中文核心期刊

SCOPUS 数据库收录期刊

中国科技核心期刊

美国《化学文摘》来源期刊

中国优秀冶金期刊

美国EBSCO数据库收录期刊

RCCSE中国核心学术期刊

美国《剑桥科学文摘》来源期刊

中国应用核心期刊(CACJ)

美国《乌利希期刊指南》收录期刊

中国学术期刊综合评价统计源刊

俄罗斯《文摘杂志》来源期刊

优秀中文科技期刊(西牛计划)

日本《科学技术文献数据库》(JST)收录刊

留言板

尊敬的读者、作者、审稿人, 关于本刊的投稿、审稿、编辑和出版的任何问题, 您可以本页添加留言。我们将尽快给您答复。谢谢您的支持!

姓名
邮箱
手机号码
标题
留言内容
验证码

核壳型钒碳包裹前驱体法制备氮化钒研究

薄文彬 张一敏 薛楠楠 刘红

薄文彬, 张一敏, 薛楠楠, 刘红. 核壳型钒碳包裹前驱体法制备氮化钒研究[J]. 钢铁钒钛, 2024, 45(5): 1-8. doi: 10.7513/j.issn.1004-7638.2024.05.001
引用本文: 薄文彬, 张一敏, 薛楠楠, 刘红. 核壳型钒碳包裹前驱体法制备氮化钒研究[J]. 钢铁钒钛, 2024, 45(5): 1-8. doi: 10.7513/j.issn.1004-7638.2024.05.001
Bo Wenbin, Zhang Yimin, Xue Nannan, Liu Hong. Preparation of VN via core-shell precursor method under the intervention of dispersants[J]. IRON STEEL VANADIUM TITANIUM, 2024, 45(5): 1-8. doi: 10.7513/j.issn.1004-7638.2024.05.001
Citation: Bo Wenbin, Zhang Yimin, Xue Nannan, Liu Hong. Preparation of VN via core-shell precursor method under the intervention of dispersants[J]. IRON STEEL VANADIUM TITANIUM, 2024, 45(5): 1-8. doi: 10.7513/j.issn.1004-7638.2024.05.001

核壳型钒碳包裹前驱体法制备氮化钒研究

doi: 10.7513/j.issn.1004-7638.2024.05.001
基金项目: 湖北省科技创新人才及服务专项战略科学家培养计划(2022EJD002)。
详细信息
    作者简介:

    薄文彬,1998年出生,男,山东济南人,博士研究生,主要研究方向:高品质VN及其衍生物制备,E-mail:wbbo1998@163.com

    通讯作者:

    张一敏,1954年出生,男,河南许昌人,博士生导师,教授,主要研究方向:洁净矿物加工、分离化学冶金、钒基材料,E-mail: zym126135@126.com

  • 中图分类号: TF841.3,TQ135.1

Preparation of VN via core-shell precursor method under the intervention of dispersants

  • 摘要: 采用聚乙烯吡咯烷酮(PVP)优化核壳型钒碳包裹前驱体结构,热处理前驱体获得满足国标VN16牌号的氮化钒(VN)。PVP的引入促进了碳粉在富钒溶液中的均匀分散,有利于多聚钒酸铵(APV) 离子的氢键化,使其吸附于碳粉表面成核和生长,制备的前驱体有包覆完整稳定且厚度均匀适中的APV外壳、碳粉内核及小且均匀的粒径分布。在还原氮化过程中,前驱体到VN的相变过程为:APV→V2O5→V6O13→V7O13→VO2→V3O5→V2O3→(VC) →VN。优化后的前驱体因其细密的核壳包覆结构和均匀的粒度分布,形成了更稳定的相反应界面和更多的反应活性位点,降低了各阶段的反应活化能(Ea),使还原氮化效率更高,更易向低价VOx和VN转变。与现行碳热还原工艺相比,反应时间缩短75%,N2流量由300 mL/min降低至200 mL/min,耗量约降低40%,显著降低生产成本。
  • 图  1  不同条件下前驱体的SEM-EDS图

    Figure  1.  SEM-EDS images of precursors under different conditions

    (a) (b) V@Cor;(c) (d) V@Cop

    图  2  不同前驱体的粒度分布

    Figure  2.  Particle size distribution of different precursors

    图  3  核壳型钒碳包裹前驱体的合成机理

    Figure  3.  Synthesis mechanism of core-shell precursors

    (a) V@Cor;(b) V@Cop

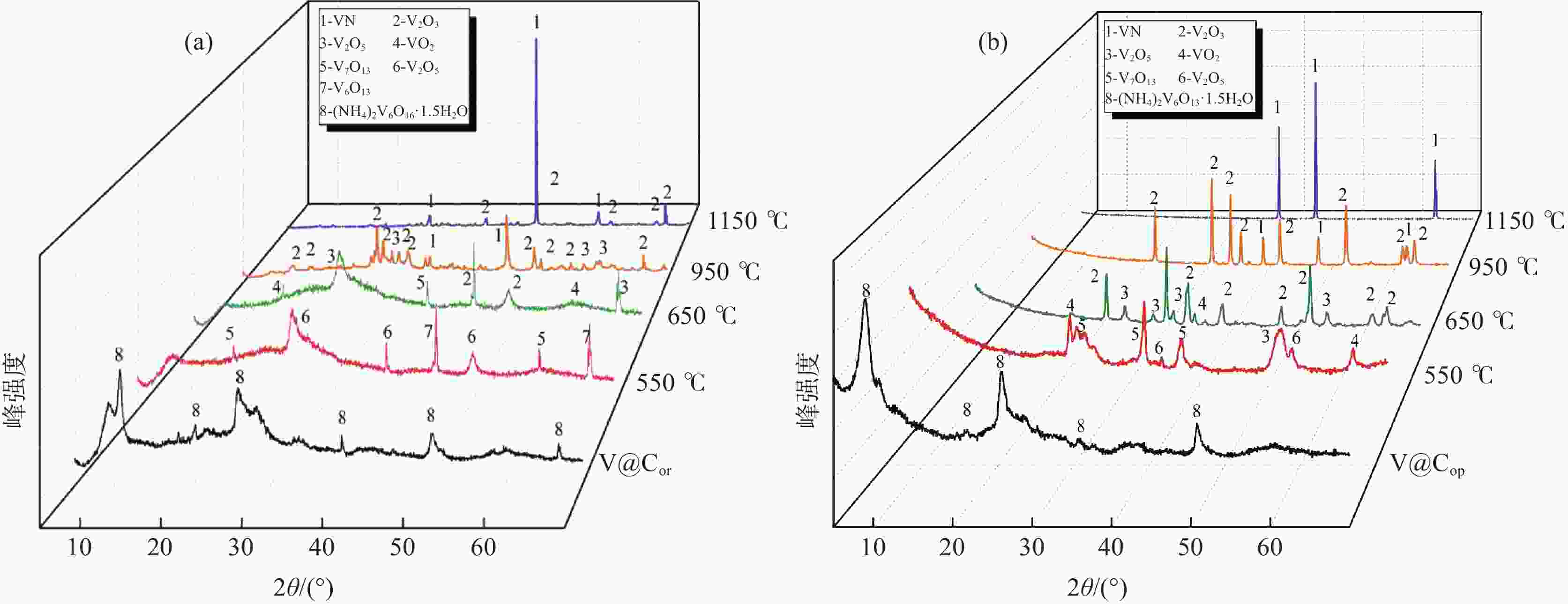
    图  4  不同温度下前驱体热处理过程中原位XRD图谱

    Figure  4.  In-situ XRD patterns during precursor heat treatment process under different temperatures

    (a) V@Cor;(b) V@Cop

    图  5  前驱体到VN的吉布斯自由能和反应热

    Figure  5.  Images of Gibbs free energy and reaction heat of precursor to VN

    (a) V@Cor;(b) V@Cop

    图  6  N2气氛下不同前驱体50 ℃到1400 ℃的TG-DTG曲线

    Figure  6.  TG-DTG curves of different precursors from 50 to 1400 ℃ under N2 atmosphere

    (a) V@Cor;(b) V@Cop

    图  7  V@Cor的lnkT-1线性拟合结果

    (a) 第一阶段(0~400 ℃);(b) 第二阶段(400~850 ℃);(c) 第三阶段(850~1150 ℃)

    Figure  7.  Linear fitting results of lnk and T-1of V@Cor

    图  8  V@Cop的lnkT-1线性拟合结果

    (a) 第一阶段(0~400 ℃);(b) 第二阶段(400~850 ℃);(c) 第三阶段(850~1 150 ℃)

    Figure  8.  Linear fitting results of lnk and T-1of V@Cop

    图  9  前驱体还原氮化制备VN的机理

    Figure  9.  Preparation mechanism of VN by nitrogen reduction of precursor

    (a) V@Cor;(b) V@Cop

    表  1  前驱体的激光粒度分布参数

    Table  1.   Laser particle size distribution parameters of different precursors

    前驱体 比表面积
    /(m2·kg−1)
    D(3, 2)
    /μm
    D(4, 3)
    /μm
    Dv (50)
    /μm
    Dv (90)
    /μm
    V@Cor 326.523 18.38 76.33 46.54 147.03
    V@Cop 1272.47 4.92 29.07 10.92 40.53
    下载: 导出CSV

    表  2  VN的化学成分

    Table  2.   Chemical composition of vanadium nitride %

    VN产品VNCSP
    V@Cor79.6816.743.460.080.04
    V@Cop78.9317.912.30.070.02
    国标VN1677.0~81.014.0~<18.0≤6.0≤0.1≤0.06
    下载: 导出CSV
  • [1] Li Hongyi , Wang Chengjie, Lin Minmin, et al. Green one-step roasting method for efficient extraction of vanadium and chromium from vanadium-chromium slag[J]. Powder Technology, 2020,360:503-508. doi: 10.1016/j.powtec.2019.10.074
    [2] Li Hongyi, Yang Yang, Zhang Meng, et al. A novel anion exchange method based on in situ selectively reductive desorption of Cr(VI) for its separation from V(V): Toward the comprehensive use of hazardous wastewater[J]. J. Hazard. Mater. , 2019, 368: 670-679.
    [3] Luo Daibing, Ma Wangjing, Wu Liangzhuan, et al. Flexible PET substrate coated with V2O5 film with porous network prepared by EPLSD method[J]. Appl. Surf. Sci. , 2021, 538 : 148053.
    [4] Amina Shafique, Muhammad Ashar Naveed, Sumbel Ijaz, et al. Highly efficient vanadium nitride based metasurface absorber/emitter for solar-thermophotovoltaic system[J]. Mater. Today Common. , 2023, 34: 105416.
    [5] Shang Guangmin, Liu Hongyu, Deng Weijie, et al. The addition of anadium and nitride alloy on the solidification structure and hardness of M2 high-speed steel[J]. Iron Steel Vanadium Titanium, 2024,45(2):182-189. (商光敏, 刘宏玉, 邓玮杰,等. 添加钒氮合金对M2高速钢凝固组织与硬度的影响[J]. 钢铁钒钛, 2024,45(2):182-189.

    Shang Guangmin, Liu Hongyu, Deng Weijie, et al. The addition of anadium and nitride alloy on the solidification structure and hardness of M2 high-speed steel[J]. Iron Steel Vanadium Titanium, 2024, 45(2): 182-189.
    [6] Li Runkang, Lu Jiaqi, Li Chaojie, et al. Mesoporous vanadium nitride nanofiber@N-doped carbon with excellent microwave absorption and anti-corrosion[J]. Colloids Surf. A, 2024,686:133420. doi: 10.1016/j.colsurfa.2024.133420
    [7] Zhang Dongbin, Chang Zhi, Teng Aijun, et al. Regulation on electronic structure of VN-based materials for enhanced supercapacitor performances[J]. Iron Steel Vanadium Titanium, 2022,43(5):45-51. (张东彬, 常智, 滕艾均, 等. VN基材料的电子结构调控和超电容性能研究[J]. 钢铁钒钛, 2022,43(5):45-51.

    Zhang Dongbin, Chang Zhi, Teng Aijun, et al. Regulation on electronic structure of VN-based materials for enhanced supercapacitor performances[J]. Iron Steel Vanadium Titanium, 2022, 43(5): 45-51.
    [8] Holz L I V, Loureiro F J A, Graca V C D, et al. Vanadium (oxy)nitride as a new category of anode for direct ammonia solid oxide fuel cells cells[J]. Renewable Energy, 2022, 201: 124-130.
    [9] Wu Ziqiang, Chen Qian, Li Changdian, et al. Hydrogel-derived nitrogen-doped porous carbon framework with vanadium nitride decoration for supercapacitors with superior cycling performance[J]. J. Mater. Sci. Technol., 2023,155:167-174. doi: 10.1016/j.jmst.2023.01.031
    [10] Ye Miaoting, Bu Naijing, Chen Lai, et al. Study on reaction mechanism for the synthesis of vanadium nitride by carbothermic reduction nitridation method[J]. Ceram. Int., 2024,50(5):7458-7468. doi: 10.1016/j.ceramint.2023.12.040
    [11] Chen Zhichao, Xue Zhengliang, Wang Wei, et al. One-step method of carbon thermal reduction and nitride to produce vanadium nitrogen alloy[J]. Adv. Mat. Res. , 2012, 476-478: 194-198.
    [12] Han Jinglei, Zhang Yimin, Liu Tao, et al, Preparation of vanadium nitride using a thermally processed precursor with coating structure[J]. Metals, 2017,7:360. doi: 10.3390/met7090360
    [13] Wen Ailian, Cai Zhenlei, Zhang Yimin, et al. A novel method of preparing vanadium-based precursors and their enhancement mechanism in vanadium nitride preparation[J]. RSC Adv., 2022,12:13093-13102.
    [14] Sun Chunyu, Su Haitang, Han Xuelian, et al. Influence of polymer dispersants on dispersion effect of polymethyl methacrylate microspheres by dispersion polymerization[J]. Polymer Materials Science & Engineering, 2023,39(7):1-7. (孙春雨, 苏海棠, 韩雪莲, 等. 高分子分散剂对分散聚合制备聚甲基丙烯酸甲酯微球分散效果的影响[J]. 高分子材料科学与工程, 2023,39(7):1-7.

    Sun Chunyu, Su Haitang, Han Xuelian, et al. Influence of polymer dispersants on dispersion effect of polymethyl methacrylate microspheres by dispersion polymerization[J]. Polymer Materials Science & Engineering, 2023, 39(7): 1-7.
    [15] Shang Xu, Jing Xiwei, Xu Jian, et al. Influence of polyvinylpyrrolidone with different molecular weights on the dispersion of multiwalled carbon nanotubes[J]. Journal of East China University of Science and Technology, 2019,45(6):883-890. (尚旭, 景希玮, 徐健,等. 不同分子量聚乙烯吡咯烷酮对多壁碳纳米管分散性能的影响[J]. 华东理工大学学报(自然科学版), 2019,45(6):883-890.

    Shang Xu, Jing Xiwei, Xu Jian, et al. Influence of polyvinylpyrrolidone with different molecular weights on the dispersion of multiwalled carbon nanotubes[J]. Journal of East China University of Science and Technology, 2019, 45(6): 883-890.
    [16] Franco-Ulloa S, Tatulli G, Bore S L, et al. Dispersion state phase diagram of citrate-coated metallic nanoparticles in saline solutions[J]. Nat Commun, 2020, 11 : 5422.
    [17] Rezvani R, Nabizadeh A, Amin Tutunchian M. The effect of particle size distribution on shearing response and particle breakage of two different calcareous soils[J]. Eur. Phys. J. Plus, 2021, 136: 1008.
    [18] Koczkur K M, Mourdikoudis S, Polavarapu L, et al. Polyvinylpyrrolidone (PVP) in nanoparticle synthesis[J]. Dalton Trans. 2015, 44: 17883-17905.
    [19] Kang Liwu, Zeng Jun, Huang Yonggang. The oxidation dynamics of ilmenite[J]. Iron Steel Vanadium Titanium, 2017,38(6):23-26. (康立武, 曾俊, 黄永刚. 钛铁矿氧化动力学研究[J]. 钢铁钒钛, 2017,38(6):23-26.

    Kang Liwu, Zeng Jun, Huang Yonggang. The oxidation dynamics of ilmenite[J]. Iron Steel Vanadium Titanium, 2017, 38(6): 23-26.
    [20] Li Wenbo, Chen Jijia, Cheng Shaokai, et al. Thermal decomposition mechanism and kinetics of bastnaesite in suspension roasting process: A comparative study in N2 and air atmospheres[J]. J. of Rare Earth, 2023, 42(9):1809-1816.
    [21] Zhang Qi, Sun Yongsheng, Han Yuexin, et al. Pyrolysis behavior of a green and clean reductant for suspension magnetization roasting[J]. Journal of Cleaner Production, 2020,268:122173. doi: 10.1016/j.jclepro.2020.122173
    [22] Zhang Qi, Sun Yongsheng, Qin Yonghong, et al. Siderite pyrolysis in suspension roasting: An in-situ study on kinetics, phase transformation, and product properties[J]. J. Ind. Eng. Chem., 2022,50:7458-7468.
    [23] Mao Zhongtian, Campbell Charles T. Apparent activation energies in complex reaction mechanisms: a simple relationship via degrees of rate control[J]. ACS Catal, 2019,9:9465-9473. doi: 10.1021/acscatal.9b02761
  • 加载中
图(9) / 表(2)
计量
  • 文章访问数:  600
  • HTML全文浏览量:  109
  • PDF下载量:  48
  • 被引次数: 0
出版历程
  • 收稿日期:  2024-06-24
  • 网络出版日期:  2024-10-30
  • 刊出日期:  2024-10-30

目录

    /

    返回文章
    返回