中文核心期刊

SCOPUS 数据库收录期刊

中国科技核心期刊

美国《化学文摘》来源期刊

中国优秀冶金期刊

美国EBSCO数据库收录期刊

RCCSE中国核心学术期刊

美国《剑桥科学文摘》来源期刊

中国应用核心期刊(CACJ)

美国《乌利希期刊指南》收录期刊

中国学术期刊综合评价统计源刊

俄罗斯《文摘杂志》来源期刊

优秀中文科技期刊(西牛计划)

日本《科学技术文献数据库》(JST)收录刊

留言板

尊敬的读者、作者、审稿人, 关于本刊的投稿、审稿、编辑和出版的任何问题, 您可以本页添加留言。我们将尽快给您答复。谢谢您的支持!

姓名
邮箱
手机号码
标题
留言内容
验证码

钒对7Mn钢冷轧过程组织和力学性能的影响

余海存 吕玮 李宁 魏海东 王旭明 余涛 丁万武

余海存, 吕玮, 李宁, 魏海东, 王旭明, 余涛, 丁万武. 钒对7Mn钢冷轧过程组织和力学性能的影响[J]. 钢铁钒钛, 2024, 45(5): 167-172. doi: 10.7513/j.issn.1004-7638.2024.05.022
引用本文: 余海存, 吕玮, 李宁, 魏海东, 王旭明, 余涛, 丁万武. 钒对7Mn钢冷轧过程组织和力学性能的影响[J]. 钢铁钒钛, 2024, 45(5): 167-172. doi: 10.7513/j.issn.1004-7638.2024.05.022
Yu Haicun, Lü Wei, Li Ning, Wei Haidong, Wang Xuming, Yu Tao, Ding Wanwu. Effect of vanadium on the microstructure and mechanical properties of 7Mn steel during cold rolling process[J]. IRON STEEL VANADIUM TITANIUM, 2024, 45(5): 167-172. doi: 10.7513/j.issn.1004-7638.2024.05.022
Citation: Yu Haicun, Lü Wei, Li Ning, Wei Haidong, Wang Xuming, Yu Tao, Ding Wanwu. Effect of vanadium on the microstructure and mechanical properties of 7Mn steel during cold rolling process[J]. IRON STEEL VANADIUM TITANIUM, 2024, 45(5): 167-172. doi: 10.7513/j.issn.1004-7638.2024.05.022

钒对7Mn钢冷轧过程组织和力学性能的影响

doi: 10.7513/j.issn.1004-7638.2024.05.022
基金项目: 甘肃省科技重大专项(22ZD6GA008);国家自然科学基金资助项目(52161006);中国博士后科学基金项目(2019M653896XB);甘肃省教育厅产业支持计划项目(2021CYZC-23);甘肃省重点研发计划项目(21YF5GD183)。
详细信息
    作者简介:

    余海存,1984年出生,男,博士,副教授,主要从事先进高强汽车用钢品种开发,轻质高熵合金的研究与应用,E-mail:hcyu@lut.edu.cn

    通讯作者:

    丁万武,1979年出生,男,博士,研究员,主要从事铝合金新材料及加工,E-mail:Dingww@lut.cn

  • 中图分类号: TF76, TF704.2

Effect of vanadium on the microstructure and mechanical properties of 7Mn steel during cold rolling process

  • 摘要: 在7Mn中锰钢的基础上,向其添加不同含量的V元素,通过冷轧及退火处理,初步探究0.1%~0.3% V添加量对其组织和力学性能的影响规律。结果表明,当V添加量为0.3%时,试验钢的综合力学性能最优,屈服强度为993.96 MPa,抗拉强度为1164.56 MPa,伸长率为37.55%,强塑积为43.73 GPa·%,这是由于V在钢中形成细小弥散的第二相,在细晶强化、第二相强化和TRIP效应的共同作用下提高了试验钢的综合力学性能。
  • 图  1  7 Mn钢相组成模拟计算结果

    Figure  1.  Simulation results of the phase composition of 7 Mn steel

    图  2  试验钢的拉伸试样尺寸(单位:mm)

    Figure  2.  Tensile dimensions of the testing steel

    图  3  不同V添加量的冷轧态7Mn钢在650 ℃下退火1 h后空冷的SEM图像

    Figure  3.  SEM images of cold-rolled 7 Mn steels with different V additions after annealing at 650 ℃ for 1 h and air cooling

    (a)0.1V; (b)0.2V; (c)0.3V

    图  4  冷轧态7Mn钢不同V添加量下的TEM图像

    (a)0.1V; (b)0.2V; (c)0.3V; (d)析出物的EDS谱图

    Figure  4.  TEM images of cold-rolled 7Mn steel with different V additions

    图  5  不同V添加量的7Mn钢的XRD图谱及奥氏体含量与转化率计算情况

    (a)拉伸试样断裂前XRD图谱;(b)拉伸试样断裂后XRD图谱; (c)奥氏体百分含量和奥氏体转变率

    Figure  5.  XRD diffraction patterns of 7Mn steel with different V additions and the calculation of austenite contents and conversion rates

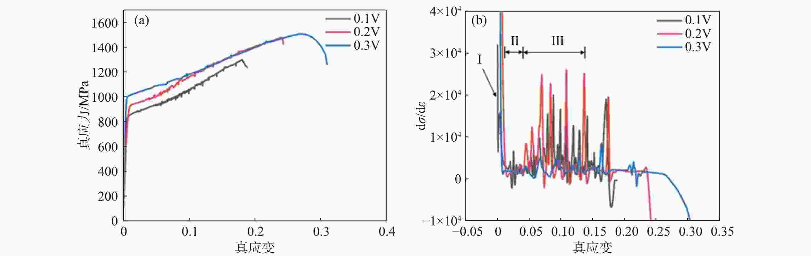
    图  6  不同V添加量的7 Mn钢的真应力应变曲线和加工硬化曲线

    (a)真应力应变曲线; (b)加工硬化曲线

    Figure  6.  True stress-strain and work hardening rate curves of 7 Mn steels with different V additions

    图  7  拉伸试样断口形貌

    Figure  7.  Fracture morphology of the specimen after tensile tests

    (a)0.1V; (b)0.2V; (c)0.3V

    表  1  试验钢化学成分

    Table  1.   Chemical compositions of the testing steels %

    编号 V C Mn Al Si Fe
    0.1 V 0.06 0.19 7.3 1.10 0.09 余量
    0.2 V 0.22 0.19 7.3 1.20 0.04 余量
    0.3 V 0.33 0.19 7.3 1.20 0.04 余量
    下载: 导出CSV

    表  2  不同V添加量的7Mn钢的力学性能

    Table  2.   Mechanical properties of 7Mn steel with different V additions

    试验钢屈服强度/MPa抗拉强度/MPa延伸率/%强塑积/(GPa·%)
    0.1 V818.151086.4026.2028.46
    0.2 V909.601162.8435.3941.15
    0.3 V993.961164.5637.5543.73
    下载: 导出CSV
  • [1] He B B, Huang X M. Simultaneous increase of both strength and ductility of medium Mn transformation-induced plasticity steel by vanadium alloying[J]. Metallurgical and Materials Transactions A, 2018,49A(5):1433-1438.
    [2] Lee, Sangwon, Cooman D, et al. Effect of the intercritical annealing temperature on the mechanical properties of 10 Pct Mn multi-phase steel[J]. Metallurgical and Materials Transactions A, 2014,45A(11):5009-5016.
    [3] Liu L, He B B, Cheng G, et al. Optimum properties of quenching and partitioning steels achieved by balancing fraction and stability of retained austenite[J]. Scripta Materialia, 2018,150:1-6. doi: 10.1016/j.scriptamat.2018.02.035
    [4] Li Z, Ding H, Misra R, et al. Microstructure-mechanical property relationship and austenite stability in medium-Mn TRIP steels: The effect of austenite-reverted transformation and quenching-tempering treatments[J]. Materials Science & Engineering: A, 2017(682): 211-219.
    [5] Jing Songyang, Ding Hua, Liu Mingzhu. Role of Al element in tailoring the austenite mechanical stability and tensile properties of medium Mn steels[J]. Journal of Materials Research and Technology, 2022(20):1414-1427.
    [6] Li Junkui, Zhang Fucheng. A simultaneously improved strength and ductility on medium Mn TRIP steel designed by pre-twinning strategy based on SFE controlling[J]. Materials Letters, 2022(316):132078.
    [7] Lee, Seawoong, Estrin, et al. Constitutive modeling of the mechanical properties of V-added medium manganese TRIP steel[J]. Metallurgical and Materials Transactions, 2013,44(7):3136-3146. doi: 10.1007/s11661-013-1648-4
    [8] Min T P, Sik M J, Chanwon J, et al. Improved strength of a medium-Mn steel by V addition without sacrificing ductility [J]. Materials Science & Engineering A, 2021, 802:140681.
    [9] Ye Lan, Wang Junfeng, Zeng Zhaoli, et al. Realization of selective strengthening of ferrite by Nb/V microalloying in a medium carbon lightweight δ-TRIP steel[J]. Metallurgical and Materials Transactions, 2020,51(5):2460-2468. doi: 10.1007/s11661-020-05676-6
    [10] Yu Haicun, Cai Zhaochen, Fu Guiqin, et al. Effect of V-Ti addition on microstructure evolution and mechanical properties of hot-rolled transformation-induced plasticity steel[J]. Acta Metallurgica Sinica(English Letters), 2019,32(3):352-360. doi: 10.1007/s40195-018-0796-3
    [11] Hu Bin, He Bingbin, Cheng Guanju, et al. Super-high-strength and formable medium Mn steel manufactured by warm rolling process[J]. Acta Materialia, 2019,174:131-141. doi: 10.1016/j.actamat.2019.05.043
    [12] Jha B, Avtar R. Structure-property correlation in low carbon low alloy high strength wire rods/wires containing retained austenite[J]. Transactions of the Indian Institute of Metals, 1996,49(3):133-142.
    [13] Sun B, Fazeli F, Scott C, et al. Microstructural characteristics and tensile behavior of medium manganese steels with different manganese additions[J]. Materials Science & Engineering A, 2018,729:496-507.
    [14] Cai Z H, Ding H, Xue X, et al. Significance of control of austenite stability and three-stage work-hardening behavior of an ultrahigh strength-high ductility combination transformation-induced plasticity steel[J]. Scripta Materialia, 2013,68(11):865-868. doi: 10.1016/j.scriptamat.2013.02.010
  • 加载中
图(7) / 表(2)
计量
  • 文章访问数:  233
  • HTML全文浏览量:  86
  • PDF下载量:  12
  • 被引次数: 0
出版历程
  • 收稿日期:  2023-10-22
  • 网络出版日期:  2024-10-30
  • 刊出日期:  2024-10-30

目录

    /

    返回文章
    返回