中文核心期刊

SCOPUS 数据库收录期刊

中国科技核心期刊

美国《化学文摘》来源期刊

中国优秀冶金期刊

美国EBSCO数据库收录期刊

RCCSE中国核心学术期刊

美国《剑桥科学文摘》来源期刊

中国应用核心期刊(CACJ)

美国《乌利希期刊指南》收录期刊

中国学术期刊综合评价统计源刊

俄罗斯《文摘杂志》来源期刊

优秀中文科技期刊(西牛计划)

日本《科学技术文献数据库》(JST)收录刊

留言板

尊敬的读者、作者、审稿人, 关于本刊的投稿、审稿、编辑和出版的任何问题, 您可以本页添加留言。我们将尽快给您答复。谢谢您的支持!

姓名
邮箱
手机号码
标题
留言内容
验证码

2023年  第44卷  第1期

钒钛分离与提取
2022年中国钛白粉行业发展及分析
毕胜
2023, 44(1): 1-3. doi: 10.7513/j.issn.1004-7638.2023.01.001
摘要(1651) HTML (1058) PDF(728)
摘要:
总结梳理了2022年中国钛白粉行业的各项运行数据,如产能、产量、市场表观需求量、产能分布等,重点分析了近期钛白粉产能增长趋势及相应钛矿原料供求关系的变化。指出,2022年钛白粉产量、产能继续保持增长趋势,产能集中度进一步提高;同时,现有生产商规模的进一步扩大,业外加盟项目的增加,将导致钛矿供应的紧缺。另外,随着绿色新能源电池材料产业的兴起,大批磷酸铁或磷酸铁锂项目建设或筹建,将导致钛白粉产能激增,加剧钛矿供需矛盾,届时市场前景和行业面貌堪忧,各方应高度关注和及时调整。
钛液水解过程中偏钛酸的结构演变对硫含量的影响研究
田从学, 王青鸿, 练宗鑫, 刘稷, 李玫
2023, 44(1): 4-9. doi: 10.7513/j.issn.1004-7638.2023.01.002
摘要(600) HTML (234) PDF(48)
摘要:
采用外加晶种热水解工艺从工业钛液制得偏钛酸,研究了偏钛酸结构演变过程对硫含量的影响。水解过程分为快速水解段和慢速成熟阶段,水解率变化满足Boltzmann模型。随着水解进行,偏钛酸结构变化明显,颗粒聚集与调整使其结构更紧凑,胶体性质减弱,TiO2含量增大。偏钛酸颗粒的微孔与介孔结构由其一次聚集体聚集、堆积形成,孔道由硫酸盐与水等填充。硫酸根通过溶解于吸附水、吸附、键合等形式存在于偏钛酸中,硫含量随TiO2含量增大而逐渐减小,二者呈线性关系。
煅烧晶种加量对钛白粉质量的影响研究
吴健春, 路瑞芳, 孙蔷, 石瑞成, 刘婵
2023, 44(1): 10-14. doi: 10.7513/j.issn.1004-7638.2023.01.003
摘要(586) HTML (221) PDF(50)
摘要:
以水解偏钛酸和煅烧晶种为原料,在偏钛酸中加入不同比例的煅烧晶种,通过调整煅烧温度制备金红石含量98%~99%的钛白初品,考察煅烧晶种加量对煅烧温度的影响。然后通过XRD、SEM等手段对钛白粉的晶体结构、形貌、粒度分布和颜料性能进行分析。结果表明:随着煅烧晶种加量增加,金红石合格所需煅烧温度呈现下降趋势,煅烧晶种加量在4%~6%时对金红石合格所需煅烧温度影响不大。随着晶种加量的增加,初品平均粒径呈现下降趋势,离散系数呈现先下降后增加的趋势,当晶种加量达到6%,离散系数最小。随煅烧晶种加量的增加,铝系和锌系盐处理样品的蓝相(SCX)均随晶种加量的增加呈现增加趋势,消色力(TCS)均呈现先增加后降低的趋势,煅烧晶种加量在5%左右时,样品消色力达到最佳值。
有机还原剂对偏钛酸中氧化铁的还原过程动力学
毛雪华, 王俊
2023, 44(1): 15-19. doi: 10.7513/j.issn.1004-7638.2023.01.004
摘要(401) HTML (133) PDF(27)
摘要:
研究了一种有机还原剂对偏钛酸中氧化铁的还原过程动力学,以探讨过程机理,指导实际生产。结果表明,该还原反应有机还原剂的反应分级数为1,氧化铁的反应分级数为2。在有机还原剂过量的情况下,氧化铁的还原过程速率大小与反应温度、搅拌强度和体系酸度有关。还原速率随温度的增加而增加,表观反应活化能为51.73 kJ/mol。还原速率随搅拌强度的增加先增加而后变化不大,表明在一定的搅拌强度下,扩散步骤不是过程的控制环节。还原速率随酸度的增加先增加后减小,这与偏钛酸中氧化铁的溶解和有机还原剂的分解有关。推断在有机还原剂过量及一定的搅拌强度下,还原反应步骤是有机还原剂对偏钛酸中氧化铁的还原过程的控制环节。
含钒钢渣浸出矿浆多级连续逆流洗涤试验研究
方臣
2023, 44(1): 20-25. doi: 10.7513/j.issn.1004-7638.2023.01.005
摘要(509) HTML (168) PDF(35)
摘要:
含钒钢渣浸出矿浆絮凝浓缩提高浓度,然后采用多级连续逆流洗涤工艺将高浓度矿浆液相内的钒离子洗脱至洗液用于后续回收。通过絮凝沉降试验对洗涤工艺中的沉降参数进行研究,确定了钒渣浸出矿浆适用的絮凝剂为APAM-625V,用量40 g/t,最佳初始矿浆浓度10%,各级洗涤矿浆底流浓度62%。利用洗涤各级的物料平衡原理,列出钒离子在各级溶液组分的“一次多元联立方程组”,计算出在洗涤液固比为1,洗涤级数5的条件下,钒离子的理论洗涤效率为97%。以计算出的洗涤工艺参数进行多级连续逆流洗涤试验验证,钒离子的洗涤效率为96.4%,与理论计算结果基本一致。
氢氧化钾对制备金红石型TiO2作用研究
马维平, 孙科, 王海波
2023, 44(1): 26-31. doi: 10.7513/j.issn.1004-7638.2023.01.006
摘要(373) HTML (298) PDF(34)
摘要:
向水合二氧化钛中添加一定量的氢氧化钾,研究从水合二氧化钛转变至金红石型二氧化钛过程中,钾在体系中的作用机理,钾对水合二氧化钛浆料的粒度和粘度、金红石型二氧化钛长径比和粒径分布的作用。采用拉曼光谱仪、马尔文粒度仪、XRD和电镜对样品进行了表征。结果表明:氢氧化钾加入水合二氧化钛体系中与残留的硫酸反应,生成了硫酸钾,在从水合二氧化钛至金红石型二氧化钛转变过程中起作用。氢氧化钾中的OH会夺取水合二氧化钛中的H+,引起电位的变化,从而致使粘度先增后降。水合二氧化钛经过煅烧先转化成锐钛型 TiO2,然后转化成金红石型 TiO2,大量“K+”吸附在锐钛型 TiO2米勒面101面上,阻碍了二氧化钛表面的Ti-O构晶离子通过表面迁移,从而影响金红石型二氧化钛颗粒长径比和粒径分布。
钒钛材料与应用
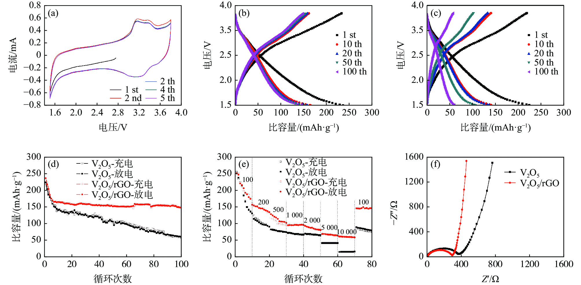
V2O5/石墨烯纳米复合材料的合成及储钠性能研究
郑浩, 彭毅, 王仕伟, 孟伟巍, 杜光超
2023, 44(1): 32-37. doi: 10.7513/j.issn.1004-7638.2023.01.007
摘要(679) HTML (242) PDF(60)
摘要:
五氧化二钒(V2O5)因其具有层状结构、高容量、低成本、资源丰富、高的Na+离子电导率、Na+嵌入/脱嵌时体积变化小、中等电位平台等优点而受到广泛关注。以V2O5和草酸为原料,采用水热法成功制备了V2O5/石墨烯纳米复合材料(V2O5/rGO)。结果表明:石墨烯与V2O5纳米线相互紧密交织,形成连续的V2O5-石墨烯网络结构;V2O5-石墨烯网络结构提供了快速的电子转移速度,扩展了电极材料与电解液的有效接触面积,提高了材料的导电性,缓冲了钠离子嵌入引起的体积变化,从而使V2O5/rGO纳米复合材料的储钠性能得到有效地改善(100 mA/g时,100次循环后,放电比容量为154 mAh/g)。
短时高温钛合金热变形行为研究
王振玲, 于玉城, 韩嘉平, 彭浩
2023, 44(1): 38-43. doi: 10.7513/j.issn.1004-7638.2023.01.008
摘要(794) HTML (234) PDF(160)
摘要:
采用热模拟试验机对铸态Ti-6Al-4Sn-8Zr-0.8Mo-1.5Nb-1W-0.25Si短时高温钛合金进行热模拟试验,研究了其高温变形行为。试验结果表明:该高温钛合金热变形对温度和变形速率敏感,随着应变速率降低和变形温度升高,真应力显著降低。利用高温压缩应力应变数据绘制了热加工图,分析结果显示:(α+β)相区的900~960 ℃、0.035~0.368 s−1和960~1010 ℃、0.165~0.577 s−1;β相区的1010~1020 ℃、0.165~1 s−1为最适合加工的区域。经计算,(α+β)两相区的热变形激活能为316.229 kJ/mol,并构建了该相区内的本构方程。
双级时效对近β高强钛合金冷轧薄板显微组织及力学性能的影响
康煦东, 陈科儒, 王振, 杜赵新, 郭文霞
2023, 44(1): 44-48. doi: 10.7513/j.issn.1004-7638.2023.01.009
摘要(462) HTML (147) PDF(37)
摘要:
对Ti-3.5Al-5Mo-6V-3Cr-2Sn-0.5Fe钛合金进行双级时效热处理,对比研究双级时效对高强β钛合金组织与性能的影响。时效温度选取650 ℃+450 ℃,研究结果表明双级时效处理对合金力学性能提升明显,650 ℃预时效时基体先析出较大尺寸的α相,后续的低温再时效将继续析出尺寸较小的次生α相,两种尺寸的α相共同作用下,使得双级时效的合金获得强度1504 MPa,延伸率10.3%的优良力学性能。
硅藻土/BiVO4复合光催化剂的制备及性能研究
刘景景, 闫月娥
2023, 44(1): 49-55. doi: 10.7513/j.issn.1004-7638.2023.01.010
摘要(485) HTML (131) PDF(26)
摘要:
采用液相沉淀法制备了不同硅藻土含量(5%~80%)的硅藻土/BiVO4复合材料,利用XRD和UV-Vis对样品进行了表征。结果表明,复合材料为单斜BiVO4、四方BiVO4和SiO2混合相。升高煅烧温度可使BiVO4向单斜相转化,且在较高煅烧温度时,增大硅藻土的含量,有助于BiVO4进一步转化为单斜相。硅藻土含量为5%~30%的样品的光降解率比BiVO4有不同程度的提升,硅藻土的最佳含量为10%。在煅烧温度450 ℃,光催化时间2 h,罗丹明B浓度10 mg/L的条件下,复合材料的去除率和光降解率分别高达100%和60.41%。空穴是材料光降解罗丹明B的主要活性物种,复合材料光催化性能提升可归因于硅藻土良好的吸附性、对BiVO4的分散性以及形成的单斜相BiVO4/四方相BiVO4/SiO2混相p-n异质结,其提升了材料对罗丹明B的吸附,增大了表面活性位点和比表面积,加速了光生载流子的分离与传输,在有机污染物废水处理方面具有较好的应用前景。
Ti-Ni系钛合金箔材在退火过程中的微观组织演变
唐敏, 邢远, 王立亚, 杨柳
2023, 44(1): 56-63. doi: 10.7513/j.issn.1004-7638.2023.01.011
摘要(364) HTML (133) PDF(29)
摘要:
对厚度为0.15 mm Ti-Ni系钛合金箔材进行不同条件下的退火处理,利用电子背散射衍射技术(EBSD)系统研究了该箔材在不同退火条件下的微观组织及织构演变。结果表明,Ti-Ni系钛合金箔材等温退火时,随着退火时间的延长,再结晶分数提高,形成等轴无畸变的再结晶组织,基面ND织构消失,双峰织构随退火时间的延长,由TD向ND方向靠近;等时退火时,退火温度为500 ℃时,已基本完成再结晶,随着退火温度的升高,再结晶晶粒长大。织构组分不随退火温度的升高而发生改变,织构强度随退火温度的升高而发生改变。
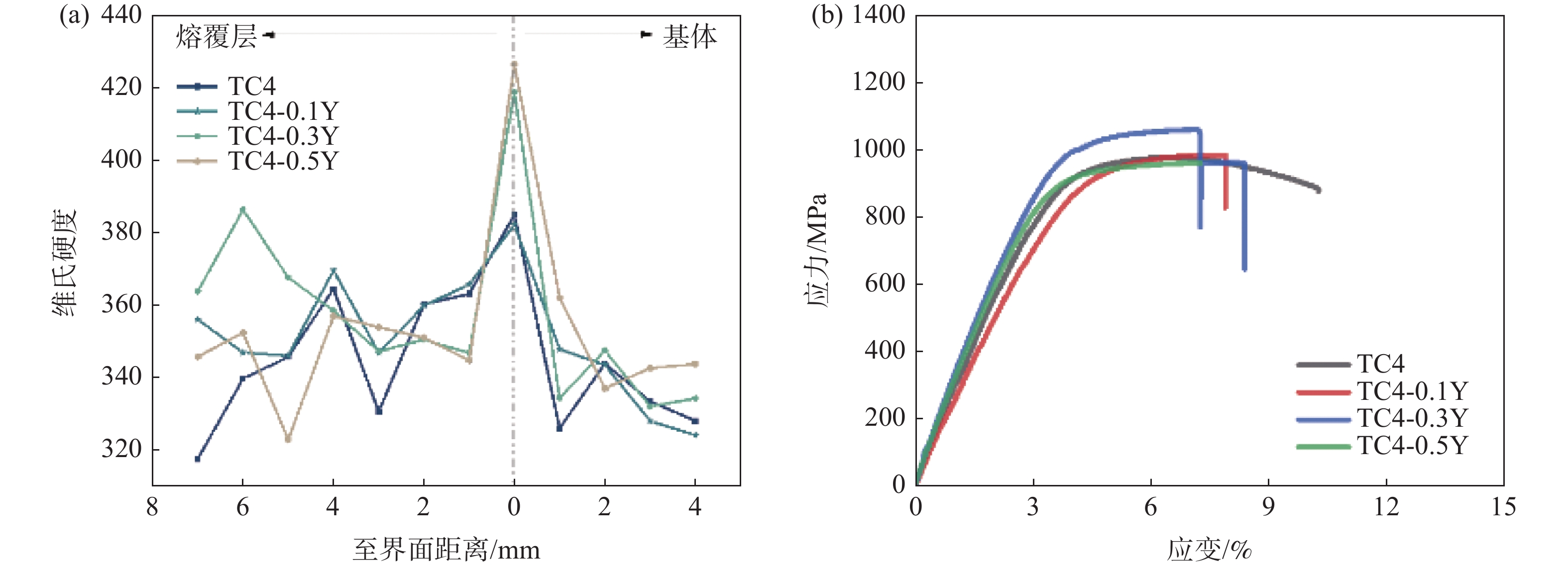
Y2O3弥散强化TC4钛合金粉末及其激光熔覆组织性能研究
张成阳, 何思逸, 杨威, 郭双全, 王宁, 徐轶
2023, 44(1): 64-71. doi: 10.7513/j.issn.1004-7638.2023.01.012
摘要(790) HTML (187) PDF(33)
摘要:
激光熔覆修复技术可用于修复损伤的钛合金工件。与锻造件相比,熔覆件在激光熔覆过程中容易引入氧,导致氧含量偏高和强度偏低的问题。采用等离子旋转电极法(PREP)制备了TC4-xY(x = 0,0.1,0.3,0.5)的预合金粉末,并使用该合金粉末通过激光熔覆工艺技术方法修复TC4合金工件。结果表明,在钇(Y)引入后产生的弥散体Y2O3均匀分布在粉末上,随着Y含量的增加,粉末的显微维氏硬度增加。在TC4-xY熔覆层中,其显微维氏硬度随着Y含量的增加而增加。然而,由于脆性相析出的影响,熔覆层的拉伸性能呈现先上升后下降的趋势,其伸长率呈现相反的趋势,TC4-0.3Y熔覆层的1058 MPa拉伸性能最优异,同时伸长率也达到7.2%。通过对Y含量的调控,能够促进熔覆层组织改善与力学性能提升。
热处理工艺对近α高温钛基复合材料锻件组织性能的影响
杨栋杰, 杨振博, 孙永刚, 冯弘, 张树志, 智少勇, 张长江
2023, 44(1): 72-77. doi: 10.7513/j.issn.1004-7638.2023.01.013
摘要(507) HTML (204) PDF(24)
摘要:
采用扫描电镜、电子万能材料试验机研究了整体锻造成形的TiBw增强高温钛基复合材料锻件的组织和性能,以及不同热处理工艺对锻件组织和性能的影响。结果表明:锻件组织为双态组织,在650 ℃时表现出优异的高温性能,但在700 ℃时其强度出现了大幅下降。对锻件进行了不同的热处理,发现随着固溶温度的升高,α相含量和尺寸逐渐降低。另外,其拉伸强度随着固溶温度的升高而升高,但其塑性则会降低。当固溶温度为1030 ℃时,可以得到等轴α相含量为18.58%的双态组织,此时高温性能最为优异。其屈服强度为514.0 MPa,极限抗拉强度最高为594.0 MPa,延伸率为13.9%。
多向锻造对汽车用钛合金组织及性能影响分析
高亚男, 郑镭, 张全逾
2023, 44(1): 78-83. doi: 10.7513/j.issn.1004-7638.2023.01.014
摘要(414) HTML (126) PDF(31)
摘要:
对汽车制造用Ti80钛合金进行了多向锻造试验和多向锻造试样的内部显微组织分析,测试了室温条件下的力学性能和耐磨损性能。研究表明,锻造温度和锻造道次对试样显微组织、力学性能和耐磨损性能均产生明显影响,随锻造温度从880 ℃升高到960 ℃、锻造道次从2增加到8,多向锻造试样的组织先细化后粗化、力学性能和耐磨损性能均先提高后下降。当锻造温度为920 ℃、锻造道次5时,试样晶粒最细小、第二相呈连续网状分布,试样力学性能和耐磨损性能最佳,试样抗拉强度和屈服强度分别为976、892 MPa、磨损15 min后磨损体积仅为7×10−3 mm3
资源环境与节能
钙基提钒尾渣强化还原-磁选分离钛铁技术研究
高峰, 杜浩, 刘彪, 王少娜, 梁鹏, 张懿
2023, 44(1): 84-91. doi: 10.7513/j.issn.1004-7638.2023.01.015
摘要(451) HTML (178) PDF(31)
摘要:
采用直接还原-磁选方法从钒钛磁铁矿直接提钒尾渣中回收Fe,在还原温度1250 ℃、还原时间2 h、还原剂用量为尾渣质量的20%的条件下,球团的金属化率为92.71%。在球团中加入5% CaCO3并延长保温时间至6 h后,Fe晶粒的平均直径从14.53 μm增加至25.39 μm。通过对Fe晶粒的生长速率拟合发现,加入CaCO3后,晶粒生长速率常数从0.26 μm2/min提高至1.45 μm2/min。加入CaCO3的直接还原球团经过磁选后,可以得到TFe含量为90.72 %的直接还原铁和TiO2含量为41.75 %的含钛渣,Fe的回收率达到了91.05%,大幅提高了钒钛磁铁矿的资源利用率。
METSIM在含钒钢渣加压强化提钒工艺中的应用研究
王海旭, 李兰杰, 白丽, 万贺利
2023, 44(1): 92-97. doi: 10.7513/j.issn.1004-7638.2023.01.016
摘要(401) HTML (155) PDF(33)
摘要:
针对提钒工艺中的关键环节,采用METSIM软件对含钒钢渣加压强化提钒工艺进行了工艺建模和物料衡算,得到了整个工艺过程中各物流的质量流量以及所包含的物质的详细信息。模拟过程可清晰了解每种物质详细走向,为工艺的设计及优化提供参考。结合上述模拟结果和产线实际运行中存在的蒸发水量较大的问题,设计了优先处理尾渣中钒酸钙,其次再进行优化尾渣洗涤的方式。结果表明通过模拟分析可进一步优化实际工艺方案,模拟结果使提钒工艺中总用水量减少7552 t/a,蒸发水量减少7521 t/a,显著降低了提钒工艺能耗。
钒钛铁尾矿复合胶凝材料的制备及性能
王长龙, 马锦涛, 杨丰豪, 张高青, 陈敬亮, 荊牮霖, 李鑫, 翟玉新, 刘枫
2023, 44(1): 98-105. doi: 10.7513/j.issn.1004-7638.2023.01.017
摘要(725) HTML (199) PDF(46)
摘要:
为促进钒钛铁尾矿高质量、规模化地有效利用,以钒钛铁尾矿为主要原料制备复合胶凝材料,采用粒度分析、力学性能测试、X 射线衍射(XRD)及扫描电镜(SEM)测试等手段,研究了钒钛铁尾矿粉磨特性、掺量对复合胶凝材料性能影响及复合胶凝材料的水化机理。结果表明:粉磨30 min的钒钛铁尾矿比表面积达到400 m2/kg,其 28 d 活性指数接近70%;当钒钛铁尾矿掺量为27%,胶砂比为 1∶3,水胶比为0.4时,所制备的复合胶凝材料3 d和28 d 抗压强度分别为14.9 MPa和 32.6 MPa,标准稠度为32.6%,凝结时间为125 min(初凝)和396 min(终凝),复合胶凝材料净浆试样14 d的收缩值较同龄期P·O 42.5水泥净浆试样收缩值低51.8%;在标准养护条件下,复合胶凝材料的水化产物主要为C-S-H凝胶、Ca(OH)2、Mg(OH)2和钙矾石(AFt),钒钛铁尾矿水化反应后残余矿物相石英和透辉石颗粒与水化产物的凝聚效应为复合胶凝材料的强度提供了保障,透辉石水化生成Mg(OH)2对胶凝体系早期自收缩起到抑制作用。
攀西某低品位钛铁矿预选试验研究
曹玉川, 安登极, 李辉跃, 杨柳毅, 郭锐
2023, 44(1): 106-110. doi: 10.7513/j.issn.1004-7638.2023.01.018
摘要(623) HTML (222) PDF(43)
摘要:
攀西某低品位钛铁矿含TFe17.14%、含TiO2 6.32%,由于原矿铁、钛品位低,目前处于待开发状态,为铁钛并重、高效开发该资源,采用预选工艺,提前抛除部分尾矿,降低入磨量,提高入选品位,达到降低成本的目的,进行了不同粒级的预选试验研究,确定了最佳的预选流程,在−3 mm粒级进行湿式预选,抛尾产率29.51%,预选精矿含TFe 20.74%、TiO2 7.97%,铁、钛回收率分别为86.34%、86.58%。
钢铁冶金与材料
碳包覆钒钛磁铁矿粉非等温还原动力学
高一策, 郝素菊, 蒋武锋, 张玉柱, 薄荷
2023, 44(1): 111-118. doi: 10.7513/j.issn.1004-7638.2023.01.019
摘要(439) HTML (148) PDF(27)
摘要:
为了准确探究钒钛磁铁矿粉碳还原反应的动力学,试验采用水热法,在不添加任何改性剂的情况下,以葡萄糖为碳源制备出了碳包覆钒钛磁铁矿粉,并利用高温综合热分析仪分别测量了5、7.5、10、12.5、15 K/min五种不同升温速率下的碳包覆钒钛磁铁矿粉的升温失重曲线。结合FWO公式和Coats-Redfern(CR)公式计算试验数据,进而计算碳包覆钒钛磁铁矿粉的动力学相关参数。结果表明:在一定温度区间内碳包覆钒钛磁铁矿粉的失重率与碳包覆量和升温速率成正比,此反应中的活化能约为73.533 kJ/mol,其反应机理是三级化学反应的模型。
攀钢高炉不同炉料相互作用机理试验研究
谢洪恩, 朱凤湘, 胡鹏, 郑魁
2023, 44(1): 119-128. doi: 10.7513/j.issn.1004-7638.2023.01.020
摘要(425) HTML (109) PDF(35)
摘要:
为探究攀钢高炉不同炉料在软熔过程中的相互作用机理,进行了单种原料及其混合矿软熔性能的测定以及由两种炉料组成的混合矿在特定温度软熔性能测定的中断试验。在试验条件下,块矿的滴落温度Td最低。与球团矿相比,烧结矿的软化终了温度T40低、滴落温度Td高、软化温度区间ΔTs窄、熔化温度区间ΔTm宽。与烧结矿和球团矿相比,混合矿的滴落温度Td明显降低。块矿软熔以后在荷重的作用下渗入烧结矿和球团矿的空隙间,促进其与烧结矿或球团矿中物相的相互侵蚀和元素在不同物相间的迁移,从而加速混合矿的软化熔融。
40 t偏心电弧炉底吹工艺数值模拟及工业试验研究
付建辉, 刘庭耀, 陈均
2023, 44(1): 129-134. doi: 10.7513/j.issn.1004-7638.2023.00.021
摘要(476) HTML (399) PDF(40)
摘要:
通过对某钢厂40 t偏心电弧炉底吹工艺建立数学模型,利用流体计算软件Fluent数值模拟了不同底吹条件下电弧炉熔池内的流体流动特征,分析了不同底吹流量对流体流动的作用规律。结果表明:随吹气量的增大, 熔池表面平均速度不断增大,得出最优的吹气量为30~40 m3/h。同时结合工业生产数据发现,采用底吹搅拌技术后能加速电弧炉熔池的传热和传质速度,缩短冶炼时间,降低生产成本。
C、N含量对钠冷快堆热交换器用316H奥氏体不锈钢组织和性能影响
宋广懂, 李鑫, 刘萌萌, 李小兵, 李昊泽, 高明
2023, 44(1): 135-141. doi: 10.7513/j.issn.1004-7638.2023.01.022
摘要(403) HTML (129) PDF(30)
摘要:
316H不锈钢是我国四代先进钠冷快堆热交换器主体结构材料,获得C、N等关键微量元素的合理控制限是实现其国产化制造的前提。但是ASTM标准对316H合金中C的要求控制范围较宽,难以兼顾合金的耐晶间腐蚀和焊接性能,尤其对C极易出现偏析的大尺寸管板、法兰等部件。此外,该标准也并未给出N的控制范围。试验研究了C、N含量对合金的晶粒度、室温和580 ℃拉伸性能、室温冲击韧性和耐晶间腐蚀性能的影响。结果表明,C含量在0.04%~0.06%变化时,316H不锈钢晶粒度、拉伸性能、冲击韧性变化并不明显。尽管该范围的C含量合金热轧板材具有良好的耐晶间腐蚀性,但随着C含量的增加,合金腐蚀速率有所提高。N含量在0.05%~0.07%变化时,316H不锈钢晶粒度、拉伸性能、冲击性能变化并不明显,耐晶间腐蚀速率随着N含量的增加有降低的趋势。基于上述结果,综合分析并确定了工程化制造的大尺寸316H不锈钢部件C和N含量的推荐控制限,即C 0.04%~0.05%,N 0.06%~0.07%。
钢包出钢阶段吹氩搅拌去除夹杂物的模拟研究
李阳, 吴晨辉, 邓安元, 曾建华, 张敏, 杨晓东
2023, 44(1): 142-150. doi: 10.7513/j.issn.1004-7638.2023.01.023
摘要(594) HTML (182) PDF(44)
摘要:
针对钢包出钢过程建立了钢液-渣相-气相-氩气泡-夹杂物的五相数学模型,探索了钢包出钢过程中吹氩搅拌去除夹杂物的可行性,以及吹氩流量对流场、渣眼、夹杂物去除效率的影响规律。结果表明:吹氩搅拌可强化浇钢过程中钢液的流动行为,显著提升夹杂物的去除率。相较于未采用吹氩搅拌,当吹氩流量为100 L/min、出钢750 s时,夹杂物的去除率由80.74%提升至96.69%,流入中间包夹杂物的数量减少67.4%;随吹氩流量增加,渣眼尺寸增大,夹杂物去除速率增加,但去除效率变化不大,推荐吹氩流量为100 L/min。
原位(W&Ti)C复相颗粒对高铬铸铁磨损行为的影响规律
王帅, 李英民, 郑志斌, 王娟, 龙骏, 郑开宏, 张建, 刁晓刚
2023, 44(1): 151-157. doi: 10.7513/j.issn.1004-7638.2023.01.024
摘要(457) HTML (115) PDF(23)
摘要:
采用原位法制备出(W&Ti)C复相颗粒增强高铬铸铁基复合材料,研究了增强颗粒对材料显微组织和磨损行为的影响规律。结果表明:与高铬铸铁相比,复合材料显微组织中WC和TiC颗粒的存在使其洛氏硬度(HRC)从55提高到70。在磨损过程中,高铬铸铁靠近磨损表面的M7C3型碳化物在磨料的反复作用下会产生裂纹并向基体内部扩展。破碎的碳化物更容易脱落,无法抵抗磨料对材料表面的犁削作用,从而加速材料的磨损。复合材料中相对较软的基体相在磨损时会逐渐被去除,磨损表面会暴露出大量WC和TiC颗粒。表面凸起的增强颗粒会承受来自磨料的主要破坏作用,进而有效地保护周边的基体材料。对比发现,在相同磨损条件下复合材料的磨损性能提高了1倍以上。
Nb-V复合微合金化对管线钢再加热奥氏体影响规律研究
马启林, 贾书君, 阴树标, 李拔, 刘清友
2023, 44(1): 158-166. doi: 10.7513/j.issn.1004-7638.2023.01.025
摘要(389) HTML (129) PDF(23)
摘要:
借助光学显微镜(OM)、高分辨透射电镜(HRTEM)等分析手段,通过热处理试验,热力学模型计算及therme-cacl软件分析等,研究了再加热过程中管线钢奥氏体晶粒尺寸和微合金元素溶解和析出行为之间的耦合关系。结果表明,试验钢在再加热温度1180 ℃、保温1.5 h时,此时奥氏体晶粒尺寸存在以下规律:Nb钢(61.14 μm±5.59 μm)<Nb-V钢(63.84 μm±5.52 μm)<V钢(71.89 μm±6.8 μm),此时Nb钢奥氏体中Nb元素的固溶量为0.064%,而Nb-V试验钢的固溶量为0.05%,此时两种试验钢在奥氏体中固溶的Nb含量差仅有0.014个百分点。通过建立热力学模型计算发现,在1050~1250 ℃温度区间内奥氏体晶粒长大激活能关系为QNb>QNb-V>QV,进一步证实在该阶段奥氏体晶粒的长大主要与Nb元素固溶量成正相关。在再加热温度1180 ℃、保温1.5 h下Nb-V试验钢和Nb钢原奥氏体晶粒尺寸、Nb固溶量都在相近的范围内,从再加热阶段进一步验证了含V管线钢的可行性。
高品质工程机械用钢生产工艺优化
翟冬雨, 张游游, 雷晓荣, 刘帅, 常运合
2023, 44(1): 167-174. doi: 10.7513/j.issn.1004-7638.2023.01.026
摘要(486) HTML (144) PDF(36)
摘要:
工程机械用热轧钢板不仅对产品力学性能要求严格,而且对钢板表面质量要求极为苛刻。南钢从合金成分设计着手,通过控制钢水冶炼过程、降低奥氏体化温度和二次开轧温度,成功获得显微组织由铁素体和珠光体组成,拉伸性能稳定、低温冲击均值高达220 J、晶粒度10级以上无带状组织的高品质工程机械热轧钢板。研究表明:洁净钢冶炼技术提升、低温奥氏体化技术结合低温轧制冷却工艺,减少钢板表面铁橄榄石生成量,钢板表面可形成致密稳定不易破碎的5 µm厚度的氧化铁皮,氧化铁皮的存在避免了钢板在运输储存过程中表面的二次破坏,保证了客户使用质量。在满足了工程机械用钢对产品表面及性能的高要求的同时,企业也获得了高品质工程机械用钢的工艺研究成果及成套工业化制造技术。
低温板坯加热Hi-B钢的组织和织构演变
刘磊, 郭飞虎, 时朋召, 乔家龙, 田玉石, 仇圣桃
2023, 44(1): 175-180. doi: 10.7513/j.issn.1004-7638.2023.01.027
摘要(392) HTML (126) PDF(25)
摘要:
采用光学显微镜和X射线衍射仪对低温板坯加热Hi-B钢的组织、织构的特征演变进行了研究。结果表明:从热轧板和常化板的表面到中心,组织和织构分布不均匀。热轧板组织分为表层再结晶区域、再结晶和变形晶粒混合区域和中心变形晶粒区域,并且热轧板各层的织构类型不同。常化板表层晶粒长大,过渡层和中心层的形变晶粒基本消失,常化板继承了热轧板的织构特点。冷轧板为纤维状变形组织,冷轧后形成了以{001}<110>~{111}<110>为主的α 织构。脱碳渗氮板的横断面和纵断面的晶粒平均尺寸分别为25.9 μm和25.3 μm,织构主要为{111}<112>、{114}<481>和{001}<120>织构。成品板晶粒平均尺寸为19.1 μm,成品板为单一的高斯织构。
Te对303Cu不锈钢硫化物及性能的影响
朱强斌, 季灯平, 严道聪, 李立, 付建勋
2023, 44(1): 188-196. doi: 10.7513/j.issn.1004-7638.2023.01.029
摘要(452) HTML (233) PDF(22)
摘要:
为研究碲(Te)冶金在303Cu不锈钢中的工业化应用效果,开展了向303Cu不锈钢中添加Te的工业化生产试验,探究了Te添加对303Cu易切削不锈钢耐蚀性能的影响,并验证了Te对303Cu耐蚀性能的影响。通过蔡司金相显微镜、扫描电镜、三维腐刻、表面粗糙度仪、盐雾试验、显微硬度等方法对比分析了303Cu不锈钢原样以及303Cu碲改质铸坯和轧材中硫化物的形态变化、尺寸分布及切削性能、耐蚀性能和硬度变化。结果表明:303Cu不锈钢(Te改质)铸坯中硫化物长宽比较小,分布更加均匀,硫化物硬度增加,Te改质303Cu轧材后硫化物由长条状变成纺锤体,有效抑制了硫化物在轧制过程中的形变;Te改质、轧材切削后C型屑比例提高且表面粗糙度降低;Te改质后,轧材在120 h和240 h中性盐雾试验下腐蚀面积相比原样均有所减小。