中文核心期刊

SCOPUS 数据库收录期刊

中国科技核心期刊

美国《化学文摘》来源期刊

中国优秀冶金期刊

美国EBSCO数据库收录期刊

RCCSE中国核心学术期刊

美国《剑桥科学文摘》来源期刊

中国应用核心期刊(CACJ)

美国《乌利希期刊指南》收录期刊

中国学术期刊综合评价统计源刊

俄罗斯《文摘杂志》来源期刊

优秀中文科技期刊(西牛计划)

日本《科学技术文献数据库》(JST)收录刊

留言板

尊敬的读者、作者、审稿人, 关于本刊的投稿、审稿、编辑和出版的任何问题, 您可以本页添加留言。我们将尽快给您答复。谢谢您的支持!

姓名
邮箱
手机号码
标题
留言内容
验证码

2024年  第45卷  第1期

钒钛分离与提取
2023年中国钛白粉行业的现状、未来及发展
毕胜
2024, 45(1): 1-3. doi: 10.7513/j.issn.1004-7638.2024.01.001
摘要(3863) HTML (453) PDF(157)
摘要:
总结了2023年中国钛白粉行业的各项运行数据,包括产能、产量、市场表观需求量、产能集中度等,分析了近期钛白粉产能增长趋势及相应钛矿原料供求关系的变化。指出,2023年钛白粉产量、产能继续保持增长趋势,产能集中度进一步提高;同时,现有生产商规模进一步扩大,业外加盟项目的增加,以及随着新能源材料产业的兴起导致的钛白粉产能增加,这些将加剧钛矿供需矛盾,市场前景和行业面貌堪忧,各方应高度关注和及时调整。对钛白粉行业未来的持续健康发展提出了建议,呼吁关注和积极应对近期出台的新一轮产业政策。
低价氯化钛浆料直接电化学还原制备钛铝合金新工艺研究
朱福兴, 马占山, 邓斌, 穆天柱, 邱克辉
2024, 45(1): 4-11. doi: 10.7513/j.issn.1004-7638.2024.01.002
摘要(612) HTML (182) PDF(28)
摘要:
针对低价氯化钛(LTC)浆料熔盐电解制备钛铝合金存在的电化学行为研究不系统、合金产品的高温抗氧化特性不明晰等问题,采用电化学工作站、示差热重分析仪等手段对LTC浆料在熔盐体系中电化学行为及合金产品的高温抗氧化特性进行研究。结果表明,LTC浆料在熔盐体系中可直接电化学还原制备Ti-Al合金,且为逐级还原的历程:Ti3+→Ti2+,Al3+→Al,Ti3+/Al3+→Ti-Al合金和Ti2+→Ti;随着熔盐体系中Ti3+离子浓度的增加,钛铝合金的组成变化规律为:Al/Al3Ti→Al3Ti2/Al5Ti2→AlTi/Al0.64Ti0.36→Al0.64Ti0.36/AlTi3→AlTi3→AlTi3/Ti→Ti,产品形貌变化规律为:粗枝晶→细枝晶→细球状结构→粗球状团聚体→细球状团聚体→细球多孔状→多孔状结构。钛铝合金中随着铝含量和产品致密性的增加,合金的抗高温氧化性能逐渐增强,Al0.64Ti0.36/AlTi3合金经高温熔炼后呈Al含量更高的α2/γ和γ组织,使其高温抗氧化性能优于商用Ti48Al2Cr2Nb。钛铝合金产品高温氧化历程为:Ti-Al合金→铝酸钛→金红石/氧化铝,并且形成的氧化物层可有效防止钛铝合金的进一步氧化。
纳米磷酸钒钠的制备及其储钠性能研究
张东彬, 袁欣然, 辛亚男, 毕新强, 刘天豪, 韩慧果, 杜光超, 滕艾均
2024, 45(1): 12-18. doi: 10.7513/j.issn.1004-7638.2024.01.003
摘要(1264) HTML (231) PDF(66)
摘要:
基于磷酸钒钠制备条件苛刻、颗粒粒径大、电导率差等问题,提出了一种制备纳米磷酸钒钠的新方法。通过碱性沉钒形成羟基氧化钒,再利用PO43-、F-等阴离子与OH-的原位离子交换,从而得到纳米化的磷酸钒钠。借助XRD、SEM、FTIR等方法,分析了纳米磷酸钒钠的形成机理,优化了合成条件。电化学测试结果表明,磷酸钒钠的纳米化提升了电子/离子输运能力,使得所制备的纳米磷酸钒钠表现出优异的储钠性能。当电流密度为10 mA/g时,其放电比容量为106.68 mAh/g,并且循环20次循环充放电后,仍能保持80.85 mAh/g的放电比容量。
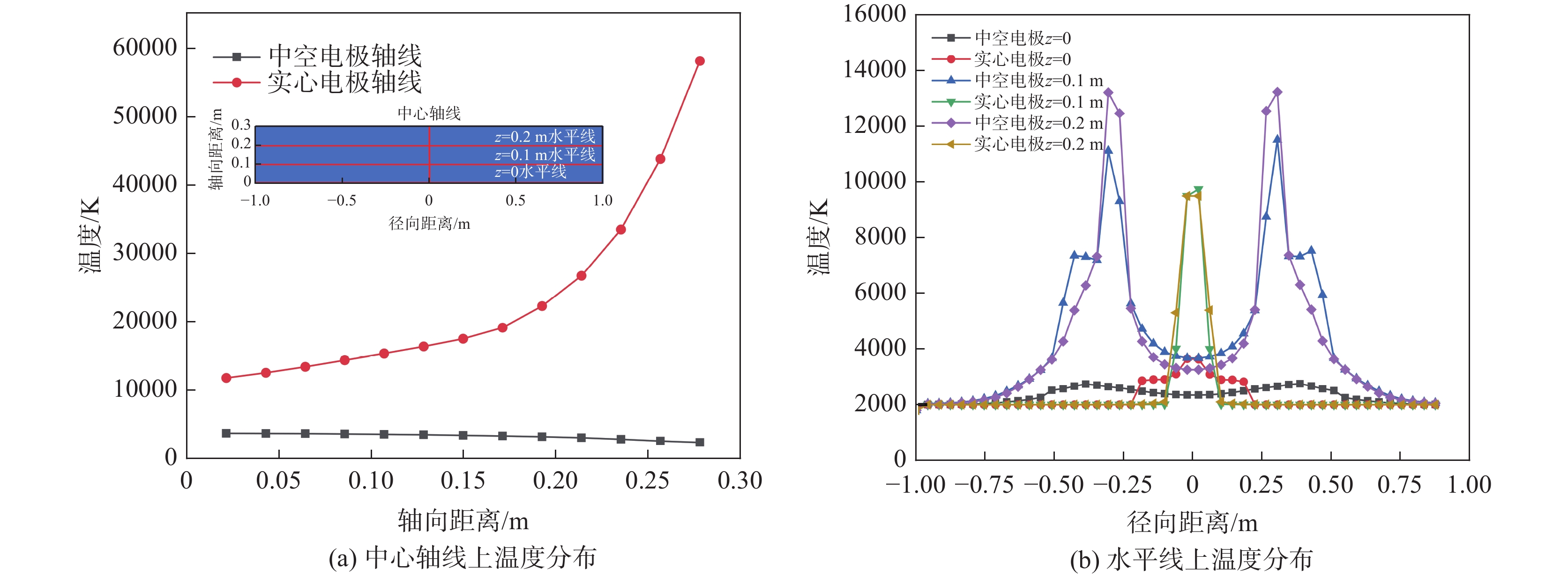
中空、实心电极电炉熔炼钛渣过程中电弧特性的对比研究
李孟臻, 李宝宽, 于洋, 肖军
2024, 45(1): 19-27. doi: 10.7513/j.issn.1004-7638.2024.01.004
摘要(430) HTML (190) PDF(19)
摘要:
为了深入探究中空电极技术在钛渣电炉冶炼工艺中的优势所在,以25.5 MW钛渣电炉实际电极尺寸为基础,分别建立了中空和实心电极电弧的数学模型,模拟得到中空、实心电极电弧的电磁场、温度场和流场分布特性,研究了电流大小和电弧长度对熔池表面温度分布的影响规律。结果表明,电弧内电流密度、焦耳热值、速度和温度的较大值位于阴极斑点附近,中空电极是内外径中心线下方区域,实心电极是中心轴线附近区域。采用中空电极时,周围的电弧会向中轴线汇聚,该现象有利于提高电弧加热物料的效率。当电流值由34 kA增大到54 kA,两种情形下的熔池表面平均温度分别提升了708 K和109 K。当电弧长度由0.3 m缩短到0.1 m,两种情形下的熔池表面平均温度分别提升了2500 K和46 K。相比于实心电极,中空电极更适合采用大电流和短弧长的运行方式,且合理控制弧长对提高中空电极电弧加热效率的效果更显著。
钛精矿内配碳球团还原过程中的物相转变及还原产物电阻率研究
吴恩辉, 徐众, 李军, 侯静, 黄平, 张士举, 唐榕, 罗玉琴
2024, 45(1): 28-33. doi: 10.7513/j.issn.1004-7638.2024.01.005
摘要(442) HTML (136) PDF(15)
摘要:
以石墨粉为还原剂,研究钛精矿内配碳球团还原过程中的物相转变规律和还原产物的电阻率。结果表明,钛精矿内配碳球团的还原过程先后主要经历铁氧化物的还原和钛氧化物的还原两个过程,且提高还原温度、延长还原时间和增加石墨配比均有利于钛氧化物还原程度的加深;在还原时间为60 min,石墨配比为33.6%的条件下,还原温度由900 ℃提高到1550 ℃时,还原产物物相随温度升高的转变过程为:FeTiO3→Fe+TiO2→Fe+TinO2n−1n≈1,2,3,4)→Fe+TiC。还原产物电阻率测试结果表明,还原温度和石墨配比对还原产物电阻率影响较大,还原时间影响较小;在石墨配比为33.6%,还原温度1300 ℃,还原时间为45 min的条件下,还原产物的电阻率的值为2.67×10−2 Ω·cm。
工业钛液制备水解晶种粒径影响因素研究
路瑞芳, 董立春, 杨芳, 孙蔷, 吴健春, 刘婵
2024, 45(1): 34-39. doi: 10.7513/j.issn.1004-7638.2024.01.006
摘要(572) HTML (168) PDF(34)
摘要:
以工业钛液为原料,采用目前硫酸法钛白企业常用的氢氧化钠溶液中和法制备水解晶种工艺,改变关键原料指标和工艺参数,考察晶种粒径和晶种稳定性的变化规律。然后将不同粒径的晶种用于水解,研究了晶种粒径对偏钛酸粒径及固定盐处理煅烧后所得金红石钛白初品粒径和消色力的影响。结果表明,随着钛液TiO2浓度、F值、铁钛比以及碱液浓度的升高,相同稳定性下晶种粒径变大;随着晶种制备碱钛比、钛液预热温度、碱液预热温度的增加,相同稳定性下晶种粒径减小;随着熟化时间的延长,晶种稳定性降低,晶种粒径变大。随着晶种粒径的变大,水解所得偏钛酸D50和径距逐渐变小,偏钛酸晶粒尺寸略增;对应金红石钛白初品的SEM平均粒径和标准差逐渐减小,同时其Tcs、Scx均增加。
钒钛材料与应用
钛合金微弧氧化技术研究进展
杨荭培, 王平, 杨绍兰, 王香洁
2024, 45(1): 40-48. doi: 10.7513/j.issn.1004-7638.2024.01.007
摘要(978) HTML (948) PDF(100)
摘要:
目前国内已建成世界上规模最大的钛工业体系,专注深化钛及钛合金的应用和使役行为探究,大力开发表面处理新技术提高使用寿命,其中,微弧氧化是最具代表性的表面改性技术,以其绿色环保的特点贯彻可持续发展战略。总结了国内外钛合金微弧氧化技术的研究成果,阐述了微弧氧化原理,综述了电解液、电参数和添加剂对钛合金微弧氧化的影响,以及钛合金微弧氧化陶瓷膜的耐腐蚀性、耐磨性及结合强度的研究进展,认为钛合金微弧氧化技术下一步研究重点需要加快研发节能电源装置,实现工件批量化生产,继续强化微弧氧化机理研究和工艺系统化设计,构建一个完整的技术库。
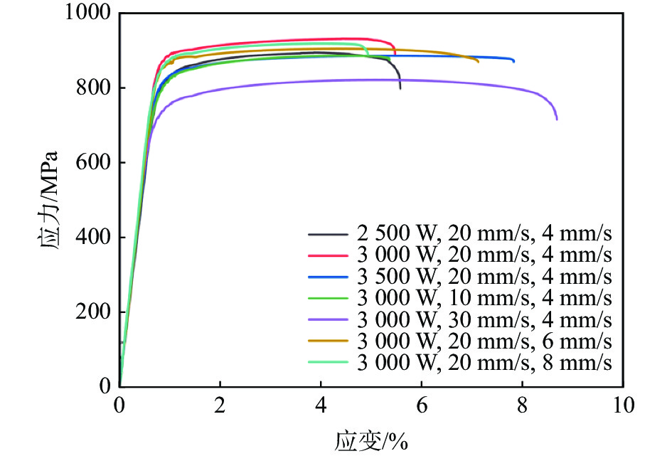
激光熔丝Ti6Al4V合金成形工艺、微观组织及强韧性研究
张大越, 伍新泽, 王一甲, 司姗姗, 姜圆博, 李彬周, 姜风春
2024, 45(1): 49-56. doi: 10.7513/j.issn.1004-7638.2024.01.008
摘要(878) HTML (187) PDF(35)
摘要:
采用激光熔丝增材制造技术制备了单道多层的Ti6Al4V合金试样,系统研究了激光功率、扫描速度及送丝速度对Ti6Al4V合金的组织形貌、拉伸性能和冲击性能的影响。单道多层沉积试样的组织由马氏体α'、α集束和网篮状α构成。激光功率提高使β晶粒尺寸增大和马氏体α'分解程度增加,激光功率从3000 W提升至3500 W时试样抗拉强度下降了约4%,但延伸率上升了50%,冲击韧性提高了约6%。送丝速度的提高增大了试样的β晶粒平均尺寸,随着送丝速度从10 mm/s增加至30 mm/s,抗拉强度下降了2%,延伸率提高了67%,冲击韧性提高了11%。扫描速度提高会增加试样内的未熔合缺陷和残留马氏体α',扫描速度6 mm/s试样相比扫描速度4 mm/s的试样延伸率提高了约45%,抗拉强度下降了2%,冲击韧性提高了11%。
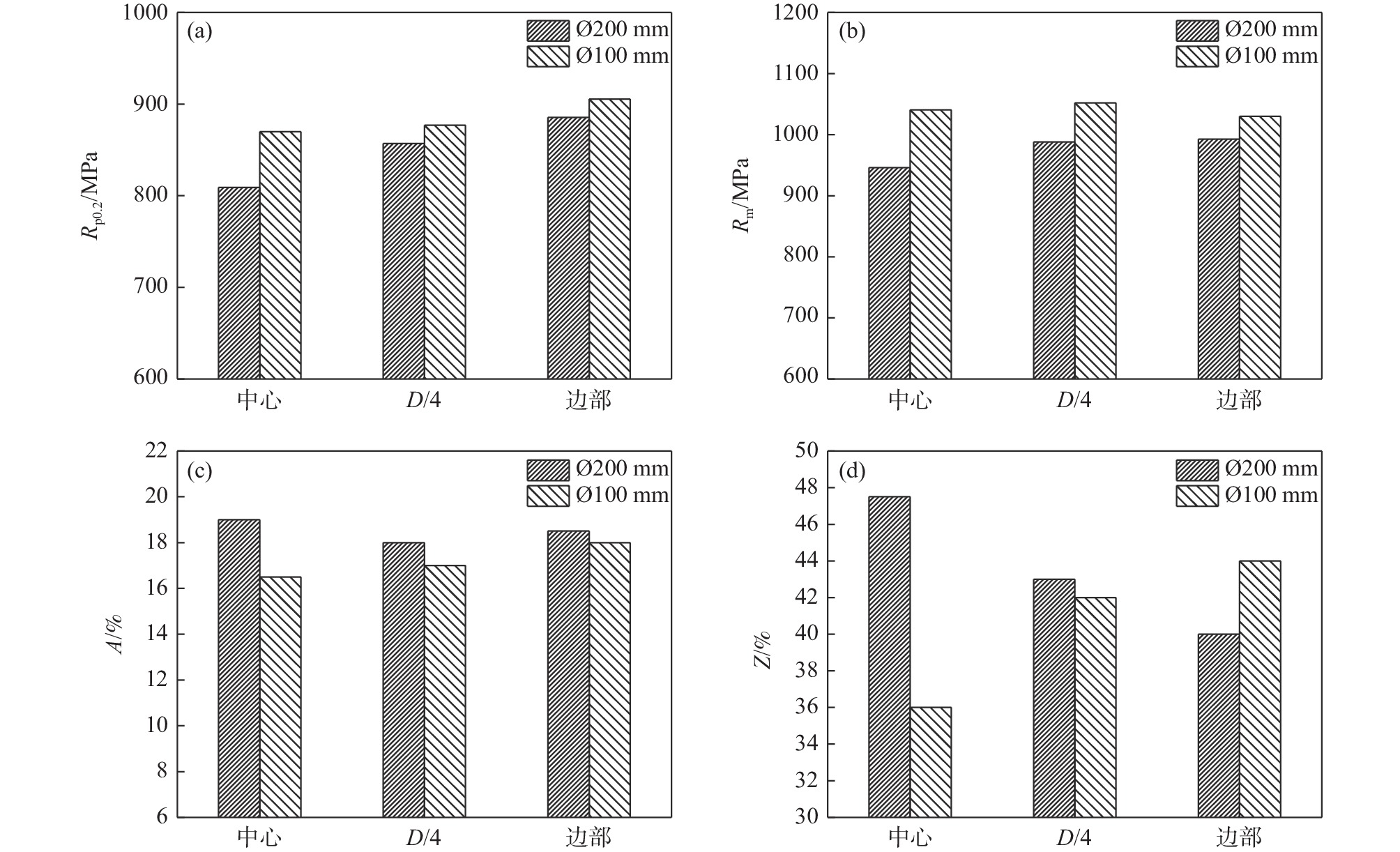
不同锻造工艺对TA15棒材组织性能影响
李晓煜, 唐敏, 刘昕, 肖强, 秦海旭
2024, 45(1): 57-64. doi: 10.7513/j.issn.1004-7638.2024.01.009
摘要(601) HTML (216) PDF(25)
摘要:
采用自由锻和径锻工艺,分别制备出直径Ø200 mm和Ø100 mm的两支TA15钛合金锻棒,研究了锻造工艺对TA15锻棒组织和力学性能的影响。结果表明,两种TA15锻棒不同位置的金相组织有明显差异,径锻棒心部初生α相占比高,初生及次生α相均呈现不规则变形组织形貌,说明Ø100 mm锻棒中心发生变形。两支锻棒的α相含量从心部到边部逐渐减少,β转变组织含量逐渐增多。退火后径锻棒的组织内存在大量块状α相和细小再结晶晶粒,而自由锻锻棒组织无明显变化。经过径锻变形后,锻棒的边部室温抗拉强度、面缩和冲击性能提升。细长的片层状组织提供了更多α/β相界面,促进了高温扩散,使得自由锻锻棒的高温力学性能低于径锻棒。
VAR电磁搅拌工艺对熔体流动影响的模拟研究
黄立清, 樊凯, 郭杰, 李超, 李俊杰, 王锦程
2024, 45(1): 65-70. doi: 10.7513/j.issn.1004-7638.2024.01.010
摘要(1172) HTML (238) PDF(51)
摘要:
真空自耗电弧熔炼中熔体的流动行为影响铸锭的凝固特性。熔体运动直接观测困难,因此通过模拟揭示熔体的流动行为非常关键。采用自主开发的三维模拟模型,研究了不同搅拌工艺参数下,熔炼过程中熔体的流动行为及熔池形貌。研究表明,随着搅拌电流从0.01 A逐步增加到25 A(搅拌周期为8 s),熔体旋转速度从0.0001 m/s近似线性增加到0.212 m/s,熔池逐渐宽化(由V形变成U形),熔池最大深度和熔池体积均存在一个明显的先下降后上升的过程。而随着搅拌周期从1 s逐步增加到24 s(搅拌电流为5 A),熔体旋转速度从0.0125 m/s快速增加到一个较大值(16 s时为0.0818 m/s)后趋于稳定,熔池逐渐宽化,熔池最大深度逐渐降低到一个最低值后趋于稳定。搅拌电流和搅拌周期均影响熔体的旋转及平面运动,但两者的影响机理存在一定的差异。
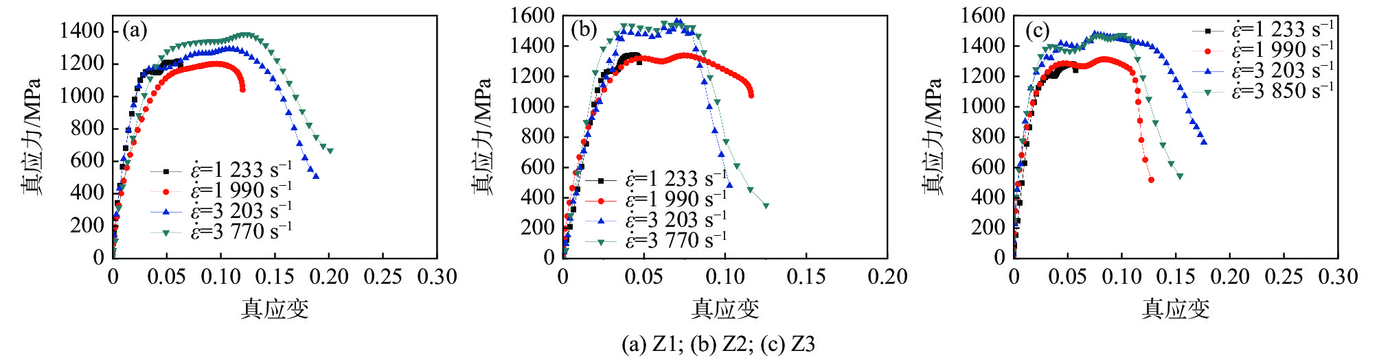
不同热处理条件下Ti-1023钛合金的绝热剪切敏感性
郭文静, 张继林, 贾海深, 易湘斌, 罗文翠
2024, 45(1): 71-77. doi: 10.7513/j.issn.1004-7638.2024.01.011
摘要(396) HTML (134) PDF(15)
摘要:
利用Hopkinson 压杆试验系统对圆柱形试样进行室温动态压缩冲击试验,研究不同热处理制度下Ti-1023钛合金的微观组织、绝热剪切带的形成特征。结果表明,相变点以上固溶处理使Ti-1023合金组织晶粒尺寸增大,β晶界处析出细针状α相;相变点以下的固溶时效使晶粒内部析出大量球状α相,相变点以下的固溶双重时效处理的组织晶粒更为细小均匀。在较高应变率加载条件下,不同组织均表现出明显的应变率增强和增塑效应,具有明显的热塑性失稳特征。相变点以上固溶时效组织动态强度高,但塑性差,绝热剪切敏感性最大;相变点以下固溶单重时效组织最不易发生绝热剪切,但强度低;固溶双重时效组织比固溶单重时效组织的动态强度高,塑性较好,具有最好的抗冲击承载能力。
大规格爆炸钛/钢复合板力学性能及界面的研究
杨学山, 庞立娟, 邓刚, 李会容, 张雪峰
2024, 45(1): 78-83. doi: 10.7513/j.issn.1004-7638.2024.01.012
摘要(604) HTML (205) PDF(18)
摘要:
分别以3 mm×3 m×7 m的TA2板和9 mm×3.2 m×7.2 m的Q235钢板作为覆板和基板,使用四种不同成分的炸药制备了大规格TA2/Q235钛/钢爆炸复合板,并对复合板的剪切强度以及界面组织进行了研究。结果表明,炸药的爆速、猛度和做功能力随乳化炸药含量的增多而增大。经UT检测,使用4#炸药爆炸制备的钛/钢复合板结合率接近100%;平均剪切强度最高为278 MPa。爆炸钛/钢复合板都存在一定厚度的界面层,炸药做功能力越强,界面层厚度越薄。该试验所制备的钛/钢复合板界面层厚度最薄仅为1.1 μm。爆炸钛/钢复合板界面层的形成是Ti和Fe元素互扩散的结果。扩散过程中,在高温的作用下,界面层中容易形成β-Ti、TiFe和TiFe2金属间化合物。
资源环境与节能
钛精矿酸解尾气升华硫中物质赋存状态的研究
李平, 全学军, 李礼, 王海波, 陈新红, 齐学强, 李纲, 向泉锦
2024, 45(1): 84-90. doi: 10.7513/j.issn.1004-7638.2024.01.013
摘要(578) HTML (219) PDF(24)
摘要:
目前使用硫酸法钛白工艺生产二氧化钛的厂家面临酸解尾气中升华硫堵塞管道问题,从而影响该工艺生产连续性,而目前对酸解尾气中升华硫的组成、结构、物质赋存状态以及升华硫冷凝行为缺乏认识。采用XRD、SEM和EDS对工厂升华硫粉及其中所含物质的结构、组成、主要元素分布及杂质元素的赋存状态进行了研究。结果表明,升华硫粉主要成分为S8,其中主要杂质元素有O、Fe、Ti、Si、Ca、Mg、Al、Mn和V等,且绝大部分钛和铁分布在钛铁矿和Fe2TiO5相中, 少部分铁分布在硅酸盐相中,以Fe2SiO4形式存在;钙分布在硫酸钙和硅酸盐相中,并以CaSiO3形式存在;硅主要以SiO2和硅酸盐形式存在;镁分布在MgTiO3和MgFeAlO4相中;铝以MgFeAlO4形式存在;锰以金属氧化物的形式分布在钛铁矿中。对硫酸法钛白酸解尾气中升华硫的赋存状态进行研究,可为后续酸解尾气中升华硫的冷凝行为研究提供基础。
提钒尾渣煤基回转窑法钙化还原脱钠研究
王兆才, 郑富强, 刘臣, 胡兵, 师本敬
2024, 45(1): 91-95. doi: 10.7513/j.issn.1004-7638.2024.01.014
摘要(407) HTML (161) PDF(24)
摘要:
针对提钒尾渣中钠含量高,导致难以返回烧结-高炉流程进行回收利用的问题,提出基于煤基回转窑还原的提钒尾渣钙化还原脱钠技术路线,并在Ø1 m×10 m回转窑中试线进行半工业试验,主要研究了高温段还原温度、白灰配比、入窑吨球焦粉配比、高温还原时间对提钒尾渣脱钠的影响规律,同时对脱钠后球团性能和回转窑结窑情况进行分析。结果表明,在高温段温度为1100~1160 ℃,高温段时间为1.8~2 h,入窑吨球焦粉配比为800~1000 kg,白灰配比为32.5%~41%的条件下,提钒尾渣脱钠率可达到80%以上,吨球焦粉实际消耗量为359 kg。窑内结块物主要由提钒尾渣球团粉末和焦粉灰分粉末组成,结块物呈疏松多孔状,由细颗粒相互粘结构成,窑转动过程会自动掉落,无明显结窑现象。
碱浸和污泥强化对钢渣陶粒除磷效果的影响
唐婧, 罗胜元
2024, 45(1): 96-103. doi: 10.7513/j.issn.1004-7638.2024.01.015
摘要(403) HTML (165) PDF(11)
摘要:
为提高钢渣除磷效果,采用碱浸预处理,并添加污泥强化制备碱浸钢渣-蒙脱土-污泥复合钢渣陶粒,与钢渣-蒙脱土-可溶性淀粉复合陶粒进行对比研究,探讨强化后钢渣陶粒的除磷性能和除磷机理,考察含磷溶液中磷的去除。结果表明,两种钢渣陶粒的最大除磷率均可达到93%,磷酸盐浓度为1 mg/L时,碱浸-污泥强化钢渣陶粒的最佳投加量为0.5 g,显著低于未强化钢渣陶粒(1 g)。扫描电镜显示碱浸-污泥强化钢渣陶粒孔隙更为密集。X射线衍射表明两种陶粒内含多种金属盐,可与水样中磷酸根离子发生反应将其去除。两种陶粒对Langmuir吸附等温方程拟合度最高,碱浸-污泥强化钢渣陶粒吸附饱和时, 最大吸附量(39.18 mg/g)高于未强化钢渣陶粒(19.18 mg/g) 。两种陶粒对准二级动力学模型的拟合度高于准一级动力学模型,表明两种陶粒对磷吸附属于单分子层吸附,以化学吸附为主。
高炉熔渣粒化工艺试验及其数值仿真研究分析
邵宸, 康月, 邢宏伟, 刘超, 林文龙, 孙瑞靖, 周君
2024, 45(1): 104-114. doi: 10.7513/j.issn.1004-7638.2024.01.016
摘要(798) HTML (219) PDF(32)
摘要:
重点介绍了干式粒化工艺中的离心粒化工艺和气淬粒化工艺,由于高炉熔渣的粒化破碎是高温瞬态过程,只通过试验的手段难以监测,因此从试验和数值仿真两方面研究了干式粒化工艺的发展和应用现状。通过对两种工艺的总结和比较,认为气淬粒化工艺具有粒化效果好、处理渣量大等优点,从行业发展和工业化应用的角度来看,是未来匹配大型高炉生产过程最具发展前景的干式粒化工艺。
钢铁冶金与材料
高碳钢中包渣连铸过程理化性能的劣化演变研究
胡淏, 王先扬, 吴晨辉, 石鹏, 谢鑫, 曾建华, 龙木军, 陈登福
2024, 45(1): 115-121. doi: 10.7513/j.issn.1004-7638.2024.01.017
摘要(581) HTML (159) PDF(27)
摘要:
中包渣在浇铸过程中保持良好的理化性能对稳定钢液纯净度具有重要意义。针对高碳钢中间包在连铸过程中各炉次的中包渣的理化性能进行测试研究,并利用Factsage对熔渣的高温物相进行热力学计算,分析其成分、熔点、粘度、表面张力演变规律。结果表明,中间包冲击区与浇注区渣的理化性能呈现不同的变化规律。随浇注炉次的增加,浇注区中包渣的SiO2与MgO含量明显升高,由于高熔点组分增多,完全融化温度由1325 ℃升高到1500 ℃以上,粘度上涨接近10倍、表面张力由0.4 N/m上涨到0.8 N/m,中包渣对夹杂物的吸附能力变差。而冲击区中包渣变化规律与浇注区相反,在冲击区容易发生卷渣。
Nb-Ti微合金EH36海工钢中复合析出相沉淀析出行为研究
乔家龙, 郭飞虎, 时朋召, 操瑞宏, 熊晨光, 徐李军
2024, 45(1): 122-130. doi: 10.7513/j.issn.1004-7638.2024.01.018
摘要(491) HTML (219) PDF(15)
摘要:
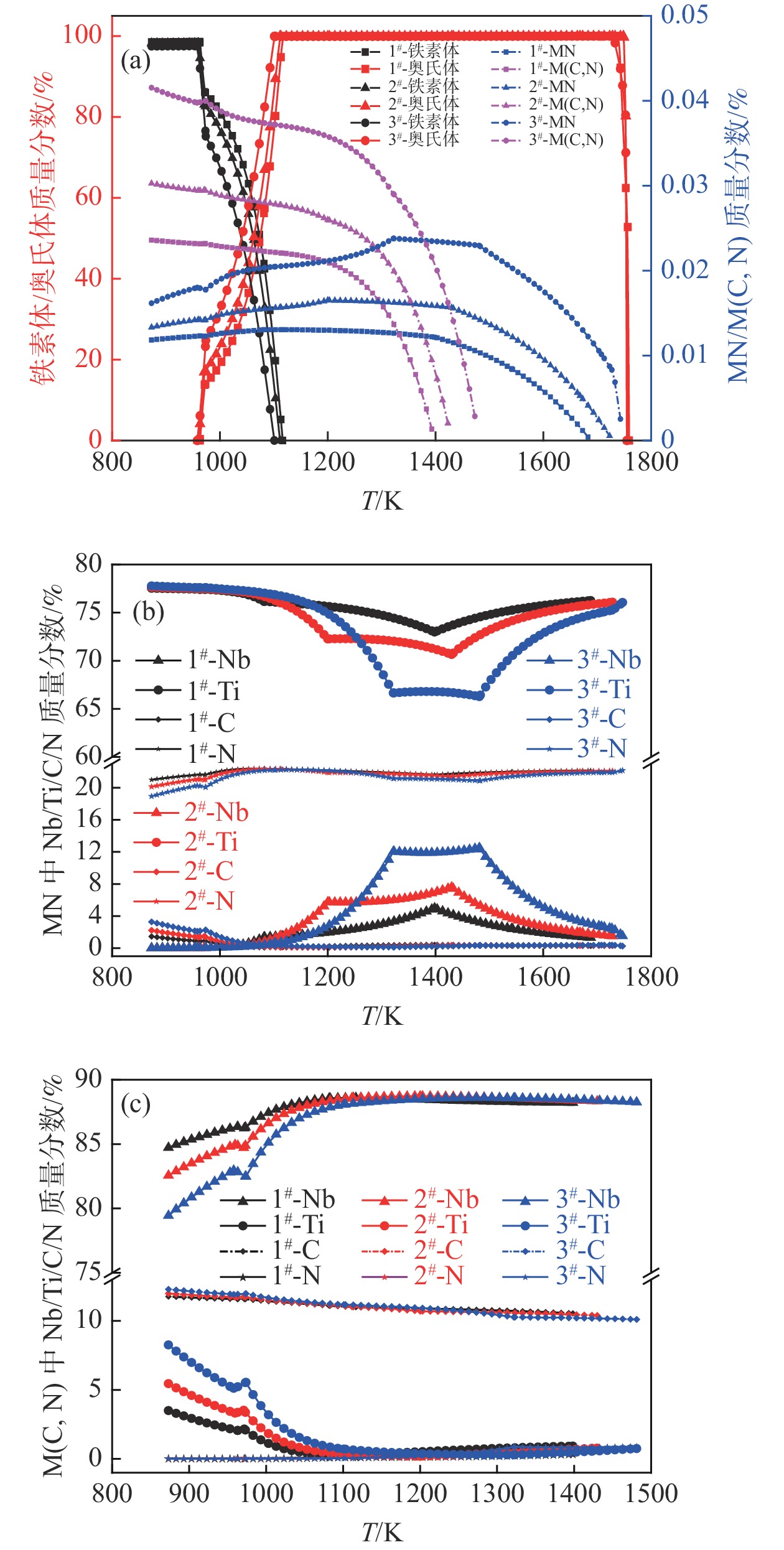
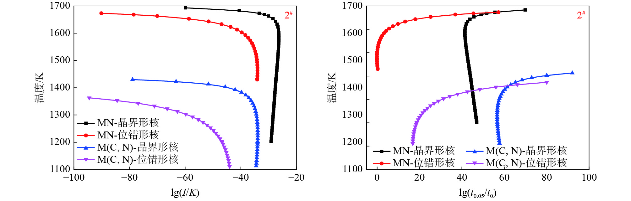
基于EH36海工钢屈服强度影响因素的主成分回归分析,结合复合析出相固溶析出计算和经典析出动力学理论,系统研究了影响EH36海工钢屈服强度的主要因素和复合析出相的析出行为,并探讨了轧制过程奥氏体形变储能对复合析出相析出动力学的影响。结果表明,影响EH36海工钢屈服强度的主要因素为Ti、Nb和N。MN和M(C,N)分别在1728.5 K和1430.0 K开始析出,主要为(Ti,Nb)N和(Nb,Ti)C。在奥氏体相区,MN和M(C,N)的最大析出量分别为0.0165%和0.0277%,最大析出体积分数分别为0.000228%和0.000389%,发生晶界形核的最快沉淀析出温度分别为1580.3 K和1228.3 K。随着奥氏体形变储能的增加,MN和M(C,N)相对形核率呈增加趋势,析出孕育期明显缩短且沉淀强化作用增强。
La对FeCrAl合金中非金属夹杂物的影响
文佳航, 亓捷, 刘承军
2024, 45(1): 131-138. doi: 10.7513/j.issn.1004-7638.2024.01.019
摘要(339) HTML (158) PDF(14)
摘要:
为研究稀土La对FeCrAl合金中夹杂物类型及分布的影响,在热力学分析的基础上,借助SEM-EDS观察分析了夹杂物三维形貌及其成分,统计分析了夹杂物尺寸及数量。结果表明,1600 ℃时FeCrAl合金中只存在单一Al2O3夹杂。凝固过程中,随着体系中固相率的增大,AlN在凝固前沿析出。加入质量分数为0.0093%的La后,Al2O3被变质为LaAlO3。La添加量为0.0378%时,主要夹杂物类型为LaAlO3+La2O2S,夹杂物数量明显增多,且随着保温时长的增加, La2O2S比例逐渐增加。La添加量为0.0964%时,La2O2S比例进一步增加,保温60 min后,钢中只有单一La2O2S夹杂稳定存在。夹杂物聚合特性对夹杂物粒径影响显著。1600 ℃下保温60 min,仅含单一LaAlO3的试样中,LaAlO3在保温前期呈现较强的聚合趋势,夹杂物平均粒径先由2.34 μm增大至3.31 μm,随后减小至1.93 μm。La2O2S聚合趋势较弱,含有La2O2S的试样中,夹杂物平均粒径较小且变化稳定,在保温前期,夹杂物平均粒径稳定在1.8~2.0 μm。
加热温度对X80M管线钢性能和组织的影响
徐海健, 韩楚菲, 郭诚, 龙山, 田永久, 沙孝春
2024, 45(1): 139-144. doi: 10.7513/j.issn.1004-7638.2024.01.020
摘要(386) HTML (248) PDF(24)
摘要:
研究了不同加热温度对厚壁X80M管线钢原始奥氏体晶粒、组织、析出相及力学性能的影响。结果表明,加热温度对厚规格X80M管线钢的落锤性能影响较大。随着加热温度逐渐升高,奥氏体晶粒不断粗化,当加热温度≤1210 ℃时,原始奥氏体晶粒细小,奥氏体晶粒的平均尺寸为35 μm。原始奥氏体晶粒越细小,在后续轧制和冷却过程中越能促进针状铁素体和粒状贝氏体的形核,即显著改善钢板的低温韧性。此外,加热温度越高,铸坯中合金元素的固溶量越多,能促进20 nm以下的NbC析出相的形成,但会导致晶粒粗化和组织中针状铁素体及粒状贝氏体比例减少。因此,控制加热温度在1210 ℃以下,保证针状铁素体(AF)和粒状贝氏体(GB)比例在60%以上时,可显著改善厚规格X80M管线钢的落锤性能。
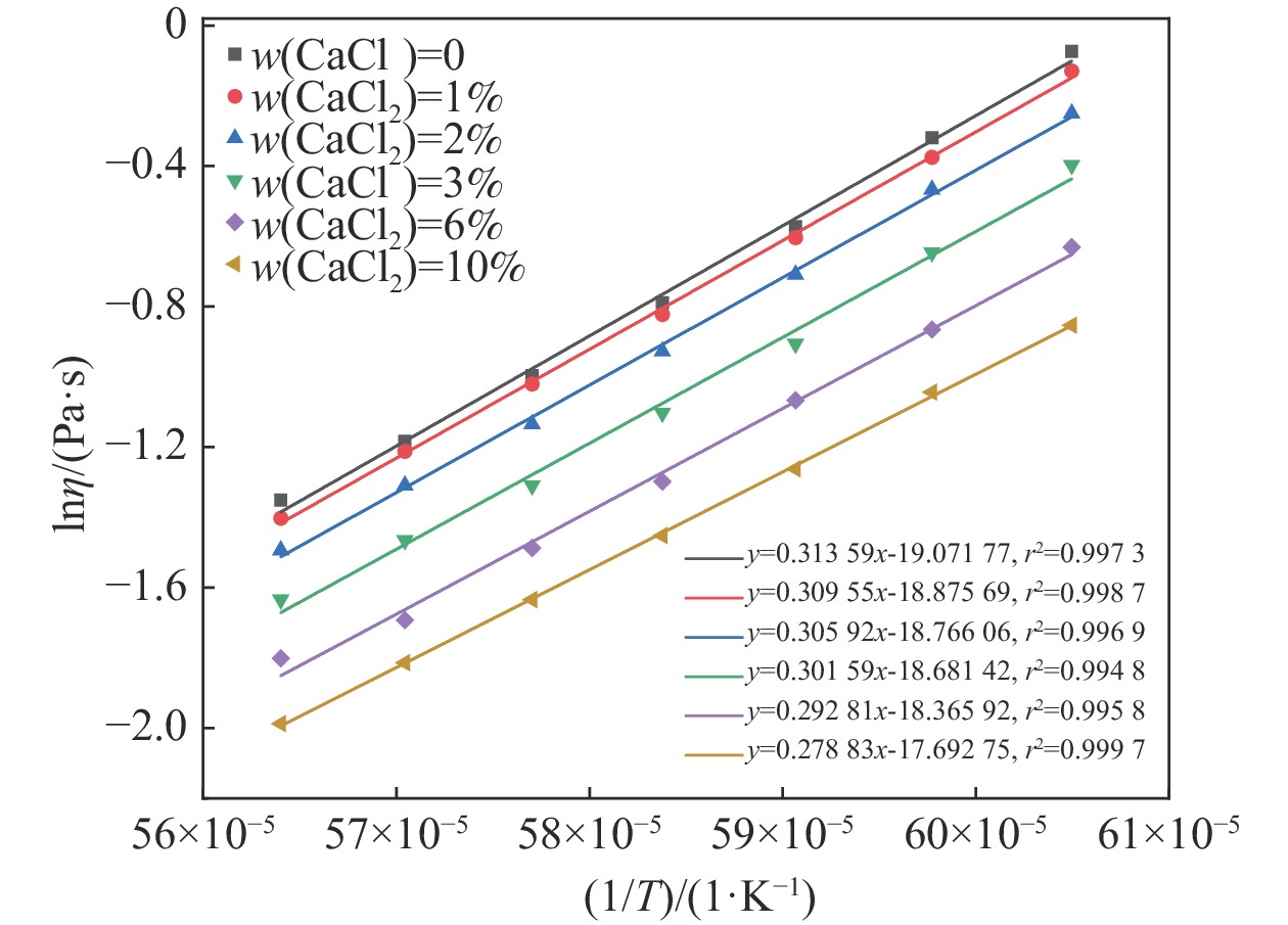
CaO-SiO2-MgO-Al2O3-TiO2-CaCl2渣系粘流特性研究
乔军强, 王振飞, 潘月军, 邢相栋, 张建良, 徐润生
2024, 45(1): 145-151. doi: 10.7513/j.issn.1004-7638.2024.01.021
摘要(376) HTML (126) PDF(15)
摘要:
炉渣的粘流特性与高炉的稳定顺行密切相关。研究了含氯高钛渣(CaO-SiO2-MgO-Al2O3-TiO2-CaCl2)的粘度和熔化性温度,并采用傅里叶变换红外光谱(FTIR)和拉曼光谱(Raman)分析其结构演变。结果表明,氯元素的加入可以降低炉渣粘度,简化炉渣结构。由于氯元素在高温下容易蒸发,因此在粘度测试过程中氯含量略有下降。粘性流动活化能的变化趋势与粘度的变化趋势相似。[SiO4]-四面体结构和Ti-O-(Ti或Si)键也会被破坏。Q2和Q3单元的相对面积分数减少,Q0和Q1单元的相对面积分数增加,导致炉渣聚合度降低。
GH4141合金高温拉伸性能及其损伤行为研究
张昭, 裴丙红, 冯旭, 信瑞山, 郭啸东, 肖东平, 周扬
2024, 45(1): 152-157. doi: 10.7513/j.issn.1004-7638.2024.01.022
摘要(466) HTML (142) PDF(25)
摘要:
研究了室温、300 ℃和500 ℃环境下GH4141合金的拉伸性能,结果表明,合金高温下的抗拉强度明显低于室温,300 ℃和500 ℃拉伸结果表现出锯齿状的应力-应变曲线,并且两种高温环境下的抗拉强度相当。不同温度下断口附近的微观组织表征结果显示裂纹主要在晶界位置产生,无论晶界是否含有粗大MC型碳化物。M6C和M23C6构成的链状碳化物使得晶界具有良好塑性,在断口表面形成大量的韧窝形貌。晶粒内部裂纹的产生与滑移带的形成密切相关,延缓滑移带的产生则归因于间隙元素、替代元素以及γ′强化析出相对位错的钉扎效应。注意到500 ℃环境下拉伸过程发生了再结晶现象,在粗大晶粒附近形成细小晶粒,并且伴随着少量碳化物,同时沿晶断裂现象明显减弱。然而,室温和300 ℃环境下的断口特征表现为穿晶和沿晶混合断裂模式,并未发生再结晶现象。
含钒高速车轮钢第二相析出的热力学研究
丁小明, 李丰, 郭晓培, 李涛, 琚立颖, 宋晓辉
2024, 45(1): 158-164. doi: 10.7513/j.issn.1004-7638.2024.01.023
摘要(464) HTML (188) PDF(18)
摘要:
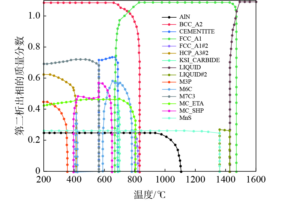
利用热力学软件Thermo-calc计算了含钒高速铁路车轮钢中第二相的析出行为,详细分析了低碳车轮钢中平衡相的组成以及温度和钒含量对第二相析出的影响。结果表明,钢中钒含量的变化对车轮钢中第二相析出量有较大影响,对第二相析出的温度几乎无影响;温度变化对钢中稳定存在的第二相析出产物影响较小,对瞬态析出相的影响较大。
激光点焊接头力学性能与失效数值模拟研究
郑帮智, 田晓琳, 王泽龙, 冯兆龙
2024, 45(1): 165-170. doi: 10.7513/j.issn.1004-7638.2024.01.024
摘要(359) HTML (299) PDF(29)
摘要:
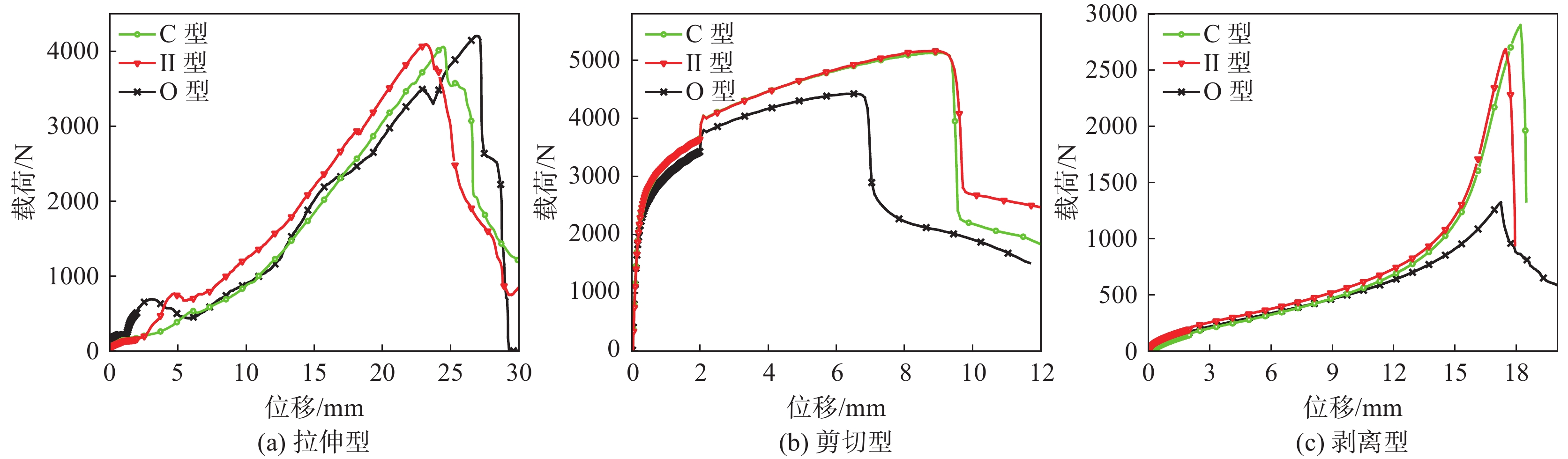
测试了三种形状的激光焊点在拉伸、剪切、剥离工况下的静态和动态力学性能,分析了点焊焊缝的显微组织特性和硬度分布情况。结果表明,焊点形状与焊点力学性能密切相关,C型焊点整体性能更优;焊点强度随加载速率的增加而发生塑性强化,加载速率越大,塑性强化越明显;焊缝整体分布均匀,过度平滑,融合区和热影响区硬度高。基于LS-DYNA焊核合力失效准则,研究了激光点焊接头失效数值仿真方法,明确了等效焊核直径用于模拟激光点焊失效方法的有效性。
−35 低温下珠光体/贝氏体钢轨磨损与滚动接触疲劳行为研究
王泓豪, 丁昊昊, 汪渊, 陈崇木, 王文健, 周仲荣
2024, 45(1): 171-176. doi: 10.7513/j.issn.1004-7638.2024.01.025
摘要(512) HTML (212) PDF(43)
摘要:
高寒地区铁路钢轨面临着低温服役环境,低温下钢轨的滚动磨损与损伤行为是影响其服役安全的重要因素。通过轮轨滚动接触模拟试验研究了−35 ℃温度下珠光体(亚共析钢和共析钢)和贝氏体钢轨磨损与滚动接触疲劳(RCF)损伤行为。结果表明,贝氏体钢轨在−35 ℃试验温度下硬化程度较低,导致磨损程度高于珠光体钢轨,珠光体钢轨中亚共析钢轨磨损程度低于共析钢轨;三种钢轨存在不同程度的RCF损伤,疲劳裂纹主要以小角度(<10°)扩展。磨损和RCF存在竞争关系,磨损较小的亚共析钢轨RCF损伤严重,共析钢轨次之,磨损最严重的贝氏体钢轨RCF损伤最轻微。
HRB500aE抗震耐蚀钢筋在亚硫酸钠溶液中的腐蚀行为
张志刚, 刘泳, 王娇娇, 张洪起
2024, 45(1): 177-181. doi: 10.7513/j.issn.1004-7638.2024.01.026
摘要(355) HTML (137) PDF(12)
摘要:
在亚硫酸钠溶液干湿交替环境中,对新研发的耐工业大气环境腐蚀抗震钢筋HRB500aE及对比材料HRB400普通钢筋开展周期性腐蚀试验,探讨其在模拟工业大气环境下的腐蚀行为。利用扫描电子显微镜(SEM)、能谱仪(EDS)及X射线衍射仪(XRD)分析在不同腐蚀阶段,耐蚀钢筋的表面形貌和锈层结构。结果表明,试验钢经过72 h腐蚀后内锈层形成致密的α-FeOOH结构,其耐蚀性及力学性能均明显优于普通钢筋。Cr、Ni、Cu的添加使耐蚀钢筋HRB500aE基体的腐蚀敏感性大大降低,且随着在亚硫酸钠环境下腐蚀时间的延长,其腐蚀敏感性基本稳定。耐蚀钢筋HRB500aE的锈层为双层结构,且Cu和Ni在其内锈层中出现富集,有助于形成致密的内锈层。
微量碲对38MnVS非调质钢切削性能影响研究
刘年富, 李杰, 田钱仁, 徐翔宇, 付建勋
2024, 45(1): 182-187. doi: 10.7513/j.issn.1004-7638.2024.01.027
摘要(436) HTML (221) PDF(13)
摘要:
为探讨碲改质对非调质钢切削性能的影响机制,对38MnVS非调质钢进行了加碲的硫化物改质试验,并对比加碲对钢中硫化物形态及切削性能的影响。结果表明,加入微量碲(0.0020%)后钢中硫化物形态显著改善,硫化物长宽比降低;由于加碲后硫化物形态的改善,降低了切削过程中的切削力,减小了刀具的磨损,阻止了积屑瘤的产生,同时改善了工件表面粗糙度,从而改善非调质钢的切削性能。
齿轮钢连铸坯凝固组织与溶质分布均匀性
王海杰, 李平凡, 兰鹏, 陈亮, 艾宏洲, 王章印, 张家泉
2024, 45(1): 188-196. doi: 10.7513/j.issn.1004-7638.2024.01.028
摘要(397) HTML (121) PDF(13)
摘要:
分析了20CrMnTi齿轮钢200 mm×200 mm连铸坯凝固组织和溶质分布的均匀性,提出了不同过热度时粗大等轴晶和点状偏析的共生机理,制定了齿轮钢连铸均质性控制策略。结果表明,齿轮钢连铸坯凝固组织受到钢水过热度的直接影响,提高过热度会减小等轴晶面积,降低对中性,减小等轴晶尺寸;齿轮钢连铸坯凝固组织直接影响C元素中心偏析和断面分布均匀性,提高等轴晶率有利于降低中心偏析,但会增大等轴晶区溶质波动范围;齿轮钢连铸坯凝固组织直接影响半宏观尺度的点状偏析,提高等轴晶率会增加大尺寸点状偏析数量,Cr、Mn溶质偏聚程度也会增加。为了同时提高齿轮钢组织和成分均匀性,比较理想的连铸低倍结构特征是等轴晶率低、等轴晶尺寸小而均匀、对中性良好。
GB/T 10561-2023《钢中非金属夹杂物含量的测定标准评级图显微检验法》标准解析
张振威, 马裕辰, 尤阳立君, 王若兰, 陈敏, 赵洁, 蒋锐, 李雨蕾
2024, 45(1): 197-204. doi: 10.7513/j.issn.1004-7638.2024.01.029
摘要(1965) HTML (2320) PDF(395)
摘要:
非金属夹杂物检验标准GB/T 10561-2023已修订完成,为了更好地实施新标准,针对新标准的修订内容,从术语定义、原理、测定方法、结果表示、计算公式、评级图谱方面进行了详细的解析。新标准主要修订内容如下:增加了术语和定义部分,修改了夹杂物定义和特征描述;增加了析出相类评定要求以及化学特征表示方法,将非金属夹杂物级别细化为10个级别,明确了取样要求,更改了钢管的取样方法,明确了夹杂物起评尺寸;修改了测定方法,给出了显微镜B法的扫描方式,在结果表示方面修改了夹杂物类型和系列划分界限不清晰的问题;新标准更改了夹杂物测量值和夹杂物级别计算公式,并重新绘制了标准评级图,相比GB/T 10561-2005版标准,新发布的GB/T 10561-2023标准更加完善。