2022 Vol. 43, No. 3

Separating and Extracting of Vanadium and Titanium
Synthesis of porous bentonite modified titanium-lithium ion sieve precursor
Huang Chenghua, Li Yan, Zhang Jingjing, Shui Yi, Wu Na, Zhang Liyuan
2022, 43(3): 1-8. doi: 10.7513/j.issn.1004-7638.2022.03.001
Abstract(586) HTML (246) PDF(52)
Abstract:
The lithium titanate precursor sol was prepared by inorganic precipitation-peptization method with titanium sulfate as titanium source, lithium acetate as lithium source, followed by adding bentonite as modifier. Bentonite modified Li2TiO3 powder was obtained after stirring, aging, drying and calcination. The effects of molar ratio (R) of complexing agent H2O2 to Ti, calcination temperature, solid-liquid ratio of bentonite to sol on the surface morphology and crystal structure of precursor Li2TiO3 were studied. The samples were characterized by scanning electron microscopy, X-ray diffraction, thermogravimetry-differential scanning calorimetry and infrared spectroscopy. The results show that the crystal structure of unmodified Li2TiO3 is the most complete when calcined at 750 ℃ with R = 6. After the sample was modified by bentonite with a solid-liquid ratio of 1.67 g/L, the crystallinity of each crystal surface was the most complete when the calcination temperature was 750 ℃, and Li2TiO3 with uniform porous structure on the surface was obtained.
Study on leaching kinetics of titanium from waste denitrification catalyst with salt roasting-acid leaching
Wang Luping, Mei Guangjun, Wu Min, Yuan Qinzhi, Yu Mingming
2022, 43(3): 9-13. doi: 10.7513/j.issn.1004-7638.2022.03.002
Abstract(495) HTML (220) PDF(30)
Abstract:
Titanium from waste denitrification catalyst was recovered by salt roasting-acid leaching method. The leaching kinetics of titanium in sulfuric acid was studied by nuclear shrinkage model of liquid-solid multiphase reaction. The effects of sulfuric acid concentration and acid leaching temperature on the leaching rate of titanium were investigated. The results show that when the temperature is lower than 60 ℃ or the mass fraction of sulfuric acid is less than 45%, the leaching process is controlled by chemical reaction and solid film diffusion. The leaching process of heating up and increasing sulfuric acid concentration is controlled only by chemical reaction. The apparent activation energy is 30.23 kJ/mol under mixed control at low temperature, and 92.92 kJ/mol under chemical control at high temperature, and the apparent reaction order is 4.932. Increasing the reaction temperature and sulfuric acid concentration can accelerate the leaching rate of titanium and improve the leaching rate of titanium.
Study on effect of Al-Zn composite salt treatment on the quality of rutile TiO2
Lu Ruifang, Sun Qiang, Yang Fang, Wang Xiaohui, Liu Chan, Cheng Xiaozhe
2022, 43(3): 14-19. doi: 10.7513/j.issn.1004-7638.2022.03.003
Abstract(502) HTML (281) PDF(68)
Abstract:
Using hydrolyzed metatitanic acid as raw materials, the effect of Al-Zn composite salt treatment on the quality of rutile TiO2 was studied. Rutile TiO2 samples were prepared by adjusting the calcination temperature. The effects of the addition of Al2O3 and ZnO on the calcination temperature required for rutile qualification were investigated. The pigment properties, particle size distribution and morphology of the rutile TiO2 were then analyzed. The results show that for the Al-Zn composite salt treatment system, the low addition of Al2O3 promotes the rutile transformation, and the high addition of Al2O3 inhibits the rutile transformation; ZnO promotes rutile transformation. With the increase of Al2O3 dosage, TCS and SCX first increase and then decrease, the mean diameter first decreases and then increases, the coefficient of variation increases, the length-diameter ratio increases, and the particles gradually grow from ellipsoid to strip. When the dosage of Al2O3 is 0.15%, the TCS and SCX of the sample are the best and the average particle size is the smallest. With the increase of ZnO dosage, the TCS and SCX, average particle size, dispersion coefficient and aspect ratio have no obvious variation rules. When the addition of Al2O3 is 0.15%, with the increase of ZnO addition, the mean diameter decreases, the length-diameter ratio decreases, and the particles gradually grow from long strip to ellipsoid.
Preparation of lithium vanadate by solution combustion synthesis and its electrochemical properties
Chen Zongling, Cao Zhiqin, He Kui, Zhang Xuefeng
2022, 43(3): 20-25. doi: 10.7513/j.issn.1004-7638.2022.03.004
Abstract(674) HTML (219) PDF(52)
Abstract:
Using ammonium nitrate, ammonium metavanadate, lithium nitrate, glucose, citric acid and glycine as raw materials, LiVO3 powder as cathode material for lithium-ion battery was successfully prepared by solution combustion synthesis. The effects of calcination temperature and calcination time on the preparation of LiVO3 were investigated. The as-prepared LiVO3 powder was used as active material for battery assembly, and its electrochemical performance as cathode material for lithium-ion battery was further explored. The results show that the LiVO3 powder prepared at 400 ℃ for 1 h has the best electrochemical performance. At the charge discharge rate of 0.1 A/g, the first discharge specific capacity of the battery is 244.3 mAh/g, and after 50 cycles, the discharge specific capacity retains 193.6 mAh/g.
Preparation and characterization of titanium dioxide as catalyst support for denitration
Li Huaquan, Qiu Guibao, Lv Xuewei
2022, 43(3): 26-32. doi: 10.7513/j.issn.1004-7638.2022.03.005
Abstract(737) HTML (257) PDF(39)
Abstract:
The specific titanium dioxide, a catalyst carrier for denitration, was prepared from metatitanic acid in the process of sulfuric acid titanium dioxide production, via ammonia neutralization, active element complexing, calcination and pulverization. The crystal structure and morphology of the powders were characterized by means of particle size distribution, XRD and SEM. The results show that the as-prepared titanium dioxide for denitration catalyst support is anatase type with uniform particle size distribution and good particle morphology. With the increase of calcination temperature, the diffraction peaks of the as-prepared denitration catalyst support TiO2 SA90, SA100 and SA200 are much lower than those of pure anatase titanium dioxide sample BA01-01. The crystal size is in the range of 100-200 nm, and the activity is good.
Effect of biomass drying titanium concentrate on its acid hydrolysis performance
Wang Haibo, Sun Ke, Cheng Xiaozhe, Wang Bin, Wu Xiaoping
2022, 43(3): 33-39. doi: 10.7513/j.issn.1004-7638.2022.03.006
Abstract(597) HTML (271) PDF(32)
Abstract:
In view of the decline of acid hydrolysis performance of titanium concentrate directly dried by biomass, the influence of different drying methods on acid hydrolysis performance of titanium concentrate were found by comparing the difference of acid hydrolysis performance of titanium concentrate, and the exploration test of improving acid hydrolysis performance was carried out. The results show that after a small amount of biomass fuel and its combustion residues mixed into the titanium concentrate directly dried by biomass fuel, the acid hydrolysis rate and the filtration rate of titanium liquid in the titanium concentrate are lower than that of the titanium concentrate directly dried by coal gas. The larger the mixed amount, the greater the drop in the acid hydrolysis rate and the filtration rate of titanium liquid. When the C content of direct-drying titanium concentrate with biomass is 4 times that of the direct-drying titanium concentrate with coal gas and keep the conditions of reaction acid-ore ratio increasing 0.02, reaction acid concentration increasing 2%, ripening temperature increasing 10 °C and ripening time increasing 1 h, the acid hydrolysis rate of titanium concentrate dried by biomass fuel is 93.00%, which is higher than 90.91% of titanium concentrate dried by coal gas. But the extraction rate of 100 mL titanium liquid is 615 s lower than 122 s of the latter. With the increase of acid hydrolysis rate, the pumping speed of titanium liquid decreases. The titanium concentrate directly dried by biomass fuel and coal gas are mixed according to the mass ratio of 5:95, the acid hydrolysis rate of titanium concentrate and the filtration rate of titanium liquid are almost the same as those of gas-drying titanium concentrate.
Application of Vanadium and Titanium
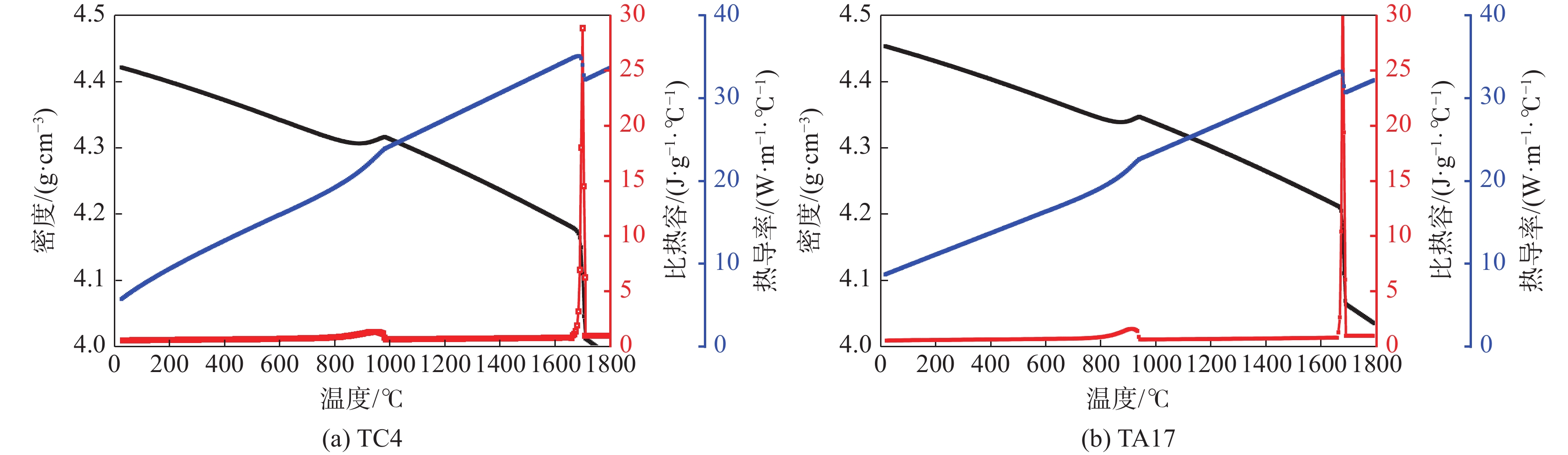
Study on vacuum electron beam welding process of 50 mm thick plate TC4 and TA17 titanium alloys
Li Dadong, Bai Wei, Deng Jian, Chen Rong, Geng Naitao
2022, 43(3): 40-46. doi: 10.7513/j.issn.1004-7638.2022.03.007
Abstract(1098) HTML (505) PDF(51)
Abstract:
Based on the analysis of the density, specific heat and thermal conductivity of TC4 and TA17 titanium alloys by using JMATPRO thermodynamic software, the vacuum electron beam welding experiments of TC4 and TA17 titanium alloys with a thickness of 50 mm were carried out. The parameters of high and medium voltage accelerating voltage, different welding beam current and welding speed were designed. The effects of welding process parameters on weld width, penetration and weld forming coefficient were studied. The test results show that the penetration and weld forming coefficient of TC4 titanium alloy are higher than TA17 under the same welding process parameters. The influence of welding beam current on penetration and weld forming coefficient is the most prominent. The high voltage of accelerating voltage 150 kV is more suitable for vacuum electron beam welding of large and thick titanium alloys.
Effect of spark plasma sintering temperature on structure and properties of TiB2/Al composites
Lu Chao, Zhang Ao, Yang Zhi, Liu Jia, An Xuguang, Kong Qingquan, Feng Wei, Xu Zhiping
2022, 43(3): 47-52. doi: 10.7513/j.issn.1004-7638.2022.03.008
Abstract(597) HTML (260) PDF(39)
Abstract:
TiB2/Al composites were fabricated by spark plasma sintering using aluminum powders as matrix and TiB2 particles as reinforcement. The effects of different sintering temperatures (500, 525 ℃ and 550 ℃) on the phase composition, relative density, microhardness and tensile/compressive properties of the composites were investigated. The results show that the principal phase of these composites is α-Al, and a small amount of TiB2 phase precipitates when the sintering temperature is higher than 525 ℃. With increasing the sintering temperature, the relative density, microhardness, tensile strength and compressive strength of TiB2/Al composites firstly increases and then decreases, while the elongation and compressibility are minished first and then increased. TiB2/Al composite sintered at 525 ℃ has the optimal comprehensive properties, demonstrating the highest relative density and Vickers hardness of 98.57% and 49.83, respectively, and the maximum tensile strength of 84.9 MPa and compressive strength of 265.1 MPa. When the sintering temperature is as high as 550 ℃, voids are formed in the bulk material and transgranular fracture occurs during the tensile process.
Study on fabrication and photocatalytic performance of Ag2C2O4/TiO2 heterojunctions
Ren Wang, Li Minjiao, Zhang Ying, Zhang Shulin
2022, 43(3): 53-58. doi: 10.7513/j.issn.1004-7638.2022.03.009
Abstract(593) HTML (231) PDF(34)
Abstract:
In this study, A-TiO2 was prepared by a Sol-Gel method, and then Ag2C2O4 was deposited on the surface of TiO2 to construct Ag2C2O4/TiO2 heterojunctions by a precipitation method. The textural properties, crystal structures and light response capacity were studied by Brunauer-Emmett-Teller (BET) method and X-ray diffraction (XRD) . Surface photovoltage spectroscopy (SPS) was employed to study the separation of photoinduced carriers. Using Rhodamine B (RhB) as model pollutant, the photocatalytic activities of Ag2C2O4/TiO2 heterojunctions were investigated under Xe lamp (simulated sunlight) irradiation. The results show that when the molar ratio of Ag2C2O4/TiO2 is 7.0%, the sample displays the highest separation of photoinduced carriers, thus the photocatalyst exhibits the highest destruction capacity toward degradation of RhB.
Research on microstructure and mechanical properties of Ti(C0.5N0.5) particle reinforced Ti matrix composites
Han Wei, Jiang Zhongtao, Yang Xin, Jing Xiaolong
2022, 43(3): 59-64. doi: 10.7513/j.issn.1004-7638.2022.03.010
Abstract(596) HTML (255) PDF(27)
Abstract:
Using pure Ti powder and Ti(C0.5N0.5) particles as raw materials, Ti(C0.5N0.5) particle reinforced Ti matrix composites were prepared by powder metallurgy process. The effects of Ti(C0.5N0.5) content on the microstructure and mechanical properties of titanium matrix composites were studied. The results show that the addition of Ti(C0.5N0.5) particles significantly refines the grain size of Ti matrix, and the grain morphology changes from coarse columnar grain to fine equiaxed grain. With the increase of Ti(C0.5N0.5) content, the porosity of Ti matrix composites decreases obviously, the density increases, and the hardness and yield strength of Ti matrix composites increase gradually, but the compressive strain decreases gradually.
Research on application performance of titanium dioxide in ink
Yu Yaojie, Song Yue, Dong Shishun, Ren Xiulian, Wei Qifeng
2022, 43(3): 65-70. doi: 10.7513/j.issn.1004-7638.2022.03.011
Abstract(688) HTML (220) PDF(45)
Abstract:
In this paper, the application performance of titanium dioxide in ink was studied. Through the process of grinding, dispersing and inorganic coating of titanium dioxide crude products under different conditions, the study of pigment performance and application performance of ink was carried out, the preparation method of high hiding power titanium dioxide suitable for ink application was also summarized. The optimum technological conditions were obtained as follows: when the slurry concentration is 500 g/L, 40 min is ground and dispersed, and SiO2-Al2O3 inorganic coating is carried out. The titanium dioxide content of the sample is 90.23%, L value is 95.61, b value is 1.82, the hiding power in the ink reaches the maximum, and has the best ink application effect.
Study on the microstructure and mechanical properties of the automotive titanium alloy based on friction stir processing
Li Shasha, Wang Lei, Lv Xinrui, Yu Lili
2022, 43(3): 71-76. doi: 10.7513/j.issn.1004-7638.2022.03.012
Abstract(454) HTML (189) PDF(26)
Abstract:
In this investigation, the friction stir processing (FSP) method was used to modify the surface layer of an as-cast Ti8LC automotive titanium alloy using different spindle rotation speeds and travel speeds. In addition, the microstructure and mechanical properties of the alloy samples were tested and compared. The results show that the internal grains of the alloy are refined, and the uniformity of microstructure distribution and the mechanical properties are improved after FSP modification. When the shoulder depression is 0.2 mm, and the spindle inclination angle is 2.5°, the spindle rotation speed increases from 200 r/min to 400 r/min or travel speed from 30 mm/s to 90 mm/s. Meanwhile, the grains of FSP alloy samples are refined first and then coarsened, and the mechanical properties are improved first and then decreased. The best mechanical properties of the modified alloy samples can be obtained with the spindle rotation speed of 300 r/min and the travel speed of 60 mm/s. The tensile strength, yield strength and elongation are 1 046, 729 MPa and 12.7%, respectively. Compared with the as-cast Ti8LC automotive titanium alloy, the tensile strength and yield strength of FSP modified alloy samples are increased by 118 MPa and 125 MPa (with a 12.7% and 20.7% amplitude), respectively.
Mining & Beneficiation
Experimental study on optimization of flotation reagents for ilmenite froman iron dressing tailing in Panxi area
Deng Jian, Yang Yaohui, Wang Hongbin, Yan Weiping, Zeng Xiaobo
2022, 43(3): 77-83. doi: 10.7513/j.issn.1004-7638.2022.03.013
Abstract(597) HTML (271) PDF(43)
Abstract:
In this paper, the optimization test of ilmenite flotation reagents was carried out for an iron dressing tailing in Panxi. With a TiO2 grade of 16.6%, this tailing is mainly composed of ilmenite, titanomagnetite, pyroxene and olivine, and the secondary minerals are plagioclase and chlorite. The types and dosages of collectors, inhibitors and sulfuric acid were optimized. Using the combination of sulfuric acid, EMA and MOH, a five-time titanium concentration process was obtained, including iron removal by magnetic separation, flotation desulfurization, one rough selection and one sweep selection. Under the optimal conditions, a good index of titanium concentrate yield of 25.18%, TiO2 grade of 46.48% and recovery of 71.31% can be obtained in the closed circuit test, which provides a technical reference for the recovery of ilmenite from iron separation tailings in Panxi mining area.
Study on the difference of iron separation between Indonesian beach placer and Panxi vanadium-titanium magnetite
Wang Hongbin, Liu Zhixiong, Zhu Yongtao, Chen Bi, Zhang Wang
2022, 43(3): 84-90. doi: 10.7513/j.issn.1004-7638.2022.03.014
Abstract(730) HTML (202) PDF(55)
Abstract:
An experimental study on iron separation of Indonesian beach placer and Panxi vanadium titanomagnetite was carried out by comparing the dry-cast tailings of a vanadium titanomagnetite from Panxi. The results show that the technological process of iron separation for Indonesian beach placer is simpler than that for Panxi vanadium titanomagnetite, and the processing cost of Indonesian iron concentrate is estimated to be about 80 yuan/t lower than that of Panxi concentrate. The S content of Indonesian iron concentrate is 0.042%, which can reduce the cost of smelting and desulfurizing. The titanium is of no use in the tailings of the Indonesian seashore placer, and the Cl content of Indonesian iron concentrate is 0.012%, so the corrosion of the blast furnace should be paid special attention to. The research results will provide data support and technical support for the future utilization of the coastal placer resources in Indonesia.
Experimental study on comprehensive recovery of a beach placer ore abroad
Liang Taomao, Yang Zhaojun, Zhong Senlin, Hong Qiuyang, Wu Chengcai, Wang Fengyu, Zhang Chaoda
2022, 43(3): 91-97. doi: 10.7513/j.issn.1004-7638.2022.03.015
Abstract(572) HTML (175) PDF(31)
Abstract:
There is a beach placer ore abroad, which is rich in ilmenite, zircon, monazite and other valuable minerals. Oxidation alteration of ilmenite and some contaminated zircon surface with iron change the magnetic and electrical properties of the minerals, which makes it difficult to separate. In view of the complex characteristics of raw ore, a process of sieve and one rough-one sweep with spiral chute was carried out to enrich the heavy minerals in a 23.78% yield concentrate, in which the grade of Fe, TiO2, REO and Zr(Hf)O2 were 25.76%, 43.73%, 0.44%, 2.83%, while the recovery were 93.70%, 93.11%, 78.32%, 93.64%, respectively. Based on the heavy minerals concentrate, a process including low-intensity magnetic separation of iron, then one rough one fine and one sweep with high-intensity magnetic separation (WHIMS) was applied to separate ilmenite and enrich monazite. Part of stronger magnetic ilmenite was separated in WHIMS final concentrate, monazite and another part of weaker magnetic ilmenite in WHIMS middling were separated by a process of table separation, dry magnetic separation and high-tension separation. Zircon in WHIMS tailings was separated by a process of table separation and then high-tension separation for impurities removal of rough zircon concentrate. The separation of magnetite concentrate, ilmenite concentrate, monazite concentrate and zirconium concentrate were finally achieved. The total TiO2, REO and Zr(Hf)O2 recovery rate of heavy minerals concentrate were 99.16%, 67.71% and 89.56% respectively. The comprehensive recovery of valuable minerals was realized. This research could be a reference for the exploitation of similar beach placer ores.
Experimental study on beneficiation of a foreign primary ilmenite ore
Zhong Senlin, Xie Baohua, Wang Fengyu, Liang Taomao, Zhang Chaoda
2022, 43(3): 98-103. doi: 10.7513/j.issn.1004-7638.2022.03.016
Abstract(605) HTML (238) PDF(48)
Abstract:
A primary ilmenite ore from overseas has a TiO2 grade of 8.23% and a Fe2O3 grade of 16.47%. The mainly titanium-containing minerals contain ilmenite, a small amount of rutile and sphene, and a trace amount of titanium-containing magnetite. The gangue minerals are mainly hornblende and feldspar, followed by chlorite, flogopite, quartz and kaolinite. There exist complex embedded relationship among the valuable minerals and fine disseminated grain size of ilmenite. Ilmenite and magnetite inclusions are contained in hornblende resulting in enhancing the magnetism of hornblende, which is not conducive to the magnetic separation of the ilmenite. In this paper, a flow chart of magnetic separation-rougher concentrate regrinding-flotation was adopted to obtain ilmenite concentrate with a TiO2 grade of 47.41% as well as a recovery of 50.32%.
Research and industrial practice on improving quality and reducing impurities of Baima vanadium-titanium magnetite
Liu Zhixiong
2022, 43(3): 104-110. doi: 10.7513/j.issn.1004-7638.2022.03.017
Abstract(531) HTML (191) PDF(44)
Abstract:
In order to further improve the grade of vanadium-titanium-iron concentrate and realize the policy of blast furnace concentrate, the process mineralogy of vanadium-titanium magnetite concentrate produced by a concentrator in Baima mining area of Panxi was studied. It is pointed out that the presence of guest minerals in titanomagnetite affects the theoretical grade of iron concentrate, which is the main reason why it is difficult to improve the grade of vanadium titanomagnetite concentrate. Through laboratory and industrial tests, it is proposed that the content of SiO2, MgO and Al2O3 in iron concentrate can be effectively reduced by increasing the grinding fineness for deep separation, and the grade of iron concentrate can be further improved. The research results have been applied to a concentrator in Baima mining area and the grade of V-Ti-Fe concentrate has been increased from 55% to over 57%, thus effectively increasing the supply and maintenance capacity of high-grade V-Ti-Fe concentrate in smelting system, improving the economic benefit of the whole steel production line, which provides a technical route for improving the grade of vanadium-titanium magnetite concentrate in Panxi area.
Study on beneficiation process of a low grade ilmenite in Panxi
Yang Daoguang
2022, 43(3): 111-117. doi: 10.7513/j.issn.1004-7638.2022.03.018
Abstract(1084) HTML (494) PDF(61)
Abstract:
The TiO2 content of a low grade ilmenite in Panxi is 6.15% and its mineral composition is complex. In order to fully recover ilmenite, mineral processing experiments were carried out. According to the occurrence state and particle size distribution characteristics of titanium, the combined technological processes of pre-tail dumping by strong magnetic separation, quality improvement by gravity separation, iron removal by fine grinding and low intensity magnetic separation, reverse flotation desulfurization and one roughing-one scavenging-two cleaning titanium flotation were formulated. The effects of magnetic induction intensity, magnetic medium size, pulsating stroke, grinding concentration, grinding time, flotation regulator and collector dosage were studied. The experimental results show that after the ore dressing test is carried out by the process of "one strong magnetic throwing tail-two segment redressing-grinding-removing iron-flotation", the TiO2 grade of 48.22% and the recovery rate of 35.19% can be obtained. The main useful mineral in the ore is ilmenite, which has been effectively recovered.
Ferrous Metallurgy and Materials
Study on high temperature properties and optimal ore blending of Pangang iron ore powder
Hu Peng, Tang Wenbo, Huang Chu, Rao Jiating, Yang Mingrui
2022, 43(3): 118-124. doi: 10.7513/j.issn.1004-7638.2022.03.019
Abstract(714) HTML (295) PDF(49)
Abstract:
The results from micro sintering test on high temperature properties of Pangang iron ore power show that the assimilation temperature of high V-Ti magnetite used in Pangang exceeds 1 320 ℃, while the liquid phase fluidity index is only 0.1 and the bonding phase strength is greater than 3 500 N. It is necessary to improve the performance of sinter blending by optimizing ore blending. Therefore, the ore blending was optimized based on high temperature performance, and the sintering verification tests had been conducted. It is found out that the content of TiO2 has a great influence on the high temperature sintering properties of iron ore powder. When TiO2 content decreases from 7.0% down to 3.0%, the assimilation temperature of mixed ore decreases from 1 305 ℃ to 1 280 ℃, the liquid phase fluidity index is increased from 0.42 to 0.78, and the bonding phase strength decreases from 2 640 N to 1 915 N. The sinter yield, drum strength, and medium and low temperature properties are significantly improved. During the sintering process, the calcium titanium mineral phase with dense structure and high melting point formed by the reaction of TiO2 and CaO decreases, and the calcium ferrite phase increases.
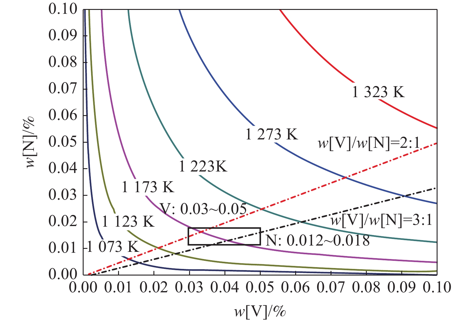
Microstructure and hardenability of vanadium microalloyed high temperature carburized SCM420H gear steel
Liu Nianfu, Hu Tao, Tian Qianren, Wang Gaofeng, Fu Jianxun
2022, 43(3): 125-131. doi: 10.7513/j.issn.1004-7638.2022.03.020
Abstract(780) HTML (327) PDF(49)
Abstract:
The high-temperature carburized SCM420H gear steel was modified with vanadium microalloying, and the structure and hardenability of the steel were studied. The results show that the V and N contents in SCM420H gear steel should be controlled within the range of 0.03%~0.05% and 0.012%~0.018%, respectively. MN (M=Ti,V) precipitates at 966 ℃ and transforms into M(C,N) at 559 ℃. The mass percentage of M(C,N) approximates 0.049%. The heating temperature is controlled at 1200 ℃±20 ℃, and the heating time is controlled within 120 minutes in the preheating section (from room temperature to about 850 ℃). After high temperature carburizing and holding at 940~980℃ for 6 hours, the banded structure of bar steel is controlled at 1.5 to 2 level, and the austenite grain size is at ASTM 7.5 to 8. M (C,N) is mainly nano-seized spherical V (C,N) which can pin grain boundaries and refine austenite grains. Under the following casting parameters: the electromagnetic stirring intensity parameters of the continuous casting mold are adjusted to 150 A, 2.5 Hz, the casting speed is at 0.85 m/min, the casting superheat is 15 to 30 ℃, the deviation value of carbon content can be controlled at 0.01% which is beneficial to narrowing control of hardenability. After vanadium microalloying, the maximum hardenability value(HRC) of the sample is 37, the minimum is 35, and the hardenability bandwidth(HRC)is not greater than 3.
Investigation on the effects of V and Ti on continuous cooling transformation behaviour of weathering steel
Cui Kaiyu, Li Zhengrong, Zhao Zhengzhi, Ye Xiaoyu, Wang Chuangwei, Zhang Kaihua, Hu Yunfeng, Xiong Xuegang
2022, 43(3): 132-138. doi: 10.7513/j.issn.1004-7638.2022.03.021
Abstract(602) HTML (271) PDF(29)
Abstract:
Continuous cooling transformation thermal simulation experiment of weathering steel with various V or Ti contents was conducted, and effects of cooling rate and V or Ti element on microstructure transformation and property of weathering steel were investigated. When V content increases from 0.03% to 0.07%, the martensite-start temperature increases 25 ℃, thereby promoting martensitic phase transformation. When Ti content increases from 0.03% to 0.10%, the bainitic phase transformation region expands, and the cooling rate with which bainite transformation starts decreases, thereby promoting bainitic phase transformation; meanwhile, martensite-start temperature decreases 22 ℃, and martensite-finish temperature increases 18 ℃, inducing martensitic phase transformation region shrinks, thereby restraining martensitic phase transformation. With the cooling rate increasing, HV0.2 hardness increases. HV0.2 hardness is mainly affected by the size and morphology of metallographic structure but fewer affected by second phase precipitates of V or Ti.
Effect of titanium content on the microstructure and mechanical properties of 0.17C-0.30Si-1.40Mn steel
Liu Yangchun, Bai Fengxia, Xu Bin, Zhang Yunhe, Li Bei, Zhang Shilong
2022, 43(3): 139-145. doi: 10.7513/j.issn.1004-7638.2022.03.022
Abstract(485) HTML (274) PDF(29)
Abstract:
0.17C-0.30Si-1.40Mn steels with different titanium contents were prepared by smelting process. After hot rolling into hot-rolled coils, samples were taken for mechanical property test and metallographic structure inspection. Thin-film samples were made by the carbon replica extraction method for transmission electron microscope observation. The effect of titanium content on the microstructure and mechanical properties of 0.17C-0.30Si-1.40Mn steel was studied. The results show that the strength evolution corresponds to the Ti content (from 0 to 0.073%). The strength increases slowly when the Ti content is less than 0.020%, subsequently the strength increases significantly when the Ti content is 0.021%-0.038%, finally, the strength increases slowly again when the Ti content is more than 0.038%. The more titanium is added into 0.17C-0.30Si-1.40Mn steel, the more the elongation and impact energy decrease. Titanium has little effect on the microstructure of 0.17C-0.30Si-1.40Mn steel and can only slightly reduce its grain size. A small amount of Ti(N, C) and Ti4C2S2 particles of large size can be precipitated in 0.17C-0.30Si-1.40Mn steel, which weakly plays a fine-grain strengthening; however, a large number of fine TiC particles can be precipitated in the steel, resulting in strong precipitation strengthening effect. It is found that the influence of titanium content on the mechanical properties of low carbon manganese steel is also related to the carbon content in the steel. The two inflection points of the curve about strength transformation with titanium content also vary with different carbon content in the steel. Thereby restraining martensitic phase transformation.
Influence of vanadium-microalloying on microstructure and property of 5CrNiMo die steel
Zhang Yuping, Wei Guangzhen, Wang Menghan
2022, 43(3): 146-151. doi: 10.7513/j.issn.1004-7638.2022.03.023
Abstract(606) HTML (210) PDF(26)
Abstract:
5CrNiMoVx (x = 0, 0.1, 0.2, 0.3, 0.4, 0.5) with different vanadium contents were prepared by adding different amounts of alloying element vanadium into the 5CrNiMoV die steel. The microstructure of the sample was analyzed by optical and scanning electron microscopes, and the hot cracking resistance and high temperature wear resistance of the sample were tested. The results show that the addition of vanadium helps refine the microstructure of 5CrNiMo die steel and improves its hot cracking resistance and high temperature wear resistance. With the increase of vanadium content, the microstructure of die steel samples is refined first and then coarsened, and the hot cracking resistance and high temperature wear resistance are improved first and then decreased. When the vanadium content is 0.3%, the crack length and wear volume of 5CrNiMoVx die steel are reduced by 3.4 mm and 16×10−3 mm3, respectively. The optimum vanadium content of 5CrNiMoVx (x = 0, 0.1, 0.2, 0.3, 0.4, 0.5) die steel sample is x = 0.3%.
Thermodynamic study on effect of TiO2 addition on Al and Ti distribution during electroslag remelting of Incoloy825
Ju Jiantao, Wang Huayong, Zhu Zhihong, Yang Kangshuai, Gu Yue
2022, 43(3): 152-160. doi: 10.7513/j.issn.1004-7638.2022.03.024
Abstract(469) HTML (205) PDF(32)
Abstract:
To investigate the variation of elements in ingots produced by electroslag remelting in low-fluorine slag system, based on Incoloy825 different contents of TiO2 and deoxidizer were added into slag to carry out four sets of electroslag remelting experiments. A thermodynamic model was established based on the Ions and Molecule coexistence Theory (IMCT), thermodynamics theory and the mass conservation law to control Al and Ti contents. It is found out that increasing TiO2 addition into the slag brings increasing Ti content and declined Al content in ingots, which is attributed to exchange reaction of 4Al+3TiO2=3Ti+2Al2O3, but slight changes of Si and Mn contents. When the TiO2 content remains constant, the Al and Ti contents increase along the height of ingots, while Si and Mn contents decrease. When the $ \mathrm{l}\mathrm{g}({a}_{{\mathrm{A}\mathrm{l}}_{2}{\mathrm{O}}_{3}}^{2}/{a}_{\mathrm{T}\mathrm{i}{\mathrm{O}}_{2}}^{2}) $ in slag is at −3.16 in combination with addition of Al deoxidizer, the obtained product can achieve uniform Al and Ti distribution. The predicted model shows good agreement with experimental results.
Study of carbide evolution in a 6Cr13Mo stainless steel
Song Lingxi, Zheng Huaibei, Yang Yaguang, Wang Yinghu
2022, 43(3): 161-166. doi: 10.7513/j.issn.1004-7638.2022.03.025
Abstract(628) HTML (235) PDF(26)
Abstract:
Thermo-Calc thermodynamic software was used to calculate the phase diagram of 6Cr13Mo stainless steel. The heating, cooling, and solidification processes of 6Cr13Mo stainless steel were simulated via an ultra-high temperature confocal microscope, and the evolution of carbide was observed and analyzed. The results show that the room temperature microstructure of 6Cr13Mo stainless steel calculated by phase diagram is ferrite and M23C6 type carbides. During the solidification process, the components undergo solidification segregation. The composition system changes into the hypoeutectic steel system when the content of C in the liquid phase reaches about 1%, and M7C3 type carbides precipitate directly from the liquid phase while austenite precipitates. During the heating process, the carbide first increases and then decreases with the increase in temperature. During the cooling process, the carbide gradually increases with the decrease of temperature and reaches a peak at 800 ℃. During the solidification process, the number of M7C3 decreases, and the morphology changes with the increase in the solidification rate.
Evolution of inclusions in IF steel during continuous casting process
Hao Xiaoshuai, Bai Xuefeng, Sun Yanhui, Guo Zhijie, Zeng Jianhua, Zhang Min, Wu Chenhui
2022, 43(3): 167-175. doi: 10.7513/j.issn.1004-7638.2022.03.026
Abstract(493) HTML (331) PDF(38)
Abstract:
The evolution of inclusions in steel of the continuous casting process of IF steel produced by a plant was studied by systematically sampling including molten steel and casting billet. The methods of analysis mainly include analysis of total oxygen and nitrogen content, ASPEX scanning electron microscope-spectrometer and thermodynamic calculations. The results show that the content of total oxygen in steel during continuous casting process presents a total decreasing trend. But there is a secondary oxidation of molten steel by covering agent or resistant material at the opening stage of tundish. The composition of covering agent or lining should be adjusted appropriately, so as to make the content of T.O and [N] in casting slab is 12×10−6 and 21×10−6, respectively, which meet the control requirements of IF steel. The trend of the number density of inclusions in steel during the continuous casting process is consistent with the trend of total oxygen content. The increase of the number density of inclusions in slab is subject to TiN precipitation during solidification and cooling. The number density of inclusions in the molten steel in the tundish injection area is lower than that in the pouring area during the entire tundish process, whose size is larger. With the pouring, the content of MgO of inclusions in the molten steel of tundish gradually increases, and shows a negative correlation with the size, and the inclusions larger than 10 μm are concentrated in the area with high Al2O3 content. Thermodynamic calculation results show that the stable inclusion phase in the molten steel at 1 600 °C is only Al2O3, but some Al2O3−TiOx inclusions are found in the experimental results, which is due to the addition of titanium alloys in the RH refining process causing the local Ti concentration to be too high, which provides conditions for the formation of TiOx and Al2O3−TiOx. There are TiS-containing inclusions in slab, including pure TiS inclusions and composite inclusions of Al2O3−TiS and TiS-TiN, and the size of such inclusions decreases with the increase of mass fraction of TiS.
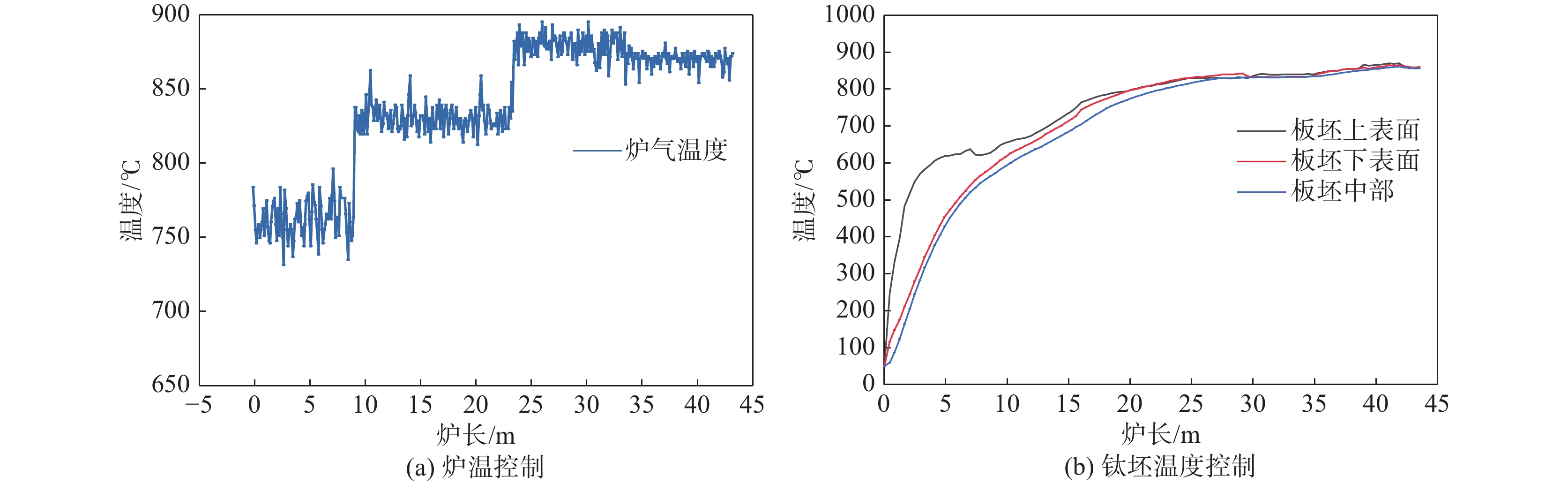
Research on multi-condition synchronous heating of titanium billet in large billet heating furnace
Guo Hong
2022, 43(3): 176-184. doi: 10.7513/j.issn.1004-7638.2022.03.027
Abstract(553) HTML (177) PDF(26)
Abstract:
Titanium is widely used in national defense and civil fields due to its various excellent properties. In order to continuously produce large coils of heavy titanium strip with high efficiency and low cost, conventional hot tandem rolling production lines for co-linear production of titanium, titanium alloys and steel are the development trend. For steel-titanium co-linear rolling of hot-rolled titanium coil, reheating is the key step. Based on the 1 450 mm hot strip rolling line, in order to solve the problems of low efficiency and high energy consumption of titanium coils, a solid model of the billet heating furnace through ANSYS finite element had been developed to analyze the fluid conditions in the furnace through Fluent simulation calculation. The temperature distribution of titanium slab at different stages in the reheating furnace under optimal air-fuel ratio had been studied. The technology of synchronously reheating titanium billets in large billet reheating furnaces had been well established from this research and successfully been used to achieve efficient and high-quality production of titanium coils.
Effect of tempering time on hydrogen embrittlement sensitivity of martensitic steel
Ye Gaoqi
2022, 43(3): 185-190. doi: 10.7513/j.issn.1004-7638.2022.03.028
Abstract(532) HTML (239) PDF(39)
Abstract:
The effect of annealing time on the hydrogen embrittlement sensitivity of martensitic steel was studied by slow strain rate tensile and hydrogen permeation tests. The results show that the hydrogen embrittlement sensitivity decreases first and then increases with the extension of tempering time. When the tempering time is 4 h, the hydrogen embrittlement sensitivity index reaches the lowest value. The reason is that when the tempering time is less than 4 h, a large number of carbide precipitates can effectively capture hydrogen atoms, which reduces the effective hydrogen diffusion coefficient and hydrogen embrittlement sensitivity. However, when the tempering time is longer than 4 h, the carbide coarsens and grows up, which weakens the trapping effect on hydrogen atoms, increases the effective hydrogen diffusion coefficient and enhances the sensitivity to hydrogen embrittlement.
Research and development of low-cost light gauge L485M pipeline steel
Xu Haijian, Guo Cheng, Gao Hong, Ren Yi, Qiao Xin, Sha Xiaochun
2022, 43(3): 191-196. doi: 10.7513/j.issn.1004-7638.2022.03.029
Abstract(452) HTML (189) PDF(22)
Abstract:
Effects of heating temperature, rolling process, and cooling rates on microstructure variation and mechanical properties for low-cost L485M were studied. The results show that the austenite grains grow continuously with increasing temperatures. The average austenite grains can be controlled within 50 μm by maintaining the heating temperature below 1200 ℃. The grains can be refined by increasing the thickness of the intermediate slab to enhance the cumulative reduction rates and increase the number density of precipitates. Eventually, the cooling rate is improved, which inhibits pro-eutectoid ferrite transformation and promotes the formation of ultrafine granular bainite and acicular ferrite. In addition, the microstructure of investigated steel consists of acicular ferrite and granular bainite at the cooling rate of 25 ℃/s, which was beneficial to improving the strength and toughness of steel. The L485M grade pipeline steel satisfies the requirements of the technical agreements, which can provide a route to produce the low-cost L485M plates. A batch of L485M plates without Mo addition was steadily produced in Ansteel Company.