中文核心期刊

SCOPUS 数据库收录期刊

中国科技核心期刊

美国《化学文摘》来源期刊

中国优秀冶金期刊

美国EBSCO数据库收录期刊

RCCSE中国核心学术期刊

美国《剑桥科学文摘》来源期刊

中国应用核心期刊(CACJ)

美国《乌利希期刊指南》收录期刊

中国学术期刊综合评价统计源刊

俄罗斯《文摘杂志》来源期刊

优秀中文科技期刊(西牛计划)

日本《科学技术文献数据库》(JST)收录刊

留言板

尊敬的读者、作者、审稿人, 关于本刊的投稿、审稿、编辑和出版的任何问题, 您可以本页添加留言。我们将尽快给您答复。谢谢您的支持!

姓名
邮箱
手机号码
标题
留言内容
验证码

水解偏钛酸沉降高度影响因素分析

吴健春

吴健春. 水解偏钛酸沉降高度影响因素分析[J]. 钢铁钒钛, 2024, 45(6): 59-63, 150. doi: 10.7513/j.issn.1004-7638.2024.06.008
引用本文: 吴健春. 水解偏钛酸沉降高度影响因素分析[J]. 钢铁钒钛, 2024, 45(6): 59-63, 150. doi: 10.7513/j.issn.1004-7638.2024.06.008
Wu Jianchun. Analysis of factors influencing the sedimentation height of hydrolyzed metatitanic acid[J]. IRON STEEL VANADIUM TITANIUM, 2024, 45(6): 59-63, 150. doi: 10.7513/j.issn.1004-7638.2024.06.008
Citation: Wu Jianchun. Analysis of factors influencing the sedimentation height of hydrolyzed metatitanic acid[J]. IRON STEEL VANADIUM TITANIUM, 2024, 45(6): 59-63, 150. doi: 10.7513/j.issn.1004-7638.2024.06.008

水解偏钛酸沉降高度影响因素分析

doi: 10.7513/j.issn.1004-7638.2024.06.008
基金项目: 国家自然科学基金青年科学基金项目(编号:22108019)。
详细信息
    作者简介:

    吴健春,1978年出生,男,四川简阳人,正高级工程师,主要从事硫酸法钛白及纳米二氧化钛的工艺开发及应用研究,E-mail:wujianchun@126.com

  • 中图分类号: TF823,TQ621

Analysis of factors influencing the sedimentation height of hydrolyzed metatitanic acid

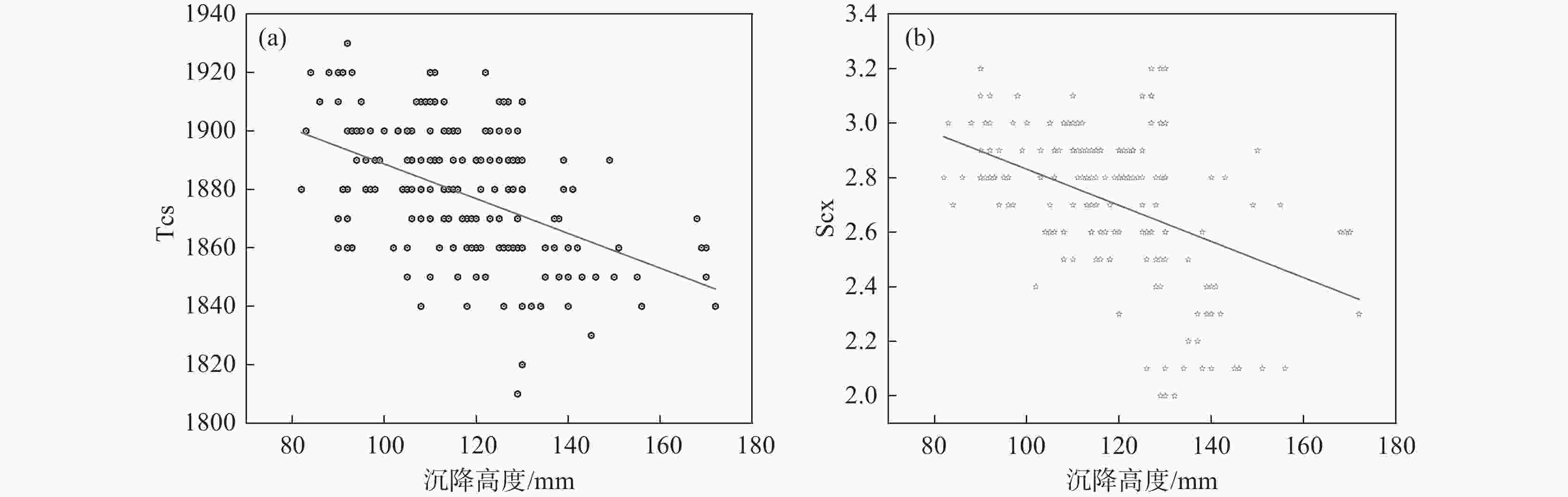
  • 摘要: 以某钛白粉厂生产数据为依据,统计分析了水解偏钛酸沉降高度对粒度分布和初品质量的影响规律。结果表明,随着水解偏钛酸沉降高度增加,水解偏钛酸D50呈现增加趋势,相应获得初品Tcs和Scx均呈现下降趋势,初品平均粒径呈现增加趋势,控制偏钛酸沉降高度在130 mm以下可以获得颜料性能较好的钛白粉。试验研究表明,水解钛液的TiO2浓度、F值、水解晶种加量和水解判灰时间均对水解偏钛酸的沉降高度和D50有较大影响。随水解钛液浓度增加,水解偏钛酸沉降高度呈下降趋势,随F值增加,水解偏钛酸沉降高度和D50呈现增加趋势,随水解晶种加量的增加,水解偏钛酸沉降高度呈下降趋势,随判灰时间的延长,水解偏钛酸沉降高度呈现先增加后减小的趋势。
  • 图  1  沉降高度与初品颜料性能的散点图

    (a) Tcs ;(b)Scx

    Figure  1.  Scatter plot of settlement height and initial pigment performance

    图  2  沉降高度对TiO2平均粒径的影响

    Figure  2.  Effect of settlement height on the average particle size of TiO2

    图  3  水解偏钛酸浆料沉降高度与D50的散点图

    Figure  3.  Scatter plot of settlement height and D50 of metatitanic acid

    图  4  不同沉降高度的偏钛酸烘干后的扫描电镜形貌

    (a)127 mm;(b)122 mm;(c)105 mm;(d)85 mm

    Figure  4.  SEM of dried metatitanic acid with different settling heights

    图  5  钛液指标对沉降高度的影响

    (a)钛液浓度;(b)F值

    Figure  5.  Effect of titanium liquid index on settlement height

    图  6  晶种加量和判灰时间对沉降高度的影响

    (a)晶种加量;(b)判灰时间

    Figure  6.  The effect of seed addition and ash detection time on the settling height

    表  1  沉降高度与初品颜料性能均值对应

    Table  1.   Settlement height and mean performance of primary pigments

    沉降高度/mm Tcs Scx L a b 亮度
    范围
    均值
    <100 92.97 1890.0 2.81 97.34 −0.49 3.23 95.16
    100~110 105.65 1871.5 2.65 97.57 −0.49 3.37 95.03
    110~120 113.60 1876.0 2.72 97.53 −0.52 3.35 95.35
    120~130 126.78 1880.8 2.70 97.46 −0.47 3.55 95.25
    130~150 142.63 1861.3 2.35 97.51 −0.47 3.70 95.30
    >150 161.90 1841.0 2.41 97.33 −0.31 3.20 95.30
    下载: 导出CSV

    表  2  沉降高度均值与钛液指标的关系

    Table  2.   Relationship between mean settlement height and titanium liquid index

    沉降高度/mm F 总钛/
    (g·L−1
    铁钛比 固含量
    ×106
    稳定性/
    mL
    D50/
    μm
    范围 均值
    <100 92.97 2.02 196.7 0.28 26 500 1.85
    100~110 105.65 1.98 196.2 0.30 26 500 1.91
    110~120 113.60 2.06 195.1 0.29 26 500 1.83
    120~130 126.78 2.00 193.5 0.30 25 500 2.00
    130~150 142.63 2.02 191.6 0.31 25 500 2.28
    >150 161.90 1.98 189.9 0.31 26 500 2.33
    下载: 导出CSV
  • [1] Li Xianglan. Ultrasonic-assisted titanyl sulfate hydrolysis seed preparation and hydrolysis of titanium sulfate solution[D]. Chongqing:Chongqing University, 2022. (李香兰. 超声辅助硫酸氧钛水解晶种制备和钛液水解研究[D]. 重庆:重庆大学, 2022.

    Li Xianglan. Ultrasonic-assisted titanyl sulfate hydrolysis seed preparation and hydrolysis of titanium sulfate solution[D]. Chongqing:Chongqing University, 2022.
    [2] Tian Congxue. Effects of properties and structure of metatitanic acid on rutile white pigment via short sulfate process[J]. Iron Steel Vanadium Titanium, 2019,40(1):1-6. (田从学. 偏钛酸性质结构对颜料钛白的影响[J]. 钢铁钒钛, 2019,40(1):1-6. doi: 10.7513/j.issn.1004-7638.2019.01.001

    Tian Congxue. Effects of properties and structure of metatitanic acid on rutile white pigment via short sulfate process[J]. Iron Steel Vanadium Titanium, 2019, 40(1): 1-6. doi: 10.7513/j.issn.1004-7638.2019.01.001
    [3] Tian Congxue, Wang Qinghong, Lian Zongxin, et al. Effect of structural evolution of metatitanic acid on sulfur content during hydrolysis of industrial TiOSO4 solution[J]. Iron Steel Vanadium Titanium , 2023, 44(1): 4-9. (田从学, 王青鸿, 练宗鑫, 等. 钛液水解过程中偏钛酸的结构演变对硫含量的影响研究[J]. 钢铁钒钛, 2023, 44(1): 4-9.

    Tian Congxue, Wang Qinghong, Lian Zongxin, et al. Effect of structural evolution of metatitanic acid on sulfur content during hydrolysis of industrial TiOSO4 solution[J]. Iron Steel Vanadium Titanium , 2023, 44(1): 4-9.
    [4] Yu Kang, Li Qing, Gan Ying. Optimization of hydrolysis process in production of titanium dioxide sulfate[J]. China's High-tech Industry, 2023, (16): 87-89. (于康, 李庆, 甘影. 硫酸钛白粉生产中水解工艺优化研究[J]. 中国高新科技, 2023, (16): 87-89.

    Yu Kang, Li Qing, Gan Ying. Optimization of hydrolysis process in production of titanium dioxide sulfate[J]. China's High-tech Industry, 2023, (16): 87-89.
    [5] Zhou Qiang, Zhang Xiuzhen, Li Qing, et al. Research and application of rutile titanium dioxide powder for decorative paper of reinforced wood flooring[J]. Technology Innovation and Application, 2023, 13(26): 74-77. (周强, 张修臻, 李庆, 等. 强化木地板装饰纸用金红石型钛白粉的研究及应用[J]. 科技创新与应用, 2023, 13(26): 74-77.

    Zhou Qiang, Zhang Xiuzhen, Li Qing, et al. Research and application of rutile titanium dioxide powder for decorative paper of reinforced wood flooring[J]. Technology Innovation and Application, 2023, 13(26): 74-77.
    [6] Zeng Xiaoyi, Ma Dan, Mei Qizheng, et al. Modeling analysis and optimization of hydrolysis process parameters of metatitanic acid[J]. Journal of Chongqing University of Technology (Natural Science), 2022,36(12):281-288. (曾小义, 马丹, 梅其政, 等. 偏钛酸水解工艺参数建模分析与优化[J]. 重庆理工大学学报(自然科学), 2022,36(12):281-288.

    Zeng Xiaoyi, Ma Dan, Mei Qizheng, et al. Modeling analysis and optimization of hydrolysis process parameters of metatitanic acid[J]. Journal of Chongqing University of Technology (Natural Science), 2022, 36(12): 281-288.
    [7] Wang Kun, Lu Ruifang, Dang Leping, et al. Online characterization of seed preparation and investigation on hydrolysis kinetics of TiSO4 solution[J]. Chemical Industry and Engineering, 2022, 39(4): 50-56. (王焜, 路瑞芳, 党乐平, 等. 晶种制备的在线表征及钛液水解动力学研究[J]. 化学工业与工程, 2022, 39(4): 50-56.

    Wang Kun, Lu Ruifang, Dang Leping, et al. Online characterization of seed preparation and investigation on hydrolysis kinetics of TiSO4 solution[J]. Chemical Industry and Engineering, 2022, 39(4): 50-56.
    [8] Chen Minheng, Cong Dezi, Fang Tunan, et al. Principle of chemical engineering(second edition volume 1)[M]. Beijing: Chemical Industry Press, 1999. (陈敏恒,丛德滋,方图南,等;化工原理(第二版上册).北京:化学工业出版社,1999.

    Chen Minheng, Cong Dezi, Fang Tunan, et al. Principle of chemical engineering(second edition volume 1)[M]. Beijing: Chemical Industry Press, 1999.
  • 加载中
图(6) / 表(2)
计量
  • 文章访问数:  364
  • HTML全文浏览量:  219
  • PDF下载量:  22
  • 被引次数: 0
出版历程
  • 收稿日期:  2024-03-08
  • 网络出版日期:  2024-12-30
  • 刊出日期:  2024-12-30

目录

    /

    返回文章
    返回