中文核心期刊

SCOPUS 数据库收录期刊

中国科技核心期刊

美国《化学文摘》来源期刊

中国优秀冶金期刊

美国EBSCO数据库收录期刊

RCCSE中国核心学术期刊

美国《剑桥科学文摘》来源期刊

中国应用核心期刊(CACJ)

美国《乌利希期刊指南》收录期刊

中国学术期刊综合评价统计源刊

俄罗斯《文摘杂志》来源期刊

优秀中文科技期刊(西牛计划)

日本《科学技术文献数据库》(JST)收录刊

留言板

尊敬的读者、作者、审稿人, 关于本刊的投稿、审稿、编辑和出版的任何问题, 您可以本页添加留言。我们将尽快给您答复。谢谢您的支持!

姓名
邮箱
手机号码
标题
留言内容
验证码

镍基高温合金GH4065A的热变形行为及组织演变规律研究

税烺 付建辉

税烺, 付建辉. 镍基高温合金GH4065A的热变形行为及组织演变规律研究[J]. 钢铁钒钛, 2023, 44(4): 173-182. doi: 10.7513/j.issn.1004-7638.2023.04.025
引用本文: 税烺, 付建辉. 镍基高温合金GH4065A的热变形行为及组织演变规律研究[J]. 钢铁钒钛, 2023, 44(4): 173-182. doi: 10.7513/j.issn.1004-7638.2023.04.025
Shui Lang, Fu Jianhui. Study on deformation behavior and microstructure evolution at elevated temperatures of nickel based superalloy GH4065A[J]. IRON STEEL VANADIUM TITANIUM, 2023, 44(4): 173-182. doi: 10.7513/j.issn.1004-7638.2023.04.025
Citation: Shui Lang, Fu Jianhui. Study on deformation behavior and microstructure evolution at elevated temperatures of nickel based superalloy GH4065A[J]. IRON STEEL VANADIUM TITANIUM, 2023, 44(4): 173-182. doi: 10.7513/j.issn.1004-7638.2023.04.025

镍基高温合金GH4065A的热变形行为及组织演变规律研究

doi: 10.7513/j.issn.1004-7638.2023.04.025
详细信息
    作者简介:

    税烺,1987年出生,男,博士,高级工程师,主要从事高温合金材料研究,E-mail:ustb1234@126.com

  • 中图分类号: TG146.1

Study on deformation behavior and microstructure evolution at elevated temperatures of nickel based superalloy GH4065A

  • 摘要: 运用热力压缩试验设备对取自工业三联工艺(VIM+ESR+VAR)铸锭并完成均匀化的GH4065A样品进行试验。结果揭示了热加工工艺参数变形温度、应变速率和工程应变量对GH4065A流变应力的影响,并通过试验数据建立起GH4065A 50%工程应变量下的本构方程。在此基础上,通过试验数据绘制了GH4065A的热加工图和失稳判据图,明确了其稳定变形的加工区间。通过对变形组织演变规律的研究,明确了γ’相析出范围、未再结晶工艺条件、部分再结晶工艺条件、完全再结晶工艺条件,并绘制了GH4065A的再结晶图。
  • 图  1  GH4065A已均匀化自耗锭典型组织

    (a)×100倍光镜;(b) ×10500倍电镜

    Figure  1.  Typical microstructure of the homogenized GH4065A VAR ingot

    图  2  工程应变量为50%时变形温度对流变应力的影响

    (a)应变速率0.0005 s−1;(b)应变速率0.001 s−1;(c)应变速率0.01 s−1;(d)应变速率0. 1 s−1;(e)应变速率1 s−1

    Figure  2.  The impact of deformation temperature on flow stress at the 50% engineering strain

    图  3  工程应变量为50%,应变速率为0.1 s−1,变形温度为1050 ℃时弥散析出的γ’相光镜照片

    Figure  3.  Optical microscope of γ’phase dispersive precipitation at the 50% engineering strain, 0.1 s−1 strain rate and 1050 ℃

    图  4  工程应变量为50%时不同温度下应变速率对流变应力的影响

    Figure  4.  The impact of strain rate on flow stress at the 50% engineering strain with different temperature

    (a)950 ℃;(b)1000 ℃;(c)1050 ℃;(d)1100 ℃;(e)1150 ℃

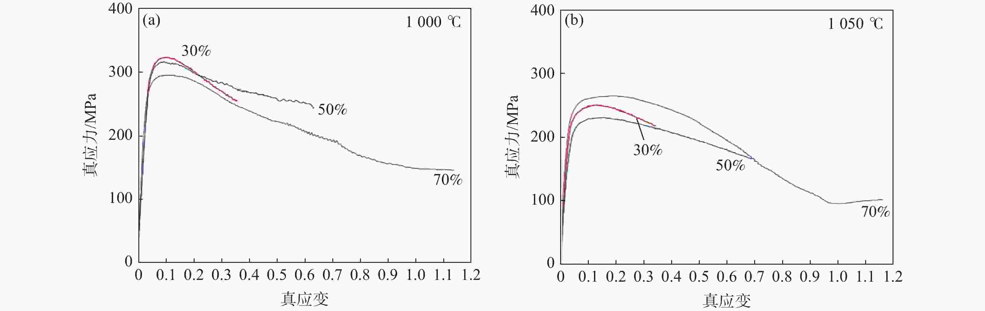
    图  5  应变速率为0.01 s−1时工程应变量对流变应力的影响

    Figure  5.  The impact of engineering stain on flow stress at the strain rate of 0.01 s−1

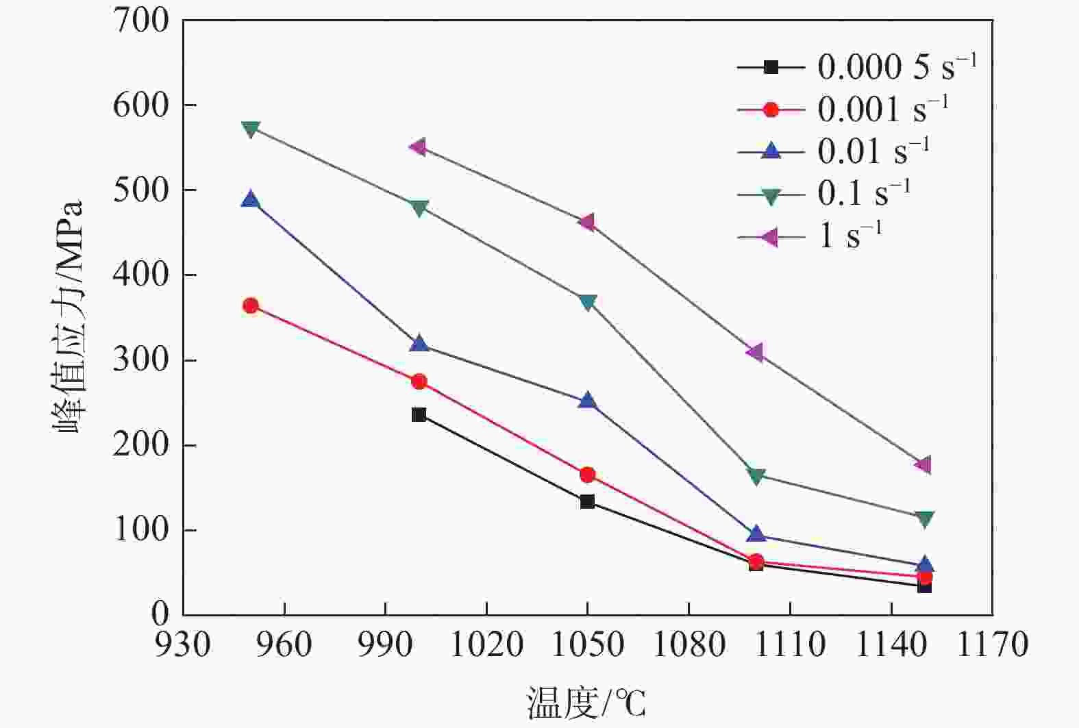
    图  6  峰值应力与变形条件的关系

    Figure  6.  The relationship of peak stress and deformation conditions

    图  7  峰值应力试验值和计算值拟合关系

    Figure  7.  Correlation of experimental data and fitted data of peak stresses

    图  8  GH4065A在50%工程应变量时的热加工和失稳判据

    Figure  8.  Thermal processing map and instability criterion map of GH4065A at the 50% engineering strain

    图  9  工程应变量为50%时变形温度和变形速率对组织的影响

    Figure  9.  The impact of deformation temperature and strain rate on microstructures at the 50% engineering strain

    图  10  工程应变量为70%时变形温度和变形速率对组织的影响

    Figure  10.  The impact of deformation temperature and strain rate on microstructures at the 70% engineering strain

    图  11  变形速率1 s−1时工程应变量对组织的影响

    Figure  11.  The impact of engineering strain on microstructures at the 1 s−1 strain rate

    图  12  变形速率0.1 s−1时工程应变量对组织的影响

    Figure  12.  The impact of engineering strain on microstructures at the 0.1 s−1strain rate

    图  13  变形速率0.01 s−1时工程应变量对组织的影响

    Figure  13.  The impact of engineering strain on microstructures at the 0.01 s−1 strain rate

    图  14  GH4065A合金发生完全动态再结晶条件

    Figure  14.  Full dynamic recrystallization map of GH4065A

    (a) 1 s−1;(b) 0.1 s−1;(c) 0.01 s−1

    表  1  GH4065A经均匀化后的自耗锭样品成分范围

    Table  1.   Composition range of the GH4065A sample disk from a homogenized VAR ingot %

    AlCoCrMoNbTiWFeNi
    2.19~2.2013.40~13.4916.17~16.274.10~4.180.695-0.7523.53~3.693.61-3.680.21~0.2255.73-56.12
    下载: 导出CSV
  • [1] Heaney J A, Lasonde M L, Powell A M, et al. Development of a new cast and wrought alloy (Rene65) for high temperature disk applications[C]//Proceedings of the 8th International Symposium on Superalloy 718 and Derivatives. USA, Pittsburgh: TMS, 2014: 67-77.
    [2] Bond B J , O’Brien C M, Russell J L, et al. Rene65 billet material for forged turbine components[C]//Proceedings of the 8th International Symposium on Superalloy 718 and Derivatives. USA, Pittsburgh: TMS, 2014: 107-118.
    [3] Wojcik T, Rath M, Kozeschnik E. Charaterisation of secondary phases in Ni-based superalloy Rene 65[J]. Materials Science and Technology, 2018,34:1−7.
    [4] Zhao Guangpu, Huang Shuo, Zhang Beijiang, et al. Microstructure control and mechanical properties of the newest nickel-based wrought superally GH4065A[J]. Journal of Iron and Steel Research, 2015,27(2):40−47. (赵光普, 黄烁, 张北江, 等. 新一代镍基变形高温合金GH40654A的组织控制与力学性[J]. 钢铁研究学报, 2015,27(2):40−47.

    Zhao Guangpu, Huang Shuo, Zhang Beijiang, et al. Microstructure control and mechanical properties of the newest nickel-based wrought superally GH4065 A [J]. Journal of Iron and Steel Research, 2015, 27(2): 40-47.
    [5] Du Jinhui, Zhao Guangpu, Deng Qun, et al. Develop of wrought superalloy in China[J]. Journal of Aeronautical Materials, 2016,36(3):27−39. (杜金辉, 赵光普, 邓群, 等. 中国变形高温合金研制进展[J]. 航空材料学报, 2016,36(3):27−39.

    Du Jinhui, Zhao Guangpu, Deng Qun, et al. Develop of wrought superalloy in China[J]. Journal of Aeronautical Materials, 2016, 36(3): 27-39.
    [6] Liu Qiaomu, Huang Shunzhou, Liu Jia, et al. Progress and application of high temperature structural materials on aero-engine[J]. Gas Turbine Experiment and Research, 2014,27(4):51−56. (刘巧沐, 黄顺洲, 刘佳, 等. 高温材料研究进展及其在航空发动机上的应用[J]. 燃气涡轮试验与研究, 2014,27(4):51−56.

    Liu Qiaomu, Huang Shunzhou, Liu Jia, et al. Progress and application of high temperature structural materials on aero-engine[J]. Gas Turbine Experiment and Research, 2014, 27(4): 51-56.
    [7] Zhang Beijiang, Zhao Guangpu, Zhang Wenyun, et al. Investigation of high performance disc alloy Gh4065 and associated advanced processing technologies[J]. Acta Metallurgica Sinica, 2015,51(10):1227−1234. (张北江, 赵光普, 张文云, 等. 高性能涡轮盘材料GH4065及其先进制备技术研究[J]. 金属学报, 2015,51(10):1227−1234.

    Zhang Beijiang, Zhao Guangpu, Zhang Wenyun, et al. Investigation of high performance disc alloy Gh4065 and associated advanced processing technologies[J]. Acta Metallurgica Sinica, 2015, 51(10): 1227-1234.
    [8] Zhang Beijiang, Huang Shuo, Zhang Wenyun, et al. Recent development of nickel-based disc alloys and corresponding cast-wrought processing techniques[J]. Acta Metallurgica Sinica, 2019,55(9):1095−1114. (张北江, 黄烁, 张文云, 等. 变形高温合金盘材及其制备技术研究进展[J]. 金属学报, 2019,55(9):1095−1114.

    Zhang Beijiang, Huang Shuo, Zhang Wenyun, et al. Recent development of nickel-based disc alloys and corresponding cast-wrought processing techniques[J]. Acta Metallurgica Sinica, 2019, 55(9): 1095-1114.
    [9] Laurence A, Cormier J, Villechaise P, et al. Impact of the solution cooling rate and of thermal aging on the creep properties of the new cast & wrought rené 65 ni-based superalloy[C]//Proceedings of the 8th International Symposium on Superalloy 718 and Derivatives. USA, Pittsburgh: TMS, 2014: 333-348.
    [10] Olufayo O A, Che H, Songmene V, et al. Machinability of Rene 65 superalloy[J]. Materials, 2019,12:2034. doi: 10.3390/ma12122034
    [11] Huang Shuo, Zhang Beijiang, Tian Qiang, et al. Isothermal and static oxidation behavior of superalloy GH4065A[J]. Journal of Iron and Steel Research, 2016,28(7):55−60. (黄烁, 张北江, 田强, 等. 高温合金GH4065A的恒温静态氧化行为[J]. 钢铁研究学报, 2016,28(7):55−60.

    Huang Shuo, Zhang Beijiang, Tian Qiang, et al. Isothermal and static oxidation behavior of superalloy GH4065 A[J]. Journal of Iron and Steel Research, 2016, 28(7): 55-60.
    [12] Wang Zixing, Huang Shuo, Zhang Beijiang, et al. Study on freckle of a high-alloyed GH4065 nickel base wrought superalloy[J]. Acta Metallurgica Sinica, 2019,55(3):417−426. (王资兴, 黄烁, 张北江, 等. 高合金化GH4065镍基变形高温合金点状偏析研究[J]. 金属学报, 2019,55(3):417−426.

    Wang Zixing, Huang Shuo, Zhang Beijiang, et al. Study on freckle of a high-alloyed GH4065 nickel base wrought superalloy[J]. Acta Metallurgica Sinica, 2019, 55(3): 417-426.
    [13] 董建新. 镍基合金管材挤压及组织控制[M]. 北京: 冶金工业出版社, 2014: 26-37.

    Dong Jianxin. Extrusion and microstructure control of nickel based alloy pipe [M]. Beijing: Metallurgical Industry Press, 2014: 26-37.
  • 加载中
图(14) / 表(1)
计量
  • 文章访问数:  497
  • HTML全文浏览量:  147
  • PDF下载量:  32
  • 被引次数: 0
出版历程
  • 收稿日期:  2022-04-22
  • 刊出日期:  2023-08-30

目录

    /

    返回文章
    返回