中文核心期刊

SCOPUS 数据库收录期刊

中国科技核心期刊

美国《化学文摘》来源期刊

中国优秀冶金期刊

美国EBSCO数据库收录期刊

RCCSE中国核心学术期刊

美国《剑桥科学文摘》来源期刊

中国应用核心期刊(CACJ)

美国《乌利希期刊指南》收录期刊

中国学术期刊综合评价统计源刊

俄罗斯《文摘杂志》来源期刊

优秀中文科技期刊(西牛计划)

日本《科学技术文献数据库》(JST)收录刊

留言板

尊敬的读者、作者、审稿人, 关于本刊的投稿、审稿、编辑和出版的任何问题, 您可以本页添加留言。我们将尽快给您答复。谢谢您的支持!

姓名
邮箱
手机号码
标题
留言内容
验证码

2024年  第45卷  第5期

钒钛分离与提取
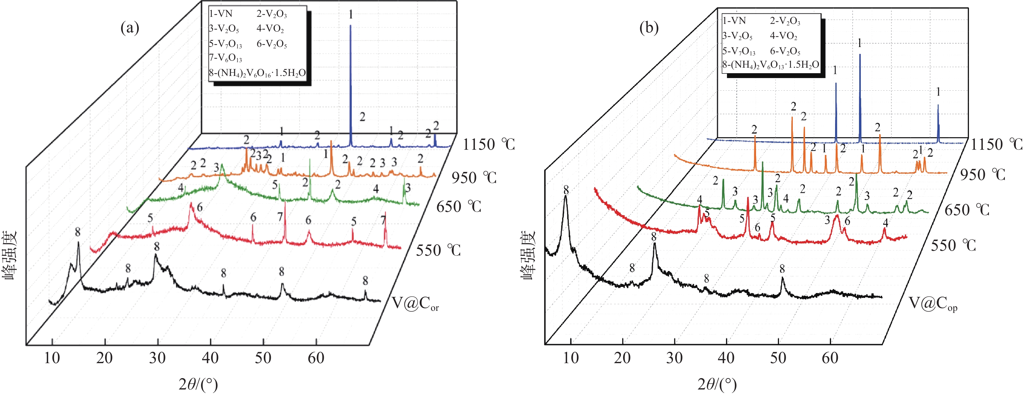
核壳型钒碳包裹前驱体法制备氮化钒研究
薄文彬, 张一敏, 薛楠楠, 刘红
2024, 45(5): 1-8. doi: 10.7513/j.issn.1004-7638.2024.05.001
摘要(796) HTML (181) PDF(54)
摘要:
采用聚乙烯吡咯烷酮(PVP)优化核壳型钒碳包裹前驱体结构,热处理前驱体获得满足国标VN16牌号的氮化钒(VN)。PVP的引入促进了碳粉在富钒溶液中的均匀分散,有利于多聚钒酸铵(APV) 离子的氢键化,使其吸附于碳粉表面成核和生长,制备的前驱体有包覆完整稳定且厚度均匀适中的APV外壳、碳粉内核及小且均匀的粒径分布。在还原氮化过程中,前驱体到VN的相变过程为:APV→V2O5→V6O13→V7O13→VO2→V3O5→V2O3→(VC) →VN。优化后的前驱体因其细密的核壳包覆结构和均匀的粒度分布,形成了更稳定的相反应界面和更多的反应活性位点,降低了各阶段的反应活化能(Ea),使还原氮化效率更高,更易向低价VOx和VN转变。与现行碳热还原工艺相比,反应时间缩短75%,N2流量由300 mL/min降低至200 mL/min,耗量约降低40%,显著降低生产成本。
失活硫酸催化剂两步法选择性清洁提钒研究
贾美丽, 杜浩, 张懿, 王少娜, 李兰杰, 祁健, 周冰晶, 赵备备
2024, 45(5): 9-16. doi: 10.7513/j.issn.1004-7638.2024.05.002
摘要(595) HTML (143) PDF(28)
摘要:
针对失活硫酸催化剂直接酸浸、碱浸工艺选择性差,后续分离代价高、介质难回用的问题,使用两步法选择性提钒新工艺,利用钾、硫的强水溶性特点,研究了水洗温度、pH值对钾、硫浸出的影响,发现在温度40~60 ℃、pH值3~5水洗条件下,钾、硫的浸出率分别达到80%、96%以上,而钒的损失率控制在10%以内,实现了钒与钾、硫的选择性分离;第二步利用钒、硅在碱介质中的溶出特性,研究了碱浸温度、时间、液固比及碱液浓度对提钒效果的影响,发现采用5% NaOH溶液在80 ℃、L/S=5条件下反应30 min可实现失活硫酸催化剂中钒95%以上的浸出,而硅基本不浸出,实现了钒、硅的选择性分离。含钒浸出液可经钙化-铵化工艺制备得到偏钒酸铵产品,NaOH介质返回提钒阶段循环使用,介质封闭。
CH4还原氮化V2O3制备VN
夏三元, 姜涛, 陈泊键, 温婧, 杨广东, 刘孟霞
2024, 45(5): 17-25. doi: 10.7513/j.issn.1004-7638.2024.05.003
摘要(464) HTML (157) PDF(18)
摘要:
通过热力学计算和试验工艺结合的方式,探究了利用CH4作为还原剂碳热还原、氮化制备VN的工艺条件以及反应过程。结果表明:在CH4流量0.1 L/min、1150 ℃保温2 h并继续渗氮2 h的条件下,成功合成了氮、碳含量分别为14.2%、3.35%的VN产物,符合国家VN16(GB/T 20567-2020)氮化钒产品标准。反应过程中的物相转变过程为V2O3→V8C7→VN,并且CH4在高温条件下分解产生的高活性炭与H2均有利于碳化反应的进行,能有效提高反应速率。
高钛渣沸腾氯化速度的数值模拟
曹丽, 朱奎松, 谢聪, 王军, 赵英涛, 孙常清, 程相利
2024, 45(5): 26-34. doi: 10.7513/j.issn.1004-7638.2024.05.004
摘要(425) HTML (167) PDF(23)
摘要:
基于高钛渣和氯气物性参数,采用经典初始流化速度公式计算了高钛渣沸腾氯化的初始流化速度,并结合欧拉双流体模型建立了高钛渣沸腾氯化气固两相流的数学模型并开展数值计算,最后以数值模拟结果为依据对高钛渣沸腾氯化表观操作气速进行了预测。研究结果表明:以欧拉双流体模型结合Grace公式得到初始流化速度能够准确模拟出高钛渣氯化过程的气固两相流特征;依据沸腾氯化床层中高钛渣颗粒体积分数、床层截面速度和压力分布规律,确定高钛渣沸腾氯化的最佳表观操作气速为Grace计算公式得到的初始流化速度值的1.5倍。
熔盐电解钛粉的粉末冶金性能研究
邓斌, 穆天柱, 周翔幸, 袁铁锤
2024, 45(5): 35-42. doi: 10.7513/j.issn.1004-7638.2024.05.005
摘要(431) HTML (140) PDF(18)
摘要:
以电解钛粉为原料,采用模压-烧结的方法制备多孔钛,对电解钛粉的成型和烧结特性进行了研究,最后针对制备的多孔钛的力学性能、孔结构、孔径分布及透气率等性能进行了表征。结果表明:随压制压力的增加,具有二次颗粒特征的电解钛粉颗粒间搭桥空间逐渐消失,可通过成型压力和烧结温度的调节获得不同孔隙率和力学强度的多孔钛。电解钛粉与氢化脱氢钛粉相比具有成型性能良好、更易发生烧结致密化、制件孔隙率高、透气率高、杨氏模量高等特点。使用粒径74~104 μm的电解钛粉在70~110 MPa成型、1110 ℃烧结后的多孔钛,杨氏模量与人体松质骨接近,透气率和最大孔径满足烧结金属过滤元件(GBT6887-2019)TG035、TG020要求,在人体松质骨植入件以及过滤材料领域有应用前景。
反气相色谱法对钛白粉表面性质的研究
王小慧, 郭杰, 胥金秀, 谭玲, 解莉花, 胡一杰
2024, 45(5): 43-48. doi: 10.7513/j.issn.1004-7638.2024.05.006
摘要(371) HTML (151) PDF(22)
摘要:
采用反气相色谱法(IGC)测试了3种钛白粉的表面能和酸碱常数,研究有机表面处理对钛白粉表面性质的影响。通过不同温度下不同分子探针试验计算研究了样品的非极性表面能。结果表明:在同一温度下(测试温度范围内),随着包覆有机物的增加,样品的非极性表面能$ {\gamma }_{s}^{d} $减小;样品的$ {\gamma }_{s}^{d} $随着温度的升高而减小。同时通过以极性分子为探针分子计算研究表面能的酸碱分量,结果表明钛白粉表面呈两性偏酸性,有机处理剂与钛白表面羟基反应使得表面酸位点减少,酸性下降。但是过多地加入有机处理剂时,部分有机处理剂水解生成羟基未与钛白反应,反而增加样品表面酸性。
钒钛材料与应用
MXenes在电解水制氢催化剂领域的应用
刘恩豪, 陈超, 党杰
2024, 45(5): 49-62. doi: 10.7513/j.issn.1004-7638.2024.05.007
摘要(1243) HTML (176) PDF(48)
摘要:
基于可再生能源的电解水技术是生产“绿氢”的主要方法但受限于高电耗以及由此产生的高电力成本,电解水技术在大规模推广应用方面仍面临困难。降低电耗的途径在于开发高性能的电催化剂。MXenes是一种碳化物、氮化物和碳氮化物组成的二维材料,具有高导电性、大比表面积、高机械强度和优异的亲水性,是电催化剂的理想载体,被广泛应用于电解水制氢领域的研究。首先介绍了MXenes的基本组成与结构特征,其次总结分析了MXenes直接用于电解水制氢方面的研究成果,并阐述了其作为载体材料锚定高活性物质用于析氢和析氧反应的应用和进展,最后总结并展望了MXenes材料未来的发展前景。
TC4钛合金锻态板材TIG焊后组织与性能研究
张航, 祖国庆, 王大臣, 王雅凤, 李涵博, 刘杰
2024, 45(5): 63-69. doi: 10.7513/j.issn.1004-7638.2024.05.008
摘要(442) HTML (181) PDF(23)
摘要:
采用非熔化极钨极氩弧焊(TIG)对厚度14 mm的TC4锻态钛合金板材进行多层多道对接焊接试验,研究了焊接接头的金相组织、晶体取向、力学性能。结果表明:TC4钛合金焊接接头焊缝成形美观,焊核区组织多为柱状晶和细长针状马氏体α′相,热影响区为(α+β)+α′相,母材区为(α+β)相。对应于晶体取向关系,焊核区晶粒交错分布按不同物相呈现一定择优取向,其中打底焊位置晶粒取向更多沿<111>与<001>方向,而母材晶粒取向分布不均匀。焊接件的抗拉强度和断后延伸率分别为982 MPa和6.0%,低于母材,弯曲试验均产生裂纹或断裂。从焊缝中心到母材,接头硬度值呈现先降低后升高的变化趋势,其中焊核区盖面焊层的显微硬度略低于打底焊层。
激光焊薄壁直缝钛焊管组织及性能研究
殷鑫, 李军兆, 李海明, 樊程, 刘文正, 彭盛军, 孙清洁, 曾宪山
2024, 45(5): 70-73. doi: 10.7513/j.issn.1004-7638.2024.05.009
摘要(408) HTML (152) PDF(16)
摘要:
对薄壁Gr.1纯钛直缝焊管采用激光焊接方式焊接,并对试验获得的样管进行了宏观形貌、显微组织分析和力学性能测试。结果表明,直缝薄壁焊管焊缝宽度较窄,外焊缝宽度为1.51 mm,内焊缝宽度为0.98 mm。钛焊管焊缝微观组织主要为柱状α相、锯齿状α相和少量针状α相。扩口、压扁、反弯试验结果均合格。最后对样管进行胀管试验,胀幅达到18.4%,外观变形较为均匀。从胀管后微观组织可知,胀管后焊缝、热影响区以及母材大部分晶粒受到拉伸作用明显变形和破碎,并产生较多针状α相,但均没有产生裂纹。
SiCf/TC25G复合材料界面热稳定性研究
孙武, 张育铭, 杨丽娜, 杨青, 刘迪, 王玉敏
2024, 45(5): 74-82. doi: 10.7513/j.issn.1004-7638.2024.05.010
摘要(520) HTML (222) PDF(21)
摘要:
TMCs在高温服役长时使用过程中,基体与纤维会发生严重的界面反应,导致复合材料力学性能下降。以磁控溅射先驱丝法+热等静压工艺制备的SiCf/TC25G复合材料作为研究对象,结合TC25G钛合金服役温度,系统设计了不同热暴露条件下复合材料界面热稳定性试验,分析了热等静压态和热暴露态SiCf/TC25G复合材料界面形貌和界面产物。结合SEM、TEM、EPMA、XRD、EBSD等技术分析表明,热等静压态的SiCf/TC25G复合材料界面反应层主要产物为TiC,反应层靠近基体侧和基体中存在硅化物的析出。随着热暴露温度和保温时间增加,界面反应层厚度增加。根据界面反应层增量,总结出SiCf/TC25G复合材料界面长大规律,利用Arrhenius公式计算获得SiCf/TC25G复合材料界面反应层长大激活能为50.53 kJ/mol,反应层长大指数因子为1.23×10−7 m/s1/2
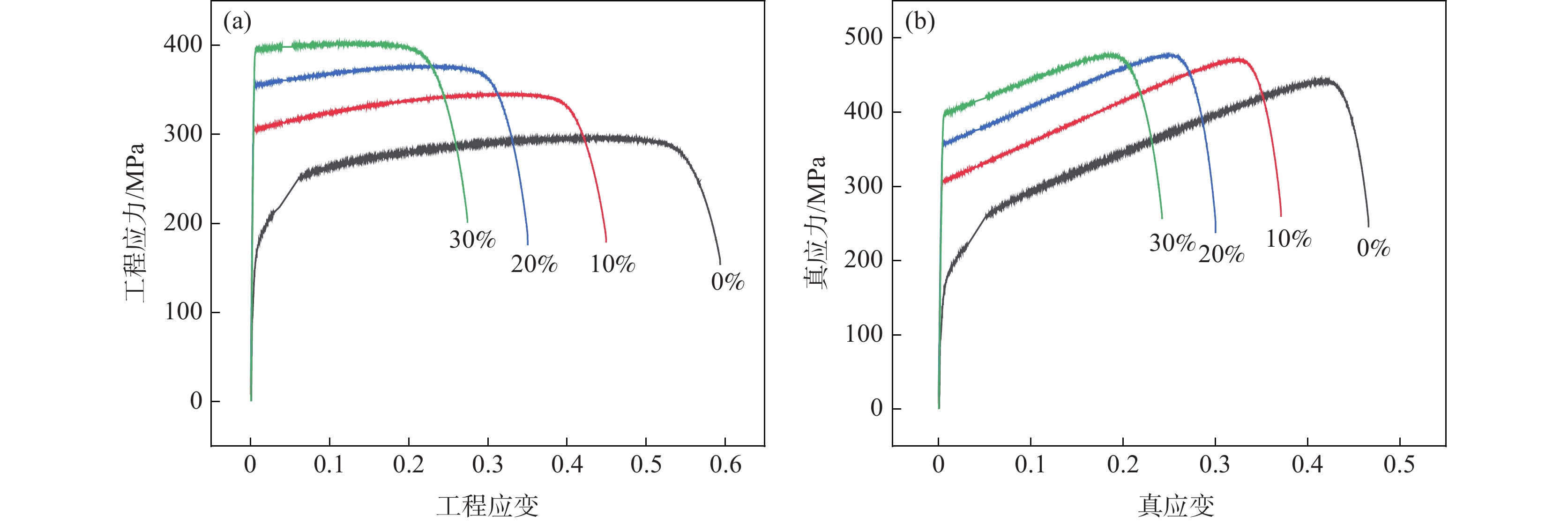
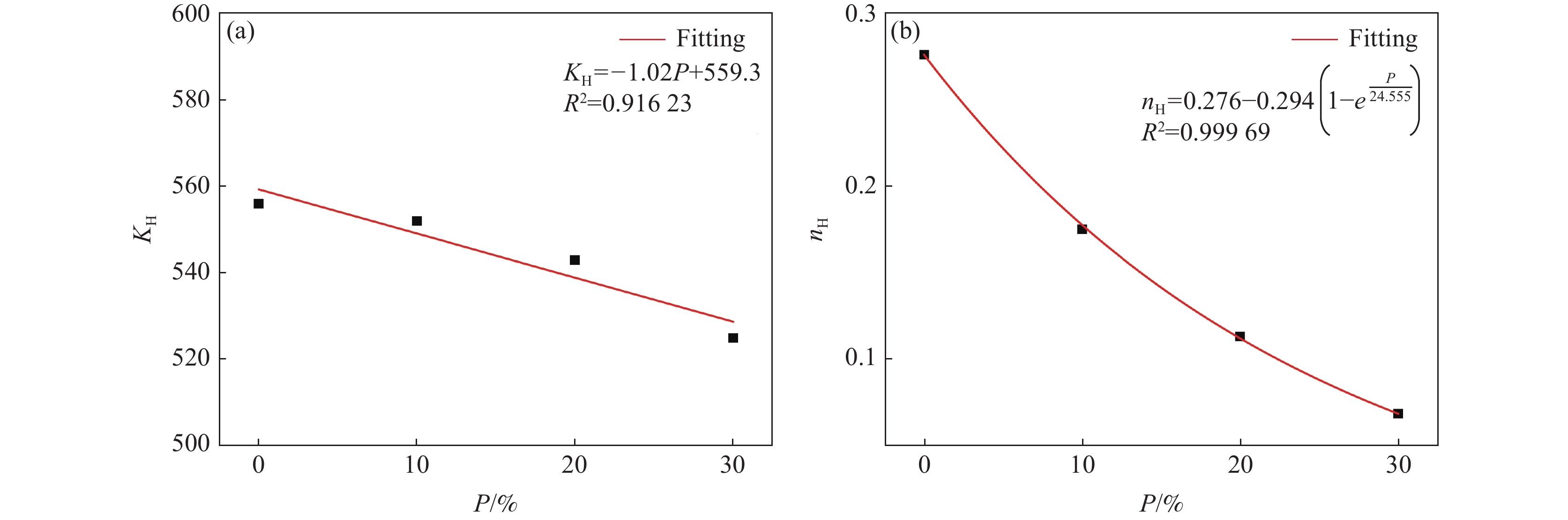
预应变对TA2力学性能的影响及本构模型的建立
李一帆, 代巧, 郭成, 冯立斌
2024, 45(5): 83-90. doi: 10.7513/j.issn.1004-7638.2024.05.011
摘要(435) HTML (229) PDF(17)
摘要:
为研究预应变对TA2力学性能的影响,对原始材料和预应变量为10%、20%和30%的TA2进行室温拉伸试验;根据预应变对TA2力学性能的影响规律,引入预应变量对Hollomon 模型、Ludwik 模型和Swift 模型进行修正,以预测预应变TA2的力学行为。结果表明,随预应变量的增加,TA2的屈服强度显著增大、抗拉强度小幅增大,而断后伸长率、强塑积和应变硬化指数减小。预应变通过消耗塑性性能来提升TA2的强度,TA2塑性应变能密度和断裂应变能密度随预应变量的增加而明显减小。各修正模型预测结果与试验值相关性系数的平均值分别为0.98620.99940.9744,最大预测误差为6.34%、8.33%、16.42%,其中Hollomon 模型结构精简且具有良好的预测精度,是描述预应变对TA2力学行为影响的最佳选择。
Ti-45Al-8Nb-xHf合金组织性能与高温氧化行为
王威
2024, 45(5): 91-97, 115. doi: 10.7513/j.issn.1004-7638.2024.05.012
摘要(444) HTML (162) PDF(19)
摘要:
采用氩气保护真空感应熔炼工艺制备了Ti-45Al-8Nb-xHf (x=0.5、1.0、1.5、2) 合金,利用金相显微镜(OM)、扫描电镜(SEM)、能谱仪 (EDS)、X射线衍射仪(XRD)、万能试验机等研究了合金显微组织、压缩性能和抗氧化性能。结果表明,Hf元素含量的增加能够保持和细化合金显微组织,延缓高温下组织的转变,使合金抗压强度和压缩率分别提高到1923 MPa和25.7%,升幅30%以上,具有显著强化效应。合金在1000 ℃氧化时具有稳定TiO2+Nb2O5的氧化亚层,以平直界面氧化生长,氧化扩散层尺寸稳定小于85 μm,氧化质量呈线性变化,氧化速率曲线下降并最终达到稳定氧化阶段。适量Hf的添加有利于强化合金的力学性能和高温抗氧化性能。
资源环境与节能
废旧SCR脱硝催化剂资源化利用研究进展
宋世哲, 钱峰, 刘忠成, 马光宇, 侯洪宇, 徐鹏飞
2024, 45(5): 98-107. doi: 10.7513/j.issn.1004-7638.2024.05.013
摘要(1022) HTML (254) PDF(54)
摘要:
近年来,选择性催化还原(SCR)技术的广泛应用导致了废旧SCR脱硝催化剂的大量产生,为了节约资源,保护环境,必须对其进行妥善处理。废旧SCR脱硝催化剂通过回收有价组分、整体利用和固化处理等方式可实现资源化利用。回收有价组分的方法主要包括酸碱浸出、活化焙烧、熔盐电解、化学沉淀、有机萃取、离子交换等;整体利用的方法主要包括制备再生催化剂、生产含钛球团和含钛烧结矿;固化处理的方法主要包括熔融固化、水泥固化和陶瓷固化。对上述方法做出了详细的总结和展望,希望可以为未来废旧SCR脱硝催化剂的资源化利用提供启发和参考。
粉煤灰制备硅铁合金并富集氧化铝的试验研究
夏文杰, 金永丽, 张梧祯, 张凯悦
2024, 45(5): 108-115. doi: 10.7513/j.issn.1004-7638.2024.05.014
摘要(578) HTML (165) PDF(16)
摘要:
在实验室条件下对粉煤灰进行了碳热还原制备硅铁合金并富集氧化铝试验,回收粉煤灰中的Si、Fe、Al等元素。研究发现,反应过程中,当温度升高,生成的硅铁合金中硅的含量随之升高。当配碳量增加,粉煤灰中莫来石相的Al-O-Si键更容易分解,还原成氧化铝和二氧化硅。碳热还原时加入Fe2O3不仅能够降低还原温度,而且莫来石相中的二氧化硅更易被还原成硅,并与金属铁结合生成硅铁合金,这为后续硅铁合金和氧化铝的分离创造了条件。该工艺将粉煤灰、Fe2O3和煤粉以5∶4∶2的质量比进行配料,使用电阻炉在1600 ℃的条件下进行焙烧,保温2 h后随炉冷却,通过破碎、筛分、研磨、磁选处理还原后的物料,得到硅铁合金初级产品及氧化铝含量较高的尾渣,硅的回收率达到76.44%,铝的实际回收率达到93.96%。
新疆某低品位难选钒钛磁铁矿工艺矿物学研究
王越, 杨耀辉, 惠博, 林海涛
2024, 45(5): 116-122. doi: 10.7513/j.issn.1004-7638.2024.05.015
摘要(435) HTML (175) PDF(31)
摘要:
为查清新疆某低品位难选钒钛磁铁矿的矿石性质及影响选矿指标的因素,开展了详细的工艺矿物学研究。结果表明:该矿石为辉长岩型低品位钒钛磁铁矿,矿石TiO2品位4.53%、TFe品位14.06%,其它有价元素含量低。钛磁铁矿为选矿回收铁元素的目的矿物,其中铁的分布率占总铁的47.892%,钛铁矿为选矿回收钛元素的目的矿物,其钛的分布率占总钛的60.881%。钛磁铁矿中常见固溶体分离矿物、蚀变矿物绿泥石及磷灰石等,粒度微细、嵌布复杂,磨矿难以与钛磁铁矿有效解离,易混入铁精矿影响铁精矿品质;钛铁矿中亦包含有微量蚀变矿物榍石及微细粒钛磁铁矿、磷灰石及硫化物等,混入钛精矿将导致钛精矿中Ca、Mg、Si、S、P等含量升高,影响精矿质量。同时,钛磁铁矿中的片晶状钛铁矿及钛铁晶石磨矿难以有效解离,在选铁环节易随钛磁铁矿进入铁精矿,这部分钛铁矿属于合理损失。
钢渣配比对钒钛磁铁矿烧结质量的影响研究
张建良, 王琪, 刘陈新, 曹朝真, 李震, 朱建秋, 郝良元
2024, 45(5): 123-129. doi: 10.7513/j.issn.1004-7638.2024.05.016
摘要(691) HTML (187) PDF(26)
摘要:
为优化钢渣的循环利用策略,提升钢铁企业的经济效益与社会效益,首先分析了钢渣中钛元素与磷元素的含量,并基于不同钢渣配比进行烧结杯试验。基于系统研究可知,在钒钛磁铁矿烧结过程中,随钢渣配比增大,烧结矿中钙钛矿相增加,部分粘结相由复合铁酸钙相向钙钛矿相转变,烧结矿整体矿相呈现不均匀化,复杂性增强,该矿相转变对烧结矿强度造成不利影响。基于磷元素富集效应,随钢渣配比增大,成品烧结矿中磷元素含量升高,当钢渣配加量为5%时,烧结杯试验烧损率最低为15.42%。钢渣配比为4%时,烧结矿成品率最高为86.49%,随钢渣配比继续增大成品率基本保持稳定。
钢铁冶金与材料
钒钛磁铁矿高炉冶炼理论燃烧温度控制研究
郑魁, 王炜, 干显, 谢洪恩, 付卫国, 董晓森
2024, 45(5): 130-138. doi: 10.7513/j.issn.1004-7638.2024.05.017
摘要(539) HTML (213) PDF(24)
摘要:
风口前理论燃烧温度是评价高炉炉缸热状态的重要参数之一。在传统理论燃烧温度计算模型基础上,综合考虑了灰分、未燃煤粉、SiO2气化率等因素对理论燃烧温度的影响,修正了理论燃烧温度计算模型。研究结果表明,传统计算模型忽略的因素对理论燃烧温度的影响程度为53~55 ℃;富氧率、喷煤量、鼓风湿度、风温、煤粉燃料率、煤粉预热温度、灰分、SiO2气化率对理论燃烧温度的影响程度依次递减;攀枝花钢钒公司高炉适宜的理论燃烧温度在21602320 ℃,鼓风湿度恒定的情况下,理论燃烧温度适宜的控制范围在22202280 ℃。将理论燃烧温度实时在线计算应用于高炉生产操作调控后,有效促进了高炉稳定顺行,降低了高炉燃料消耗。
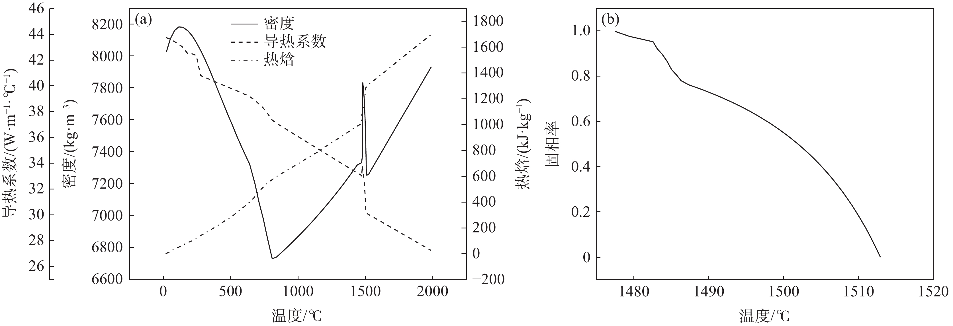
Q345R厚板坯连铸凝固过程数值模拟
郑鑫钰, 孙彦辉, 丰琦, 高擎, 杨文志, 杨建
2024, 45(5): 139-146. doi: 10.7513/j.issn.1004-7638.2024.05.018
摘要(505) HTML (205) PDF(20)
摘要:
为改善湘钢Q345R厚板坯铸坯质量,建立了凝固传热模型,采用射钉试验对模型进行验证和修正。通过数值模拟的方法,对现有的生产工艺进行了评价,并分别研究了拉速、比水量、过热度以及铸坯厚度和宽度对压下位置和压下区间的影响规律,同时研究了其对铸坯角部温度的影响规律。对模拟结果进行分析,理论上得到生产该钢种时合理的连铸工艺参数及铸坯规格,其工艺参数为:断面为450 mm×2 270 mm,拉速为0.55 m/min,过热度为15~25 ℃,二冷比水量为0.26 L/kg。矫直区为Seg.8~9,轻压下区为Seg.13~15。
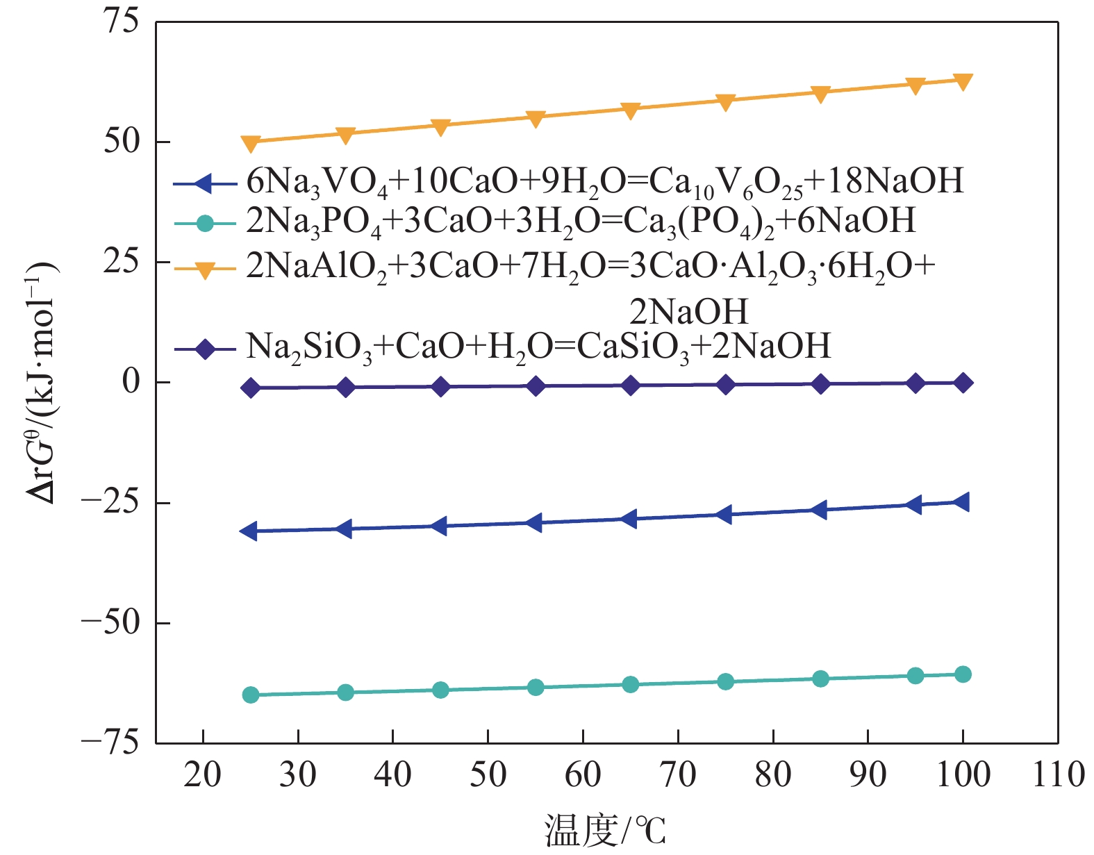
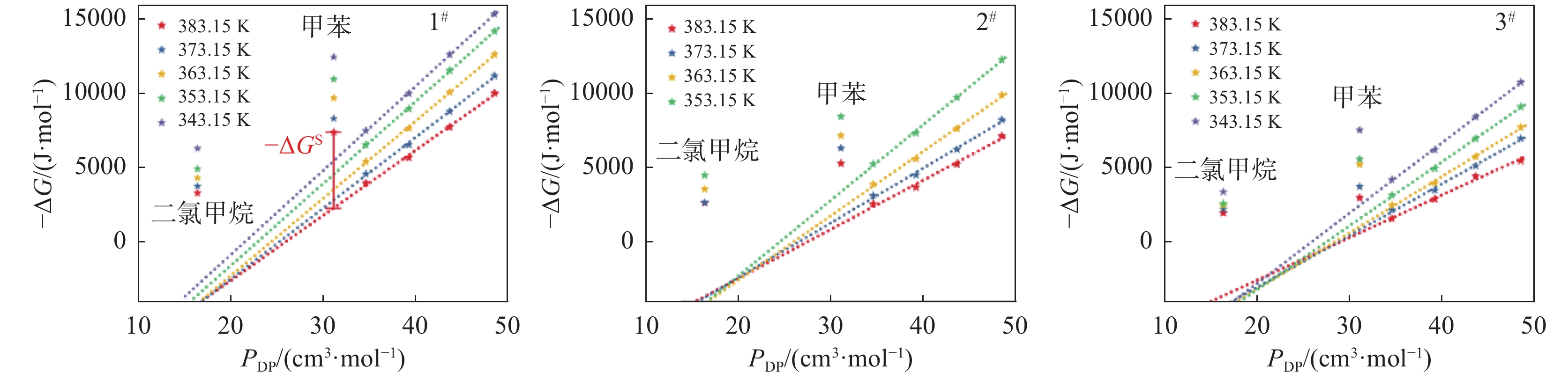
CaO-Al2O3-V2O5渣系1600 ℃相平衡关系研究
郝冠迪, 邱吉雨, 龚恒辉, 刘源, 姜茂发
2024, 45(5): 147-150. doi: 10.7513/j.issn.1004-7638.2024.05.019
摘要(358) HTML (159) PDF(21)
摘要:
CaO-Al2O3-V2O5渣系是钢液脱氮渣系的基础氧化物渣系,其相平衡关系等热力学信息对于相关渣系的研究和开发至关重要。通过高温相平衡试验,结合扫描电镜和能谱分析,研究了CaO-Al2O3-V2O5渣系的相平衡关系。根据试验结果,确定了CaO-Al2O3-V2O5渣系1 600 ℃空气气氛条件下的相平衡关系,并绘制该体系全成分范围内CaO-Al2O3-V2O5渣系的等温截面图,共包含7个平衡相区,分别是:Liquid+Al2O3+CaAl12O19、Liquid+CaAl12O19+CaAl4O7、Liquid+CaO、Liquid+Al2O3、Liquid+CaAl12O19、Liquid+CaAl4O7和单一液相区。上述平衡相区的确定可实现CaO-Al2O3-V2O5渣系相图独立子体系的划分,还可为该渣系后续高温相图的绘制提供支持。
凝固组织对重轨钢铸坯中MnS的影响
李红光, 徐明丽, 何为, 王章印
2024, 45(5): 151-157. doi: 10.7513/j.issn.1004-7638.2024.05.020
摘要(330) HTML (155) PDF(15)
摘要:
采用电化学腐刻与Aspex扫描相结合,检测了重轨钢铸坯不同位置的MnS尺寸形貌,研究了凝固组织对MnS的影响。结果表明,凝固组织由混晶转变为粗大等轴晶时,3~5 μm的MnS颗粒数量比例降低,而≥10 μm的颗粒数量比例则明显增大。从距离铸坯窄面40 mm推移至100 mm,凝固组织类型转变越明显则≥10 μm的MnS颗粒数量比例增加越多:凝固组织发生明显转变时,其比例增加48.02%,凝固组织未发生类别转变时,其比例增加0.31%。通过连铸强化冷却等缩短局部凝固时间的工艺调控,可以促进MnS细小化控制。
Cr12MoV钢铸坯夹杂物及碳化物解析
伦明睿, 沈平, 刘斌, 付建勋
2024, 45(5): 158-166. doi: 10.7513/j.issn.1004-7638.2024.05.021
摘要(510) HTML (152) PDF(25)
摘要:
使用Factsage热力学软件计算Cr12MoV冷作模具钢中不同相的转变、不同夹杂物和碳化物析出情况,OM与SEM等对模铸坯的夹杂物与碳化物进行解析。研究表明,Cr12MoV钢中主要是不规则稀土复合氧硫化物和硫化物夹杂,具体为Ce2S3、Ce2O2S和La2S3夹杂,而Al2O3和MnS夹杂经过稀土元素的改质后,几乎都以稀土复合氧硫化物和硫化物夹杂形式存在于模铸坯中,夹杂物密度和面积比例分别为102~136个/mm2和0.06%~0.15%,夹杂物等效直径集中分布于2.5~3.0 μm。Cr12MoV冷作模具钢中含有大量碳化物,其类型为富Fe和Cr的M23C6型的共晶碳化物,铸坯心部的碳化物平均等效直径为4.9 μm,边部化物平均等效直径为3.7 μm,从铸坯边部到心部碳化物面积比例为2.94%~4.31%。
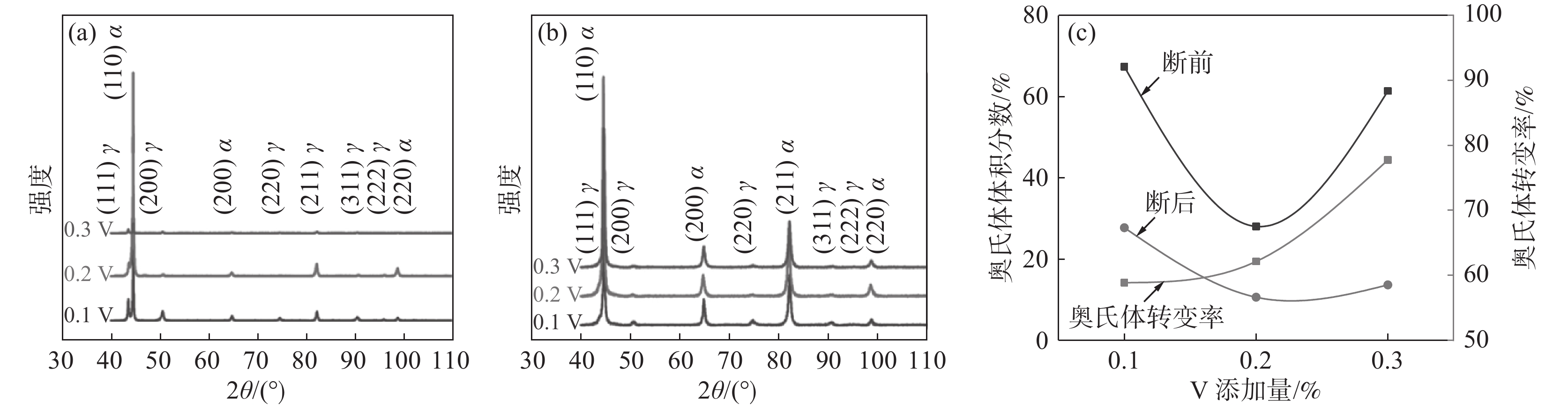
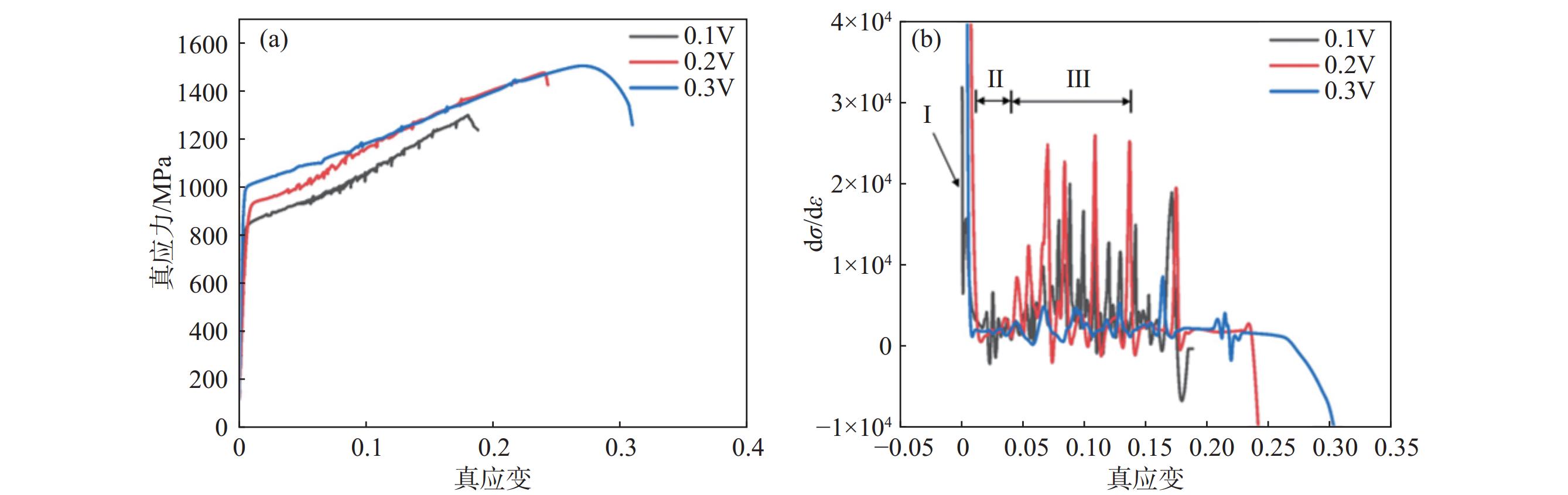
钒对7Mn钢冷轧过程组织和力学性能的影响
余海存, 吕玮, 李宁, 魏海东, 王旭明, 余涛, 丁万武
2024, 45(5): 167-172. doi: 10.7513/j.issn.1004-7638.2024.05.022
摘要(370) HTML (172) PDF(13)
摘要:
在7Mn中锰钢的基础上,向其添加不同含量的V元素,通过冷轧及退火处理,初步探究0.1%~0.3% V添加量对其组织和力学性能的影响规律。结果表明,当V添加量为0.3%时,试验钢的综合力学性能最优,屈服强度为993.96 MPa,抗拉强度为1164.56 MPa,伸长率为37.55%,强塑积为43.73 GPa·%,这是由于V在钢中形成细小弥散的第二相,在细晶强化、第二相强化和TRIP效应的共同作用下提高了试验钢的综合力学性能。
终冷温度对Ti微合金化汽车大梁用钢组织和性能的影响
韩楚菲, 董毅, 时晓光, 孙成钱, 王俊雄, 徐海健
2024, 45(5): 173-176, 204. doi: 10.7513/j.issn.1004-7638.2024.05.023
摘要(417) HTML (210) PDF(15)
摘要:
对成分为0.11C-1.20Mn-0.055Ti的510L汽车大梁钢进行热轧及层流冷却试验,研究了不同终冷温度(650、610 ℃和570 ℃)对其组织和力学性能的影响。试验结果表明:随着终冷温度的降低,钢的强度显著降低,伸长率增加;组织中等轴状铁素体含量逐渐减少,珠光体含量逐渐增加,晶粒逐渐细化。透射分析结果表明,Ti微合金化的510L汽车大梁钢组织中,析出相为立方结构的TiC相,终冷温度降低导致弥散细小TiC析出相的数量降低,终冷温度对Ti微合金化汽车大梁钢强度的影响是细晶强化和析出强化共同作用的结果。在其它工艺参数不变的情况下,为了保证钢板强韧性指标满足要求,应将钢板的终冷温度保持在650 ℃。
溶液燃烧法制备Co0.25Ni0.25Cu0.25Mn0.25Fe2O4及光催化性能研究
熊晓滢, 曹知勤, 左承阳
2024, 45(5): 177-182. doi: 10.7513/j.issn.1004-7638.2024.05.024
摘要(361) HTML (185) PDF(11)
摘要:
以硝酸钴(Co(NO3)2·6H2O)、硝酸铁(Fe(NO3)3·9H2O)、硝酸镍(Ni(NO3)2·6H2O)、硝酸锰(Mn(NO3)2·4H2O)、硝酸铜(Cu(NO3)2·3H2O)为原料,甘氨酸为燃料,通过溶液燃烧合成法制备Co0.25Ni0.25Cu0.25Mn0.25Fe2O4,探究不同甘氨酸的量对Co0.25Ni0.25Cu0.25Mn0.25Fe2O4粉末的制备以及光催化性能的影响,并以有机溶剂亚甲基蓝为污染源,测试其光催化性能。对粉末样品进行了XRD检测,并找到甘氨酸的最佳用量。结果表明:当甘氨酸与硝酸铁的摩尔比为4时,对亚甲基蓝的光催化性能最好,完全降解初始浓度0.002%、0.004%、0.006%亚甲基蓝的时间分别为40、60、70 min,并进行了动力学分析,认为降解过程受扩散步骤控制。以葡萄糖作为添加剂可有效提高Co0.25Ni0.25Cu0.25Mn0.25Fe2O4粉末的催化活性,当添加量为1 g时,完全降解初始浓度为0.004%的亚甲基蓝所需时间缩短至50 min,降解效率提高了16.7%。
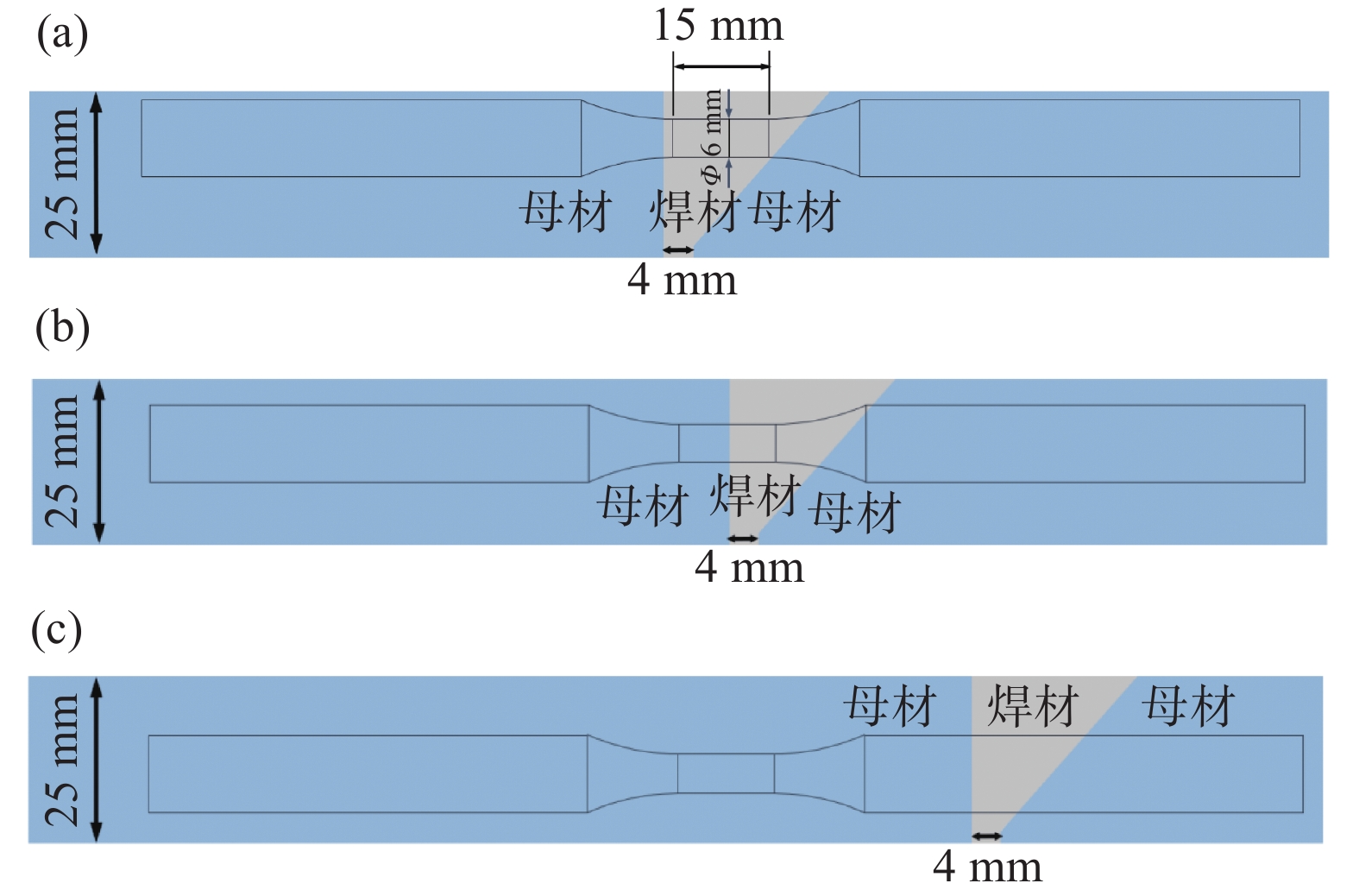
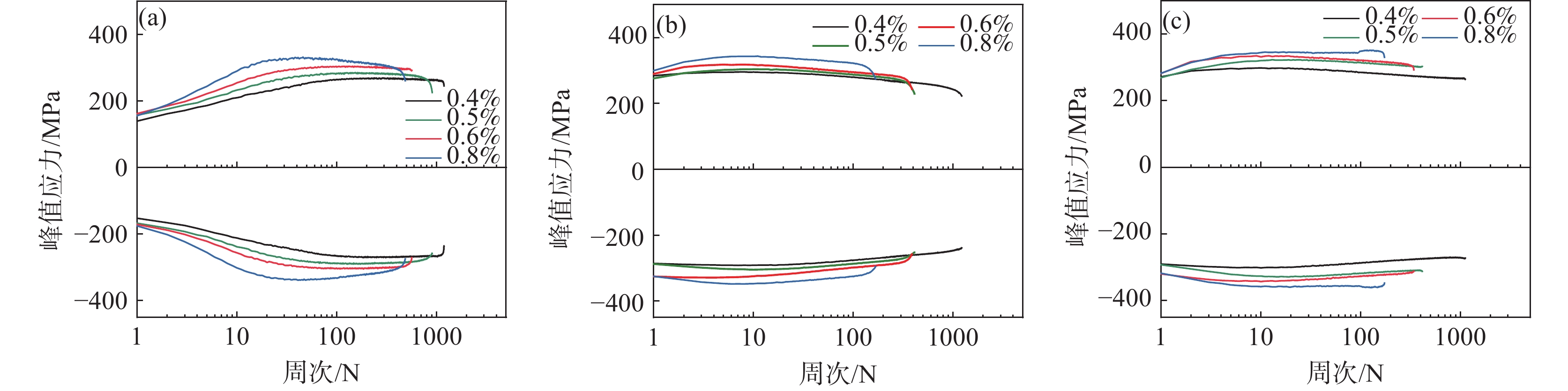
316L焊接接头不同区域低周疲劳特性与寿命预测方法
郭严峻, 张威, 杨桥发, 周昌玉
2024, 45(5): 183-192. doi: 10.7513/j.issn.1004-7638.2024.05.025
摘要(380) HTML (145) PDF(20)
摘要:
系统研究了316L母材、焊材、焊接接头三种试样的高温低周疲劳特性,通过在传统寿命预测模型中引入疲劳寿命减损系数,实现了焊接接头不同区域的低周疲劳寿命预测。结果表明,低周疲劳过程中,三种试样均在初期快速硬化,然后进入稳定循环状态,最后峰值应力快速下降并失效,其中母材硬化持续周次最长,焊材与焊接接头的硬化持续周次相对较短。随着应变幅值的增加,三者的疲劳寿命显著降低,其中母材疲劳寿命明显高于焊材及焊接接头,焊材与焊接接头的疲劳寿命相近。基于母材低周疲劳寿命,采用寿命减损系数对不同材料的低周疲劳寿命进行等效处理,选用多种寿命预测模型对三种试样的等温疲劳寿命进行预测,其中广义应变能损伤函数法在五个模型中表现出最强的适用性。
钛微合金化无取向硅钢的相变规律研究
梁筱松, 王鹏, 陈松军, 李烈军, 霍向东
2024, 45(5): 193-198. doi: 10.7513/j.issn.1004-7638.2024.05.026
摘要(448) HTML (218) PDF(15)
摘要:
采用热模拟机测定了50W600和50W600-Ti两种试验钢的CCT曲线,研究了连续冷却下两种试验钢的相变规律及含钛钢中的析出规律。结果表明,50W600的相变温度在926~1047 ℃,相变温度区间随冷速增大而减小;50W600-Ti的相变温度在838~1048 ℃,相变温度区间随冷速变化较小。两种试验钢基体组织基本为铁素体,在高冷速下有少量渗碳体;50W600显微硬度变化不大, 50W600-Ti的显微硬度在5 ℃/s冷速下出现峰值,该冷速下碳化钛粒子析出较为充分。
GB/T 2965-2023《钛及钛合金棒材》标准解析
解晨, 马忠贤, 冯军宁, 李巍, 魏佳琦, 冯永琦, 胡志杰, 马佳琨, 庆达嘎, 王若飞
2024, 45(5): 199-204. doi: 10.7513/j.issn.1004-7638.2024.05.027
摘要(1367) HTML (493) PDF(45)
摘要:
介绍了新版标准GB/T 2965-2023的修订原因和演变过程,并从标准的主要修订点,包含:术语和定义、产品分类、外形尺寸及其允许偏差、热处理制度、力学性能、试验方法、取样规定、检验结果的判定等相关内容进行了解析,为标准在后续生产、检验过程提供指导,从而对新版标准起到推广和宣贯的作用。