中文核心期刊

SCOPUS 数据库收录期刊

中国科技核心期刊

美国《化学文摘》来源期刊

中国优秀冶金期刊

美国EBSCO数据库收录期刊

RCCSE中国核心学术期刊

美国《剑桥科学文摘》来源期刊

中国应用核心期刊(CACJ)

美国《乌利希期刊指南》收录期刊

中国学术期刊综合评价统计源刊

俄罗斯《文摘杂志》来源期刊

优秀中文科技期刊(西牛计划)

日本《科学技术文献数据库》(JST)收录刊

留言板

尊敬的读者、作者、审稿人, 关于本刊的投稿、审稿、编辑和出版的任何问题, 您可以本页添加留言。我们将尽快给您答复。谢谢您的支持!

姓名
邮箱
手机号码
标题
留言内容
验证码

2024年  第45卷  第6期

综述与专论
高性能金属结构材料激光增材制造技术研究进展
王华明, 王玉岱
2024, 45(6): 1-6. doi: 10.7513/j.issn.1004-7638.2024.06.001
摘要(1232) HTML (255) PDF(127)
摘要:
高性能金属构件激光增材制造技术在重大高端装备制造中展现出巨大发展潜力和广阔的应用前景,北京航空航天大学在大型金属构件激光增材制造方面开展了深入研究,取得了许多突破性研究成果。文中综述了该团队在高性能金属结构材料激光增材制造技术方面的研究进展,揭示了激光增材制造非平衡凝固形核生长机理,建立了钛合金和镍基高温合金晶粒形态主动控制方法,提出了激光增材制造材料强韧化新机理,开发出高性能增材制造钛合金和超高强度钢。未来研究热点仍聚焦于激光/金属交互作用行为、材料凝固相变规律等基础问题研究,以及基于激光增材超常冶金的高性能全新金属结构材料设计与开发,以进一步发挥激光增材制造技术在国家重大装备大型金属构件制造方面的变革性潜力。
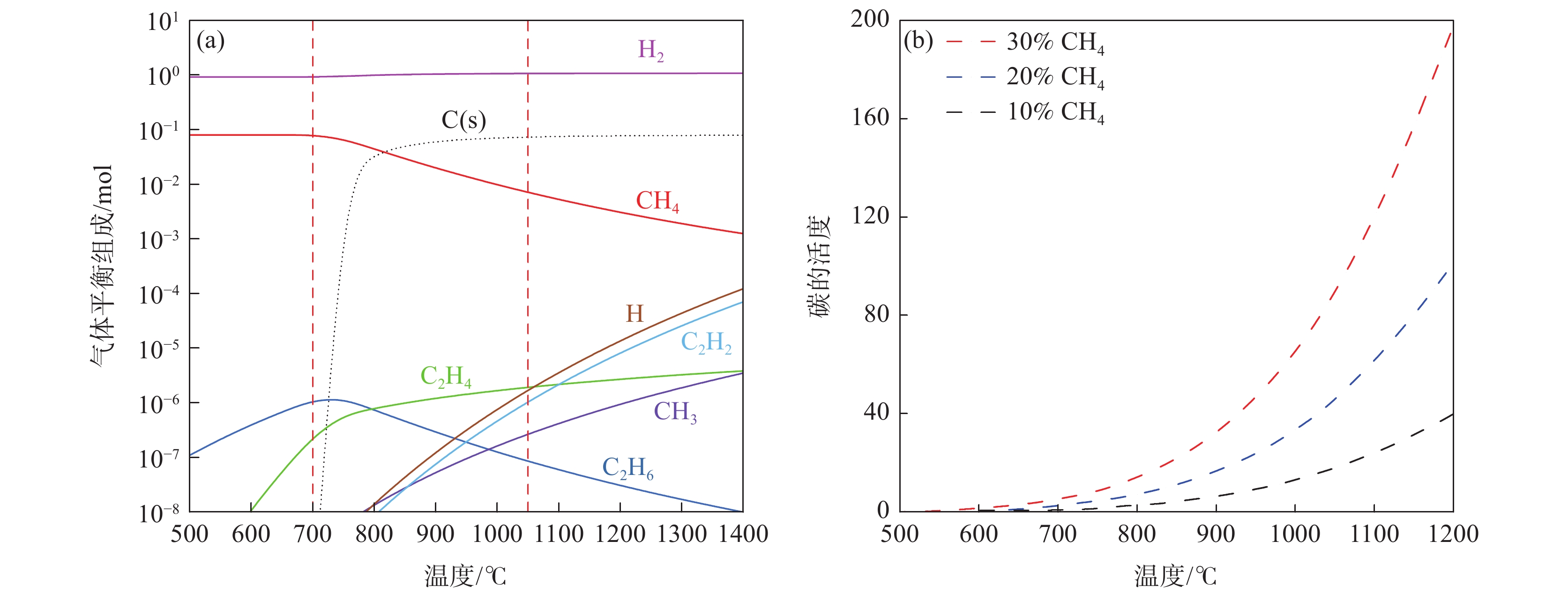
基于CH4-H2体系的氢还原技术发展现状
张润, 谭钞文, 党杰
2024, 45(6): 7-18. doi: 10.7513/j.issn.1004-7638.2024.06.002
摘要(441) HTML (253) PDF(34)
摘要:
在“双碳”目标与“双高”限制的双重挑战下,火法冶金领域正面临能耗与碳排放的双重压力,对清洁能源的需求愈发迫切。氢能,作为一种可再生清洁能源,为火法冶金带来了节能低碳、绿色转型的新曙光。基于CH4-H2体系的氢还原技术,凭借其优良的还原能力和低碳无污染的特性,已成为冶金领域研究的热点。阐述了CH4-H2体系的还原热力学与动力学原理,以及国内外相关技术及研究进展,总结了该技术在还原金属矿物(铁、钛、镍、锌、钴、铬、锰)方面的研究成果与发展方向,并针对尚未解决的问题进行了系统分析。基于CH4-H2体系的氢还原技术有巨大的应用潜力,这些探讨将有助于推动该技术的进一步发展。
钒钛分离与提取
从提钒尾液制备磷酸锰铁锂正极材料的研究
李智宇, 汤婷, 王正豪, 陈良, 朱英明, 吴可荆, 罗冬梅
2024, 45(6): 19-27. doi: 10.7513/j.issn.1004-7638.2024.06.003
摘要(725) HTML (167) PDF(70)
摘要:
以钒渣提钒过程中产生的富含铁锰的浸出液为原料,通过共沉淀法制备了二水草酸铁锰Mn0.5Fe0.5C2O4∙2H2O,以此为前驱体,通过高温固相法成功合成了磷酸锰铁锂LiFe0.5Mn0.5PO4正极材料,实现了钒渣浸出液中铁锰资源的综合利用。结果表明,在初始pH值为3.5,温度25 ℃,反应时间90 min,草酸铵加料量为理论值的1.1倍,加料方式为正加的条件下,铁和锰的沉淀率分别为99.5%和99.4%,与其他杂质实现深度分离,Mn0.5Fe0.5C2O4·2H2O的纯度达99.97%,且粒径较小,分散性良好。可将其作为合成磷酸锰铁锂正极材料的前驱体,为磷酸锰铁锂的工业化生产提供了思路。
活化剂强化钛精矿酸浸过程研究
王海波, 龙涛, 向龙, 李礼, 田从学
2024, 45(6): 28-33. doi: 10.7513/j.issn.1004-7638.2024.06.004
摘要(420) HTML (126) PDF(25)
摘要:
针对硫酸法钛白生产中反应酸浓度较高导致不能实现硫酸平衡的问题,通过引入活化剂强化酸解反应过程,降低反应酸浓度。研究了活化剂对钛精矿低浓度酸浸的强化作用,考察了反应酸浓度和活化剂加量对反应温度和钛浸出率的影响。结果表明:活化剂的加入,可以增加反应放热量,提高反应温度,并改善固相物的疏松度,浸出活性更高;活化剂加量为0.5%、酸矿比为1.56∶1,反应酸浓度为80%的条件下,钛精矿的钛浸出率达到93.47%;酸浸残渣主要成分为TiFeO3、Ca(Fe, Mg)Si2O6和SiO2,表明原料中的钛大部分被转移到液相中。
钛的吸氢制备及其能量分析
赖奇, 彭富昌, 陈映志, 张静, 赵曦光, 陈今良, 吴毅, 董英杰
2024, 45(6): 34-38. doi: 10.7513/j.issn.1004-7638.2024.06.005
摘要(407) HTML (251) PDF(22)
摘要:
以海绵钛为原料,在不同温度、不同时间下制备出氢化钛。根据重量变化分析其反应原理,用X射线衍射仪(XRD)进行结构分析,扫描电镜(SEM)进行形貌分析。结果显示:随反应温度升高,氢化钛质量增加率增大,脆性也变大。当温度高于500 ℃之后,质量增长率变化不大。热力学计算结果发现温度从300 ℃增加到700 ℃时,平衡常数显著下降,表明反应温度过高不利于反应进行。氢化过程的吸附能量计算表明其较优吸附位位于其中心点位。固溶能量分析表明氢原子更倾向于占据八面体间隙。
功能性离子液体靶向萃取提钒研究进展
项新月, 叶国华, 项朋志, 荣一阳, 张云, 宋昌溆
2024, 45(6): 39-49. doi: 10.7513/j.issn.1004-7638.2024.06.006
摘要(522) HTML (147) PDF(29)
摘要:
溶剂萃取法是提钒最常用的分离富集方法。传统的工业萃钒方法存在萃取效果不理想、选择性差以及环境和安全方面等问题。离子液体具有宽液程、低蒸汽压不易挥发、物化性质可调、易于功能性设计、电化学窗口宽、导电性好、热稳定性高等诸多优点,可实现钒的靶向高效萃取。综述了离子液体萃取回收钒的研究进展,重点关注了咪唑类离子液体和季铵盐类离子液体的物化性质、合成方法与萃钒机理。钒的萃取机理主要包括阴离子交换和中性络合等机制,通过不同离子液体的特性,钒的萃取效率和选择性得以优化。通过对离子液体在提钒过程中的机理分析和应用案例的揭示,以期为钒提取领域的研究和应用提供参考。同时,也指出了离子液体萃取剂在成本、大规模应用等方面面临的一些挑战,需要进一步的研究和发展。
钒钛磁铁矿提钒尾渣综合利用工艺研究进展及展望
王新宇, 赵海泉, 齐渊洪, 王锋
2024, 45(6): 50-58. doi: 10.7513/j.issn.1004-7638.2024.06.007
摘要(669) HTML (200) PDF(71)
摘要:
钒钛磁铁矿提钒尾渣是转炉钒渣提钒的副产品,因含有多种有价元素而极具回收价值。但因目前缺乏有效的利用工艺而大量填埋或堆积,造成资源浪费和环境污染。根据钒渣提钒工艺和化学成分对钒钛磁铁矿提钒尾渣进行了分类,阐述了采用氧化法(包括氧化焙烧、电场耦合H2O2+CaF2浸出法)、直接浸出法(包括酸浸和亚熔盐法)、还原法(包括熔融还原和直接还原)对提钒尾渣中有价元素提取的原理和优缺点,以及作为功能材料用于制备蓄热材料的研究现状。认为酸浸工艺是当前研究的热点,但熔融还原能够同时回收铁、钒、铬、钛,具有综合回收率高、工艺流程短的特点,应用前景较广。指出了当前综合利用工艺存在的问题,提出了火法冶金+湿法冶金+物理分离的耦合技术以及作为热能蓄热材料使用的研究方向,并应加强终渣、废液排放的监管力度和毒性检测的研究,为钒钛磁铁矿提钒尾渣的高值化、无害化综合利用提供参考。
水解偏钛酸沉降高度影响因素分析
吴健春
2024, 45(6): 59-63, 150. doi: 10.7513/j.issn.1004-7638.2024.06.008
摘要(351) HTML (215) PDF(22)
摘要:
以某钛白粉厂生产数据为依据,统计分析了水解偏钛酸沉降高度对粒度分布和初品质量的影响规律。结果表明,随着水解偏钛酸沉降高度增加,水解偏钛酸D50呈现增加趋势,相应获得初品Tcs和Scx均呈现下降趋势,初品平均粒径呈现增加趋势,控制偏钛酸沉降高度在130 mm以下可以获得颜料性能较好的钛白粉。试验研究表明,水解钛液的TiO2浓度、F值、水解晶种加量和水解判灰时间均对水解偏钛酸的沉降高度和D50有较大影响。随水解钛液浓度增加,水解偏钛酸沉降高度呈下降趋势,随F值增加,水解偏钛酸沉降高度和D50呈现增加趋势,随水解晶种加量的增加,水解偏钛酸沉降高度呈下降趋势,随判灰时间的延长,水解偏钛酸沉降高度呈现先增加后减小的趋势。
钒钛材料与应用
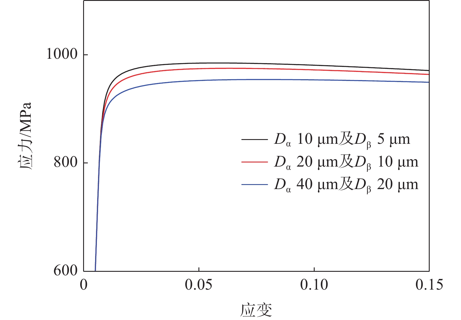
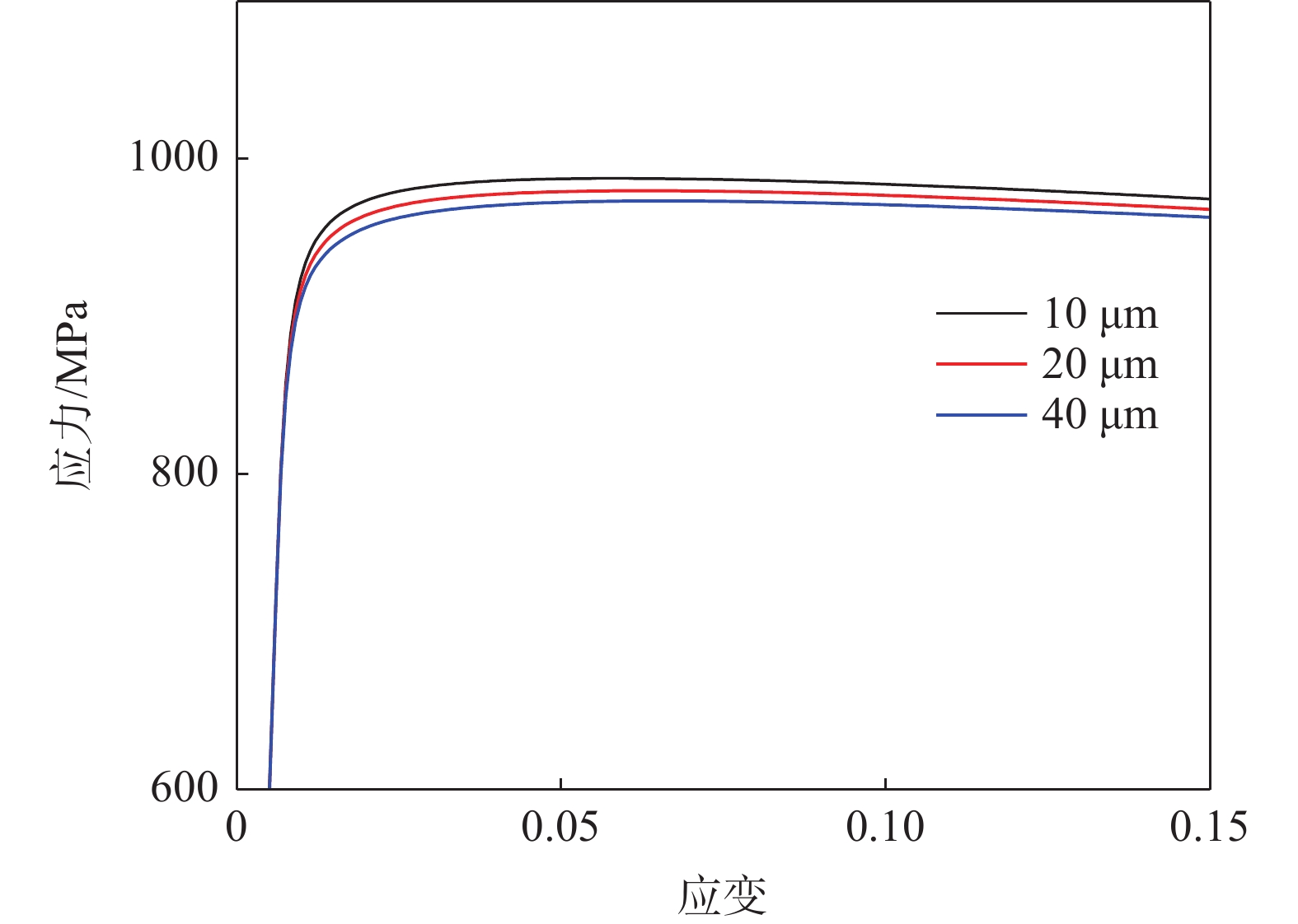
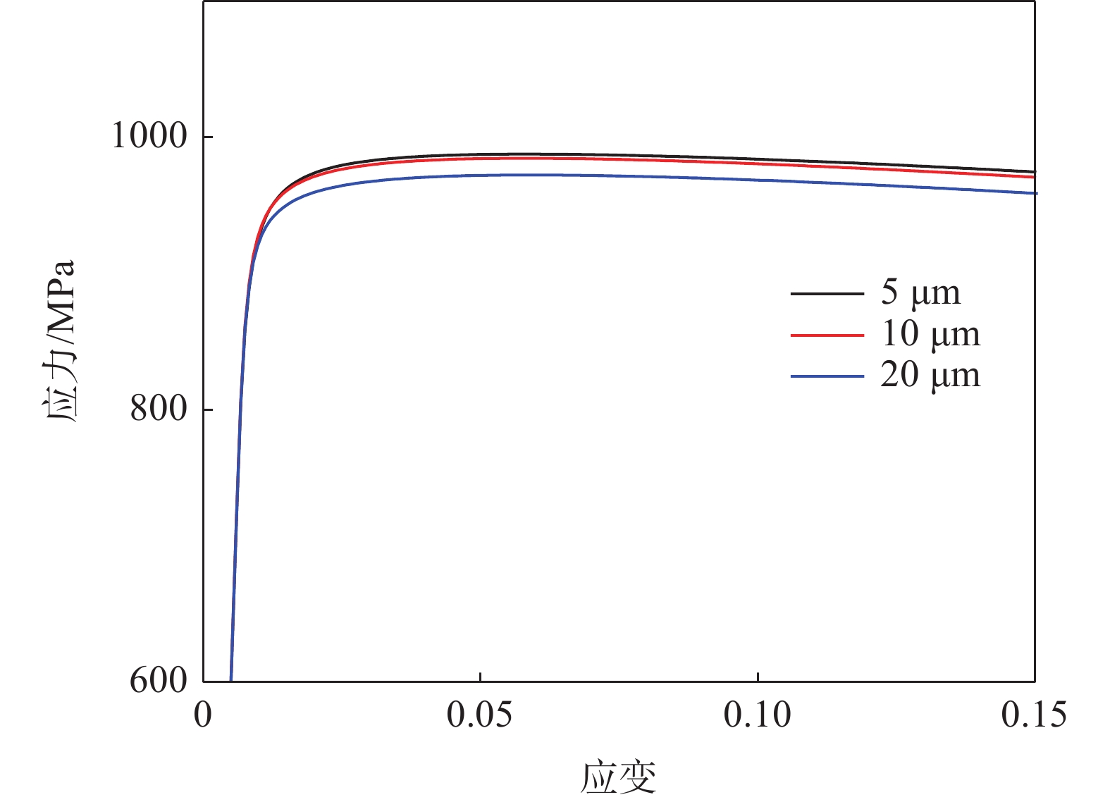
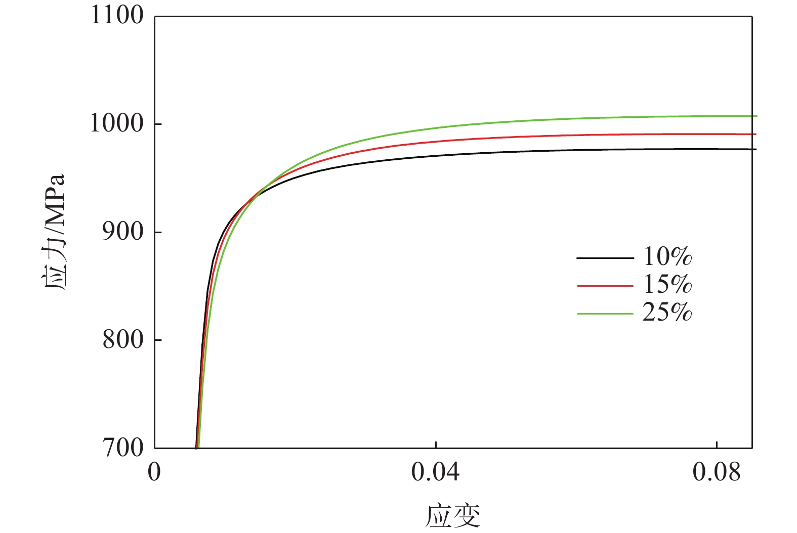
双相钛合金Ti-6Al-4V拉伸行为的晶体塑性有限元研究
张龙, 常乐, 林鸿运, 周昌玉
2024, 45(6): 64-73. doi: 10.7513/j.issn.1004-7638.2024.06.009
摘要(968) HTML (203) PDF(61)
摘要:
通过晶体塑性有限元方法探究了α/β相含量和晶粒尺寸对Ti-6Al-4V双相钛合金拉伸力学性能的影响,通过滑移相对分数定量化评估不同滑移系对塑性变形的贡献。结果表明:Ti-6Al-4V钛合金拉伸变形过程中应力应变分布不均匀,应力集中在β相变体晶粒及晶界处,应变集中在α相晶粒附近。随β相含量升高,应力集中区域更多,三叉晶界处越易产生应变集中,β相$ \left\{110\right\} $滑移系对塑性变形的贡献大幅提高。随着α相、β相或两相晶粒尺寸同时扩大,塑性段应力应变曲线下降,且初始变形都主要由柱面滑移系主导,锥面$ \left\langle\mathrm{c}+\mathrm{a}\right\rangle $滑移系贡献次之。增大α相晶粒尺寸,锥面$ \left\langle\mathrm{c}+\mathrm{a}\right\rangle $滑移系活性下降,导致塑性阶段应力值降低。增大β相晶粒尺寸,塑性阶段应力的降低与β相中$ \left\{110\right\} $滑移系活性下降有关。同时增大α及β相晶粒尺寸时,会同时影响柱面滑移系和$ \left\{110\right\} $滑移系的相对分数,应力值的下降与界面数量的显著下降有关。
TA18钛合金管惯性摩擦焊接头组织与性能
成培鑫, 席锦会, 刘姣, 石立超, 张健健
2024, 45(6): 74-79. doi: 10.7513/j.issn.1004-7638.2024.06.010
摘要(361) HTML (224) PDF(22)
摘要:
对TA18钛合金管材开展惯性旋转摩擦焊接(IRFW)研究,采用光学显微镜与扫描电镜观察了TA18钛合金管摩擦焊接头各个区域的组织形态,结合焊接过程分析了组织的特征与演化机制,根据拉伸试验、室温冲击试验、显微硬度试验等测试结果分析了焊接接头的力学性能。结果表明,由于短时间内焊接接头处发生了强烈的塑性变形,IRFW接头焊缝处的组织为针状α′相;热影响区的组织为等轴α相、部分针状α′相和残余β相。TA18钛合金管材IRFW接头的抗拉强度与母材相当,且断裂位置均位于远离焊缝中心的位置。IRFW接头显微硬度较均匀,各区域硬度匹配性好,接头具有良好的冲击韧性,达到母材的96.85%。
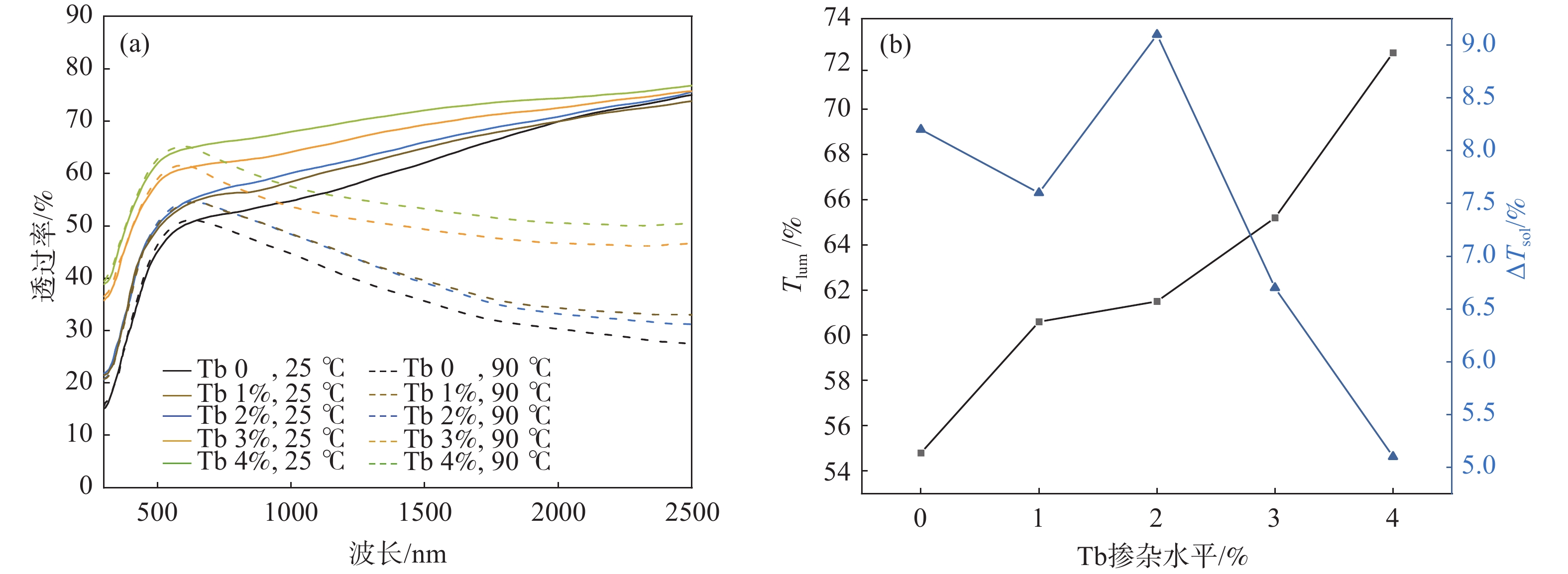
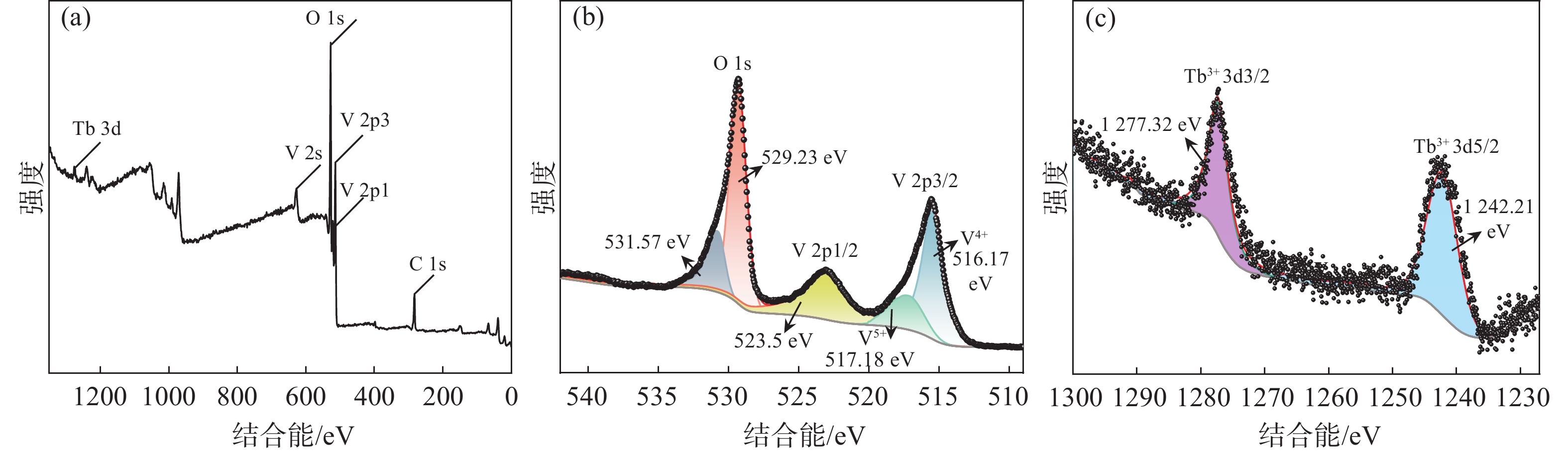
V1-xTbxO2(x=0,1,2,3,4)(M)薄膜的制备及其性能研究
杜金晶, 刘景田, 朱军, 林海洋, 翟芮潼, 左恒, 马嘉艺, 王东博
2024, 45(6): 80-86. doi: 10.7513/j.issn.1004-7638.2024.06.011
摘要(299) HTML (128) PDF(16)
摘要:
主要研究了重稀土铽元素(Tb)掺杂对二氧化钒薄膜V1-xTbxO2(x=0,1,2,3,4)(M)相结构、微观形貌、相变温度、光学及力学性能的影响。结果表明:V1-xTbxO2(x=0,1,2,3,4)(M)样品的衍射峰尖锐,未出现其他杂质峰,具有较高的结晶度和纯度。Tb元素掺杂能明显影响二氧化钒的微观结构特征,随着Tb掺杂量的增加,相变温度呈下降趋势,在4% (原子分数,下同)的掺杂水平下,相变温度降至59.01 ℃。紫外-可见-近红外光谱分析表明,在1%~4%的Tb掺杂水平下二氧化钒薄膜的光学性能增强。在2% Tb掺杂时太阳光调制能力(ΔTsol)达到9.1%,可见光透过率(Tlum)为61.5%;在4% Tb掺杂时可见光透过率达到72.5%。力学性能表明,Tb掺杂对二氧化钒薄膜的力学性能具有增强作用。当掺杂量为2%时,VO2薄膜的力学性能显示出最大值,弹性模量及硬度分别为83.6065 GPa和8.0026 GPa。
V含量对激光熔覆铁铬合金涂层组织结构及性能的影响
张雪峰, 卿光洋, 周浩然, 翁刘, 陈敏, 赵海泉, 吴博涛, 张鑫
2024, 45(6): 87-93. doi: 10.7513/j.issn.1004-7638.2024.06.012
摘要(305) HTML (178) PDF(17)
摘要:
采用激光熔覆技术制备了不同V含量的铁铬合金涂层,结合金相观察、SEM & EDS、X-射线衍射等分析方法研究了V含量变化时激光熔覆铁铬合金涂层的显微组织与性能的变化规律。结果表明,V含量较低时铁铬合金涂层以树枝晶生长模式为主,涂层界面的树枝晶生长过程中Cr元素来不及完全固溶到基体中,引起基体衍射峰向高角度处偏移。增加V含量能够促进树枝晶向胞状晶转变,有效改善了Cr元素在基体中不能完全固溶的现象。VC的形成促进了凝固过程中γ-Fe向马氏体的转变,涂层硬度提升,但当V含量增加到2%时,原料中高熔点钒铁含量增加,导致涂层中气孔缺陷增加,引起涂层耐磨性能降低。当V含量为1%时涂层性能最佳。
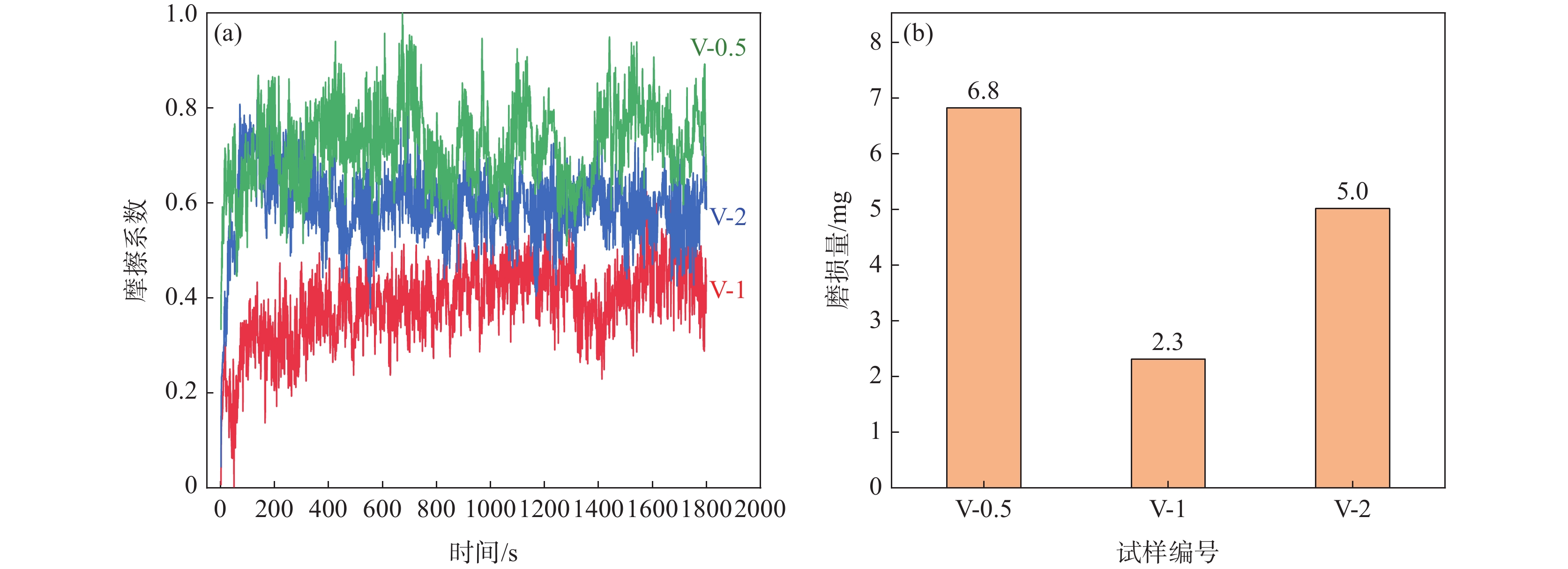
预置TiCuZnSn的钛表面搅拌摩擦改性层组织与摩擦磨损性能
党杰, 李杰, 周鹏, 史洪源, 惠媛媛
2024, 45(6): 94-99. doi: 10.7513/j.issn.1004-7638.2024.06.013
摘要(297) HTML (146) PDF(13)
摘要:
为了获得表面综合性能良好的生物医用钛金属,在TA2纯钛表面预置等物质的量的Ti、Cu、Zn、Sn金属粉末,采用搅拌摩擦加工技术对纯钛进行表面改性。通过扫描电镜、能谱仪、电子背散射衍射对钛表面改性层微观组织进行观察和分析,利用纳米压痕、摩擦磨损试验测试改性层机械性能。结果表明:搅拌摩擦加工技术可获得内部无缺陷、与TA2纯钛基体结合良好的表面改性TiCuZnSn合金层,改性层最大深度约2.5 mm;合金元素Cu、Zn、Sn提高了改性层的杨氏模量和硬度,特别是对改性层硬度的提升效果更显著;TiCuZnSn改性层对TA2钛摩擦系数的影响不显著,但改性层的平均磨损率会大幅降低,与TA2钛相比,TiCuZnSn表面改性层平均磨损率降低约28.95%。
钒掺杂钴铁水滑石的制备及其析氧性能研究
曾泽华, 张东彬, 尹翔鹭, 代宇, 雍玲玲, 辛亚男, 滕艾均
2024, 45(6): 100-107. doi: 10.7513/j.issn.1004-7638.2024.06.014
摘要(455) HTML (220) PDF(24)
摘要:
开发环境友好且毒性相对较低的析氧反应(OER)电催化剂是目前水分解的最大困难之一。采用电沉积的方法在泡沫镍(NF)上原位生长了钴铁层状双氢氧化物(CoFe LDH)和钒掺杂的钴铁层状双氢氧化物(V-CoFe LDH)纳米片,并将其作为OER催化剂以探究其析氧性能。研究结果表明,在碱性介质中,当电流密度为100 mA·cm−2时,CoFe LDH和V-CoFe LDH的过电位分别为396 mV和356 mV,CoFe LDH和V-CoFe LDH分别具有224 mV·dec−1和210 mV·dec−1的Tafel斜率。此外,相比于CoFe LDH,V-CoFe LDH电催化剂具有大的电化学比表面积和优异的电解液润湿性。这些结果均表明V的引入有助于增强材料的OER性能。结合密度泛函理论计算和试验结果证明,V的掺杂不仅优化了材料的电子结构,增强了导电性,同样降低了吸附能,增强了催化剂与电解液的接触。
钢铁冶金与材料
富氧方式对高炉风口回旋区状态的影响研究
郑魁, 赵鹏, 胡鹏, 黄云, 张建良, 徐润生
2024, 45(6): 108-118. doi: 10.7513/j.issn.1004-7638.2024.06.015
摘要(634) HTML (230) PDF(32)
摘要:
依据国内某企业冶炼钒钛磁铁矿高炉的实际尺寸建立了三维物理模型,利用数值模拟的方法对比研究了不同富氧方式下煤粉在风口回旋区内的流动、燃烧行为。结果表明,减风富氧与定风富氧方式工况下,风口气流速度变化随富氧率变化的整体趋势一致,但变化幅度差距显著,即富氧率增加1%,风口截面速度分别增加4.25 m/s(定风)和0.41 m/s(减风)。两种富氧方式下,回旋区内的温度、还原气体含量及煤粉燃尽率与富氧率的变化趋势一样,即富氧率增加,温度增加,高温区域扩大,还原气体含量增加,煤粉的燃尽率上升。其中,减风富氧时由于热风流量减小,带入高炉的N2量减少,煤气中CO和H2的含量变化较大,对高炉减少氮化碳和碳化钛生成、改善铁矿还原效果具有较好的帮助,建议高炉提高富氧率采用减风富氧模式。经计算,富氧率每增加1%,回旋区平均温度增加34.22 K(定风)和32.88 K(减风);减风富氧条件下,富氧率每增加1%,热风带入高炉的N2量减少10 m3/min,煤气中的CO质量浓度上升8.61%。
未燃煤粉及其还原产物在高钛型高炉渣中的行为研究
谢洪恩, 郑魁, 胡鹏, 唐文博, 令新科
2024, 45(6): 119-126. doi: 10.7513/j.issn.1004-7638.2024.06.016
摘要(297) HTML (183) PDF(16)
摘要:
采用旋转柱体法对配加未燃煤粉的高钛型高炉渣的黏度进行了测量,结合试验样品的宏观形貌和不同部位微观结构的表征,对未燃煤粉及其还原产物在高钛型高炉渣中的行为进行了分析。结果表明,未燃煤粉不可避免地会与渣中TiO2反应,残余的未燃煤粉及其还原产物,如Ti(C,N)或TiCxOy等高熔点物相不均匀分布于渣中。随着初始未燃煤粉含量从0增加至5.51%,渣中TiC和TiN含量之和从0.456%升高至2.515%,反应生成的高熔点物质向下沉降聚集,残余的未燃煤粉则向上运动,与上部炉渣中的TiO2继续反应生成高熔点物质或形成泡沫渣,并导致炉渣黏度显著升高,波动显著加剧,炉渣中部则几乎没有残余未燃煤粉和高熔点还原产物。
固态脱碳过程中碳的扩散行为研究
祝广鹏, 艾立群, 洪陆阔, 孟凡峻, 闻莉, 孙彩娇
2024, 45(6): 127-132. doi: 10.7513/j.issn.1004-7638.2024.06.017
摘要(455) HTML (218) PDF(12)
摘要:
为研究Fe-C-Mn合金薄带固态脱碳过程脱碳效果及Mn含量对C原子扩散作用,以1 mm厚的Fe-2.7%C-(5%,12%)Mn合金成分薄带为研究对象进行固态脱碳试验,利用lammps软件开展分子动力学模拟试验,探索Mn含量对C原子扩散的定性规律。结果表明:分子动力学模拟结果同固态脱碳试验结果计算扩散激活能基本一致,5%Mn在1223、1323 K和1363 K温度下脱碳试验结果和分子动力学模拟理论结果得到的C原子的扩散激活能分别为78.549 kJ·mol−1和83.805 kJ·mol−1。在1363 K进行固态脱碳试验,5%Mn和12%Mn合金薄带5~20 min主要限制性环节为内部碳扩散,12%Mn脱碳效果不如5%Mn,表明Mn含量增加对C扩散起到抑制作用。分子动力学模拟结果表明Mn含量增加会降低C原子扩散能力。
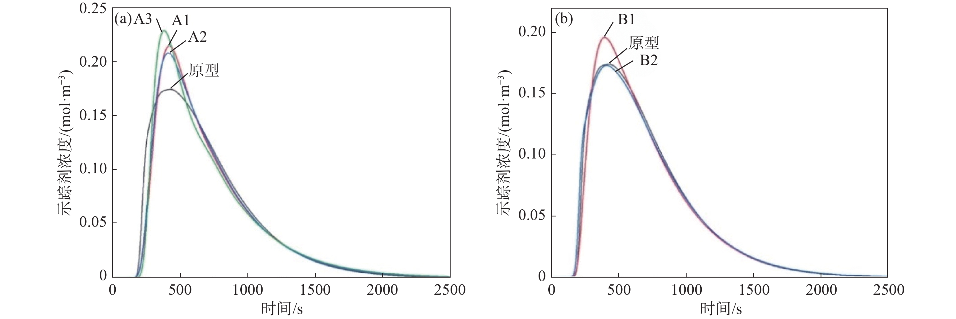
单流板坯中间包控流装置优化的数理模拟及应用
黄磊, 谢旭琦, 张华, 李宇翔, 黄在京, 黄柯杰, 方庆
2024, 45(6): 133-141. doi: 10.7513/j.issn.1004-7638.2024.06.018
摘要(437) HTML (202) PDF(15)
摘要:
合理的控流装置结构和布局是提升中间包内钢液洁净度的关键。采用数值模拟与水力学模拟相结合的方法对某厂单流板坯中间包控流装置不同组合方式及位置的钢液流动行为、RTD曲线及夹杂物去除率进行分析,结果表明,在坝墙间距不变情况下,挡墙往长水口侧移动适当距离会延长钢液平均停留时间9.9 ~17.9 s、死区体积比例减小0.45~0.85个百分点、中间包低温区域减少,净化钢液的能力有所提升;在坝墙间距改变的情况下,坝墙间距过大可能会导致中间包浇注区钢液的紊乱,钢液平均停留时间延长不明显,死区体积比例反而增大0.33个百分点,中间包低温区域增大,夹杂物总去除率上升0.18个百分点。因此,坝墙间距为473.5 mm及挡墙与长水口距离为720 mm是较为理想的控流装置组合方式。采用优化方案后,中间包内钢液洁净度得到有效提升。
板坯连铸浸入式水口及结晶器内钢液流态的研究现状分析
田玉石, 仇圣桃, 朱荣, 徐李军, 时朋召, 王旭
2024, 45(6): 142-150. doi: 10.7513/j.issn.1004-7638.2024.06.019
摘要(511) HTML (198) PDF(24)
摘要:
通过系统分析连铸水口及结晶器内钢液流态的研究现状,深入探讨了不同工况条件下流态的转变规律、共性特征、影响因素及其对铸坯质量的影响,并着重分析了结晶器流动的非对称性。认为:①水口内存在气泡流、膜状流、环状流和段塞流等多种流态,流态受液体流量、气体流量和中间包液位影响。其中,气泡流相对稳定,有利于连铸生产。②当板坯结晶器处于对称的双辊流状态,且液面流速控制在0.26~0.43 m/s时,有助于显著提高铸坯质量;同时,较高的拉速、较低的氩气流量以及增大的水口浸入深度有助于形成双辊流。③流动非对称性会引发偏流,通过精准的工艺操作可保障生产顺行并提高铸坯质量。
稀土对Ni-Al系马氏体时效钢中夹杂物的改性作用
田方铖, 高雪云, 曹悦, 邢磊, 华连庚, 王海燕
2024, 45(6): 151-158. doi: 10.7513/j.issn.1004-7638.2024.06.020
摘要(384) HTML (204) PDF(18)
摘要:
钢中的非金属夹杂物对超高强度钢的塑韧性具有重要的影响。在Fe-Ni-Al系马氏体时效钢中加入稀土La、Ce元素,通过扫描电子显微镜及能谱仪(SEM-EDS)与电子探针(EPMA)分析结合FactSage热力学计算,研究了不同稀土元素对钢中非金属夹杂物的变质机理。结果表明,马氏体时效钢中加入稀土元素后形成了含稀土的RE-O-S和RE-Al-O,抑制了Al2S3的形成,对AlN夹杂物的形成没有明显影响,夹杂物经稀土改性后形状由条状和不规则的几何形状转变为接近球状。热力学计算结果表明,添加稀土元素后,钢液中可能形成的夹杂物热力学稳定性大致为REAlO3→Al2O3→稀土硫化物→AlN。加入稀土后,在高温熔融态下钢液中RE2O3和Al2O3就已稳定存在,并且随着冷却温度的降低,钢中的夹杂物按REAlO3→RE2O2S→RES的顺序逐渐析出,且稀土La和Ce的夹杂物演化路径基本相同。
U71Mn重轨钢轧制后夹杂物分布行为研究
宋光洁, 王奕, 何建中, 张达先, 付建勋
2024, 45(6): 159-166. doi: 10.7513/j.issn.1004-7638.2024.06.021
摘要(311) HTML (152) PDF(19)
摘要:
非金属夹杂物的形态和分布对重轨钢的性能具有显著影响。采用光学显微镜、扫描电镜、夹杂物三维刻蚀仪、Thermo-calc软件对某厂生产的U71Mn重轨钢中的夹杂物进行了研究。结果表明,U71Mn重轨钢中轨腰处夹杂物的平均等效直径、长宽比最大,数量密度最小。轨头、轨腰、轨底的夹杂物密度分别为18、12、14 个/mm2,平均等效直径分别为2.5 、2.7、2.4 μm,平均长宽比分别为7.4、13.3、6.4。钢中夹杂物以单独存在的MnS和CaO·Al2O3·SiO2·MgO复合夹杂物为主。轨头和轨底处的MnS尺寸较小,集中分布在10~50 μm;轨腰处的MnS夹杂物尺寸较大,多在20~80 μm,且存在多条大尺寸的MnS被轧制在同一条水平线上。CaO·Al2O3·SiO2·MgO复合夹杂物沿轧制方向普遍呈近球形和不规则形。
退火工艺对2Cr12Ni4Mo3VNbN叶片钢组织和性能的影响
曹晨星, 信瑞山, 俞占扬, 李晓凯, 何玉东, 姚斌, 王利伟, 何毅
2024, 45(6): 167-171. doi: 10.7513/j.issn.1004-7638.2024.06.022
摘要(427) HTML (165) PDF(23)
摘要:
针对2Cr12Ni4Mo3VNbN工业棒材退火硬度偏高问题,系统研究了不同退火工艺对2Cr12Ni4Mo3VNbN叶片钢组织和硬度的影响。结果表明:相较于两相区加热退火和不完全退火的一段式退火,完全退火具有更好的退火效果,退火后硬度最低,且炉冷可使硬度进一步降低。采用两段式退火和三段式退火可改善组织均匀性,显著降低硬度,而三段式退火工艺优于一段式退火和两段式退火工艺。
回火温度对淬火后1500 MPa级热成形钢力学性能和组织的影响
王子健, 黄伟, 彭则, 梁肖, 邓建林
2024, 45(6): 172-176. doi: 10.7513/j.issn.1004-7638.2024.06.023
摘要(426) HTML (156) PDF(24)
摘要:
针对1 500 MPa级热成形钢进行淬火和回火处理,利用金相显微镜、室温拉伸检测和扫描电镜等方法研究回火温度对材料显微组织和力学性能的影响。结果表明:Cr含量过高,会降低C的活度,抑制渗碳体的形成,因此钢中主要碳化物为M23C6和M7C3类,随着回火温度提高到400 ℃左右,碳化物会由M23C6类转化为M7C3类;抗拉强度、屈服强度和硬度随着回火温度的升高逐渐降低,当回火温度超过400 ℃之后强度会显著降低,延伸率随着回火温度的升高逐渐升高,而强塑积随着回火温度的升高呈现先增大后减小的趋势;板条马氏体中存在的高密度位错会随着回火温度的升高而下降,马氏体板条会相互吞噬、合并,逐渐模糊,基体中出现铁素体,此外碳化物也会析出并长大。
镍基合金NS1402 TIG焊接头组织力学性能与耐蚀性能研究
周广涛, 崔黎林, 郑淮北, 张洪涛
2024, 45(6): 177-183. doi: 10.7513/j.issn.1004-7638.2024.06.024
摘要(350) HTML (148) PDF(20)
摘要:
采用TIG焊接方式,以镍基焊丝ERNiFeCr-1作为填充材料对国产镍基合金NS1402进行焊接性研究,并与国外Incoloy825合金进行对比,分析其接头的显微组织和力学性能。同时对比了普通低合金钢焊丝ER50-6对国内外两种合金的焊接性的影响,并研究其接头的耐腐蚀性能。结果表明,镍基合金NS1402接头成型良好,焊缝区组织由大片等轴晶和少量柱状晶组成;拉伸试样从NS1402焊缝处断裂,焊缝接头抗拉强度达到570 MPa,达到母材抗拉强度的89.1%,NS1402的强度及延伸率均略低于进口825合金;对接头拉伸后的断口形貌进行观察和分析,发现镍基合金NS1402焊接接头断口类型为延性断裂,接头断口韧窝的尺寸较小、数量偏多;镍基焊丝ERNiFeCr-1接头的耐腐蚀性能优于普通ER50-6焊丝接头,腐蚀试验结果表明,国产镍基合金NS1402接头耐腐蚀性能与国外Incoloy825接头相当。
薄带冷轧变形区特点及接触压力模型适用性研究
黄紫藤, 李伟, 罗许, 李俊洪, 于辉
2024, 45(6): 184-193. doi: 10.7513/j.issn.1004-7638.2024.06.025
摘要(333) HTML (198) PDF(18)
摘要:
薄带冷轧过程中轧辊会产生不同程度的弹性压扁现象,而各变形区理论对该现象认识的不同导致其计算精度和适用范围存在显著差异。为此采用有限元手段分析了薄带冷轧过程中变形区特征的变化规律,并对比探究了Stone全滑移、Johnson全弹性和组合型三种接触压力模型的推导特点、成立的先决条件和适用区间。结果表明:变形区轮廓随轧辊弹性压扁程度的加剧依次经历了圆弧形、圆弧压扁增大形、非圆弧形和近直线形,中性区的出现及其所占变形区比例的不断增加是导致实际压下率快减和变形区形状系数快增的主要原因。通过对比变形区接触压力曲线的模拟值与理论值可发现,Stone模型、Johnson模型和组合型模型分别适用于道次压下率大于10%、小于1%和1%~10%的轧制工况。
高牌号无取向硅钢硫化物、氮化物析出的热力学计算
冯国辉, 程传良, 王旭, 乔家龙, 时朋召, 郭飞虎, 刘磊, 仇圣桃
2024, 45(6): 194-200. doi: 10.7513/j.issn.1004-7638.2024.06.026
摘要(292) HTML (156) PDF(21)
摘要:
通过对高牌号无取向电工钢 50W350硫化物、氮化物的热力学计算,获得了析出物的平衡浓度关系。液相线温度以下,AlN在17001788 K温度区间析出,TiN的析出温度区间为15881788 K,MnS的析出温度区间在17681788 K范围内,Cu2S的析出温度范围为14201768 K,并通过实际检测,证实了各温度区间析出物的存在。