中文核心期刊

SCOPUS 数据库收录期刊

中国科技核心期刊

美国《化学文摘》来源期刊

中国优秀冶金期刊

美国EBSCO数据库收录期刊

RCCSE中国核心学术期刊

美国《剑桥科学文摘》来源期刊

中国应用核心期刊(CACJ)

美国《乌利希期刊指南》收录期刊

中国学术期刊综合评价统计源刊

俄罗斯《文摘杂志》来源期刊

优秀中文科技期刊(西牛计划)

日本《科学技术文献数据库》(JST)收录刊

留言板

尊敬的读者、作者、审稿人, 关于本刊的投稿、审稿、编辑和出版的任何问题, 您可以本页添加留言。我们将尽快给您答复。谢谢您的支持!

姓名
邮箱
手机号码
标题
留言内容
验证码

2022年  第43卷  第4期

钒钛分离与提取
2021年中国钛工业发展报告
安仲生, 陈岩, 赵巍
2022, 43(4): 1-9. doi: 10.7513/j.issn.1004-7638.2022.04.001
摘要(2744) HTML (434) PDF(232)
摘要:
从2021年我国钛精矿、海绵钛、钛锭、钛材等品种的产能、产量、应用和进出口等数据分析了我国钛工业的整体情况,并对目前行业存在的问题提出了建议。
钒掺杂对LiNi1/3Co1/3Mn1/3O2正极材料电化学性能的影响
郑浩, 王仕伟, 孟伟巍
2022, 43(4): 10-15. doi: 10.7513/j.issn.1004-7638.2022.04.002
摘要(434) HTML (180) PDF(11)
摘要:
LiNi1/3Co1/3Mn1/3O2 (LNCM)因其高比容量等优点在动力电池领域受到广泛关注。然而,较差的循环性能和严重的安全问题限制了其应用前景。离子掺杂是提高材料电化学性能的有效方法之一。采用溶胶-凝胶法,以NH4VO3为钒源,成功制备了钒掺杂LiNi1/3-xCo1/3Mn1/3VxO2正极材料。结果表明:LiNi1/3-0.02Co1/3Mn1/3V0.02O2 (LNCM-V)电极材料表现出优秀的储锂性能(0.5 C时, 80次循环后,放电比容量为169 mAh/g)。通过V5+替代LiNi1/3Co1/3Mn1/3O2正极材料中部分Ni2+离子,有效地降低了Li+/Ni2+离子混排,稳定了正极材料的晶体结构,Li+离子的扩散系数得到增加,使Li+脱嵌过程中LNCM-V材料结构变得更加稳定。
高钙钒渣空白焙烧碳酸化浸出工艺研究
王俊, 刘双, 闫蓓蕾, 李玉龙, 朱学军, 邓俊, 曾成华, 杨涛, 陈丹丹, 张毅
2022, 43(4): 16-23. doi: 10.7513/j.issn.1004-7638.2022.04.003
摘要(471) HTML (109) PDF(57)
摘要:
针对高钙高磷钒渣钙含量高,现有提钒工艺难以有效提钒的现状,采用空白焙烧-碳酸化浸出工艺进行了试验研究,并采用响应曲面法进行了优化。考察了高钙钒渣中CaO/V2O5(质量比)、焙烧温度、焙烧时间、浸出搅拌速度、浸出温度、浸出时间和碳酸钠溶液浓度等条件对高钙钒渣中钒浸出率的影响。结果表明:钒渣中的CaO/V2O5(质量比)=0.6、899 ℃钙化焙烧160 min,熟料在浸出温度95 ℃、浸出时间140 min、碳酸钠浓度168 g/L、搅拌速度为300 r/min等条件下浸出,钒浸出率平均为92.22%。相比于传统的提钒工艺,空白焙烧碳酸化浸出工艺对于高钙钒渣具有钒浸出率高的优势。
苯甲羟肟酸浮选钛铁矿的作用机理
杨招君, 王丰雨, 钟森林, 梁焘茂
2022, 43(4): 24-27. doi: 10.7513/j.issn.1004-7638.2022.04.004
摘要(465) HTML (142) PDF(43)
摘要:
浮选是回收钛铁矿的有效手段,其中捕收剂起着关键作用。目前对钛铁矿捕收剂的研究主要集中在以油酸、羟肟酸等为代表的捕收剂方面,其中苯甲羟肟酸类捕收剂以其高选择性备受关注,但其在对钛铁矿的浮选作用机理方面的研究甚少。从钛铁矿界面性质研究出发,通过单矿物浮选试验、红外光谱、接触角及动电位测定解释了苯甲羟肟酸与钛铁矿的浮选作用机理。
盐酸法制备二氧化钛水解技术的研究现状与展望
于耀杰, 宋悦, 董仕顺, 任秀莲, 魏琦峰
2022, 43(4): 28-35. doi: 10.7513/j.issn.1004-7638.2022.04.005
摘要(858) HTML (166) PDF(71)
摘要:
盐酸法是继硫酸法、氯化法之后一种新型的钛白粉生产工艺,该工艺具有废物产量少、原料要求低、能够生产金红石型和锐钛型两种产品的特点。水解是盐酸法生产二氧化钛工艺的重要工序之一,不仅影响收率,还能够对产品的粒径分布、形貌、晶体结构等产生重大影响。阐述了包括常压水解、加压水解、微波水解、低温水解、连续水解、喷雾水解在内的六种盐酸法水解技术,以及各自的技术路线和基本原理,分析总结了其优缺点。经过综合比较,认为常压水解和加压水解技术实现工业化的可能性较大;微波水解和连续水解技术比较适合制备纳米锐钛型二氧化钛;而连续水解和喷雾水解技术尚未完善,还有待进一步研究。
P元素在倾翻炉FeV50冶炼中的走向与控制
叶明峰, 余彬, 黄云, 景涵
2022, 43(4): 36-41. doi: 10.7513/j.issn.1004-7638.2022.04.006
摘要(361) HTML (112) PDF(20)
摘要:
结合理论分析、元素平衡统计和工业试验,研究了大型倾翻炉冶炼FeV50流程P元素的走向、分布与控制措施。结果表明:大型倾翻炉FeV50冶炼过程中原料带入的磷氧化物(P2O5)能充分被金属铝还原并进入合金中;三氧化二钒和球磨铁粒是P元素的主要输入源,有85.71%的P进入成品合金,13.41%的P进入残合金与细粉,进入金属相的P高达99.12%。控制三氧化二钒中P含量不超过0.0326%和采用钢屑替代球磨铁粒60%以上能控制FeV50中P含量符合A级品要求。
钒钛材料与应用
α+β两相钛合金的动态压缩性能对抗弹性能的影响分析
杨柳, 王莹, 吴静怡, 刘昕
2022, 43(4): 42-47. doi: 10.7513/j.issn.1004-7638.2022.04.007
摘要(674) HTML (149) PDF(38)
摘要:
以研究钛合金材料动态压缩性能对抗弹性能的影响为目的,选用TC4、TC6、TC11三种不同强度级别的α+β两相钛合金为研究对象,采用动态压缩试验、准静态拉伸试验以及5.8 mm口径实弹靶试测试等方法,对材料微观组织、力学性能、动态压缩性能、弹坑形貌进行了对比分析。结果显示,TC4、TC6和TC11三种α+β两相钛合金经过固溶时效热处理后,TC11钛合金的拉伸强度和动态压缩强度最高,分别达到1258 MPa和1973 MPa,采用12 mm厚度的三种钛合金靶板进行靶试测试,对垂直入射的5.8 mm口径钢芯弹均进行了有效防护,TC11钛合金开坑深度2.4 mm,开坑尺寸7.5 mm×5.5 mm,均小于其他两种钛合金靶板的弹坑尺寸,对钢芯弹的侵彻有更好的防护作用。针对普通钢芯弹的防护,材料的动态压缩性能与其抗弹性能存在对应关系,动态压缩强度越高,临界断裂应变εcr越大,受冲击过程吸收的能量越多,抗弹性能越好。
机械球磨AB5+x%80VFe复合储氢合金的微观结构与电化学性能
李丽荣
2022, 43(4): 48-54. doi: 10.7513/j.issn.1004-7638.2022.04.008
摘要(425) HTML (159) PDF(32)
摘要:
采用机械球磨方法制备了MlNi3.55Co0.75Mn0.4Al0.3+x%VFe(质量分数,x=5,10,15,20)储氢合金,研究了合金晶体结构和电化学性能。微结构分析表明,主相AB5晶胞参数a及体积V随球磨时间增加而增加。电化学研究表明,合金的最大容量Cmax及氢扩散系数Dx增加先增加后减少, x=10时达到最大值,分别为310 mAh/g和 7.6×10−11 cm2/s。对合金进行了循环稳定性测试,结果表明,MlNi3.55Co0.75Mn0.4Al0.3+10%VFe球磨10 h的合金在100次循环后放电容量保持率为98%。
烧结温度对多孔Ti-15Al合金微观结构与性能的影响
张美丽, 代卫丽, 刘彦峰, 韩茜
2022, 43(4): 55-61. doi: 10.7513/j.issn.1004-7638.2022.04.009
摘要(533) HTML (149) PDF(34)
摘要:
以金属Ti粉和Al粉为原料,采用粉末冶金法制备多孔Ti-15Al合金材料,并研究不同的烧结温度对其物相成分、微观孔隙结构、抗压性能和耐腐蚀性能的影响。结果表明:多孔Ti-15Al合金在高温烧结后,因金属Ti和Al之间发生偏扩散和固相反应而形成了α-Ti和Ti3Al的平衡相,随着烧结温度的升高,合金中孔隙结构逐渐由长条状的贯通孔向近似球状的封闭孔转变,且孔隙率和平均孔径尺寸均呈先增大后减小的变化,在1300 ℃烧结后的孔隙率和孔径尺寸最小,最小值分别为11.6%和13.8 μm;因材料孔隙结构的转变,导致多孔Ti-15Al合金的抗压强度和耐腐蚀性能均随烧结温度的升高先增大后减小,烧结温度为1300 ℃时的抗压强度和耐腐蚀性能最好,最大抗压强度为79 MPa,最小腐蚀电流密度为2.05×10−7 A/cm2
水热反应时间对水系锌离子电池正极材料(NH4)2V4O9电化学性能的影响
卢超, 杨智, 汪玉洁, 丁艺, 李涛, 王恒, 唐博闻
2022, 43(4): 62-68. doi: 10.7513/j.issn.1004-7638.2022.04.010
摘要(612) HTML (147) PDF(43)
摘要:
以NH4VO3和C2H2O4·2H2O为原料,采用简易的一步水热法制备出水系锌离子电池正极材料(NH4)2V4O9。利用X射线衍射仪(XRD)、扫描电子显微镜(SEM)、恒流充放电(GCD)、恒流间歇滴定技术(GITT)、循环伏安法(CV)以及电化学阻抗谱(EIS)等表征测试手段,研究不同水热反应时间(16、20和24 h)对 (NH4)2V4O9结构、形貌及电化学性能的影响。研究结果表明:水热反应20 h合成的(NH4)2V4O9拥有最高的结晶度,并表现出优异的电极反应动力学特性以及最佳的倍率性能和循环稳定性,其在0.1、0.2、0.5、1、2 A/g和5 A/g的电流密度下分别提供了554.6、472.2、386.6、322.6、266.2 mAh/g和199.5 mAh/g的高放电比容量,并且在5 A/g的大电流密度下长循环10 000圈后仍可保持159.7 mAh/g的放电比容量,容量保持率高达80.1%。
真空热压制备石墨烯增强钛基复合材料
田婷婷, 李润建, 张在玉
2022, 43(4): 69-74, 93. doi: 10.7513/j.issn.1004-7638.2022.04.011
摘要(373) HTML (185) PDF(25)
摘要:
采用葡萄糖和钛粉真空热压烧结原位合成了钛基体-石墨烯复合材料。复合材料界面结构稳定,界面处产生的石墨烯片层结构清晰,条纹间距约为 0.32 nm,与石墨层片理论间距 0.337 nm 相近。特别值得一提的是:在1300℃烧结条件下,复合材料屈服强度和延伸率跟相同条件制备的纯钛样品相比都在增加。其原因可能是原位合成的石墨烯和纳米颗粒TiC在钛基体内协调变形,为缓和复合材料的强塑性矛盾提供很好的解决思路。
体能量密度对选区激光熔化钛合金表面质量及致密度的影响
易涛, 成靖, 赵仲哲, 荣鹏
2022, 43(4): 75-79. doi: 10.7513/j.issn.1004-7638.2022.04.012
摘要(734) HTML (140) PDF(97)
摘要:
分别对选区激光熔化的激光功率、扫描间距进行了研究,引入了激光体能量密度,综合分析了工艺参数对钛合金致密度及表面粗糙度的影响。试验结果表明:随着体能量密度的增大,所加工出的金属样的表面粗糙度呈减小趋势。而通过调节激光功率使体能量密度增大的方式更有利于加工出更高致密度的金属零件。
资源环境与节能
铁酸二钙的制备及催化烧结烟气甲烷的特性研究
石焱, 宋长鹤, 刘建爽, 郝克, 潘苗苗
2022, 43(4): 80-86. doi: 10.7513/j.issn.1004-7638.2022.04.013
摘要(416) HTML (137) PDF(34)
摘要:
以九水合硝酸铁和四水合硝酸钙为原料,去离子水为溶剂,柠檬酸为络合剂,氨水调节溶液pH值,以空白堇青石蜂窝为负载体,制备铁酸二钙堇青石蜂窝负载型催化剂。结果表明,柠檬酸用量为钙铁离子总摩尔量的2.5倍,700 ℃条件下煅烧2 h可制备得到物相单一、结晶度高、孔隙度发达的纳米级铁酸二钙堇青石负载型催化剂。制备得到的纳米级铁酸二钙的比表面积为174.29 m2/g、孔容为0.31423 cm3/g、孔径为7.31 nm、平均孔径为1.89 nm,是一种对甲烷气体(典型烧结烟气VOCs)具有良好催化脱除和矿化性能的非贵金属催化剂。
高钛重矿渣作为集料用于沥青混合料的可行性分析研究
王伟, 汪杰, 梁月华
2022, 43(4): 87-93. doi: 10.7513/j.issn.1004-7638.2022.04.014
摘要(360) HTML (154) PDF(33)
摘要:
以攀西地区高钛重矿渣为研究对象,通过理论及试验研究分析了其作为集料用于沥青混合料的可行性,并与目前沥青混合料常用的玄武岩等天然石料进行了对比分析。研究结果表明:高钛重矿渣表观形貌呈粗糙多孔状且为碱性集料,与沥青黏附性能优于天然石料,粘附性等级为5级;高钛重矿渣为五元渣系,属低钙富钛渣、低活性渣,体积稳定性及高温稳定性好;高钛重矿渣具有优异的颗粒形态特性且力学性能、耐久性能良好,但密度略低于天然石料且吸水率更高;高钛重矿渣作为沥青混合料集料的综合性能不低于天然石料,且具有明显的环境、经济效益。
含铬不锈钢渣制备钙长石-透辉石系微晶玻璃生成相模拟与试验探究
郭育良, 金会心, 肖媛丹, 雷二帅, 王正兴
2022, 43(4): 94-99. doi: 10.7513/j.issn.1004-7638.2022.04.015
摘要(340) HTML (103) PDF(30)
摘要:
含铬不锈钢渣的大量堆存会导致铬元素的浸出而对环境造成严重的危害,微晶玻璃因其良好的固铬性能和物理性能而具有研究价值。为探究该体系中铬元素的赋存规律,用热力学软件FactSage 7.2对含铬不锈钢渣制备的钙长石-透辉石系微晶玻璃进行了生成相含量的模拟,以此为指导使用含铬不锈钢渣制备了钙长石-透辉石系微晶玻璃,并研究了助熔剂和铬含量对该体系微晶玻璃的结晶和物理性能的影响。结果表明,在模拟计算中,铬元素首先富集在尖晶石相中,最大富集度在10%~20%,多余的铬元素以Cr2O3的形式出现在体系中。在对应的试验探究中,当铬含量达到5%时,体系中的含铬相仍然只有尖晶石相,这使得材料有较好的固铬性能。助熔剂使微晶玻璃具有更高的硬度,铬浸出试验中钙长石-透辉石体系均未检出铬元素。该试验为含铬固体废弃物制备微晶玻璃提供了理论依据。
盐冻作用下高钛重矿渣混凝土耐久性试验研究
梁贺之, 陈伟, 杨贺
2022, 43(4): 100-106. doi: 10.7513/j.issn.1004-7638.2022.04.016
摘要(314) HTML (99) PDF(27)
摘要:
考虑水胶比、粉煤灰掺量、复合盐溶液浓度三个因素,采用正交试验,研究不同因素对高钛重矿渣混凝土耐久性影响。试验结果表明:复合盐溶液浓度对高钛重矿渣混凝土的质量损失率和动弹性模量影响最大。在水胶比和粉煤灰掺量一定的情况下,随着冻融循环的次数增加,高钛重矿渣混凝土试块质量损失率逐渐增大,呈现指数函数变化趋势。随着冻融循环的次数增加,高钛重矿渣混凝土试块的动弹性模量快速减小,呈现负指数函数变化趋势。复合盐冻融循环下的高钛重矿渣混凝土试块的质量损失与动弹性模量的衰减的主要原因有两方面,一是NaCl和Na2SO4物理结晶产生的结晶拉力破坏;二是Cl与高钛重矿渣混凝土水化产物发生化学反应产生氯铝酸钙,SO42−与水化铝酸钙发生化学反应,产生钙矾石,导致高钛重矿渣混凝土试块内部结构劣化。
钢铁冶金与材料
提高全钒钛球团矿抗压强度技术研究与应用
胡鹏, 蒋胜, 谭阳杰, 周密, 向绍红
2022, 43(4): 107-113. doi: 10.7513/j.issn.1004-7638.2022.04.017
摘要(580) HTML (111) PDF(44)
摘要:
针对全钒钛球团矿抗压强度低(平均1 600 N/个左右)、波动大(最低仅926 N/个,最高2 287 N/个),进入高炉冶炼后极大的影响了高炉稳定顺行,特开展了提高全钒钛球团矿抗压强度技术研究与应用。结果表明:通过增设润磨设备后,造球混合料粒度小于0.074 mm粒级由66.64%提高至71.69%,矿物颗粒表面变粗糙,粘结性增加,活性增强;且将预热二段温度提高到900 ℃左右、降低链篦机机速、延长预热时间,将焙烧温度从1150 ℃提高至1200 ℃以上,降低回转窑转速,延长焙烧时间后,球团矿内部带直径降低至3 mm以下,抗压强度提高至1 989 N/个,波动明显减小,为高炉稳定顺行提供了原料基础。
基于复合造块工艺处理含锰尾矿的试验研究
滕飞, 曾志彦, 郭培民, 岳崇峰
2022, 43(4): 114-120. doi: 10.7513/j.issn.1004-7638.2022.04.018
摘要(392) HTML (158) PDF(28)
摘要:
针对一种含锰尾矿资源用于普通烧结工艺时存在料层透气性差和烧结矿产量、质量低等问题,基于复合造块工艺探索含锰尾矿资源的合理利用方式。考虑到高炉冶炼对炉渣碱度的要求,通过在基体料中配加熔剂调节复合烧结矿(简称复合矿)的碱度。通过实验室烧结杯试验,对复合料固定碳配比、球团料比例以及布料方式等影响因素进行系统研究。结果表明,采用复合造块工艺处理这种含锰尾矿资源是可行的。适宜的基体料固定碳配比为3.3%,最佳的球团比例为40%。冶金性能检测结果表明,复合矿还原度指数为72.49%,低于普通烧结矿3.27个百分点,低温还原粉化指数为79.53%,高于普通烧结矿3.49个百分点,熔滴性能明显优于普通烧结矿。复合矿显微结构中主要以磁铁矿和少量玻璃相构成的斑状结构为主,基体部分铁酸钙粘结相含量相比普通烧结矿明显减少,硅酸二钙生成量较多。
CaO-Al2O3-MgO-SiO2-Ce2O3渣系活度计算模型
俞成, 邱吉雨, 刘承军
2022, 43(4): 121-126. doi: 10.7513/j.issn.1004-7638.2022.04.019
摘要(677) HTML (203) PDF(41)
摘要:
稀土钢冶炼过程中,含稀土钢液与熔渣间存在强烈的渣金反应,导致钢中溶解态稀土含量波动严重,影响其在钢中的作用效果。然而,由于含稀土渣系热力学数据的缺失,限制了相关研究工作的开展。依据分子离子共存理论,建立了CaO-Al2O3-MgO-SiO2-Ce2O3渣系的活度计算模型,并绘制组元的等活度线图,讨论w(CaO)/w(Al2O3)、w(Ce2O3)等成分变化对渣系中各组元活度的影响。计算结果表明,CaO-Al2O3基精炼渣的SiO2活度范围(4×10−19~7×10−18)远小于CaO-SiO2基精炼渣的活度范围(0.003~0.4),即对于稀土钢而言,CaO-Al2O3基精炼渣更为适用;对于CaO-Al2O3基精炼渣,提高熔渣的w(CaO)/w(Al2O3)和w(Ce2O3)可增加Ce2O3活度、减小Al2O3活度,能够减弱含稀土钢液与熔渣中Al2O3间的反应。
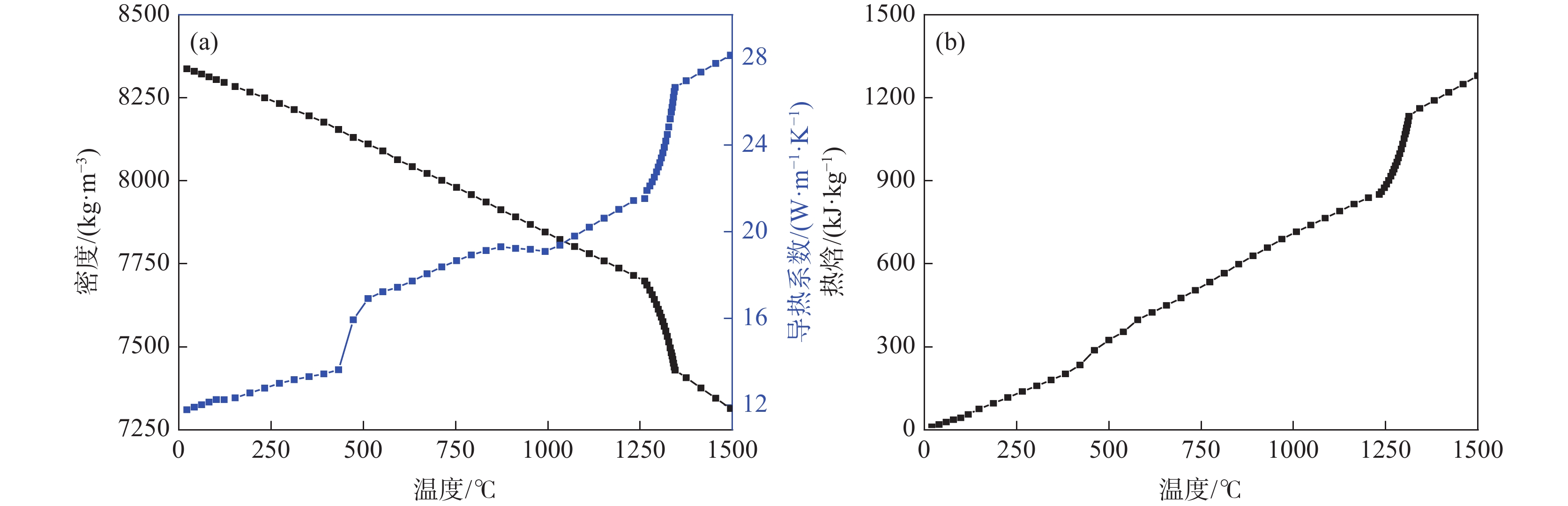
镍基高温合金感应锭浇注过程的数值模拟研究
唐平梅, 周扬, 姜东滨
2022, 43(4): 127-133, 141. doi: 10.7513/j.issn.1004-7638.2022.04.020
摘要(472) HTML (109) PDF(50)
摘要:
利用ProCAST软件对镍基高温合金感应锭的浇注过程进行了数值模拟研究,分析了铸锭充型与凝固过程温度场、固相率等的变化特征及其对铸锭缩孔的影响,探讨了铸锭缩孔缩松随浇注温度的变化规律。结果表明,镍基高温合金感应锭凝固过程中,在铸锭纵向方向上,铸锭上部合金温度低,下部合金温度高,铸锭未实现从底部到顶部(浇口)的顺序凝固,铸锭端部的“V”形一次缩孔较深。在充型阶段,浇注温度的变化对合金流动的最大速度及合金液面波动的影响较小;在凝固阶段,降低浇注温度减小了铸锭下部的高温区域,能在一定程度上减小铸锭端部的一次缩孔深度,但由于其未能使铸锭在纵向方向上实现顺序凝固,因此降低浇注温度并不能显著减小铸锭端部的一次缩孔深度。另外,浇注温度的变化对铸锭内部缩松的影响较小。
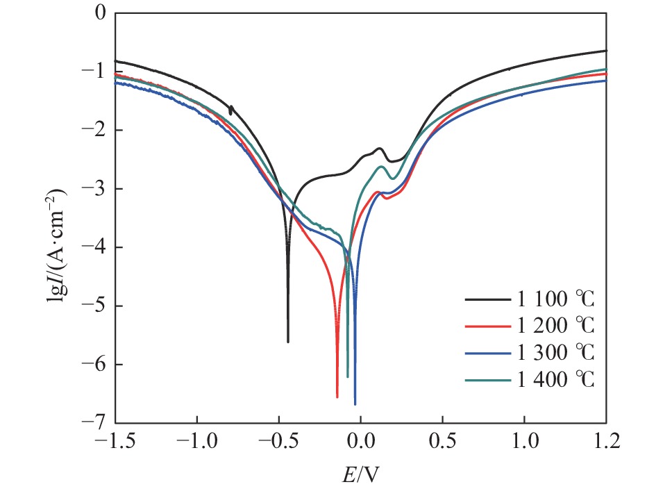
高钛钢专用低反应性连铸保护渣成分设计
王杏娟, 王宇, 朱立光, 邸天成, 靳贺斌, 朴占龙
2022, 43(4): 134-141. doi: 10.7513/j.issn.1004-7638.2022.04.021
摘要(352) HTML (218) PDF(39)
摘要:
高钛钢连铸过程采用传统的CaO-SiO2-Al2O3连铸保护渣会发生剧烈的钢渣界面反应,影响连铸顺行。为减弱钢渣界面反应,设计了高钛钢低反应性连铸保护渣,通过钢渣界面热力学计算,确定CaO-Al2O3基保护渣的可行性,使用Factsage热力学软件计算低反应性保护渣成分范围,对拟定的三组保护渣采用旋转黏度测试仪和全自动炉渣熔点熔速测定仪测量其黏度和熔点,并对新开发的适合连铸生产的保护渣采用VSgr-60-2000型真空气氛压力烧结炉进行钢渣界面反应试验。结果表明,开发的高钛钢专用CaO-Al2O3系低反应性保护渣渣中CaO/Al2O3为1.1,配加10%CaF2、7%MgO、5%Na2O、3%K2O、13%B2O3以及5%SiO2,黏度为0.413 Pa·s,熔点为1106 ℃,钢渣界面反应试验后,钢中Ti含量降低0.03个百分点,保护渣中TiO2含量增加0.002个百分点,界面反应微弱。新开发的保护渣极大程度抑制了钢渣界面反应的进行。
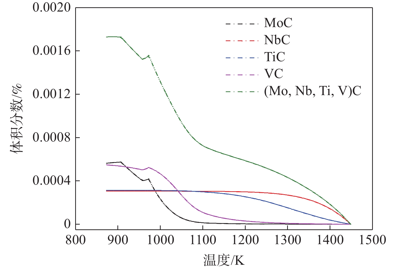
Nb-Ti-V-Mo微合金钢中复合碳化物的析出动力学
姚娜, 兴超
2022, 43(4): 142-149. doi: 10.7513/j.issn.1004-7638.2022.04.022
摘要(586) HTML (155) PDF(63)
摘要:
结合JmatPro热力学软件对Nb-Ti-V-Mo微合金化E460海工钢中多元复合析出相的固溶热力学计算和经典形核长大动力学理论,研究了(Nb,Ti,Mo,V)C在奥氏体和铁素体中沉淀析出规律,探讨了奥氏体形变储能和形变诱导析出量对(Nb,Ti,Mo,V)C沉淀析出动力学的影响。研究表明,(Nb,Ti,Mo,V)C在1448.6 K时开始析出。在奥氏体相区,随着温度的降低,临界形核功逐渐降低,NrT曲线和PTT曲线呈单调变化趋势。在奥氏体和铁素体两相区,(Nb,Ti,Mo,V)C的最快沉淀析出温度为1062.6 K。随着形变储能的增加,相对形核率呈增加趋势,析出孕育期缩短。随形变诱导析出量增加,PTT曲线向左移动,最大形核率温度和最快析出温度为1058.3~ 1063.8 K。
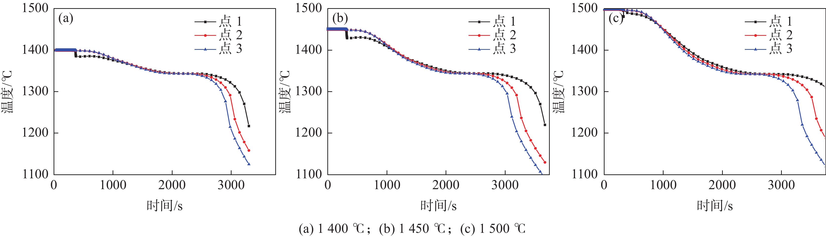
冷却工艺对薄板坯结晶器传热的影响
刘增勋, 张路平, 肖鹏程, 张朝阳, 朱立光
2022, 43(4): 150-157. doi: 10.7513/j.issn.1004-7638.2022.04.023
摘要(424) HTML (160) PDF(31)
摘要:
为揭示高速连铸结晶器铸坯-铜壁-冷却水体系的传热机制,建立了FTSC结晶器内铸坯-铜壁-冷却水三维流-固-热耦合数值模型。分析了高拉速条件下结晶器冷却工艺对结晶器铜壁和冷却水温度分布的影响。结果表明:采用反向供水铜壁热面温度峰值比正向供水降低15 ℃,冷却水温度峰值降低14 ℃;提高冷却水速度可有效降低铜壁和冷却水温度;在保证冷却水不出现沸腾的条件下,增加供水压力对结晶器温度场变化没有影响;冷却水进水温度对铜壁整体和弯月面附近冷却水的温度影响较小。在结晶器下部低热流区,冷却水温度变化受进水温度的影响较为明显。冷却水道与铜壁热面间距对铜壁温度具有显著的影响,对于冷却水温度,冷却水道在距铜壁热面15 mm和25 mm处温度相差不大,距离热面为35 mm时冷却水温度明显降低。
高应变率下06Cr19Ni10奥氏体不锈钢 Johnson-Cook本构模型研究
张继林, 罗文翠, 贾海深, 易湘斌, 徐创文, 唐林虎, 秦娟娟
2022, 43(4): 158-166. doi: 10.7513/j.issn.1004-7638.2022.04.024
摘要(528) HTML (627) PDF(59)
摘要:
为了探讨06Cr19Ni10奥氏体不锈钢在大应变和高应变率下成形的流动规律,借助高温分离式霍普金森(High Temperature Split Hopkinson Pressure Bar)动态试验装置,进行不同温度和应变率冲击试验。分析试验数据表明,该材料具有增塑、应变率强化和温度软化现象,并建立了Johnson-Cook本构模型。考虑应变率强化效应,依据试验数据进行了JC本构模型的修正,对比修正前后模型预测值和试验值,吻合程度好。运用统计分析,对比修正前后模型的相关系数(R)和平均相对误差(AARE),修正前、后相关系数(R)分别为0.96388、0.97054;修正前、后平均相对误差(AARE)分别为5.63%、4.68%,修正后的模型预测精度优于修正前。结果表明,修正后的模型可以更加精确预测06Cr19Ni10奥氏体不锈钢应力与应变、应变率和温度的关系。
终冷温度对厚规格X80组织和DWTT的影响
叶晓瑜, 任守斌, 李拔, 贾书君, 张开华, 黄贞益
2022, 43(4): 167-172. doi: 10.7513/j.issn.1004-7638.2022.04.025
摘要(378) HTML (102) PDF(31)
摘要:
通过显微组织和落锤试样的断裂路径表征,研究了不同终冷温度对21.4 mm厚X80组织和落锤性能的影响,分析了不同组织对裂纹扩展路径的影响。试验结果表明,当终冷温度为480 ℃时,其组织为粒状贝氏体+细小的准多边形铁素体,当终冷温度提高到510 ℃时,在心部出现大尺寸的多边形铁素体,随着终冷温度提高,大尺寸的多边形铁素体含量增加。当终冷温度从480 ℃提高到550 ℃时,整个断面的组织由全针状铁素体组织向边部针状铁素体组织+心部大尺寸多边形铁素体组织转变,心部的大尺寸多边形铁素体组织不能有效阻止裂纹的扩展,落锤剪切面积从100%降低到72%。
热加工工艺对316LN奥氏体不锈钢晶粒度的影响研究
徐海健, 乔馨, 郭诚, 刘留, 杨雨泽, 沙孝春
2022, 43(4): 173-177. doi: 10.7513/j.issn.1004-7638.2022.04.026
摘要(661) HTML (108) PDF(46)
摘要:
采用Zeiss Imager金相显微镜观察316LN奥氏体不锈钢微观组织形貌,研究了变形温度、变形率以及固溶温度对其晶粒度的影响。结果表明,随着变形温度和变形率的增加,显著促进了其动态再结晶的发生,有助于获得细化和均匀化的奥氏体不锈钢晶粒。锻造变形后钢板的晶粒度由小到大依次为表面>1/4处>心部,变形温度和变形量分别为1050 ℃,30%时,变形后的晶粒度可达到6级左右。固溶处理对锻造后的钢板晶粒度控制具有均质化作用,结合Jmat-Pro计算分析固溶处理结果,固溶温度应控制在1020~1040 ℃范围内,温度过高容易导致晶粒过度长大,温度过低容易导致Cr2N相析出,影响钢板的塑性和耐蚀性能。
不同钛含量汽车用热成型钢的抗氢脆敏感性研究
刘汉华
2022, 43(4): 178-183. doi: 10.7513/j.issn.1004-7638.2022.04.027
摘要(338) HTML (78) PDF(18)
摘要:
利用充氢拉伸及氢解吸试验手段对比研究了两种钛含量汽车用含Nb-Mo热成型钢的抗氢脆敏感性。试验结果表明:随着Nb-Mo热成型钢中的钛含量由0.015%增加至0.03%,其原奥氏体晶粒尺寸由5.40 μm降低至4.35 μm,晶界数量增多;新析出粗大的TiC颗粒,且(Nb,Ti)C、(Nb,Mo,Ti)C颗粒尺寸明显增大。虽然钛含量的增加会导致Nb-Mo热成型钢中析出粗大的Ti(C,N),可促进氢脆断裂行为的发生,但是粗大碳化物颗粒导致材料的氢解吸高温峰对应的氢脱附激活能由83.4 kJ/mol增加至105.9 kJ/mol,对氢原子的不可逆捕获能增加,有效减少了钢中的可扩散氢原子,且奥氏体晶界数量的增加使氢原子分布更为均匀,最终可提升Nb-Mo热成型钢的抗氢脆敏感性。
某铁路钢轨伤损及其形成机理研究
杨大巍, 邓勇, 董雪娇, 赵吉中
2022, 43(4): 184-190. doi: 10.7513/j.issn.1004-7638.2022.04.028
摘要(722) HTML (156) PDF(33)
摘要:
钢轨伤损制约着轮轨接触稳定,影响行车安全。针对某铁路钢轨在线服役中产生的伤损,采用Axio Observer 5m金相显微镜、Empyrean型 X射线衍射仪、Sigma 500型扫描电镜、FALCON 500显微硬度计进行多方位检验,基于有限元仿真技术重现了车轮异常启动状况下的钢轨接触部位瞬时温度场分布。分析结果表明:该钢轨伤损属于典型擦伤,伤损深度超过2 mm,钢轨伤损部位随着踏面深度的增加,马氏体含量逐渐减少,残余奥氏体含量逐渐增多,导致其对应的显微硬度值逐渐降低。残余奥氏体被马氏体组织包围,增加微裂纹继续扩展的阻力,钝化裂纹尖端,在轮轨表层剪切应力共同作用下,为微裂纹扩展提供通道,诱导微裂纹横向扩展,最终导致钢轨擦伤区域剥离破坏。计算机仿真结果与实际伤损特征基本吻合。
科技成果转化为技术标准研究—以钒钛磁铁矿综合利用为例
郑鹰, 韩冰, 刘力维, 成勇
2022, 43(4): 191-196. doi: 10.7513/j.issn.1004-7638.2022.04.029
摘要(526) HTML (173) PDF(38)
摘要:
科技成果转化为技术标准有着重要的价值,它既可以推进科技的创新,又能促使其走向标准化,让科技成果更好地应用于实践生产当中,对我国科学技术进步及产业转型升级具有重要意义。以钒钛磁铁矿综合利用为例展开分析,通过对其发展状况及趋势的研究,梳理其在科技成果转化为技术标准的过程中存在的有关问题,提出了促进钒钛磁铁矿综合利用科技成果转化为技术标准的解决策略和方法。