中文核心期刊

SCOPUS 数据库收录期刊

中国科技核心期刊

美国《化学文摘》来源期刊

中国优秀冶金期刊

美国EBSCO数据库收录期刊

RCCSE中国核心学术期刊

美国《剑桥科学文摘》来源期刊

中国应用核心期刊(CACJ)

美国《乌利希期刊指南》收录期刊

中国学术期刊综合评价统计源刊

俄罗斯《文摘杂志》来源期刊

优秀中文科技期刊(西牛计划)

日本《科学技术文献数据库》(JST)收录刊

留言板

尊敬的读者、作者、审稿人, 关于本刊的投稿、审稿、编辑和出版的任何问题, 您可以本页添加留言。我们将尽快给您答复。谢谢您的支持!

姓名
邮箱
手机号码
标题
留言内容
验证码

V1-xTbxO2(x=0,1,2,3,4)(M)薄膜的制备及其性能研究

杜金晶 刘景田 朱军 林海洋 翟芮潼 左恒 马嘉艺 王东博

杜金晶, 刘景田, 朱军, 林海洋, 翟芮潼, 左恒, 马嘉艺, 王东博. V1-xTbxO2(x=0,1,2,3,4)(M)薄膜的制备及其性能研究[J]. 钢铁钒钛, 2024, 45(6): 80-86. doi: 10.7513/j.issn.1004-7638.2024.06.011
引用本文: 杜金晶, 刘景田, 朱军, 林海洋, 翟芮潼, 左恒, 马嘉艺, 王东博. V1-xTbxO2(x=0,1,2,3,4)(M)薄膜的制备及其性能研究[J]. 钢铁钒钛, 2024, 45(6): 80-86. doi: 10.7513/j.issn.1004-7638.2024.06.011
Du Jinjing, Liu Jingtian, Zhu Jun, Lin Haiyang, Zhai Ruitong, Zuo Heng, Ma Jiayi, Wang Dongbo. Preparation and properties of V1-xTbxO2(x=0,1,2,3,4)(M) thin films[J]. IRON STEEL VANADIUM TITANIUM, 2024, 45(6): 80-86. doi: 10.7513/j.issn.1004-7638.2024.06.011
Citation: Du Jinjing, Liu Jingtian, Zhu Jun, Lin Haiyang, Zhai Ruitong, Zuo Heng, Ma Jiayi, Wang Dongbo. Preparation and properties of V1-xTbxO2(x=0,1,2,3,4)(M) thin films[J]. IRON STEEL VANADIUM TITANIUM, 2024, 45(6): 80-86. doi: 10.7513/j.issn.1004-7638.2024.06.011

V1-xTbxO2(x=0,1,2,3,4)(M)薄膜的制备及其性能研究

doi: 10.7513/j.issn.1004-7638.2024.06.011
基金项目: 陕西省科技厅区域创新能力引导计划资助项目(编号:2022QFY10-05);陕西省“两链融合”校企联合重点专项(编号:2022LL-JB-09)。
详细信息
    作者简介:

    杜金晶,1983年出生,女,博士,副教授,主要从事冶金资源化综合利用、有色金属功能材料等方面的研究工作,E-mail:dujinzi@xauat.edu.cn

  • 中图分类号: TF841.3,TB34

Preparation and properties of V1-xTbxO2(x=0,1,2,3,4)(M) thin films

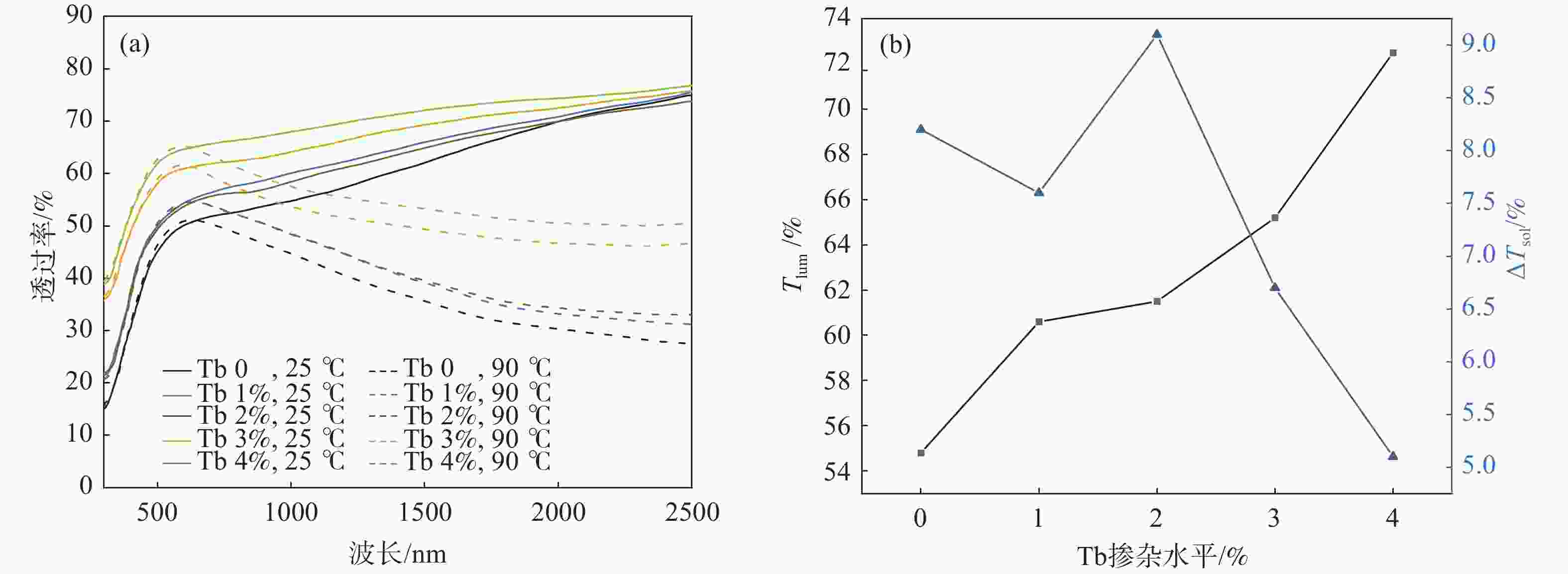
  • 摘要: 主要研究了重稀土铽元素(Tb)掺杂对二氧化钒薄膜V1-xTbxO2(x=0,1,2,3,4)(M)相结构、微观形貌、相变温度、光学及力学性能的影响。结果表明:V1-xTbxO2(x=0,1,2,3,4)(M)样品的衍射峰尖锐,未出现其他杂质峰,具有较高的结晶度和纯度。Tb元素掺杂能明显影响二氧化钒的微观结构特征,随着Tb掺杂量的增加,相变温度呈下降趋势,在4% (原子分数,下同)的掺杂水平下,相变温度降至59.01 ℃。紫外-可见-近红外光谱分析表明,在1%~4%的Tb掺杂水平下二氧化钒薄膜的光学性能增强。在2% Tb掺杂时太阳光调制能力(ΔTsol)达到9.1%,可见光透过率(Tlum)为61.5%;在4% Tb掺杂时可见光透过率达到72.5%。力学性能表明,Tb掺杂对二氧化钒薄膜的力学性能具有增强作用。当掺杂量为2%时,VO2薄膜的力学性能显示出最大值,弹性模量及硬度分别为83.6065 GPa和8.0026 GPa。
  • 图  1  ${\mathrm{V}}_{1-x}{\mathrm{Tb}}_x{\mathrm{O}}_2\;(x $=0,1,2,3,4)(M) XRD谱及(011)晶面局部放大

    Figure  1.  XRD patterns and (011) crystal plane local amplification diagram of ${\mathrm{V}}_{1-x}{\mathrm{Tb}}_x{\mathrm{O}}_2\;(x $=0,1,2,3,4)(M)

    图  2  ${\mathrm{V}}_{1-x}{\mathrm{Tb}}_x{\mathrm{O}}_2 $(M)薄膜XPS谱

    (a) 宽谱扫描; (b) V 2p + O 1s高分辨扫描; (c) Tb 3d高分辨扫描

    Figure  2.  XPS spectrum of ${\mathrm{V}}_{1-x}{\mathrm{Tb}}_x{\mathrm{O}}_2 $(M) films

    图  3  ${\mathrm{V}}_{1-x}{\mathrm{Tb}}_x{\mathrm{O}}_2\;(x $=0,1,2,3,4)(M)的SEM形貌

    Figure  3.  SEM images of ${\mathrm{V}}_{1-x}{\mathrm{Tb}}_x{\mathrm{O}}_2\;(x $=0,1,2,3,4)(M)

    图  4  ${\mathrm{V}}_{1-x}{\mathrm{Tb}}_x{\mathrm{O}}_2\;(x $=0,1,2,3,4)(M)样品DSC曲线及Tc随掺杂水平变化趋势

    Figure  4.  DSC curves of ${\mathrm{V}}_{1-x}{\mathrm{Tb}}_x{\mathrm{O}}_2\;(x $=0,1,2,3,4)(M) samples and the trend diagram of Tc with doping level

    图  5  ${\mathrm{V}}_{1-x}{\mathrm{Tb}}_x{\mathrm{O}}_2\;(x $=0,1,2,3,4)(M)薄膜UV-Vis-NIR光谱

    Figure  5.  UV-Vis-NIR spectra of ${\mathrm{V}}_{1-x}{\mathrm{Tb}}_x{\mathrm{O}}_2\;(x $=0,1,2,3,4)(M) films

    图  6  ${\mathrm{V}}_{1-x}{\mathrm{Tb}}_x{\mathrm{O}}_2\;(x $=0,1,2,3,4)(M)薄膜的载荷-位移曲线

    Figure  6.  Load-displacement curves of ${\mathrm{V}}_{1-x}{\mathrm{Tb}}_x{\mathrm{O}}_2\;(x $=0,1,2,3,4)(M) films

    表  1  ${\mathrm{V}}_{1-x}{\mathrm{Tb}}_x{\mathrm{O}}_2\;(x $=0,1,2,3,4)(M)薄膜的力学性能

    Table  1.   Mechanical properties of ${\mathrm{V}}_{1-x}{\mathrm{Tb}}_x{\mathrm{O}}_2\;(x $=0,1,2,3,4)(M) films

    Tb掺
    杂量/%
    hf/nm A/nm2 m S/(μN∙nm−1) Er/GPa E/GPa H/GPa
    0 75.9248 3.6968 1.5759 86.8107 82.5867 80.9926 6.9155
    1 72.1562 4.0017 1.5601 86.2096 84.0644 82.5565 7.2658
    2 69.1897 6.8657 1.4552 87.1117 85.0541 83.6065 8.0026
    3 71.7205 5.2672 1.5125 84.4035 84.4123 82.9256 7.5326
    4 73.8157 4.9342 1.5222 85.8891 84.1183 82.7137 7.3593
    下载: 导出CSV
  • [1] Gao Y F, Luo H J, Zhang Z T, et al. Nanoceramic VO2 thermochromic smart glass: A review on progress in solution processing[J]. Nano Energy, 2012,1(2):221-246. doi: 10.1016/j.nanoen.2011.12.002
    [2] Jiang Kejun. IPCC special report on 1.5 ℃ warming: a starting of new era of global mitigation[J]. Climate Change Research, 2018,14(6):640-642. (姜克隽. IPCC 1.5 ℃ 特别报告发布: 温室气体减排新时代的标志[J]. 气候变化研究进展, 2018,14(6):640-642.

    Jiang Kejun. IPCC special report on 1.5 ℃ warming: a starting of new era of global mitigation[J]. Climate Change Research, 2018, 14(6): 640-642.
    [3] Lao Bin, Zheng Xuan, Li Sheng, et al. Research progress of novel quantum states and charge-spin interconversion in transition metal oxides[J]. Acta Physica Sinica, 2023,72(9):223-240. (劳斌, 郑轩, 李晟, 等. 过渡金属氧化物中新奇量子态与电荷-自旋互转换研究进展[J]. 物理学报, 2023,72(9):223-240.

    Lao Bin, Zheng Xuan, Li Sheng, et al. Research progress of novel quantum states and charge-spin interconversion in transition metal oxides[J]. Acta Physica Sinica, 2023, 72(9): 223-240.
    [4] Pavelyev V, Sharma P, Rymzhina A, et al. Advances in transition metal dichalcogenides-based flexible photodetectors[J]. Journal of Materials Science-Materials in Electronics, 2022,33(32):24397-24433. doi: 10.1007/s10854-022-09204-7
    [5] Chi Liping, Niu Zhuangzhuang, Liao Jie, et al. Recent progress in intercalation chemistry of transition metal oxides for electrocatalytic applications[J]. Chemical Journal of Chinese Universities, 2023,44(5):225-249. (池丽萍, 牛壮壮, 廖洁, 等. 过渡金属氧化物插层化学及其电催化应用的新进展[J]. 高等学校化学学报, 2023,44(5):225-249.

    Chi Liping, Niu Zhuangzhuang, Liao Jie, et al. Recent progress in intercalation chemistry of transition metal oxides for electrocatalytic applications[J]. Chemical Journal of Chinese Universities, 2023, 44(5): 225-249.
    [6] Zheng Wei, Liang Gemeng, Zhang Shilin, et al. Understanding voltage hysteresis and decay during anionic redox reaction in layered transition metal oxide cathodes: A critical review[J]. Nano Research, 2023,16(3):3766-3780. doi: 10.1007/s12274-022-5003-1
    [7] Wei Jiang, Ji Heng, Guo Wenhua, et al. Hydrogen stabilization of metallic vanadium dioxide in single-crystal nanobeams[J]. Nature Nanotechnology, 2012,7(6):357-362. doi: 10.1038/nnano.2012.70
    [8] Zylbersztejn A, Mott N F. Metal-insulator transition in vanadium dioxide[J]. Physical Review B: Solid State, 1975,11(11):4383-4395. doi: 10.1103/PhysRevB.11.4383
    [9] Morin F J. Oxides that show a metal-to-insulator transition at the Neel temperature[J]. Physical Review Letters, 1959,3(1):34-36. doi: 10.1103/PhysRevLett.3.34
    [10] Hu Peng, Hu Ping, Vu Tuan Duc, et al. Vanadium oxide: Phase diagrams, structures, synthesis, and applications[J]. Chemical Reviews, 2023,123(8):4353-4415. doi: 10.1021/acs.chemrev.2c00546
    [11] Shi Qianqian, Wang Jiang, Cheng Guanghua. Preparation technology and application of vanadium dioxide thin films (Invited)[J]. Acta Photonica Sinica, 2022,51(10):340-358. (石倩倩, 王江, 程光华. 二氧化钒薄膜的制备技术及应用进展(特邀)[J]. 光子学报, 2022,51(10):340-358.

    Shi Qianqian, Wang Jiang, Cheng Guanghua. Preparation technology and application of vanadium dioxide thin films (Invited)[J]. Acta Photonica Sinica, 2022, 51(10): 340-358.
    [12] Zhao Ruirui, Yang Mingqing, Niu Chunhui, et al. Advances in preparation and photoelectrical properties of vanadium dioxide films[J]. Materials China, 2023,42(4):353-360. (赵瑞瑞, 杨明庆, 牛春晖, 等. 二氧化钒薄膜的制备及光电性能研究进展[J]. 中国材料进展, 2023,42(4):353-360.

    Zhao Ruirui, Yang Mingqing, Niu Chunhui, et al. Advances in preparation and photoelectrical properties of vanadium dioxide films[J]. Materials China, 2023, 42(4): 353-360.
    [13] Chaillou J, Chen Y F, Émond N, et al. Combined role of substrate and doping on the semiconductor-to-metal transition of VO2 thin films[J]. ACS Applied Electronic Materials, 2022,4(4):1841-1851. doi: 10.1021/acsaelm.2c00080
    [14] Xue Yibei, Yin Shu. Element doping: a marvelous strategy for pioneering the smart applications of VO2[J]. Nanoscale, 2022,14(31):11054-11097. doi: 10.1039/D2NR01864K
    [15] Cao J, Ertekin E, Srinivasan V, et al. Strain engineering and one-dimensional organization of metal-insulator domains in single-crystal vanadium dioxide beams[J]. Nature Nanotechnology, 2009,4(11):732-737. doi: 10.1038/nnano.2009.266
    [16] Shannon R D. Crystal physics, diffraction, theoretical and general crystallography[J]. Acta Crystallographica Section A, 1976,32(5):751-767. doi: 10.1107/S0567739476001551
    [17] Chen Lanli, Liu Yuchen, Yang Kebing, et al. Theoretical study of the electronic and optical properties of rare-earth (RE = La, Ce, Pr, Nd, Eu, Gd, Tb)-doped VO2 nanoparticles[J]. Computational Materials Science, 2019,161:415-421. doi: 10.1016/j.commatsci.2019.02.001
    [18] Wyszecki G, Stiles V S, Kelly K L. Color science: Concepts and methods, quantitative data and formulas[J]. Physics Today, 1968,21(6):83-84. doi: 10.1063/1.3035025
    [19] ASTM G173-03(2012). Standard tables for reference solar spectral irradiances: Direct normal and hemispherical on 37° tilted surface[S].
    [20] Oliver W, Pharr G. Measurement of hardness and elastic modulus by instrumented indentation: Advances in understanding and refinements to methodology[J]. Journal of Materials Research, 2004,19(1):3-20. doi: 10.1557/jmr.2004.19.1.3
    [21] Zhang Xianyuan. Experimental analysis on indentation and scratch of single crystal GaN[J]. Journal of Materials Science and Engineering, 2021,39(6):1028-1034. (张先源. 单晶氮化镓纳米压痕与划痕实验[J]. 材料科学与工程学报, 2021,39(6):1028-1034.

    Zhang Xianyuan. Experimental analysis on indentation and scratch of single crystal GaN[J]. Journal of Materials Science and Engineering, 2021, 39(6): 1028-1034.
  • 加载中
图(6) / 表(1)
计量
  • 文章访问数:  309
  • HTML全文浏览量:  129
  • PDF下载量:  16
  • 被引次数: 0
出版历程
  • 收稿日期:  2024-05-22
  • 网络出版日期:  2024-12-30
  • 刊出日期:  2024-12-30

目录

    /

    返回文章
    返回