2022 Vol. 43, No. 4

Separating and Extracting of Vanadium and Titanium
Report on China titanium industry in 2021
An Zhongsheng, Chen Yan, Zhao Wei
2022, 43(4): 1-9. doi: 10.7513/j.issn.1004-7638.2022.04.001
Abstract(2731) HTML (432) PDF(230)
Abstract:
The overall situation of China titanium industry was analyzed on the basis of production capacity, application and import and export amount of titanium concentrate, titanium sponge, titanium ingot and titanium materials in 2021. The existed problems and the corresponding suggestions were also proposed.
Effect of V doping on electrochemical properties of LiNi1/3Co1/3Mn1/3O2 as cathode material for lithium-ion battery
Zheng Hao, Wang Shiwei, Meng Weiwei
2022, 43(4): 10-15. doi: 10.7513/j.issn.1004-7638.2022.04.002
Abstract(431) HTML (178) PDF(11)
Abstract:
LiNi1/3Co1/3Mn1/3O2 (LNCM) cathode material with high specific capacity has received extensive attention in power batteries. However, the serious safety issues and poor cycle performance limit its application prospect. Doping is one of the effective methods to boost the electrochemical performance of electrode materials. Vanadium-doped LiNi1/3-xCo1/3Mn1/3VxO2 cathode material was successfully prepared by the sol-gel method using NH4VO3 as vanadium source. The research results show that by replacing some Ni2+ ions in the LiNi1/3Co1/3Mn1/3O2 cathode material by V5+, the cation mixing is effectively reduced, the crystal structure of the cathode material is stabilized, and the diffusion coefficient of Li+ in the lattice increases. And the LiNi1/3-0.02Co1/3Mn1/3V0.02O2 (LNCM-V) electrode material exhibits excellent lithium storage performance (the discharge capacity is 169 mAh/g at 0.5 C after 80 cycles).
Study of high-calcium vanadium slag with blank roasting carbonation leaching process
Wang Jun, Liu Shuang, Yan Beilei, Li Yulong, Zhu Xuejun, Deng Jun, Zeng Chenghua, Yang Tao, Chen Dandan, Zhang Yi
2022, 43(4): 16-23. doi: 10.7513/j.issn.1004-7638.2022.04.003
Abstract(471) HTML (108) PDF(57)
Abstract:
In view of the high-calcium content of high calcium and high-phosphorus vanadium slag and the existing vanadium extraction process difficult to effectively extract vanadium, blank roasting-carbonation leaching process is investigated, and the response surface method is used for optimization. The effects of CaO/V2O5 mass ratio, roasting temperature, roasting time, leaching stirring speed, leaching temperature, leaching time and sodium carbonate solution concentration on the leaching rate of vanadium from high-calcium vanadium slag were investigated. The results show that the average vanadium leaching rate is 92.22% when the mass ratio of CaO/V2O5 in vanadium slag is 0.6, calcination at 899 ℃ for 160 min, clinker leaching temperature at 95℃, leaching time of 140 min, sodium carbonate concentration of 168 g/L and stirring speed of 300 r/min. Compared with the traditional vanadium extraction process, the blank roasting-carbonation leaching process has the advantage of high vanadium leaching rate for high-calcium vanadium slag.
Flotation mechanism of ilmenite with benzohydroxamic acid
Yang Zhaojun, Wang Fengyu, Zhong Senlin, Liang Taomao
2022, 43(4): 24-27. doi: 10.7513/j.issn.1004-7638.2022.04.004
Abstract(465) HTML (142) PDF(43)
Abstract:
Flotation is an effective means to recover ilmenite, in which collector plays a key role. At present, the research on ilmenite flotation collectors mainly focuses on the collectors including oleic acid and hydroxamic acid. Among them, benzohydroxamic acid based collectors have attracted much attention because of their high selectivity, however, there is little research on the flotation mechanism of ilmenite. Based on the study of the interface properties of ilmenite, the flotation mechanism of benzohydroxamic acid and ilmenite was revealed by means of single mineral flotation test, infrared spectroscopy, contact angle and potentiodynamic test.
Research progress and perspectives of hydrochloric acid hydrolysis technology for titanium dioxide production
Yu Yaojie, Song Yue, Dong Shishun, Ren Xiulian, Wei Qifeng
2022, 43(4): 28-35. doi: 10.7513/j.issn.1004-7638.2022.04.005
Abstract(848) HTML (161) PDF(71)
Abstract:
Hydrochloric acid method is a new type of titanium dioxide production process following sulfuric acid method and chlorination method, which has the characteristics of less waste output, low requirements for raw materials, and can produce rutile and anatase. Hydrolysis is one of the important processes in the production of titanium dioxide by hydrochloric acid method. Hydrolysis can not only affect the yield, but also have a significant impact on the particle size distribution, morphology and crystal structure of the product. This paper introduces six hydrochloric acid hydrolysis technologies including atmospheric pressure hydrolysis, pressurized hydrolysis, microwave hydrolysis, low temperature hydrolysis, continuous hydrolysis and spray hydrolysis, expounds their respective technical routes and basic principles, analyzes and summarizes their advantages and disadvantages. Through the comprehensive comparison of these common hydrolysis technologies, it is considered that atmospheric pressure hydrolysis technology and pressurized hydrolysis technology are more likely to realize industrialization; Microwave hydrolysis technology and continuous hydrolysis technology are more suitable for the preparation of nanosized anatase titanium dioxide; The continuous hydrolysis and spray hydrolysis technologies are, however, not perfect and need to be further studied.
Trend and control of P in FeV50 smelting process of large-scale tilting furnace
Ye Mingfeng, Yu Bin, Huang Yun, Jing Han
2022, 43(4): 36-41. doi: 10.7513/j.issn.1004-7638.2022.04.006
Abstract(361) HTML (112) PDF(20)
Abstract:
Combined with theoretical analysis, element balance statistics and industrial tests, the trend, distribution and control measures of P in FeV50 smelting process of large-scale tipping furnace were studied. The results show that P2O5 brought in by raw materials during FeV50 smelting in large-scale tilting furnace can be fully reduced by metallic aluminum and enter the alloy. Vanadium trioxide and ball-milled iron particles are the main input sources of P, with 85.71% of P entering the finished alloy, 13.41% of P entering the residual alloy and fine powder, and 99.12% of P entering the metal phase. The most effective method to control the P content in FeV50 is the control of P content in vanadium trioxide not exceeding 0.0326% and the replacement of more than 60% of the ball-milled iron particles with steel scraps.
Application of Vanadium and Titanium
Influence of dynamic compression properties on ballistic performance of α+β two-phase titanium alloy
Yang Liu, Wang Ying, Wu Jingyi, Liu Xin
2022, 43(4): 42-47. doi: 10.7513/j.issn.1004-7638.2022.04.007
Abstract(669) HTML (148) PDF(38)
Abstract:
In order to study the effect of dynamic compression properties on ballistic resistance of titanium alloy materials, three different strength grades of α+β two-phase titanium alloys, TC4, TC6 and TC11, are selected for the dynamic compression test, quasi-static tensile test and 5.8 mm caliber bullet target test to compare and analyze the microstructure, mechanical properties, dynamic compression properties and crater morphology. The results show that TC4, TC6 and TC11 strengthened by solution and aging heat treatment, the tensile strength and dynamic compressive strength of TC11 titanium alloy are the highest, reaching 1 258 MPa and 1 973 MPa, respectively. Three kinds of titanium alloy target plates with a thickness of 12 mm are used for target test, and the 5.8 mm caliber bullet with vertical incidence is effectively protected. The pit depth of TC11 titanium alloy is 2.4 mm and the pit size is 7.5 mm × 5.5 mm, which is smaller than the crater size of the other two titanium alloy, and shows a better protective effect. For the protection of 5.8 mm caliber bullet, there is a corresponding relationship between the dynamic compression performance and its elastic resistance. The higher of the dynamic compression strength and the critical fracture strain, the more energy absorbed by the impact process, and the better the ballistic performance.
Microstructure and electrochemical properties of ball-milled AB5+x%VFe alloys
Li Lirong
2022, 43(4): 48-54. doi: 10.7513/j.issn.1004-7638.2022.04.008
Abstract(425) HTML (157) PDF(32)
Abstract:
The MlNi3.55Co0.75Mn0.4Al0.3+x%VFe(x=5, 10, 15, 20) composite hydrogen storage alloys were synthesized by mechanical ball-milling. The microstructure and electrochemical properties of the composites were investigated. The microstructure analysis indicates that the parameters a and V of the main phase increase with the increase of milling time. The electrochemical analysis indicates that, with increasing VFe content x, the maximum capacity Cmax and the hydrogen diffusion coefficient D of the alloy first increase and then decrease, and reach the maximum of 310 mAh/g and 7.6×10−11 cm2/s with x=10. The cycle stability test was carried out on the alloy, and the results show that the discharge capacity retention rate of MlNi3.55Co0.75Mn0.4Al0.3+10%VFe ball-milled for 10 h was 98% after 100 cycles.
Effect of sintering temperature on microstructure and properties of porous Ti-15Al alloy
Zhang Meili, Dai Weili, Liu Yanfeng, Han Xi
2022, 43(4): 55-61. doi: 10.7513/j.issn.1004-7638.2022.04.009
Abstract(531) HTML (147) PDF(34)
Abstract:
The porous Ti-15Al alloy materials were prepared by powder metallurgy with Ti and Al powder as raw materials. The effects of different sintering temperatures on the phase composition, micropore structure, compressive and corrosion resistance were studied. The results show that the equilibrium phase of α-Ti and Ti3Al is formed due to partial diffusion and solid-phase reaction between metal Ti and Al after the porous Ti-15Al alloy sintered at high temperature. With the increase of sintering temperature, the structure gradually changes from elongated through-holes to nearly spherical closed pores, and the porosity and average pore size both increases first and then decreases. The porosity and pore size after sintering at 1 300 ℃ reach the minimum, with values of 11.6% and 13.8 μm, respectively. Due to the change of pore structure, the compressive strength and corrosion resistance of porous Ti-15Al alloy increase first and then decrease with the increase of sintering temperature. The compressive strength and corrosion resistance of porous Ti-15Al alloy are the best when the sintering temperature is 1 300 ℃, the maximum compressive strength is 79 MPa, and the minimum corrosion current density is 2.05×10−7 A/cm2.
Effect of hydrothermal reaction time on electrochemical properties of (NH4)2V4O9 as cathode material for aqueous zinc ion batteries
Lu Chao, Yang Zhi, Wang Yujie, Ding Yi, Li Tao, Wang Heng, Tang Bowen
2022, 43(4): 62-68. doi: 10.7513/j.issn.1004-7638.2022.04.010
Abstract(610) HTML (146) PDF(43)
Abstract:
(NH4)2V4O9 as cathode material for aqueous zinc ion batteries was prepared by a facile one-step hydrothermal method using NH4VO3 and C2H2O4·2H2O as raw materials. X-ray diffractometer (XRD), scanning electron microscope (SEM), galvanostatic charge-discharge (GCD), galvanostatic intermittent titration technique (GITT), cyclic voltammetry (CV) and electrochemical impedance spectroscopy (EIS) were used to investigate the effects of hydrothermal reaction time (16, 20 h and 24 h) on the structure, morphology and electrochemical properties of (NH4)2V4O9. The results show that (NH4)2V4O9 synthesized by hydrothermal reaction for 20 h has the highest crystallinity, electrode reaction kinetics, and rate capability as well as cyclic stability, delivering high discharge specific capacities of 554.6, 472.2, 386.6, 322.6, 266.2 and 199.5 mAh/g at current densities of 0.1, 0.2, 0.5, 1, 2 and 5 A/g, respectively. It can also maintain a discharge capacity of 159.7 mAh/g after 10 000 long-term cycles at a high current density of 5 A/g, showing a capacity retention of up to 80.1%.
Preparation of graphene-reinforced titanium matrix composites by vacuum hot pressing
Tian Tingting, Li Runjian, Zhang Zaiyu
2022, 43(4): 69-74, 93. doi: 10.7513/j.issn.1004-7638.2022.04.011
Abstract(371) HTML (183) PDF(25)
Abstract:
In this paper, titanium matrix-graphene composites were successfully in-situ synthesized using glucose as carbon source. Graphene-reinforced pure titanium matrix composites were prepared in situ by vacuum hot-pressing sintering method using glucose solution and pure titanium powder as raw materials. The interfacial structure of the composite prepared by in-situ synthesis is stable, the structure of graphene lamellae at the interface is clear, and the spacing of striations is about 0.32 nm, which is close to the theoretical spacing of graphite lamellae of 0.337 nm. It can be concluded that the component is multilayer graphene. At 1 300 ℃, compared with pure titanium sintered under the same condition, the yield strength and elongation of the in situ synthesized composites increase, it provides a good way to solve the contradiction of strength and plasticity of composite materials.
Effect of volumetric energy density on surface roughness and density of selective laser melted titanium alloy
Yi Tao, Cheng Jing, Zhao Zhongzhe, Rong Peng
2022, 43(4): 75-79. doi: 10.7513/j.issn.1004-7638.2022.04.012
Abstract(733) HTML (139) PDF(97)
Abstract:
In this paper, the laser power and scanning distance of selective laser melting were studied respectively, and the influence of process parameter on density and surface roughness of titanium alloy was comprehensively analyzed by introducing volumetric laser energy density. The experimental results show that the surface roughness of machined metal samples decreases with the increase of volumetric energy density via tuning laser power.
Resources Environment and Energy Saving
Preparation of dicalcium ferrite and its catalytic properties for methane
Shi Yan, Song Changhe, Liu Jianshuang, Hao Ke, Pan Miaomiao
2022, 43(4): 80-86. doi: 10.7513/j.issn.1004-7638.2022.04.013
Abstract(415) HTML (137) PDF(34)
Abstract:
Using Iron(Ⅲ) nitrate nonahydrate and calcium nitrate tetrahydrate as raw materials, deionized water as solvent, citric acid as complexing agent, ammonia water to adjust pH value of solution, blank cordierite honeycomb as support, dicalcium ferrite cordierite honeycomb support type catalyst was prepared. The results show that nanoscale dicalcium ferrite/cordierite honeycomb-supported catalyst with single phase, high crystallinity and developed porosity can be obtained when the molar amount of citric acid is 2.5 times the total amount of calcium and iron ions, and calcinated at 700 ℃ for 2 h. The as-prepared nanosized dicalcium ferrite has a specific surface area of 174.29 m2/g, pore volume of 0.31423 cm3/g, pore size of 7.31 nm, and average pore size of 1.89 nm. It is a kind of non-noble metal catalysts for methane gas (VOCs of typical sintering flue gas) with good catalytic removal and mineralization performance.
Feasibility analysis of high-titanium heavy slag as aggregate for asphalt mixture
Wang Wei, Wang Jie, Liang Yuehua
2022, 43(4): 87-93. doi: 10.7513/j.issn.1004-7638.2022.04.014
Abstract(359) HTML (154) PDF(33)
Abstract:
Taking the high-titanium heavy slag in Panxi area as the research object, the feasibility of using it as aggregate for asphalt mixture was analyzed through theoretical and experimental research, also it was compared with the natural stone such as basalt commonly used in asphalt mixture at present. The results show that the surface morphology of high-titanium heavy slag is rough and porous, and it is alkaline aggregate. Its adhesion performance with asphalt is better than that of natural stone, and its adhesion grade is grade 5. High-titanium heavy slag is a five-element slag system, belonging to low calcium and titanium-rich slag and low active slag, with good volume stability and high-temperature stability. High-titanium heavy slag has excellent particle morphology, mechanical properties and durability, but its density is slightly lower than that of natural stone and the water absorption is higher. The comprehensive performance of high-titanium heavy slag as aggregate of asphalt mixture is no worse than natural stone, and it has obvious environmental and economic benefits.
Phase simulation and experiment of anorthite-diopside glass-ceramics based on stainless steel slag containing chromium
Guo Yuliang, Jin Huixin, Xiao Yuandan, Lei Ershuai, Wang Zhengxing
2022, 43(4): 94-99. doi: 10.7513/j.issn.1004-7638.2022.04.015
Abstract(338) HTML (102) PDF(30)
Abstract:
Chromium-containing stainless steel slag will lead to the leaching of chromium and environment problems. Glass-ceramics possess excellent chromium fixation and physical properties. In order to explore the occurrence law of chromium in anorthite-diopside system, the phase equilibrium of anorthite-diopside glass ceramics was calculated by using thermodynamic software FactSage 7.2, and the sample were prepared by using chromium-containing stainless steel slag. The effects of flux and chromium content on the crystallization and physical properties of the system glass ceramics were studied. The samples were prepared by one-step method with simultaneous nucleation and crystallization. The results show that in the simulation calculation, chromium is first enriched in the spinel phase, and the excess chromium appears in the system in the form of Cr2O3. In the corresponding experimental exploration, when the chromium content reaches 5%, the chromium-containing phase in the system is still only spinel phase, which makes the material have better chromium fixation properties. The flux endows glass-ceramics with higher hardness. Chromium is detected in anorthite-diopside system in toxic leaching experiment. The experiment provides a theoretical basis for the preparation of glass-ceramics from chromium-containing solid waste.
Experimental study on durability of high-titanium heavy slag concrete under salt freezing
Liang Hezhi, Chen Wei, Yang He
2022, 43(4): 100-106. doi: 10.7513/j.issn.1004-7638.2022.04.016
Abstract(313) HTML (98) PDF(27)
Abstract:
Considering the three factors of water-binder ratio, fly ash content, and composite salt solution concentration, orthogonal experiments are used to study the influence of different factors on the durability of high-titanium heavy slag concrete. The experimental results show that the concentration of the composite salt solution has the greatest influence on the mass loss rate and dynamic elastic modulus of the high-titanium heavy slag concrete. For a certain water-binder ratio and fly ash content, when the number of freeze-thaw cycles increases, the mass loss rate of high-titanium heavy slag concrete specimens gradually increases, showing an exponential function change trend. With the increase in the number of freeze-thaw cycles, the dynamic elastic modulus of the high-titanium heavy slag concrete test block decreases rapidly, showing a negative exponential function change trend. There are two main reasons for the mass loss and the attenuation of dynamic elastic modulus of the high-titanium heavy slag concrete test block under the composite salt freeze-thaw cycle. The first is the destruction of crystal tension caused by the physical crystallization of NaCl and Na2SO4; the second is the chemical reaction between Cl and the high-titanium heavy slag concrete hydrate to produce calcium chloroaluminate, and the chemical reaction of SO42− with calcium aluminate hydrate to produce ettringite, resulting in the deterioration of the internal structure of the high-titanium heavy slag concrete test block.
Ferrous Metallurgy and Materials
Research and application of improving the compressive strength of full V-Ti pellets
Hu Peng, Jiang Sheng, Tan Yangjie, Zhou Mi, Xiang Shaohong
2022, 43(4): 107-113. doi: 10.7513/j.issn.1004-7638.2022.04.017
Abstract(579) HTML (111) PDF(44)
Abstract:
The low compressive strength (average 1 600 N/P) and large strength fluctuation (926 N/P min, 2287 N/P max) of V-Ti pellets greatly affect the stability and smooth operation of blast furnace after being smelted in blast furnace. The technical research and application of improving the compressive strength of full V-Ti pellets have been carried out. After utilizing wet grinding equipment, the proportion of pelletizing mixture less than 0.074 mm is increased from 66.64% to 71.69%. And the surface of mineral particles becomes rough. Besides, the cohesiveness and activity increases as result of installing wet grinding equipment. By increasing the temperature of second preheating stage to about 900 ℃ and reducing the grate speed to prolong the preheating time, at the same time increasing the roasting temperature from 1 150 ℃ to more than 1 200 ℃ and reducing the rotary kiln speed to prolong the roasting time, the diameter of inner zone of pellet can be reduced to less than 3 mm, and the compressive strength is increased to 1 989 N/P and its fluctuation become narrow.
Experimental study on treatment of the tailings containing manganese using composite agglomeration process
Teng Fei, Zeng Zhiyan, Guo Peimin, Yue Chongfeng
2022, 43(4): 114-120. doi: 10.7513/j.issn.1004-7638.2022.04.018
Abstract(389) HTML (157) PDF(28)
Abstract:
In order to address the issue of poor material permeability and low yield and quality of sinter when a kind of tailings containing manganese was used in the 100% concentrate sintering process, the rational utilization of tailings containing manganese was investigated by the composite agglomeration process. Considering the requirements of blast furnace ironmaking on raw material and slag basicity, the silica, dolomite and burnt lime were added to adjust the basicity of the composite sinter. Through the lab-scale sintering pot test, the influencing factors such as fixed carbon ratio of composite material, the ratio of pellet and the distribution mode were systematically studied. The results showed that it was feasible to utilize the tailings containing manganese by the composite agglomeration process. The appropriate fixed carbon ratio could be reduced to 3.3%, and the suitable pellet ratio was 40%. The reduction index (RI) was 72.49%, which was 3.27 percentage points lower than that of ordinary sinter. The low-temperature reduction-disintegration index (RDI+3.15 mm) of composite sinter was 79.53%, which was 3.49 percentage points higher than that of ordinary sinter. The melting and dropping property of the composite sinter was better than those of the ordinary sinter. The microstructure of the composite ore was mainly porphyritic structure composed of magnetite and a small amount of glass phase. The content of calcium ferrite binder phase in the matrix parts was significantly lower and the amount of dicalcium silicate was higher than that of ordinary sinter.
Development of activity calculation model for the CaO-Al2O3-MgO-SiO2-Ce2O3 slag system
Yu Cheng, Qiu Jiyu, Liu Chengjun
2022, 43(4): 121-126. doi: 10.7513/j.issn.1004-7638.2022.04.019
Abstract(677) HTML (203) PDF(41)
Abstract:
During smelting steel containing rare earth elements, there exists strong reaction between the molten steel and the slag, which may result in significant content fluctuation of dissolved rare earth and then reduce its effect in steel. However, the lack of thermodynamic data of rare earth-containing slag system limits the development of related research work. In this paper, based on the ion and molecule coexistence theory, an activity calculation model of the CaO-Al2O3-MgO-SiO2-Ce2O3 slag system has been established, which can be used to construct the iso-activity diagram and investigate w(CaO)/w(Al2O3), w(Ce2O3) and other composition changes on the activity of each component of the slag system. The results show that the SiO2 activity range (4×10−19~7×10−18) of CaO-Al2O3-based refining slag is much smaller than that of CaO-SiO2-based refining slag (0.003~0.4), that is, CaO-Al2O3-based slag is more suitable for rare earth steel. For CaO-Al2O3-based refining slag, increasing the w(CaO)/w(Al2O3) and w(Ce2O3) of the slag can increase the activity of Ce2O3 and decrease the activity of Al2O3 , which may restrain the reaction between the rare earth-containing molten steel and Al2O3 in the slag.
Numerical simulation on pouring process of nickel base superalloy induction ingot
Tang Pingmei, Zhou Yang, Jiang Dongbin
2022, 43(4): 127-133, 141. doi: 10.7513/j.issn.1004-7638.2022.04.020
Abstract(472) HTML (109) PDF(50)
Abstract:
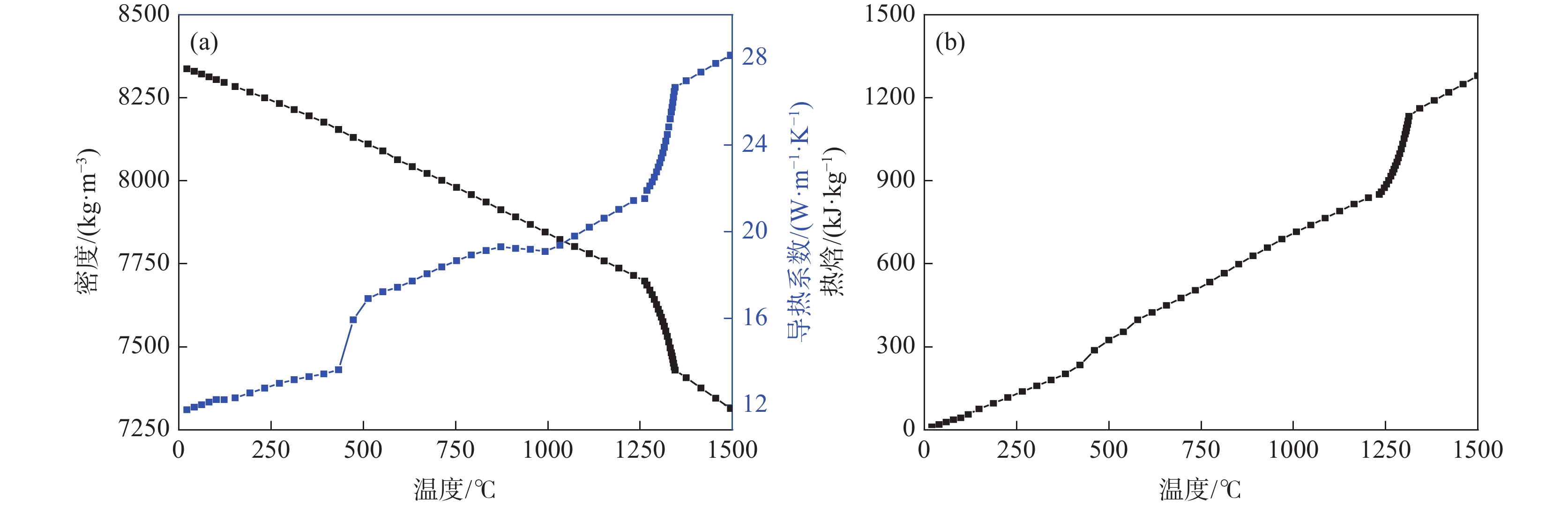
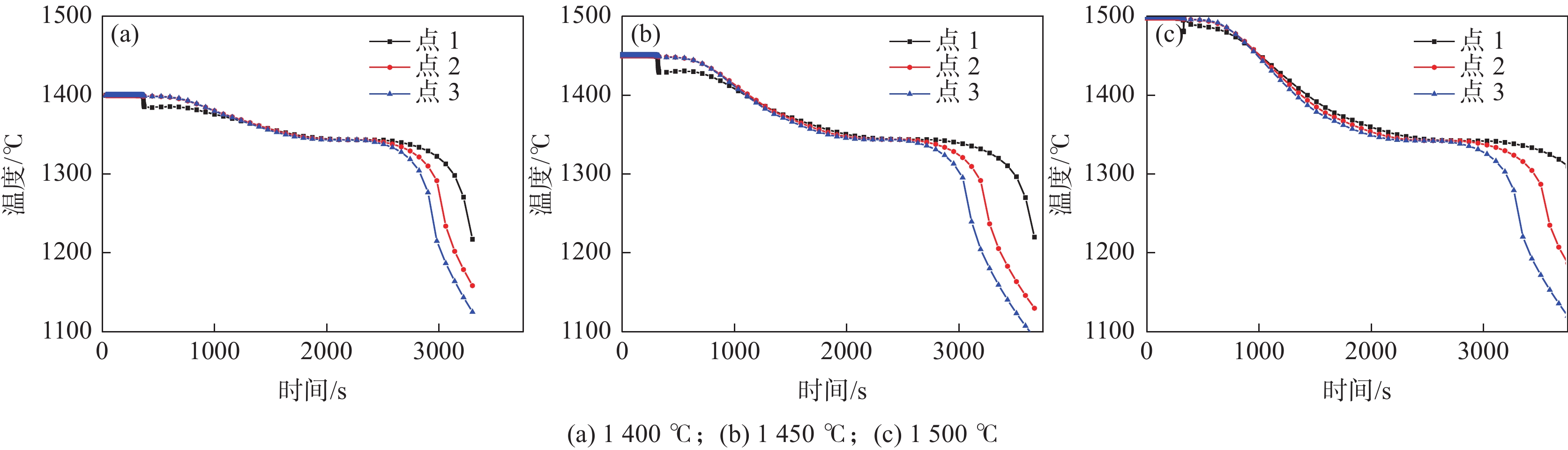
In this paper, the numerical simulation on pouring process of nickel base superalloy induction ingot had been carried out by using ProCAST software. The change characteristics of temperature field and solid fraction during the filling and solidification process of ingot and their influence on ingot shrinkage porosity had been studied. Moreover, the change rule of ingot shrinkage porosity with pouring temperature had been investigated in detail. The results show that the temperature of the upper ingot is lower than that of the lower ingot along the longitudinal direction of ingot during solidification process, and sequential solidification does not occur in the ingot, thus the V-shaped primary shrinkage porosity of the ingot is deep. In the filling stage, the change of pouring temperature has little effect on the maximum flow speed and level fluctuation of alloy. In the solidification stage, lowering pouring temperature can reduce the high-temperature area at the lower part of the ingot and the primary shrinkage depth at the end of the ingot to a certain extent. Nevertheless, changing pouring temperature can not make the ingot achieve sequential solidification in the longitudinal direction, consequently, lowering the pouring temperature can not significantly reduce the primary shrinkage porosity at the end of the ingot. Moreover, the change of pouring temperature has little effect on the small shrinkage porosity in the ingot.
Composition design of CaO-Al2O3 series low reactivity continuous casting molding flux for high titanium steel
Wang Xingjuan, Wang Yu, Zhu Liguang, Di Tiancheng, Jin Hebin, Piao Zhanlong
2022, 43(4): 134-141. doi: 10.7513/j.issn.1004-7638.2022.04.021
Abstract(351) HTML (218) PDF(39)
Abstract:
In the continuous casting process of high-titanium steel, the traditional CaO-SiO2-Al2O3 mold slag will produce a violent steel/slag interface reaction, which will affect the continuous casting process stability. In order to weaken the interface reaction of steel/slag, a low reactivity mold flux for casting high titanium steel had been designed and the feasibility of CaO-Al2O3 based mold flux had been determined through the thermodynamic calculation of the steel slag interface by using Factsage thermodynamic software to calculate the composition range of the low reactivity mold flux. The viscosity and melting point of the three groups of mold slag were measured by rotary viscosity tester and automatic slag melting point and melting rate tester, and the newly developed mold slag suitable for continuous casting production was tested by VSgr-60-2000 vacuum atmosphere pressure sintering furnace. The CaO/Al2O3 in newly developed mold flux at 1.1, with addition of 10%CaF2, 7%MgO, 5%Na2O, 3%K2O, 13%B2O3 and 5%SiO2, its viscosity measured by viscometer is 0.413 Pa·s, and the melting point is 1106 ℃. After the steel/slag interface reaction test, the Ti content in the steel decreases by 0.03%, and the TiO2 content in the mold slag increases by 0.002%, and the interface reaction is weak. The newly developed mold slag can extremely suppress the progress of the interfacial reaction of steel/slag.
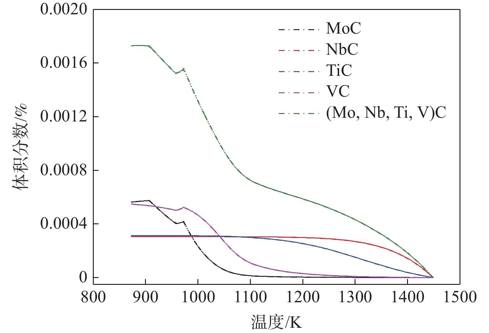
Precipitation kinetics of composite carbides of Nb-Ti-V-Mo microalloyed steel
Yao Na, Xing Chao
2022, 43(4): 142-149. doi: 10.7513/j.issn.1004-7638.2022.04.022
Abstract(585) HTML (155) PDF(63)
Abstract:
The precipitation thermodynamics of the multi-element composite precipitates in the Nb-Ti-V-Mo microalloy E460 off shore steel was calculated by JmatPro thermodynamics software, in combination with the classical nucleation and growth kinetic theory, were used to study precipitation law of (Nb,Ti,Mo,V)C in austenite and ferrite. The influence of austenite deformation storage and deformation-induced precipitation on (Nb,Ti,Mo,V)C precipitation and precipitation kinetics were also discussed. The results indicate that (Nb,Ti,Mo,V)C begins to precipitate at 1 448.6 K. In austenite region, as the temperature decreases the critical nucleation energy gradually decreases, and the NrT curve and the PTT curve show a monotonous trend. In the two-phase region of austenite and ferrite, the fastest precipitation temperature of (Nb,Ti,Mo,V)C is 1 062.6 K. Relative nucleation rate increases, and both precipitation and incubation period shorten with the increase of deformation energy storage. As the amount of precipitation induced by deformation increases, the PTT curve shifts to the left, and the maximum nucleation rate temperature and the fastest precipitation temperature are between 1058.3 K and 1063.8 K.
Influence of cooling process on heat transfer of thin slab mold
Liu Zengxun, Zhang Luping, Xiao Pengcheng, Zhang Zhaoyang, Zhu Liguang
2022, 43(4): 150-157. doi: 10.7513/j.issn.1004-7638.2022.04.023
Abstract(423) HTML (160) PDF(31)
Abstract:
To reveal heat transfer mechanism of the slab-copper wall-cooling water system in the high-speed continuous casting mold, a three-dimensional fluid-solid-thermal coupling numerical model of slab-copper wall-cooling water in a FTSC mold was established. The influence of mold cooling process on temperature distribution of the mold copper wall and cooling water under the condition of high drawing speed had been analyzed. The results show that the peak temperature on hot surface of the copper wall with reverse water supply is 15 ℃ lower than that of the forward water supply, and the peak cooling water temperature is lowered by 14 ℃. Increasing cooling water speed can effectively reduce temperatures on copper wall and of the cooling water. Under the conditions of the cooling water does not boil , increasing the water supply pressure does not affect the mold temperature field and the cooling water inlet temperature has little effect on the temperature of the copper wall and the cooling water near the meniscus. In the low heat flow area at the lower part of the mold, the temperature change of the cooling water is more obviously affected by the inlet water temperature. The distance between the cooling water channel and the hot surface of the copper wall has a significant effect on the copper wall temperature. The cooling water temperature in the water channel at a distance of 15 mm and 25 mm from hot surface of copper wall remains same, while it significantly reduces at the distance of 35 mm away from the hot surface.
Research on Johnson-Cook constitutive model of 06Cr19Ni10 austenitic stainless steel at high strain rate
Zhang Jilin, Luo Wencui, Jia Haishen, Yi Xiangbin, Xu Chuangwen, Tang Linhu, Qin Juanjuan
2022, 43(4): 158-166. doi: 10.7513/j.issn.1004-7638.2022.04.024
Abstract(527) HTML (627) PDF(59)
Abstract:
In order to explore the flow behavior of 06Cr19Ni10 austenitic stainless steel under large strain and high strain rate forming, impact tests had been carried out under different temperature and strain rate with the help of high temperature split hopkinson pressure bar dynamic experimental device. Impact test results show that the material has plasticization, strain rate strengthening and temperature softening phenomena, and the Johnson-Cook (JC) constitutive model has been established. Taking into account the strain rate strengthening effect the JC constitutive model was modified and both the model prediction values before and after the correction showed good agreement with experimental value. The correlation coefficients (R) before and after the model correction were 0.963 88 and 0.970 54, respectively, and the average relative error (AARE) before and after the correction were 5.63 %, 4.68 %, respectively. This indicated that the revised model achieved better prediction accuracy than origin model. The revised model could be used to predict the relationship among stress, strain, strain rate and temperature of 06Cr19Ni10 austenitic stainless steel more accurately.
Effect of final cooling temperature on the microstructure and DWTT of thick X80 linepipe steel strip
Ye Xiaoyu, Ren Shoubin, Li Ba, Jia Shujun, Zhang Kaihua, Huang Zhenyi
2022, 43(4): 167-172. doi: 10.7513/j.issn.1004-7638.2022.04.025
Abstract(375) HTML (102) PDF(31)
Abstract:
The effects of different final cooling temperatures on the microstructure and drop weight properties of 21.4 mm thick X80 linepipe steel strip were studied, and the effect of different microstructure on crack propagation path was discussed. When the final cooling temperature is 480 ℃, the microstructure of the resulted steel strip is composed of granular bainite + fine quasi-polygonal ferrite. When the final cooling temperature is increased to 510 ℃, large-size polygonal ferrite appears in the core of strip sample. As the final cooling temperature further increases, the volume fraction of large-size polygonal ferrite increases. When the final cooling temperature is increased from 480 ℃ to 550 ℃, the microrstructure across cross section transforms from fully acicular ferrite to acicular ferrite in the edge + large-size polygonal ferrite in the core. Since the large-size polygonal ferrite in the core cannot restrain crack propagation effectively, the drop weight shear area of tested steel decreases from 100% to 72% with cooling temperature increasing from 480 ℃ to 550 ℃.
Effect of hot working process on the grain size of 316LN austenitic stainless steels
Xu Haijian, Qiao Xin, Guo Cheng, Liu Liu, Yang Yuze, Sha Xiaochun
2022, 43(4): 173-177. doi: 10.7513/j.issn.1004-7638.2022.04.026
Abstract(660) HTML (108) PDF(46)
Abstract:
The grain morphologies in 316LN austenitic stainless steel were observed by Zaiss Imager metallographic microscope. The effects of deformation temperatures, deformation rates and solution temperatures on the grain size of 316LN steel were systematically studied. The experimental results show that the dynamic recrystallization (DRX) easily occurs with the increasing deformation temperatures and deformation rates, which is helpful for the grain refinement in 316LN steel. The orders of grain size at different position of forged sample from large to small after forging are the core, 1/4 diameter, and the surface. The grain size after deformation can reach about grade 6 when the deformation is 30% at 1 050 ℃. The solution treatment has a positive effect on the grain homogenization. According to the Jmat-Pro calculation and solution treatment results, too high temperature will cause the grains coarsening, while too low temperature can easily lead to precipitation of Cr2N, which affects the plasticity and corrosion resistance of the steels. The solution treatment temperature should be controlled at 1 020~1 040 ℃.
Study on hydrogen embrittlement resistance of Ti-microalloying hot forming steel for automobile
Liu Hanhua
2022, 43(4): 178-183. doi: 10.7513/j.issn.1004-7638.2022.04.027
Abstract(336) HTML (78) PDF(18)
Abstract:
The hydrogen embrittlement resistance of two kinds of Nb-Mo hot forming steels with different Ti contents for automobile was studied by slow strain rate tensile test along with hydrogen charging and hydrogen desorption test in this paper. The results show that with increasing titanium content from 0.015% to 0.03%, the original austenite grain size of Nb-Mo hot forming steel decreases from 5.40 μm to 4.35 μm. Besides, the number of grain boundaries increased, and newly precipitated TiC particles are coarse, the size of (Nb, Ti) C, (Nb, Mo, Ti) C particles increases remarkably. The increase of Ti content leads to the precipitation of coarse Ti(C, N) in Nb-Mo hot forming steel, which promotes the occurrence of hydrogen embrittlement fracture. However, the activation energy of hydrogen desorption corresponding to the high temperature peak of hydrogen desorption is increased from 83.4 kJ/mol to 105.9 kJ/mol due to the coarse carbide particles. The energy of capturing irreversible hydrogen atom is increased, which can effectively reduce the amount of diffusible hydrogen atom in the steel. The increasing number of austenite grain boundaries can enable the hydrogen atom distribution more uniform, and finally improves the hydrogen embrittlement resistance of Nb-Mo hot forming steel.
Analysis on typical rail damage of high speed railway
Yang Dawei, Deng Yong, Dong Xuejiao, Zhao Jizhong
2022, 43(4): 184-190. doi: 10.7513/j.issn.1004-7638.2022.04.028
Abstract(716) HTML (155) PDF(33)
Abstract:
Rail damage restricts the stable contact between wheel and rail and affects the driving safety. Regarding the damage of a railway rail in on-line service, the multi-directional inspections had been carried out by using Axio observer 5m metallographic microscope, Empyrean X-ray diffractometer, sigma 500 scanning electron microscope and Falcon 500 microhardness tester. Based on the finite element simulation technology, the instantaneous temperature field distribution of the rail contact part under the abnormal starting condition of the wheel was reproduced. The analysis results show that the rail damage is a typical scratch with a damage depth of more than 2 mm. With the increase of tread depth, the volume fraction of martensite gradually decreases and the volume fraction of retained austenite gradually increases, so that the corresponding microhardness value gradually decreases. The retained austenite is surrounded by martensite structure, which increases the resistance to the continuous propagation of microcracks and passivates the crack tip. Under the joint action of wheel rail surface shear stress, it provides a channel for microcrack propagation, induces microcrack transverse propagation, and finally leads to peeling failure in rail scratch area. The computer simulation results are agreement with the actual damage characteristics.
Research on the transformation of scientific and technological achievements into technical standards-Taking the comprehensive utilization of vanadium titanium magnetite as an example
Zheng Ying, Han Bing, Liu Liwei, Cheng Yong
2022, 43(4): 191-196. doi: 10.7513/j.issn.1004-7638.2022.04.029
Abstract(518) HTML (172) PDF(38)
Abstract:
The transformation of scientific and technological achievements into technical standards can effectively advance the scientific and technological innovation and standardization, and promote the industrial application of scientific and technological achievements, which is of great significance to China’s scientific and technological progress and industrial transformation and upgrading. This paper analyzes the comprehensive utilization of vanadium titanium magnetite as an example, through the study of its development status and trend, combs through the relevant problems in the process of transforming scientific and technological achievements into technical standards, and puts forward solutions and methods to promote the comprehensive utilization of scientific and technological achievements on vanadium-titanium magnetite into technical standards.