中文核心期刊

SCOPUS 数据库收录期刊

中国科技核心期刊

美国《化学文摘》来源期刊

中国优秀冶金期刊

美国EBSCO数据库收录期刊

RCCSE中国核心学术期刊

美国《剑桥科学文摘》来源期刊

中国应用核心期刊(CACJ)

美国《乌利希期刊指南》收录期刊

中国学术期刊综合评价统计源刊

俄罗斯《文摘杂志》来源期刊

优秀中文科技期刊(西牛计划)

日本《科学技术文献数据库》(JST)收录刊

留言板

尊敬的读者、作者、审稿人, 关于本刊的投稿、审稿、编辑和出版的任何问题, 您可以本页添加留言。我们将尽快给您答复。谢谢您的支持!

姓名
邮箱
手机号码
标题
留言内容
验证码

双相钛合金Ti-6Al-4V拉伸行为的晶体塑性有限元研究

张龙 常乐 林鸿运 周昌玉

张龙, 常乐, 林鸿运, 周昌玉. 双相钛合金Ti-6Al-4V拉伸行为的晶体塑性有限元研究[J]. 钢铁钒钛, 2024, 45(6): 64-73. doi: 10.7513/j.issn.1004-7638.2024.06.009
引用本文: 张龙, 常乐, 林鸿运, 周昌玉. 双相钛合金Ti-6Al-4V拉伸行为的晶体塑性有限元研究[J]. 钢铁钒钛, 2024, 45(6): 64-73. doi: 10.7513/j.issn.1004-7638.2024.06.009
Zhang Long, Chang Le, Lin Hongyun, Zhou Changyu. Crystal plasticity finite element study of tensile behavior of two-phase titanium alloy Ti-6Al-4V[J]. IRON STEEL VANADIUM TITANIUM, 2024, 45(6): 64-73. doi: 10.7513/j.issn.1004-7638.2024.06.009
Citation: Zhang Long, Chang Le, Lin Hongyun, Zhou Changyu. Crystal plasticity finite element study of tensile behavior of two-phase titanium alloy Ti-6Al-4V[J]. IRON STEEL VANADIUM TITANIUM, 2024, 45(6): 64-73. doi: 10.7513/j.issn.1004-7638.2024.06.009

双相钛合金Ti-6Al-4V拉伸行为的晶体塑性有限元研究

doi: 10.7513/j.issn.1004-7638.2024.06.009
基金项目: 国家自然科学基金(51905260)。
详细信息
    作者简介:

    张龙,2000年出生,男,安徽亳州人,硕士研究生,主要从事钛合金力学行为研究,E-mail:1041444792@qq.com

    通讯作者:

    常乐,1991年出生,男,江苏泰兴人,副研究员,主要从事结构完整性研究,E-mail:Chellechang@163.com

  • 中图分类号: TF823,TG115

Crystal plasticity finite element study of tensile behavior of two-phase titanium alloy Ti-6Al-4V

  • 摘要: 通过晶体塑性有限元方法探究了α/β相含量和晶粒尺寸对Ti-6Al-4V双相钛合金拉伸力学性能的影响,通过滑移相对分数定量化评估不同滑移系对塑性变形的贡献。结果表明:Ti-6Al-4V钛合金拉伸变形过程中应力应变分布不均匀,应力集中在β相变体晶粒及晶界处,应变集中在α相晶粒附近。随β相含量升高,应力集中区域更多,三叉晶界处越易产生应变集中,β相$ \left\{110\right\} $滑移系对塑性变形的贡献大幅提高。随着α相、β相或两相晶粒尺寸同时扩大,塑性段应力应变曲线下降,且初始变形都主要由柱面滑移系主导,锥面$ \left\langle\mathrm{c}+\mathrm{a}\right\rangle $滑移系贡献次之。增大α相晶粒尺寸,锥面$ \left\langle\mathrm{c}+\mathrm{a}\right\rangle $滑移系活性下降,导致塑性阶段应力值降低。增大β相晶粒尺寸,塑性阶段应力的降低与β相中$ \left\{110\right\} $滑移系活性下降有关。同时增大α及β相晶粒尺寸时,会同时影响柱面滑移系和$ \left\{110\right\} $滑移系的相对分数,应力值的下降与界面数量的显著下降有关。
  • 图  1  (a)Dream3D微观结构中相、晶粒、欧拉角、晶界分布;(b)单轴拉伸模拟与试验应力应变对比

    Figure  1.  (a) Phase, grain, Euler Angle and grain boundary distribution in Dream3D microstructure, (b) stress-strain comparison between uniaxial tensile simulation and experiment

    图  2  不同β相体积分数下拉伸模拟结果

    (a)应力分布;(b)应变分布;(c) β相分布

    Figure  2.  Tensile simulation results with different β-phase volume fractions

    图  3  25% β相含量下拉伸15%应变后变形情况

    Figure  3.  Deformation of 15% strain at 25% β-phase volume fraction

    图  4  不同β相体积分数下应力应变曲线

    Figure  4.  Stress-strain curves with different β-phase volume fractions

    图  5  不同β相体积分数下滑移活性分析

    (a)基面滑移;(b)柱面滑移;(c)锥面$ \left\langle\mathrm{c}+\mathrm{a}\right\rangle $滑移;(d)$ \left\{110\right\} $滑移

    Figure  5.  Slip activity analysis under different β-phase volume fractions

    图  6  不同α相晶粒尺寸下应力应变曲线

    Figure  6.  Stress-strain curves for different α-phase grain sizes

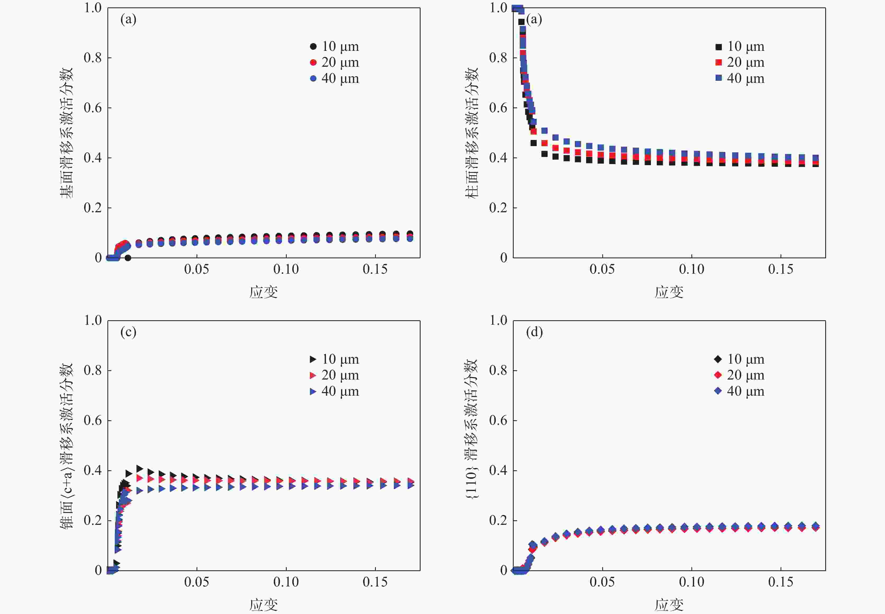
    图  7  不同α相晶粒尺寸下滑移活性分析

    (a)基面滑移;(b)柱面滑移;(c)锥面$ \left\langle{{\mathrm{c}}+{\mathrm{a}}}\right\rangle $滑移;(d)$ \left\{110\right\} $滑移

    Figure  7.  Slip activity analysis under different α-phase grain sizes

    图  8  不同β相晶粒尺寸下应力应变曲线

    Figure  8.  Stress-strain curves for different β-phase grain sizes

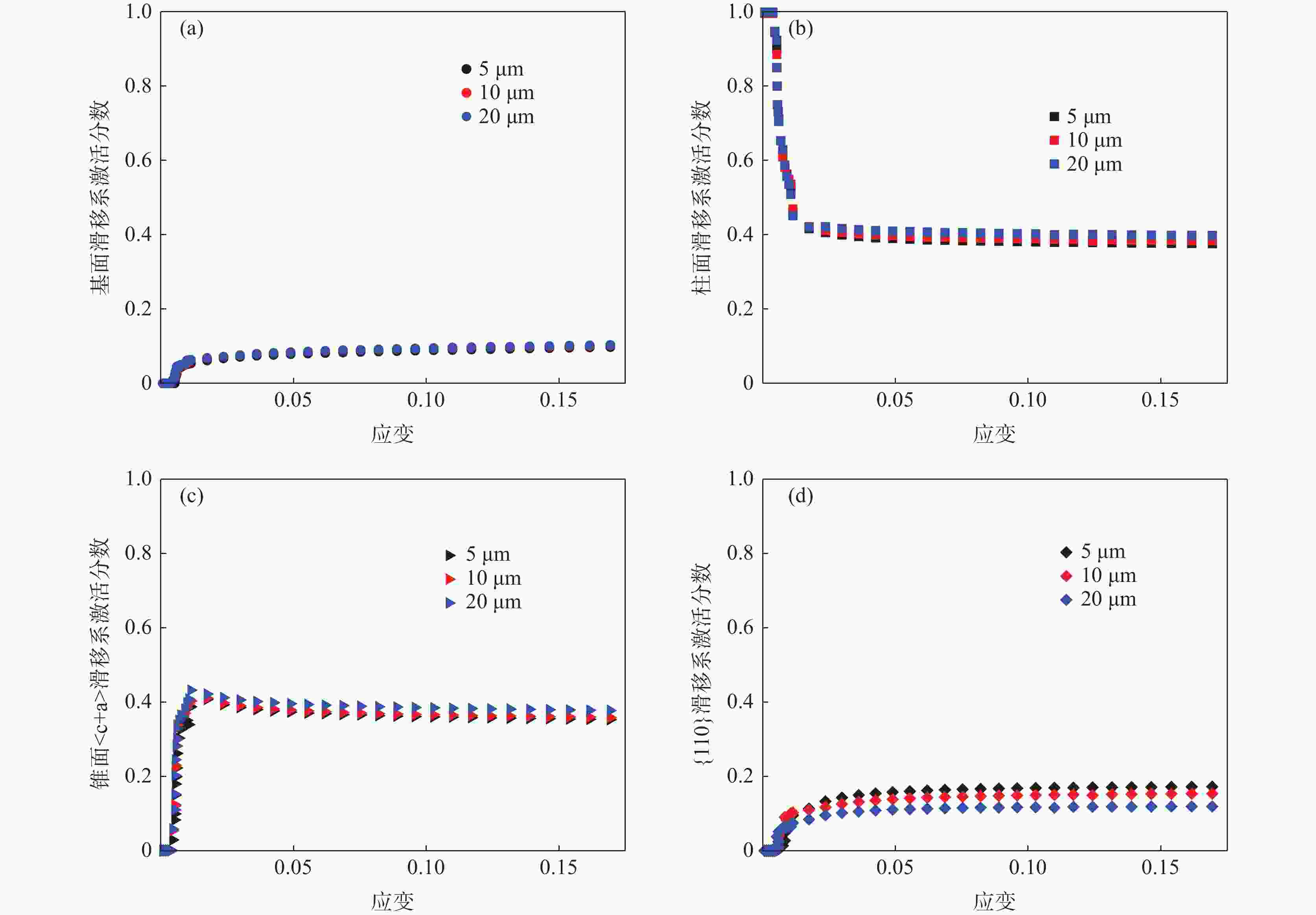
    图  9  不同β相晶粒尺寸下滑移活性分析

    (a)基面滑移;(b)柱面滑移;(c)锥面$ \left\langle{{\mathrm{c}}+{\mathrm{a}}}\right\rangle $滑移;(d)$ \left\{110\right\} $滑移

    Figure  9.  Slip activity analysis under different β-phase grain sizes

    图  10  不同α及β相晶粒尺寸下应力应变曲线

    Figure  10.  Stress-strain curves for different grain sizes of α and β phases

    图  11  不同α和β尺寸下滑移活性分析

    (a)基面滑移;(b)柱面滑移;(c)锥面$ \left\langle{{\mathrm{c}}+{\mathrm{a}}}\right\rangle $滑移;(d)$ \left\{110\right\} $滑移

    Figure  11.  Slip activity analysis under different grain sizes of α and β phases

    图  12  不同α及β相晶粒尺寸下拉伸模拟结果

    (a)应力分布;(b)应变分布;(c)晶粒分布

    Figure  12.  Distributions of stress and strain under different grain sizes of α and β phase

    表  1  Ti-6Al-4V晶体塑性参数[21]

    Table  1.   Crystal plastic parameters of Ti-6Al-4V[21]

    滑移系 $ {\tau }_{0}/\mathrm{M}\mathrm{P}\mathrm{a} $ m $ {\dot{\gamma }}_{0}/{\mathrm{s}}^{-1} $ $ {h}_{0}/\mathrm{M}\mathrm{P}\mathrm{a} $ $ a $
    基面$ \left\langle\mathrm{a}\right\rangle $ 390 0.01 1.0 190 50
    柱面$ \left\langle\mathrm{a}\right\rangle $ 390 0.01 1.0 190 50
    锥面$ \left\langle\mathrm{c}+\mathrm{a}\right\rangle $ 663 0.01 1.0 190 50
    β$ \left\{110\right\}\left\langle{111}\right\rangle $ 390 0.01 1.0 190 50
    下载: 导出CSV

    表  2  α和β相单晶弹性常数[21]

    Table  2.   Elastic constants of single crystal α and β phase[21]

    C11/GPaC12/GPaC13/GPaC44/GPa
    α169.6688.6661.6642.5
    β133.1095.1042.7
    下载: 导出CSV
  • [1] Chen Wei, Liu Yunxi, Li Zhiqiang. Research status and development trends of high strength β-titanium alloy[J]. Journal of Aeronautical Materials, 2020,40(3):63-76. (陈玮, 刘运玺, 李志强. 高强β钛合金的研究现状与发展趋势[J]. 航空材料学报, 2020,40(3):63-76. doi: 10.11868/j.issn.1005-5053.2020.000071

    Chen Wei, Liu Yunxi, Li Zhiqiang. Research status and development trends of high strength β-titanium alloy[J]. Journal of Aeronautical Materials, 2020, 40(3): 63-76. doi: 10.11868/j.issn.1005-5053.2020.000071
    [2] Liu Yuzhou, Duan Xiaohui, Yang Yaming, et al. Effect of different microstructure types on mechanical properties of TC11 Ti-alloy[J]. Forging and Metalforming, 2023(15):59-61. (刘宇舟, 段晓辉, 杨亚明, 等. 不同显微组织类型对TC11钛合金饼材力学性能的影响[J]. 锻造与冲压, 2023(15):59-61.

    Liu Yuzhou, Duan Xiaohui, Yang Yaming, et al. Effect of different microstructure types on mechanical properties of TC11 Ti-alloy[J]. Forging and Metalforming, 2023(15): 59-61.
    [3] Moore J A, Barton N R, Florando J, et al. Crystal plasticity modeling of β phase deformation in Ti-6Al-4V[J]. Modelling and Simulation in Materials Science Engineering, 2017,25(7):075007. doi: 10.1088/1361-651X/aa841c
    [4] Li Jinyuan, Zhang Zhi, Hou Peng, et al. Effect of heat treatment process on the structure and properties of large TC4 titanium alloy bar[J]. Special Steel Technology, 2018,24(1):22-24, 29 (李进元, 张智, 侯鹏, 等. 热处理工艺对TC4钛合金大规格棒材组织及性能的影响[J]. 特钢技术, 2018,24(1):22-24, 29.

    Li Jinyuan, Zhang Zhi, Hou Peng, et al. Effect of heat treatment process on the structure and properties of large TC4 titanium alloy bar[J]. Special Steel Technology, 2018, 24(1): 22-24, 29
    [5] Gao Yuhao, Zhang Xianfeng, Liu Xilin, et al. The fatigue contrast test on TC4ELI titanium alloy secondary annealed[J]. Development and Application of Material, 2018,33(5):20-27. (高宇昊, 张先锋, 刘希林, 等. TC4ELI钛合金二次退火后的疲劳对比试验[J]. 材料开发与应用, 2018,33(5):20-27.

    Gao Yuhao, Zhang Xianfeng, Liu Xilin, et al. The fatigue contrast test on TC4ELI titanium alloy secondary annealed[J]. Development and Application of Material, 2018, 33(5): 20-27.
    [6] Lei Wenguang, Mao Xiaonan, Lu Yafeng. Effects of heat treatment process on microstructure and mechanical properties of TC4-DT titanium alloy plate[J]. Heat Treatment of Metals, 2012,37(9):102-105. (雷文光, 毛小南, 卢亚锋. 热处理工艺对TC4-DT钛合金厚板组织和性能的影响[J]. 金属热处理, 2012,37(9):102-105.

    Lei Wenguang, Mao Xiaonan, Lu Yafeng. Effects of heat treatment process on microstructure and mechanical properties of TC4-DT titanium alloy plate[J]. Heat Treatment of Metals, 2012, 37(9): 102-105.
    [7] Zhang Mingyu, Yun Xinbing, Fu Hongwang. Effect of different heat treatment processes on microstructure and properties of TC10 titanium alloy[J]. Journal of Plasticity Engineering, 2021,28(12):237-245. (张明玉, 运新兵, 伏洪旺. 不同热处理工艺对TC10钛合金组织及性能的影响[J]. 塑性工程学报, 2021,28(12):237-245. doi: 10.3969/j.issn.1007-2012.2021.12.030

    Zhang Mingyu, Yun Xinbing, Fu Hongwang. Effect of different heat treatment processes on microstructure and properties of TC10 titanium alloy[J]. Journal of Plasticity Engineering, 2021, 28(12): 237-245. doi: 10.3969/j.issn.1007-2012.2021.12.030
    [8] Qi Yunlian, Du Yu, Liu Wei, et al. Study on microstructure and properties of high aluminum dual phase steel 980DH with high formability[J]. Titanium Industry Progress, 2011,28(5):31-33. (戚运莲, 杜宇, 刘伟, 等. 热处理温度对TC10钛合金棒材组织与性能的影响[J]. 钛工业进展, 2011,28(5):31-33. doi: 10.3969/j.issn.1009-9964.2011.05.008

    Qi Yunlian, Du Yu, Liu Wei, et al. Study on microstructure and properties of high aluminum dual phase steel 980DH with high formability[J]. Titanium Industry Progress, 2011, 28(5): 31-33. doi: 10.3969/j.issn.1009-9964.2011.05.008
    [9] Yun Pengfei, Yang Pei, Liu Dazhe, et al. Effects of heat treatment process on microstructure and mechanical properties of TC11 titanium alloy forging[J]. Hot Working Technology, 2018,47(12):210-212. (贠鹏飞, 杨佩, 刘大喆, 等. 热处理工艺对TC11锻件显微组织和力学性能的影响[J]. 热加工工艺, 2018,47(12):210-212.

    Yun Pengfei, Yang Pei, Liu Dazhe, et al. Effects of heat treatment process on microstructure and mechanical properties of TC11 titanium alloy forging[J]. Hot Working Technology, 2018, 47(12): 210-212.
    [10] Zhai Dajun, Shui Yue, Yuan Man, et al. Effects of content and morphology of α phase on microstructure and mechanical properties of TC4 allo[J]. Heat Treatment of Metals, 2019,44(10):129-134. (翟大军, 税玥, 袁满, 等. α相含量及形态对TC4钛合金组织和力学性能的影响[J]. 金属热处理, 2019,44(10):129-134.

    Zhai Dajun, Shui Yue, Yuan Man, et al. Effects of content and morphology of α phase on microstructure and mechanical properties of TC4 allo[J]. Heat Treatment of Metals, 2019, 44(10): 129-134.
    [11] Mao Jianghong, Yang Xiaokang, Luo Binli, et al. Effect of heat treatment temperature on microstructure and mechanical properties of TC4ELI alloy[J]. Heat Treatment of Metals, 2020,45(2):166-174. (毛江虹, 杨晓康, 罗斌莉, 等. 热处理温度对TC4ELI合金组织与性能的影响[J]. 金属热处理, 2020,45(2):166-174.

    Mao Jianghong, Yang Xiaokang, Luo Binli, et al. Effect of heat treatment temperature on microstructure and mechanical properties of TC4ELI alloy[J]. Heat Treatment of Metals, 2020, 45(2): 166-174.
    [12] Nayan N, Singh G, Prabhu T A, et al. Cryogenic mechanical properties of warm multi-pass caliber-rolled fine-grained titanium alloys: Ti-6Al-4V (normal and ELI grades) and VT14[J]. Metallurgical and Materials Transactions A, 2018,49(1):128-146. doi: 10.1007/s11661-017-4417-y
    [13] Tong Xiaole, Zhang Mingyu, Yu Chengquan, et al. Microstructure and properties of TC4 titanium alloy sheets with different rolling thicknesses[J]. Forging and Stamping Technology, 2022,47(6):153-159. (同晓乐, 张明玉, 于成泉, 等. 不同轧制厚度TC4钛合金板材的组织与性能[J]. 锻压技术, 2022,47(6):153-159.

    Tong Xiaole, Zhang Mingyu, Yu Chengquan, et al. Microstructure and properties of TC4 titanium alloy sheets with different rolling thicknesses[J]. Forging and Stamping Technology, 2022, 47(6): 153-159.
    [14] Dong Xiaofeng, Zhang Mingyu, Zhou Jiangshan, et al. Effects of heat treatment on microstructure and mechanical properties of TC4 ELI titanium alloy[J]. Hot Working Technology, 2022,51(24):142-146. (董晓锋, 张明玉, 周江山, 等. 热处理对TC4 ELI钛合金显微组织与力学性能的影响[J]. 热加工工艺, 2022,51(24):142-146.

    Dong Xiaofeng, Zhang Mingyu, Zhou Jiangshan, et al. Effects of heat treatment on microstructure and mechanical properties of TC4 ELI titanium alloy[J]. Hot Working Technology, 2022, 51(24): 142-146.
    [15] Guo Ping, Zhao Yongqing, Zeng Weidong, et al. The effect of microstructure on the mechanical properties of TC4-DT titanium alloys[J]. Materials Science and Engineering A, 2013,563:106-111. doi: 10.1016/j.msea.2012.11.033
    [16] Wang Wenjie. Effect of quasi-beta heat treatment on microstructure and mechanical properties of TC4-DT titanium alloy[J]. Titanium Industry Progress, 2016,33(1):23-27. (王文杰. 准β热处理工艺对TC4-DT钛合金组织和性能的影响[J]. 钛工业进展, 2016,33(1):23-27.

    Wang Wenjie. Effect of quasi-beta heat treatment on microstructure and mechanical properties of TC4-DT titanium alloy[J]. Titanium Industry Progress, 2016, 33(1): 23-27.
    [17] Li Xuexiong, Xu Dongsheng, Yang Rui, et al. CPFEM study of high temperature tensile behavior of duplex titanium alloy[J]. Chinese Journal of Materials Research, 2019,33(4):241-253. (李学雄, 徐东生, 杨锐, 等. 钛合金双态组织高温拉伸行为的晶体塑性有限元研究[J]. 材料研究学报, 2019,33(4):241-253. doi: 10.11901/1005.3093.2018.514

    Li Xuexiong, Xu Dongsheng, Yang Rui, et al. CPFEM study of high temperature tensile behavior of duplex titanium alloy[J]. Chinese Journal of Materials Research, 2019, 33(4): 241-253. doi: 10.11901/1005.3093.2018.514
    [18] Yaghoobi M, Ganesan S, Sundar S, et al. PRISMS-plasticity: An open-source crystal plasticity finite element software[J]. Computational Materials Science, 2019,169:109078. doi: 10.1016/j.commatsci.2019.109078
    [19] Asaro R J, Rice J R. Strain localization in ductile single crystals[J]. Journal of the Mechanics and Physics of Solids, 1977,25(5):309-338. doi: 10.1016/0022-5096(77)90001-1
    [20] Kalidindi S R. Incorporation of deformation twinning in crystal plasticity models[J]. Journal of the Mechanics and Physics of Solids, 1998,46(2):267-290. doi: 10.1016/S0022-5096(97)00051-3
    [21] Kasemer M, Quey R, Dawson P. The influence of mechanical constraints introduced by β annealed microstructures on the yield strength and ductility of Ti-6Al-4V[J]. Journal of the Mechanics and Physics of Solids, 2017, 103: 179-198.
    [22] Groeber M A, Jackson M A. DREAM 3D: A digital representation environment for the analysis of microstructure in 3D[J]. Integrating Materials and Manufacturing Innovation, 2014,3(1):56-72. doi: 10.1186/2193-9772-3-5
    [23] Wan Mingpan, Wu Yujiao, Sun Jie, et al. Effect of solution temperature on microstructure and mechanical properties of TC4ELI titanium alloy[J]. Material and Heat Treatment, 2012,41(20):145-147. (万明攀, 伍玉娇, 孙捷, 等. 固溶温度对TC4ELI钛合金组织和性能的影响[J]. 热处理技术, 2012,41(20):145-147.

    Wan Mingpan, Wu Yujiao, Sun Jie, et al. Effect of solution temperature on microstructure and mechanical properties of TC4ELI titanium alloy[J]. Material and Heat Treatment, 2012, 41(20): 145-147.
    [24] Mayeur J R, McDowell D L. A three-dimensional crystal plasticity model for duplex Ti-6Al-4V[J]. International Journal of Plasticity, 2007,23:1457-1485. doi: 10.1016/j.ijplas.2006.11.006
    [25] Li Xuexiong, Xu Dongsheng, Yang Rui. Crystal plasticity finite element method investigation of the high temperature deformation consistency in dual-phase titanium alloy[J]. Acta Metallurgica Sinica, 2019,55(7):928-938. (李学雄, 徐东生, 杨锐. 双相钛合金高温变形协调性的CPFEM研究[J]. 金属学报, 2019,55(7):928-938. doi: 10.11900/0412.1961.2018.00380

    Li Xuexiong, Xu Dongsheng, Yang Rui. Crystal plasticity finite element method investigation of the high temperature deformation consistency in dual-phase titanium alloy[J]. Acta Metallurgica Sinica, 2019, 55(7): 928-938. doi: 10.11900/0412.1961.2018.00380
    [26] Ma Mingtu, Yang Hongya, Wu Emei, et al. Research progress of the cause for orange peel of aluminum alloy sheet during tensile deformation[J]. Strategic Study of CAE, 2014,16(1):4-13. (马鸣图, 杨红亚, 吴娥梅, 等. 铝合金板材拉伸变形时橘皮成因的研究进展[J]. 中国工程科学, 2014,16(1):4-13. doi: 10.3969/j.issn.1009-1742.2014.01.001

    Ma Mingtu, Yang Hongya, Wu Emei, et al. Research progress of the cause for orange peel of aluminum alloy sheet during tensile deformation[J]. Strategic Study of CAE, 2014, 16(1): 4-13. doi: 10.3969/j.issn.1009-1742.2014.01.001
    [27] Tang Bin, Xie Shao, Liu Yi, et al. Crystal plasticity finite element study of incompatible deformation behavior in two phase microstructure in near β titanium alloy[J]. Rare Metal Materials and Engineering, 2015,44(3):532-537. (唐斌, 谢韶, 刘毅, 等. 近β钛合金中两相组织不协调变形行为的晶体塑性有限元研究[J]. 稀有金属材料与工程, 2015,44(3):532-537. doi: 10.1016/S1875-5372(15)30033-3

    Tang Bin, Xie Shao, Liu Yi, et al. Crystal plasticity finite element study of incompatible deformation behavior in two phase microstructure in near β titanium alloy[J]. Rare Metal Materials and Engineering, 2015, 44(3): 532-537. doi: 10.1016/S1875-5372(15)30033-3
  • 加载中
图(12) / 表(2)
计量
  • 文章访问数:  980
  • HTML全文浏览量:  208
  • PDF下载量:  61
  • 被引次数: 0
出版历程
  • 收稿日期:  2024-06-20
  • 网络出版日期:  2024-12-30
  • 刊出日期:  2024-12-30

目录

    /

    返回文章
    返回