 52-60. doi: 10.13228/j.boyuan.issn1006-9356.20220342
    [11] Zhao Y, Yang D, Qin Z, et al. A novel hot stamping steel with superior mechanical properties and antioxidant properties[J]. Journal of Materials Research and Technology, 2022, 21: 1944−1959.
    [12] 王新华. 钢铁冶金(炼钢学)[M]. 北京: 高等教育出版社, 2007.

    Wang Xinhua. Iron and steel metallurgy ( steelmaking )[M]. Beijing: High Education Press, 2007.
    [13] Li Shouhua, Cao Xiao, en, Zhao Linlin, et al. Study on hot ductility of slab of 1180 MPa grade F/M high strength dual phase steel for automobile[J]. Iron Steel Vanadium Titanium, 2019,40(1):123−128. (李守华, 曹晓恩, 赵林林, 等. 汽车用1180 MPa级F/M高强双相钢板坯高温热塑性研究[J]. 钢铁钒钛, 2019,40(1):123−128. doi: 10.7513/j.issn.1004-7638.2019.01.022

    Li Shouhua, Cao Xiao, en, Zhao Linlin, et al. Study on hot ductility of slab of 1180 MPa grade F/M high strength dual phase steel for automobile[J]. Iron Steel Vanadium Titanium, 2019, 40(1): 123-128. doi: 10.7513/j.issn.1004-7638.2019.01.022
    [14] 杨来山. 低成本FB钢热轧工艺和延伸凸缘性能的研究[D]. 沈阳: 东北大学, 2015.

    Yang Laishan. The study of hot rolling process and stretch-flangeability on FB steels[D]. Shenyang: Northeastern University, 2015.
    [15] 李超飞. DP980双相钢通卷性能稳定性控制技术研究及应用[D]. 沈阳: 东北大学, 2019.

    Li Chaofei. Research and application of longitudinal performance uniformity control technology for DP980 dual phase steels[D]. Shenyang: Northeastern University, 2019.
  • 加载中
图(7) / 表(3)
计量
  • 文章访问数:  430
  • HTML全文浏览量:  136
  • PDF下载量:  14
  • 被引次数: 0
出版历程
  • 收稿日期:  2022-11-17
  • 刊出日期:  2023-08-30

目录

    /

    返回文章
    返回