中文核心期刊

SCOPUS 数据库收录期刊

中国科技核心期刊

美国《化学文摘》来源期刊

中国优秀冶金期刊

美国EBSCO数据库收录期刊

RCCSE中国核心学术期刊

美国《剑桥科学文摘》来源期刊

中国应用核心期刊(CACJ)

美国《乌利希期刊指南》收录期刊

中国学术期刊综合评价统计源刊

俄罗斯《文摘杂志》来源期刊

优秀中文科技期刊(西牛计划)

日本《科学技术文献数据库》(JST)收录刊

留言板

尊敬的读者、作者、审稿人, 关于本刊的投稿、审稿、编辑和出版的任何问题, 您可以本页添加留言。我们将尽快给您答复。谢谢您的支持!

姓名
邮箱
手机号码
标题
留言内容
验证码

电磁连铸过程FTSR结晶器多相传输行为的研究

许琳 裴群武 李阳 韩泽峰 杨硕 王建宇

许琳, 裴群武, 李阳, 韩泽峰, 杨硕, 王建宇. 电磁连铸过程FTSR结晶器多相传输行为的研究[J]. 钢铁钒钛, 2023, 44(4): 125-134. doi: 10.7513/j.issn.1004-7638.2023.04.019
引用本文: 许琳, 裴群武, 李阳, 韩泽峰, 杨硕, 王建宇. 电磁连铸过程FTSR结晶器多相传输行为的研究[J]. 钢铁钒钛, 2023, 44(4): 125-134. doi: 10.7513/j.issn.1004-7638.2023.04.019
Xu Lin, Pei Qunwu, Li Yang, Han Zefeng, Yang Shuo, Wang Jianyu. Investigation of multiphase transport behaviors in a FTSR mold during electromagnetic continuous casting process[J]. IRON STEEL VANADIUM TITANIUM, 2023, 44(4): 125-134. doi: 10.7513/j.issn.1004-7638.2023.04.019
Citation: Xu Lin, Pei Qunwu, Li Yang, Han Zefeng, Yang Shuo, Wang Jianyu. Investigation of multiphase transport behaviors in a FTSR mold during electromagnetic continuous casting process[J]. IRON STEEL VANADIUM TITANIUM, 2023, 44(4): 125-134. doi: 10.7513/j.issn.1004-7638.2023.04.019

电磁连铸过程FTSR结晶器多相传输行为的研究

doi: 10.7513/j.issn.1004-7638.2023.04.019
基金项目: 国家自然科学基金项目(51906163);辽宁省博士科研启动基金项目(2022-BS-224);辽宁省教育厅科研项目(LJKQZ20222282)。
详细信息
    作者简介:

    许琳,1989年出生,女,黑龙江嫩江人,博士研究生,讲师,通讯作者,主要工作方向为电磁流体力学,E-mail:lin_xu1989@163.com

    通讯作者:

    许琳,1989年出生,女,黑龙江嫩江人,博士研究生,讲师,通讯作者,主要工作方向为电磁流体力学,E-mail:lin_xu1989@163.com

  • 中图分类号: TF777.1

Investigation of multiphase transport behaviors in a FTSR mold during electromagnetic continuous casting process

  • 摘要: 为研究薄板坯连铸全幅一段电磁制动冶金效果,以漏斗形FTSR结晶器为研究对象,利用建立的三维多场数学模型,模拟全幅一段电磁制动作用下电磁参数变化对FTSR结晶器钢液流动、传热凝固及夹杂物迁移行为的影响。结果表明,施加全幅一段电磁制动后,结晶器内钢液温度分布的均匀性提高,钢液流股对熔池的穿透深度减小,这不仅利于下回流钢液夹带的夹杂物上浮去除,还促使上回流钢液将热量输送到弯月面区,避免弯月面处熔渣凝固而形成渣圈。此外,通过适当增加磁感应强度,可降低钢液表面流速,控制上吐出孔处液面波动。当磁感应强度达到0.3 T时,钢液表面最大流速降低至0.27 m/s,上吐出孔处液面峰值降低至7.3 mm。
  • 图  1  结晶器内夹杂物迁移过程示意

    Figure  1.  Schematic diagram of inclusion transport process in the mold

    图  2  FTSR结晶器漏斗区内坯壳表面速度分布示意

    Figure  2.  Schematic distribution of shell surface velocity on the funnel region of FTSR mold

    图  3  全幅一段电磁制动装置结构示意

    Figure  3.  Schematic diagram of Ruler-EMBr

    图  4  FTSR结晶器计算区域及网格划分示意

    Figure  4.  Computational domain and mesh of the FTSR mold

    图  5  浸入式水口结构示意

    Figure  5.  Schematic diagram of submerged entry nozzle

    图  6  数值计算与物理试验获得的凝固坯壳厚度分布比较

    Figure  6.  Comparison between the predicted shell thickness and experimental measurements

    图  7  FTSR结晶器内磁感应强度、电流密度和电磁力分布

    Figure  7.  Distribution of magnetic flux density, induced current density and electromagnetic force in the FTSR mold

    图  8  不同磁感应强度下FTSR结晶器内钢液流动与温度分布

    Figure  8.  Velocity and temperature distribution of molten steel in the FTSR mold with various magnetic flux densities

    图  9  不同磁感应强度下FTSR结晶器内表面流速分布

    Figure  9.  Profile of surface velocity in the FTSR mold with various magnetic flux densities

    图  10  不同磁感应强度下FTSR结晶器内液面波动分布

    Figure  10.  Profiles of level fluctuation in the FTSR mold with various magnetic flux densities

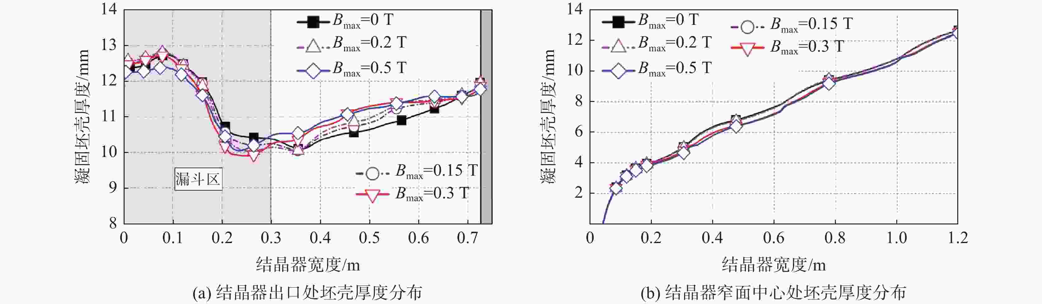
    图  11  不同磁感应强度下FTSR结晶器内坯壳厚度分布

    Figure  11.  Thickness distribution of solidified shell in the FTSR mold with various magnetic flux densities

    图  12  不同磁感应强度下FTSR结晶器自由液面上夹杂物分布

    Figure  12.  Inclusions distribution on the free surface in the FTSR mold with various magnetic flux densities

    表  1  FTSR结晶器计算参数

    Table  1.   Computational parameters of FTSR mold

    结晶器尺寸/
    mm × mm
    结晶器长度/mm结晶器计算域/mm漏斗最大
    开度/mm
    漏斗区长度/mm水口浸入深度/mm拉坯速度/(m∙min‒1)
    1500 × 701200400016512002254.5
    钢液密度/(kg∙m‒3)钢液黏度/(Pa∙s)钢液电导率/(S∙m‒1)磁感应强度/T固相线温度/K液相线温度/K过热度/K
    70200.00627.14 × 1050.15、0.2、0.3、0.517631 80325
    导热系数/(W∙m‒1∙K‒1)比热容/(J∙kg‒1∙K‒1)凝固潜热/(kJ∙kg‒1)热扩散系数/K‒1夹杂物比热容/(J∙kg‒1∙K‒1)夹杂物密度/(kg∙m‒3)夹杂物粒径/μm
    27[3]700[3]272[3]0.0001[25]8605000[24]50
    下载: 导出CSV

    表  2  FTSR结晶器不同网格节点数的误差统计结果

    Table  2.   Statistic results of error with different grid node numbers in the FTSR mold

    网格网格节点数$ {{{T}}_{{{{M}}_{{i}}}}} $/mm$ {\delta _{{T}}} = {{\left| {{{{T}}_{{{{M}}_{{i}}}}} - {{{T}}_{{{{M}}_1}}}} \right|} \mathord{\left/ {\vphantom {{\left| {{{\text{T}}_{{{\text{M}}_{\text{i}}}}} - {{\text{T}}_{{{\text{M}}_1}}}} \right|} {{{\text{T}}_{{{\text{M}}_1}}}}}} \right. } {{{{T}}_{{{{M}}_1}}}}} $
    M1540,00012.640
    M2860,00012.560.63%
    M31300,00012.511.03%
    下载: 导出CSV
  • [1] Yang Yadi, Zhao Jing, Cui Jianzheng. Numerical simulation on interfacial behavior and mixing phenomena in three-phase argon-stirred ladles[J]. Iron Steel Vanadium Titanium, 2021,42(5):138−148. (杨亚迪, 赵晶, 崔剑征. 三相氩气搅拌钢包内界面行为及混合现象的数值模拟[J]. 钢铁钒钛, 2021,42(5):138−148. doi: 10.7513/j.issn.1004-7638.2021.05.022

    Yang Yadi, Zhao Jing, Cui Jianzheng. Numerical simulation on interfacial behavior and mixing phenomena in three-phase argon-stirred ladles[J]. Iron Steel Vanadium Titanium, 2021, 42(5): 138-148. doi: 10.7513/j.issn.1004-7638.2021.05.022
    [2] Vakhrushev A, Wu M, Ludwig A, et al. Numerical investigation of shell formation in thin slab casting of funnel-type mold[J]. Metall. Mater. Trans. B, 2014,45(3):1024−1037. doi: 10.1007/s11663-014-0030-2
    [3] Liu H, Yang C, Zhang H, et al. Numerical simulation of fluid flow and thermal characteristics of thin slab in the funnel-type molds of two casters[J]. ISIJ Int., 2011,51(3):392−401. doi: 10.2355/isijinternational.51.392
    [4] Zhang L S, Zhang X F, Wang B, et al. Numerical analysis of the influences of operational parameters on the braking effect of EMBr in a CSP funnel-type mold[J]. Metall. Mater. Trans. B, 2014,45(1):295−306. doi: 10.1007/s11663-013-9948-z
    [5] Tian X Y, Li B W, He J C. Electromagnetic brake effects on the funnel shape mold of a thin slab caster based on a new type magnet[J]. Metall. Mater. Trans. B, 2009,40(4):596−604. doi: 10.1007/s11663-009-9246-y
    [6] Thunman M, Eckert S, Hennig O. Study on the formation of open-eye and slag entrainment in gas stirred ladle[J]. Steel Res. Int., 2007,78(12):849−856. doi: 10.1002/srin.200706297
    [7] Hwang Y S, Cha P R, Nam H S, et al. Numerical analysis of the influences of operational parameters on the fluid flow and meniscus shape in slab caster with EMBr[J]. ISIJ Int., 1997,37(7):659−667. doi: 10.2355/isijinternational.37.659
    [8] Zhu Miaoyong, Cai Zhaozhen. Heat transfer behavior and homogenous solidification control for high-speed continuous casting slab mold[J]. Chinese Journal of Engineering, 2022,44(4):703−711. (朱苗勇, 蔡兆镇. 高速连铸结晶器内凝固传热行为及其均匀性控制[J]. 工程科学学报, 2022,44(4):703−711. doi: 10.3321/j.issn.1001-053X.2022.4.bjkjdxxb202204021

    Zhu Miaoyong, Cai Zhaozhen. Heat transfer behavior and homogenous solidification control for high-speed continuous casting slab mold[J]. Chinese Journal of Engineering, 2022, 44(4): 703-711. doi: 10.3321/j.issn.1001-053X.2022.4.bjkjdxxb202204021
    [9] Zhu Miaoyong. Some considerations for new generation of high-efficiency continuous casting technology development[J]. Iron and Steel, 2019,54(8):21−36. (朱苗勇. 新一代高效连铸技术发展思考[J]. 钢铁, 2019,54(8):21−36. doi: 10.13228/j.boyuan.issn0449-749x.20190213

    Zhu Miaoyong. Some considerations for new generation of high-efficiency continuous casting technology development[J]. Iron and steel, 2019, 54(8): 21-36. doi: 10.13228/j.boyuan.issn0449-749x.20190213
    [10] Liu Z, Vakhrushev A, Wu M, et al. Effect of an electrically-conducting wall on transient magnetohydrodynamic flow in a continuous-casting mold with an electromagnetic brake[J]. Metals, 2018,8(8):609−623. doi: 10.3390/met8080609
    [11] Schurmann D, Glavinic´ I, Willers B, et al. Impact of the electromagnetic brake position on the flow structure in a slab continuous casting mold: An experimental parameter study[J]. Metall. Mater. Trans. B, 2020,51(1):61−78. doi: 10.1007/s11663-019-01721-x
    [12] Wang Y F, Zhang L F. Fluid flow-related transport phenomena in steel slab continuous casting strands under electromagnetic brake[J]. Metall. Mater. Trans. B, 2011,42(6):1319−1351. doi: 10.1007/s11663-011-9554-x
    [13] Jin K, Vanka S P, Thomas B G. Large eddy simulations of the effects of EMBr and SEN submergence depth on turbulent flow in the mold region of a steel caster[J]. Metall. Mater. Trans. B, 2017,48(1):162−178. doi: 10.1007/s11663-016-0801-z
    [14] Sarkar S, Singh V, Ajmani S K, et al. Effect of double ruler magnetic field in controlling meniscus flow and turbulence intensity distribution in continuous slab casting mold[J]. ISIJ Int., 2016,56(12):2181−2190. doi: 10.2355/isijinternational.ISIJINT-2016-313
    [15] Thomas B G, Singh R, Vanka S P, et al. Effect of single-ruler electromagnetic braking (EMBr) location on transient flow in continuous casting[J]. JMSP, 2015,15(1):93−104.
    [16] Yin Y B, Zhang J M. Mathematical modeling on transient multiphase flow and slag entrainment in continuously casting mold with double-ruler EMBr through LES+VOF+DPM method[J]. ISIJ Int., 2021,61(3):853−864. doi: 10.2355/isijinternational.ISIJINT-2020-592
    [17] Sarkar S, Singh V, Ajmani S K, et al. Effect of argon injection in meniscus flow and turbulence intensity distribution in continuous slab casting mold under the influence of double ruler magnetic field[J]. ISIJ Int., 2018,58(1):68−77. doi: 10.2355/isijinternational.ISIJINT-2017-448
    [18] Hernandez S G, Guzman C H G, Davila R M, et al. Modeling study of EMBr effects on the detrimental dynamic distortion phenomenon in a funnel thin slab mold[J]. Crystals, 2020,10(11):958−976. doi: 10.3390/cryst10110958
    [19] Li Z, Zhang L T, Ma D Z, et al. A narrative review: the electromagnetic field arrangement and the “braking” effect of electromagnetic brake (EMBr) technique in slab continuous casting[J]. Metall Res Technol., 2021,118(2):218−234. doi: 10.1051/metal/2021016
    [20] Cai Zhaozhen, Zhu Miaoyong. Simulation of thermal behavior during steel solidification in slab continuous casting mold[J]. Acta Metallurgica Sinica, 2011,47(6):678−687. (蔡兆镇, 朱苗勇. 板坯连铸结晶器内钢凝固过程热行为研究[J]. 金属学报, 2011,47(6):678−687.

    Cai Zhaozhen, Zhu Miaoyong. Simulation of thermal behavior during steel solidification in slab continuous casting mold[J]. Acta Metallurgica Sinica, 2011, 47(6): 678-687.
    [21] Gong Jiarui, Liu Zhongqiu, Wu Yingdong, et al. Transient movement and capture behavior of dispersed argon bubbles in continuous casting mold[J]. Journal of Iron and Steel Research, 2022,34(5):461−469. (宫佳睿, 刘中秋, 吴颖东, 等. 连铸结晶器内弥散氩气泡的瞬态运动和捕捉行为[J]. 钢铁研究学报, 2022,34(5):461−469.

    Gong Jiarui, Liu Zhongqiu, Wu Yingdong, et al. Transient movement and capture behavior of dispersed argon bubbles in continuous casting mold[J]. Journal of Iron and Steel Research, 2022, 34(5): 461-469.
    [22] Tian Guichang, Ji Chenxi, Gao Rongzheng, et al. Physical simulation of influence of mold nozzle structure on mold flux entrapment[J]. Steelmaking, 2021,37(6):38−44,58. (田贵昌, 季晨曦, 高荣正, 等. 连铸结晶器内水口结构对卷渣行为影响的物理模拟[J]. 炼钢, 2021,37(6):38−44,58.

    Tian Guichang, Ji Chenxi, Gao Rongzheng, et al. Physical simulation of influence of mold nozzle structure on mold flux entrapment[J]. Steelmaking, 2021, 37(6): 38-44, 58.
    [23] Deok K, Woo K, Kee C. Numerical simulation of the coupled turbulent flow and macroscopic solidification in continuous casting with electromagnetic brake[J]. ISIJ Int., 2000,40(7):670−676. doi: 10.2355/isijinternational.40.670
    [24] 刘中秋. 连铸结晶器内多相非均匀传递机制的多尺度模拟[D]. 沈阳: 东北大学, 2015.

    Liu Zhongqiu. Multi-scale modeling of multiphase and inhomogeneous transmission mechanisms in continuous casting mold [D]. Shenyang: Northeastern University, 2015.
    [25] Aboutalebi M, Hasan M, Guthrie R. Coupled turbulent flow, heat, and solute transport in continuous casting processes[J]. Metall. Mater. Trans. B, 1995,26(4):731−744. doi: 10.1007/BF02651719
    [26] Lait J, Brimacombe J, Weinberg F. Mathematical modeling of heat flow in the continuous casting of steel[J]. Ironmaking & Steelmaking, 1974,1(2):90−97.
    [27] Xu L, Wang E, Karcher C, et al. Numerical simulation of the effects of horizontal and vertical EMBr on jet flow and mold level fluctuation in continuous casting[J]. Metall. Mater. Trans. B, 2018,49(5):2779−2793. doi: 10.1007/s11663-018-1342-4
  • 加载中
图(12) / 表(2)
计量
  • 文章访问数:  369
  • HTML全文浏览量:  109
  • PDF下载量:  6
  • 被引次数: 0
出版历程
  • 收稿日期:  2022-11-10
  • 刊出日期:  2023-08-30

目录

    /

    返回文章
    返回