Current Articles

2025, Volume 46,  Issue 6

2025, (6): 1-4.
Abstract(410) HTML (208) PDF(12)
Abstract:
Technical Review
Reflections on the transformation and developments of the comprehensive utilization of vanadium–titanium resources in Panxi
JIANG Tao, GUO Yufeng, LI Guanghui, CHEN Feng, WANG Shuai, YANG Lingzhi, LI Zhaoxiang, REN Yuqiao, WEN Yuekai, ZHENG Yu, LI Guang, ZHANG Yixi
2025, 46(6): 1-19. doi: 10.7513/j.issn.1004-7638.2025.06.001
Abstract(521) HTML (254) PDF(28)
Abstract:
Iron-vanadium-titanium resources are globally recognized as strategic mineral resources and of critical importance to national defense, economic development, and technological advancement. The Panxi region, hosting China’s largest and a world-significant iron-vanadium-titanium resource base, has established a complete industrial chain for these metals. However, it still faces challenges such as low comprehensive utilization rates of vanadium and titanium, an insufficient share of high-end products, high energy consumption in production, and significant solid waste generation. Focusing on the efficient and clean utilization of vanadium-titanium resources in the Panxi region, this paper systematically analyzes the current state of resource utilization and proposes key directions for transformation and upgrading. These directions encompass five major aspects: technological and process innovation, product iteration and upgrading, utilization of clean energy, strengthening of solid waste management, and reengineering of beneficiation and metallurgical process flows. The proposed strategies aim to promote the efficient, high-value, green, and intelligent development of China’s vanadium and titanium industry. Such progress will contribute to achieving the national “dual-carbon” goals and ensure the secure supply of iron-vanadium-titanium resources and related raw materials for the country.
Global vanadium industry development report in 2023-2024
WU You, CHEN Donghui, LIU Wuhan, ZHANG Bangxu, HE Rui
2025, 46(6): 20-28. doi: 10.7513/j.issn.1004-7638.2025.06.002
Abstract(432) HTML (135) PDF(36)
Abstract:
This article examined the overall status of the vanadium industry from 2023 to 2024, covering global vanadium resources, products, production capacity, output, supply and demand, import and export trade, and market prices. Based on the current domestic and international industry trends, it provides an outlook for the vanadium market, suggesting that the global vanadium industry has entered a new phase of transformation and development. China should develop and utilize vanadium-a key strategic metal mineral resource-in a scientific, efficient, and well-ordered manner, and proactively plan a green and low-carbon development pathway for the vanadium sector. In the coming years, China is expected to remain the world's largest vanadium market in terms of both supply and demand. Globally, vanadium prices are likely to consolidate and readjust within a certain range under the influence of multiple regulatory factors. Vanadium battery energy storage is set to become one of the key enablers supporting the safe and stable integration of new energy.
Separating and Extracting of Vanadium and Titanium
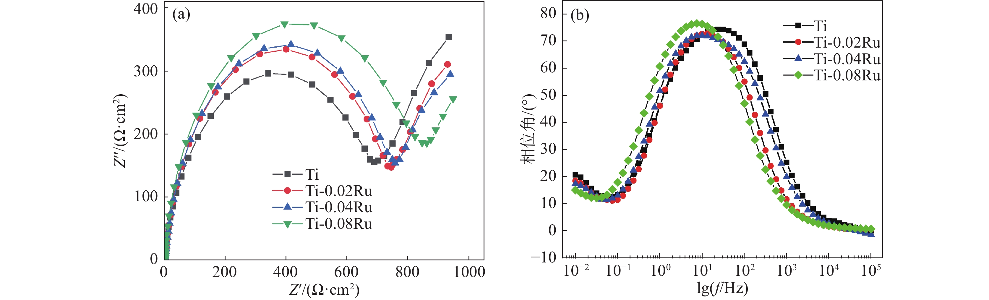
Efficient metallurgical extraction of vanadium slag: Experimental phase diagram study and thermodynamic modeling of Na2O-K2O-V2O5 system
PEI Guishang, Sammpath Kumar BHARATH, LI Zhuoyang, JIAO Mengjiao, XIANG Junyi, YAN Zhiming, LÜ Xuewei
2025, 46(6): 29-39, 65. doi: 10.7513/j.issn.1004-7638.2025.06.003
Abstract(344) HTML (188) PDF(21)
Abstract:
Accurate and reliable thermodynamic databases are of significance for optimizing vanadium extraction and synthesizing vanadate materials. This study employed sealed platinum crucibles combined with X-ray diffraction (XRD) and differential thermal analysis (DTA) to confirm the presence of K3V5O14 in the K2O-V2O5 system, melting temperature of K2V8O21 and KVO3 were also determined as 532.4 ℃ and 516.5 ℃, respectively. Modified Quasichemical Model (MQM) was adopted, incorporating short-range ordering of second-neighboring cations in solution to describe changes in Gibbs free energy of solution phases. Thermodynamic model for the Na2O-K2O-V2O5 system was then developed in the framework of CALPHAD (Calculation of Phase Diagrams) methodology, reproducing experimental data across the entire composition range of the system. A self-consistent set of thermodynamic parameters for all phases in the system was obtained, ultimately establishing a reliable thermodynamic database. Furthermore, the developed database was applied to optimize sodium-roasting of vanadium slag at elevated temperatures, clarifying the phase evolution of vanadium-containing phases and identifying optimal operating temperature windows.
Efficient metallurgical extraction of vanadium slag: Sodium-magnesium composite roasting vanadium extraction process
CAO Shuai, XIANG Junyi, HUANG Qingyun, SHEN Biao, HE Wenyi, WEI Linsen, LÜ Xuewei
2025, 46(6): 40-46. doi: 10.7513/j.issn.1004-7638.2025.06.004
Abstract(384) HTML (104) PDF(14)
Abstract:
Alkaline earth metals can easily form water-insoluble calcium/magnesium vanadates during sodium roasting of vanadium slag, leading to a decrease in vanadium recovery rate. However, the moderate MgO addition facilitates the formation of a highly soluble sodium-magnesium vanadate (Na6Mg2V4O15). Based on this discovery, we propose an innovative sodium-magnesium composite roasting process for the vanadium extraction from vanadium slag. Experimental results reveal that Na6Mg2V4O15 exhibits superior dissolution performance under the alkaline leaching conditions (pH~11) of the typical sodium-roasted vanadium slag. The highest vanadium leaching efficiency of 85.30% is obtained under the conventional sodium roasting conditions (20% Na2CO3 dosage, 875 ℃). By using the composite roasting process with 3% MgO addition, the Na2CO3 dosage is reduced to 18% and the leaching rate is increase to 90.38%. Phase composition analysis of the roasted samples and leached residues indicates that composite roasting promotes the formation of sodium-magnesium vanadate and its subsequent dissolution. This cost-effective strategy of partially substituting sodium salts with magnesium salts provides a novel approach for optimizing conventional sodium roasting processes, leading to the reduction of costs and increase of efficiency in the sodium vanadium extraction process.
Collaborative control of impurities in preparation of high-purity ammonium metavanadate by transition method
JIA Meili, WANG Baohua, DU Hao, HU Feifei, LIU Jinyu, QI Jian, ZHAO Beibei
2025, 46(6): 47-56. doi: 10.7513/j.issn.1004-7638.2025.06.005
Abstract(310) HTML (130) PDF(26)
Abstract:
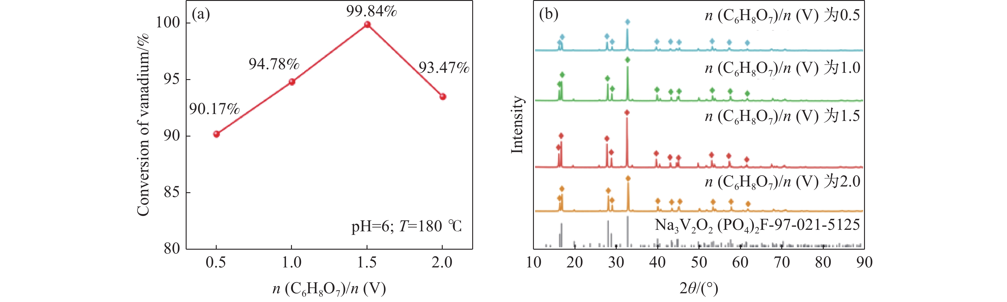
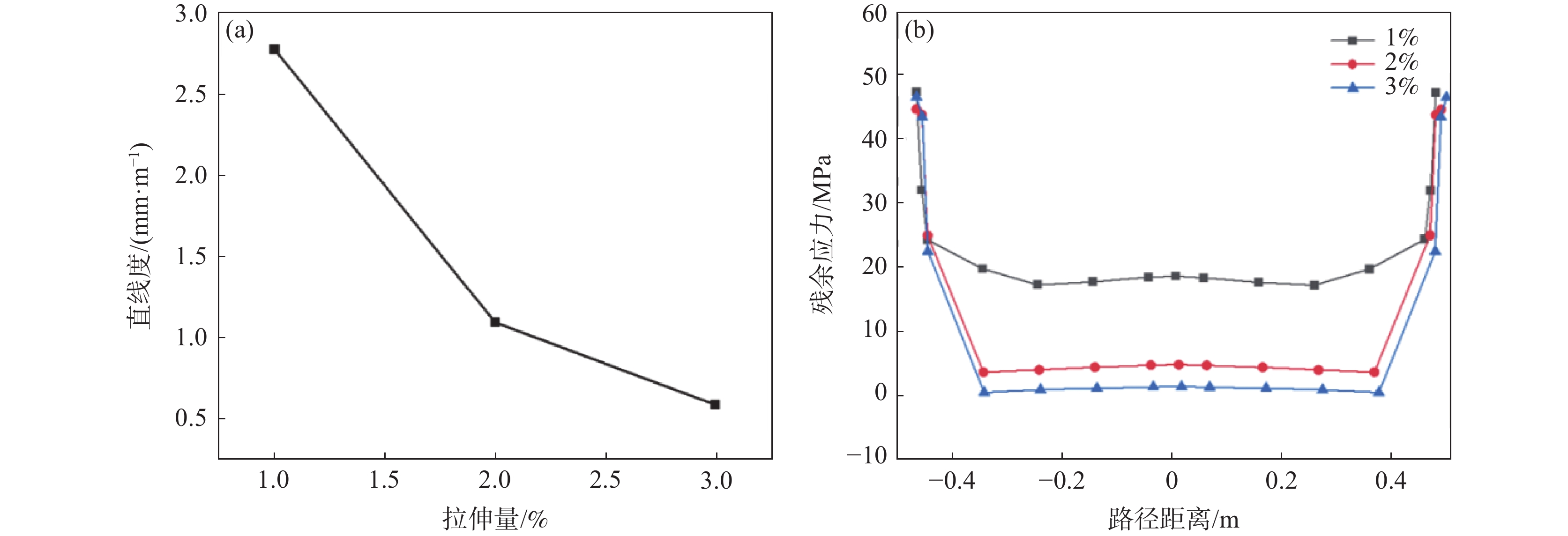
In response to the issues of lengthy process and high cost associated with traditional ammonium metavanadate preparation methods, this study proposes an innovative approach based on the pH-dependent speciation transformation characteristics of vanadate ions. By precisely controlling the pH of the medium, direct conversion of decavanadate (V10O286−) to metavanadate (VO3) was achieved. During this process, impurity elements (Na, K, Cr, As) were effectively removed through their transformation into ionic forms (Na+, K+, CrO42−, HAsO42−) in the solution phase, enabling simultaneous impurity control in ammonium metavanadate preparation. The effects of transformation temperature, pH, and liquid-to-solid ratio on vanadium recovery and product purity were systematically investigated. Experimental results demonstrated that complete conversion of V10O286− to VO3 could be achieved at pH monstrated that complete conversiwere found to favor the crystallization of ammonium metavanadate, thereby enhancing vanadium recovery. While increasing the liquid-to-solid ratio improved conversion efficiency, excessive ratios led to reduced vanadium recovery and resource wastage. Through optimization experiments, the optimal process parameters were set: reaction temperature of 30 ℃, pH of 8.5, and liquid-to-solid ratio of 7–10. Under these conditions, industrial-grade ammonium decavanadate with 98% purity was directly converted to crystallized ammonium metavanadate, yielding a product with 99.75% purity and achieving a vanadium recovery rate of 90.67%. This method successfully realized one-step preparation of ammonium metavanadate with purity of 99.5%. This method significantly simplifies the traditional process flow and provides a new technical approach for the efficient preparation of high-purity ammonium metavanadate.
Multi-component leaching behavior and influence rule of calcified vanadium slag in acid leaching process
YU Tangxia, WEN Jing, PING Xinhao, JIANG Tao, ZHANG Lin, LI Yuepeng, YANG Xiong
2025, 46(6): 57-65. doi: 10.7513/j.issn.1004-7638.2025.06.006
Abstract(264) HTML (181) PDF(10)
Abstract:
The effects of MFe content in vanadium slag, Ca/V molar ratio (n(CaCO3)/n(V2O3)), roasting temperature, and leaching pH on the leaching behavior of vanadium (V) and impurities (Mn, Fe, Cr, Mg, Ti, Si) were systematically investigated. The results show that V leaching efficiency can reach 91.68% under a condition of low MFe content, a Ca/V molar ratio of 1.0, roasting temperature of 900 ℃, and leaching pH of 2.8. The leaching efficiencies of Mn and Mg exhibit a similar trend: decreasing with the increase of MFe content or Ca/V ratio; being relatively stable at approximately 38% and 20%, respectively, in the roasting temperature range of 800-950℃ and leaching pH range of 2.2-3.0. Fe leaching efficiency correlates directly with MFe content and is suppressed by high roasting temperatures and high leaching pH; it is minimally affected by the Ca/V ratio and remains below 0.04%. The leaching efficiencies of Cr, Ti, and Si all decrease with the increase of MFe content or roasting temperature; Cr leaching rate remains unaffected by the changes in the Ca/V ratio, while those of Ti and Si increase with a higher Ca/V ratio. Regarding leaching pH: Si leaching efficiency decreases with the increase of pH, and Ti leaching efficiency decreases, while Cr leaching efficiency remains stable at around 0.1%.
Study on vanadium precipitation by tetraethylammonium bromide at room temperature
ZHANG Lei, CHEN Yan, WU Jinshu, LIU Shiyuan, GAO Leizhang, YU Bin, WANG Ning
2025, 46(6): 66-71. doi: 10.7513/j.issn.1004-7638.2025.06.007
Abstract(201) HTML (121) PDF(10)
Abstract:
A study of vanadium precipitation at room temperature from vanadium leaching solution obtained from calcination roasting and acid leaching was carried out using tetraethylammonium bromide (TEAB) as the precipitation agent. The effects of the pH of the reaction solution, the dosage of the vanadium precipitation agent, and the precipitation time on the vanadium precipitation rate and the impurity content in the precipitate were studied. The optimal experimental conditions were obtained as pH = 2.4, the dosage of vanadium precipitation agent, n(TEAB): n(V) = 0.5, and the vanadium precipitation time of 0.5 h. Under these conditions, the vanadium precipitation rate was 97.1%, and the contents of impurities Mn, Si, and P in the precipitate were controlled at a relatively low level. The precipitate obtained by vanadium precipitation with TEAB at room temperature was calcined at 550 ℃ for 3 h, producing V2O5 product that meets the industry standards.
Study on enhancement of acidolysis rate in ultrafine-grade titanium concentrate
WU Jianchun
2025, 46(6): 72-77, 89. doi: 10.7513/j.issn.1004-7638.2025.06.008
Abstract(171) HTML (118) PDF(9)
Abstract:
Utilizing ultrafine-grade titanium concentrate as the raw material, this study investigated the key factors influencing its acidolysis efficiency by comparative analysis of the differences in particle size distribution, chemical composition, and phase composition between ultrafine and conventional-grade concentrates. Acidolysis process optimization was subsequently conducted. The results indicate that the phase structure of the ultrafine-grade titanium concentrate shows no significant difference from the conventional-grade titanium concentrate, with ilmenite being the dominant phase in both. However, the ultrafine-grade titanium concentrate exhibits significantly higher carbon (C) and phosphorus (P) contents. Under the standard acidolysis conditions, the acidolysis rate of the ultrafine-grade titanium concentrate was 3-4 percentage points lower than that of the conventional-grade titanium concentrate. This reduction is primarily attributed to the higher dosage of flotation reagents used during the beneficiation of the ultrafine material, which forms a dense film layer on the particle surfaces, significantly increasing the diffusion resistance of sulfuric acid into the particle interior. The study found that employing chemical intensification measures, such as increasing the reaction acid-to-ore ratio and elevating the reaction acid concentration, effectively disrupts this flotation reagent film layer, thereby substantially enhancing the acidolysis rate. The optimized acidolysis conditions were determined as follows: reaction acid concentration of 85%-86% and acid-to-ore ratio of 1.56-1.58. Under these conditions, the acidolysis rate of the ultrafine-grade concentrate reached up to 96% or higher.
Application of Vanadium and Titanium
Preparation of high-purity vanadium metal by molten salt synergistic magnesiothermic reduction
YU Jie, ZHONG Dapeng, HUANG Qingyun, XU Haiming, XIANG Junyi, YU Wenhao, LÜ Xuewei
2025, 46(6): 78-83. doi: 10.7513/j.issn.1004-7638.2025.06.009
Abstract(370) HTML (269) PDF(12)
Abstract:
The conventional metallothermic reduction process for vanadium production suffers from high metal consumption, elevated costs, and high oxygen content in the resulting metallic vanadium. While magnesium reduction is thermodynamically capable of reducing oxygen content to 0.01%, the formation of an MgO/MgV2O4 oxide layer severely impedes the reaction kinetics during the actual process. This study innovatively proposes a novel two-step process: “synergetic magnesiothermic reduction by hydrogen reduction-molten salt.” Firstly, low-valent vanadium oxides (V2O3, VO) are prepared via hydrogen reduction to serve as the feedstock for the magnesiothermic reduction step. Subsequently, reactive ZrCl4-KCl molten salt is employed as a medium to disrupt the oxide layer encapsulation effect and overcome the kinetic limitations. This enables the simultaneous magnesium reduction of vanadium oxides and interfacial purification of the oxide layer at a lower temperature. Following optimization of process parameters (Mg addition: 35%, reaction time: 1 h, temperature: 800 ℃), high-purity metallic vanadium with an oxygen content of approximately 0.16% was successfully produced.
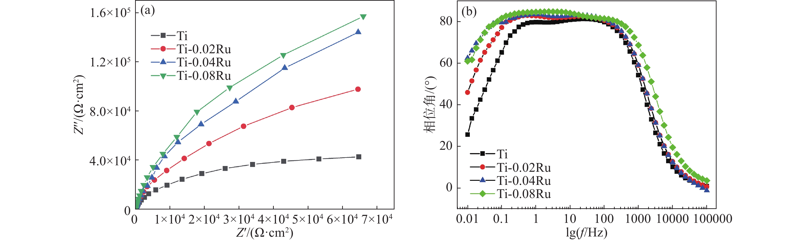
Study on the hydride precipitation orientation in Ti-2Al-2.5Zr titanium alloy
GUO Nan, ZHANG Jiahao, XU Qi, ZHANG Hengquan, WANG Zeming, CHEN Jiahao, YAO Lifu
2025, 46(6): 84-89. doi: 10.7513/j.issn.1004-7638.2025.06.010
Abstract(193) HTML (97) PDF(8)
Abstract:
In this paper, the effects of hydrogen content on the microstructure and hydride precipitation orientation in Ti-2Al-2.5Zr titanium alloy were investigated. The results showed that after high-temperature gas-phase hydrogen charging (mass fraction: 0.01%、0.05%), δ-phase hydrides were formed within the alloy matrix. With the increase of hydrogen content, the size and density of hydrides gradually increased. The hydrides exhibited an orientation relationship of {0001}α//{$ {1\bar {1} 1}$}δ, <$ {1\bar {2}10} $>α//<110>δ. Lattice expansion caused by hydride precipitation generated numerous dislocations in both the surrounding α-Ti matrix and the hydrides themselves and the stress at the hydride tips could transmit across grain boundaries and induce hydride formation in adjacent grains.
Kinetic study on dehydration behavior of titanium dioxide supported by denitration catalyst
LI Huaquan, LIU Fusheng, QIU Guibao, LÜ Xuewei
2025, 46(6): 90-97. doi: 10.7513/j.issn.1004-7638.2025.06.011
Abstract(195) HTML (163) PDF(5)
Abstract:
The dehydration of denitration catalyst carrier titanium dioxide is a key control step in the preparation process. By measuring the thermal analysis curves of denitration catalyst carrier titanium dioxide at different heating rates, the dehydration kinetics and reaction mechanism of denitration catalyst carrier titanium dioxide under different atmospheres were studied. The results indicate that the dehydration behavior of titanium dioxide as the carrier of denitrification catalyst is closely related to the calcination atmosphere. The dehydration rate is different in oxygen-containing and oxygen-free atmosphere. Dehydration starts faster in oxygen-containing atmosphere, and then slowly dehydrates until the reaction ends, while dehydration completes slowly in oxygen-free atmosphere. Kinetic calculations were carried out by using the methods of modularless function and modularized function. The results show that the dehydration behavior of titanium dioxide, the support of denitration catalyst, conforms to the Avrami Erofeev equation in oxygen-containing atmosphere, and conforms to the power function rule in oxygen-free atmosphere. The dehydration process is affected by the formation and growth of crystal nuclei.
Synergistic effect of Mg-Ti co-doped LiNi0.5Mn1.5O4 on improving material structural stability and electrochemical performance
HUANG Zhende, PENG Di
2025, 46(6): 98-105. doi: 10.7513/j.issn.1004-7638.2025.06.012
Abstract(226) HTML (114) PDF(4)
Abstract:
Mg-Ti co-doped LNMO samples LiNi0.5-xMgxTiyMn1.5-yO4 (x= 0, 0.02; y= 0, 0.03) were synthesized using self-aggregation method, as spinel cathod materil. Through XRD, FTIR, SEM, and EDS material characterization, as well as electrochemical performance testing, the correlation between the crystal morphology, particle size, distribution uniformity, charge discharge rate performance, and cycling capacity stability of Mg-Ti co doped LiNi0.5Mn1.5O4 samples were systematically analyzed and studied. The results show that Mg-Ti co-doping can appropriately increase the Mn3+content, enhance the disorder degree of Fd3m space group, reduce the crystal particle size and make the distribution more uniform, which help to improve the rate performance and cycling capacity stability. At 1C and 10C rates, the discharge capacities of LiNi0.48Mg0.02Ti0.03Mn1.47O4 material were 133 mAh/g and 102 mAh/g, respectively. After 200 cycles of 1C at room temperature, the discharge capacity remained at 123 mAh/g, with a capacity retention rate of 92.5%. The results of the influence of crystal structure and morphology on the electrochemistry of materials indicate that Mg-Ti co-doped has a synergistic effect, which significantly affects the rate performance and cycling stability of LiNi0.5Mn1.5O4.
Titanium 3D printing and its application in biomedical implants
WU Xiaoping, XU Wei, LIU Yongsheng
2025, 46(6): 106-116, 123. doi: 10.7513/j.issn.1004-7638.2025.06.013
Abstract(211) HTML (157) PDF(9)
Abstract:
Titanium and titanium alloys possess superior biocompatibility, corrosion resistance, and mechanical properties, making them among the few metal materials safe for implantation in the human body. They are widely used in biomedical applications, including implants, dentistry, surgical instruments, stents, tissue engineering, and in vitro medical devices. Biomedical implants made of titanium and titanium alloys are traditionally manufactured through subtractive and forming processes. In recent years, with the advancement of additive manufacturing (3D printing) technology, biomedical implants can now be directly fabricated using data from medical imaging methods, enabling the three-dimensional additive connection of titanium materials to produce components. Selective laser melting (SLM), electron beam melting (EBM), and directed energy deposition (DED) are the primary technologies for the additive manufacturing of titanium components. The most commonly used additive manufacturing titanium materials in biomedical applications are commercially pure titanium (CP-Ti) and titanium alloys (Ti-64). Compared to traditional manufacturing methods, the key advantages of additive manufacturing lie in its multidimensional and personalized production capabilities, along with greater reproducibility. To update the latest advancements in research on titanium and titanium alloy biomedical implants, this paper reviews titanium and titanium alloys, 3D printing methods, and their applications in biomedical implant. It discusses and summarizes the latest developments in 3D-printed titanium implants and explores future research directions for titanium-based 3D-printed biomedical implants.
Ferrous Metallurgy and Materials
Absorption behavior of TiO2 inclusions by different high titanium steel mold slags
DAI Mingjie, CHEN Shoujie, WANG Xueyou, ZHANG Xubin, HE Shengping, WANG Qiangqiang
2025, 46(6): 117-123. doi: 10.7513/j.issn.1004-7638.2025.06.014
Abstract(332) HTML (206) PDF(11)
Abstract:
To enhance the inclusion absorption rate of mold slags during continuous casting of high-titanium steel, five candidate high-Ti steel slags were designed. The absorption behaviors and absorption rate differences of TiO2 inclusions by each slag were investigated through a combination of in-situ observation tests and rotating cylinder method with quantitative analysis. SEM-EDS was employed to analyze the interface between TiO2 samples and slags, elucidating the dissolution mechanism of TiO2 in the slag. Results demonstrate that TiO2 dissolution rate was fastest in the CaO-SiO2-BaO slag, followed by the low-basicity CaO-SiO2 slag. Both achieved complete dissolution with shorter durations during the in-situ tests, exhibiting dissolution rates of 0.285 mm/min and 0.281 mm/min respectively in the rotating cylinder tests. Comparatively, TiO2 dissolution rates decreased significantly in the high-basicity CaO-SiO2, CaO-SiO2-Al2O3, and CaO-SiO2-Al2O3-BaO systems, with only the CSAB slag completely dissolving (0.151, 0.101 mm/min, and 0.191 mm/min respectively). The primary inhibition mechanism was identified as the formation of high-melting-point CaTiO3 through reaction between dissolved TiO2 and CaO in the slag, which elevated local viscosity and melting point of the slags.
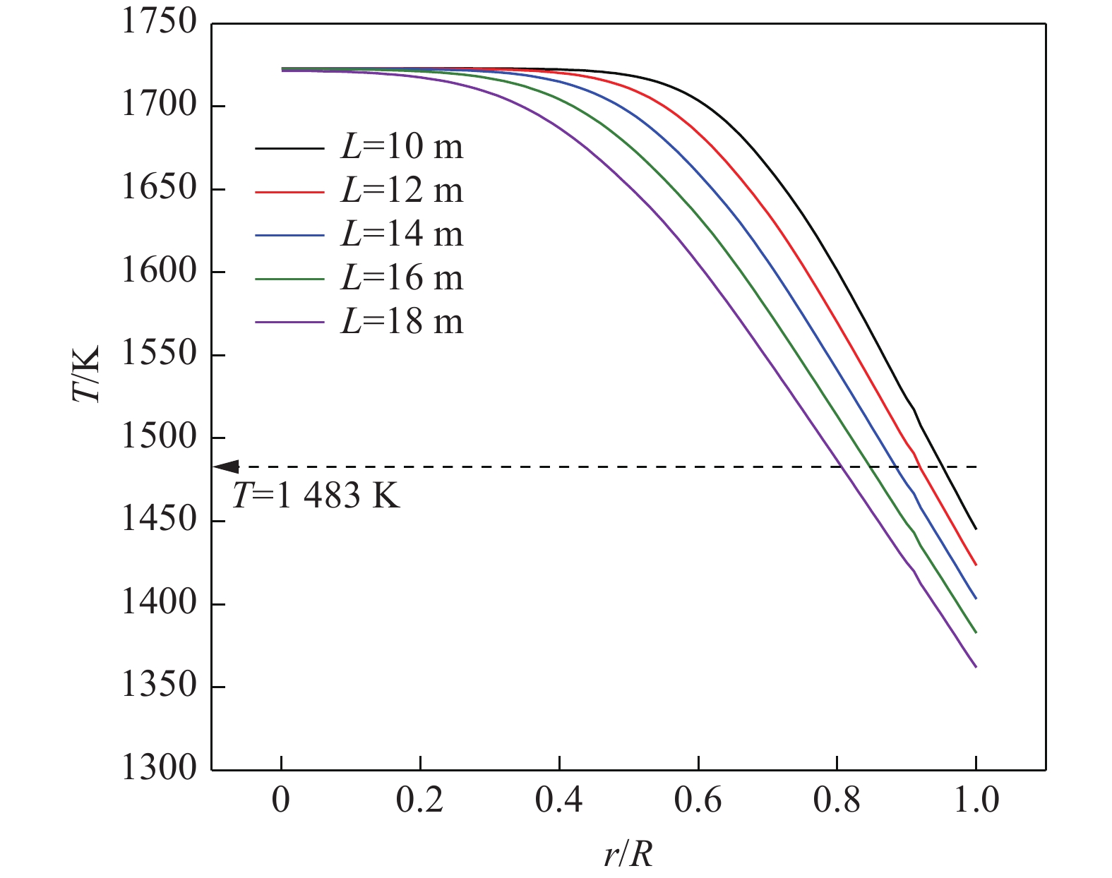
Research on solidification heat transfer and reduction position of grade E355 slab
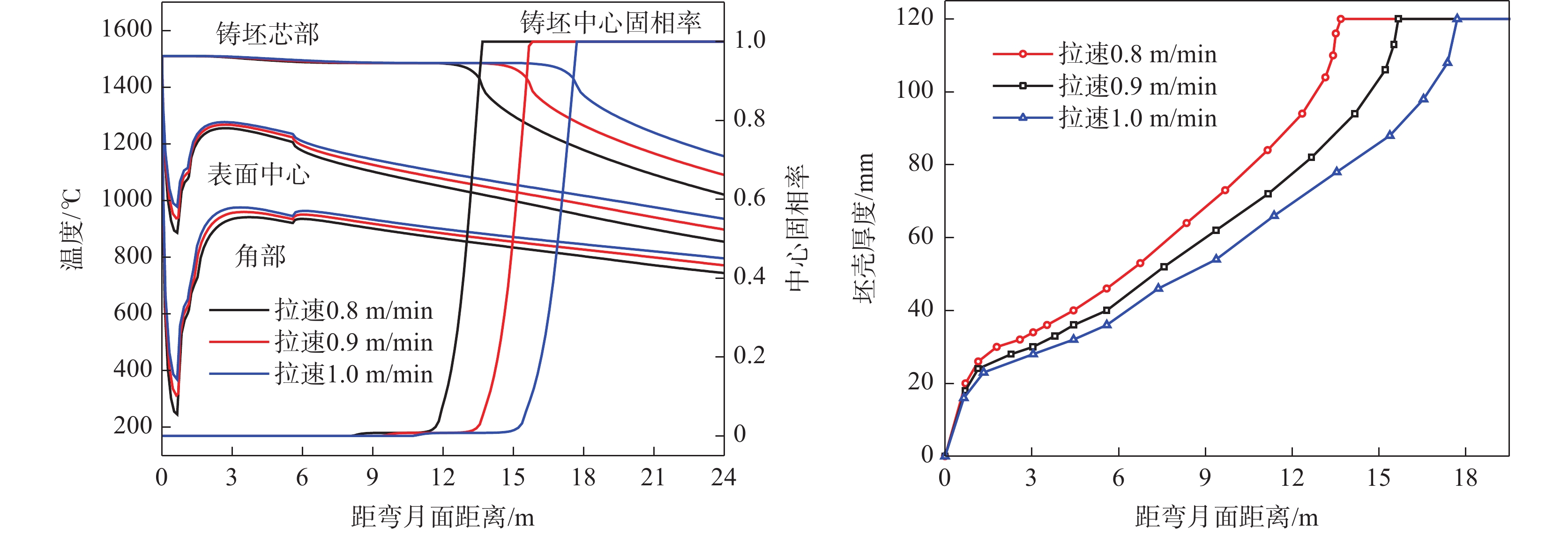
WANG Tianle, GUO Minghui, ZHENG Xinyu, FENG Qi, XIE Xin, GUAN Jianchao, SUN Yanhui
2025, 46(6): 124-130. doi: 10.7513/j.issn.1004-7638.2025.06.015
Abstract(157) HTML (101) PDF(3)
Abstract:
In order to improve the quality of grade E355 slab, based on the existing process conditions numerical simulation, had been conducted to investigate the influences of casting speed, water ratio and superheat on the solidification process of the slab and the position of the soft reduction. Based on the simulation results, theoretically optimal production conditions for this steel grade have been obtained as follows: casting speed is 1.1 m/min, water ratio is 0.66 L/kg, superheat is 10℃, the area of soft reduction is located at a distance of 17.8 m to 21.1 m from the concave surface. According to production data, the soft reduction position should be in segment 7-9.
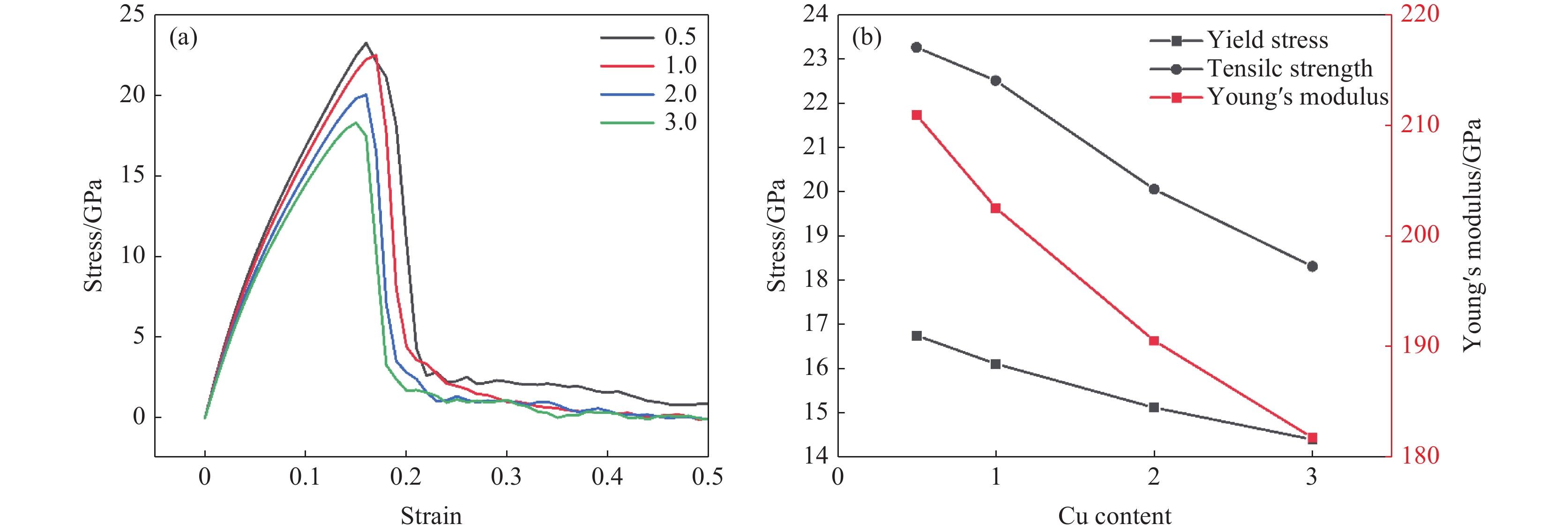
Study on aging strengthening of Fe-22Mn-0.6C-3.5Cu-0.3V high-manganese TWIP steel
YANG Jun, QIN Kui, OU Ping, WANG Hebin, LI Chengbo, WEI Chunhui, QIN Anting
2025, 46(6): 131-137. doi: 10.7513/j.issn.1004-7638.2025.06.016
Abstract(260) HTML (136) PDF(4)
Abstract:
Solid solution and aging treatment had been conducted on Fe-22Mn-0.6C-3.5Cu-0.3V high-manganese TWIP steel prepared by melting, and the precipitation behavior during aging as well as the associated strengthening mechanisms had been investigated. The results show that the matrix in both solid solution and aging-treated high-manganese TWIP steels is austenitic structure. After aging treatment, nano-sized Cu-rich phases and VC carbides precipitate in the austenitic matrix, both of them show a cube-on-cube orientation relationship with the matrix. The interface between Cu-rich phase and austenitic matrix is coherent, while the VC carbide is non-coherent. The tensile properties at room temperature indicates the precipitation of Cu-rich phase and VC carbide can significantly increase the yield strength of high-manganese TWIP steel. The yield strength of aging-treated steel is increased by 60.6% higher than that of solid solution-treated steel. The yield shear stress increment calculated based on the precipitation strengthening theory is good agreement with the experimental results. The strength contribution from dislocation shear strengthening mechanism of Cu-rich phase accounts for 60.8% of the increment, while that from dislocation bypass strengthening mechanism of VC carbide accounts for 39.2% of the increment.
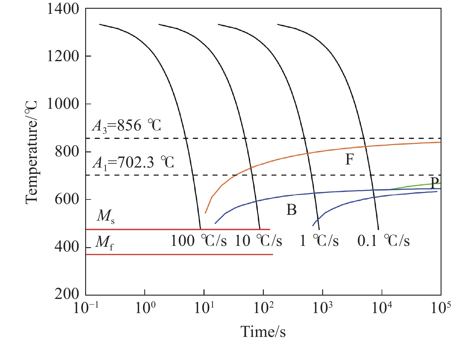
The effect of hot rolling process on the microstructure and properties of grade E microalloyed angle steel
LI Yanjie, TIAN Xiugang, YANG Yang, LI Zhe, ZHANG Chunhua, SUN Qiaomei, ZHANG Dazheng
2025, 46(6): 138-146. doi: 10.7513/j.issn.1004-7638.2025.06.017
Abstract(217) HTML (136) PDF(3)
Abstract:
A systematic and multi-scheme simulation test was designed for grade E microalloyed angle steel. The effects of heating temperature, deformation temperature and cooling rate on microstructure and properties were clarified by analyzing the heating and growth law of original austenite, recrystallization of deformed austenite, phase transformation and precipitation of second phase particles. The results show that with the increase of heating temperature, the growth rate of original austenite grain size of slab depends on the heating temperature ranges, and the growth rate is relatively slow in the temperature range of 1125~1200 ℃. The austenite region is within 950~850 ℃. With the decrease of deformation temperature, the average grain size of ferrite decreases from 11.2 μm to 9.2 μm. When the deformation temperature is reduced to 800~750 ℃, the microstructure appears mixed grain, and some ferrite grains grow up to 13.6 μm. When the cooling rate is at 2~5 ℃/s, uniform ferrite+pearlite structure can be obtained. When the cooling rate reaches 10 ℃/s, the microstructure consists of cluster pearlite + reticular / acicular ferrite. Finally, the result of trial production at low temperature showed that the ferrite grain size was refined by about 30%, and the low temperature impact toughness was increased by about 20%.
Effect of Zr on the microstructure and properties of direct-quenched Ti microalloyed high-strength low carbon martensitic steel
XIONG Xuegang, LUO Hanyu, ZENG Han, CAO Jianchun, ZHOU Xianchao, WANG Chuangwei
2025, 46(6): 147-156. doi: 10.7513/j.issn.1004-7638.2025.06.018
Abstract(242) HTML (94) PDF(4)
Abstract:
In this work, the effect of Zr on the microstructure, properties, and strengthening mechanism of direct quenched Ti microalloyed high-strength low-carbon martensitic steel was systematically studied, through two-stage mechanical processing combined with direct quenching process. And the final rolling temperature of the steel ranged from 950 ℃ to 850 ℃. The results show that as the final rolling temperature decreases, the hardness of both Ti steel and Ti-Zr steel increases first and then decreases, and the number of precipitates in Ti steel decreases gradually, while the number of precipitates in Ti-Zr steel increases first and then decreases. The hardness (HV) of Ti steel reaches the highest value of 338.8 when final rolling at 875 ℃, and the highest hardness (HV) of Ti-Zr steel reaches the highest value of 332.2 when final rolling at 900 ℃. Meanwhile, the uniformity and fineness of the microstructure of Ti microalloyed steel were improved by the addition of Zr, the prior austenite grain size was reduced by 2.9–6.0 µm, the geometrically necessary dislocation density was increased from 1.6×1013 m−2 to 6.6×1013 m−2, and the average size of martensitic blocks was reduced by 0.13–0.38 µm. The solid solution of Ti element in austenite was promoted by the addition of Zr, the precipitation of strain induced carbonitrides in austenite was restrained by more than 10%, and the precipitation strengthening effect was also reduced. Among them, solid solution strengthening and dislocation strengthening were identified as the main strengthening mechanisms of Ti-Zr steel, accounting for approximately 60% of the total yield strength.
The influence of decarburization on the mechanical properties of 2100 MPa grade V microalloyed bridge cable steel wire
SU Qihao, QI Haiquan, LI Xinru, LI Lamei, YANG Zikang, XIE Yingying, YAO Xiaofeng, ZHOU Zhongcheng
2025, 46(6): 157-163. doi: 10.7513/j.issn.1004-7638.2025.06.019
Abstract(256) HTML (108) PDF(2)
Abstract:
To quantify the influence of decarburization layers on the mechanical properties of ultra-high strength cable steel wires, in this paper the radial hardness distribution, decarburization layer depth and mechanical properties of 2100 MPa grade V microalloyed zinc-aluminum cable steel wires after layer-by-layer stripping of decarburization layers had been systematically studied. The results show that the radial hardness of the steel wire substrate increases regularly from the surface to the core, with the hardness (HV) being 601 at the outermost layer and 678 at the core. The hardness data confirm that the actual decarburization layer depth of the steel wire can reach (150±10) μm. The thickness of achieved zinc-aluminum coating on the steel wire is approximately 30 μm, which reduces the steel wire's strength by 11.17 MPa, indicating a minor impact on the steel wire's strength. After the layer-by-layer removal of the decarburized layer, the strength of the steel wire substrate increases from 2134.04 MPa to 2225.97 MPa. The decarburized layer reduces the steel wire's strength by 91.93 MPa, and the strength tends to stabilize after removing a 140 μm layer. It can be seen from the data that the decarburization layer significantly reduces the overall strength of the cable steel wire. Therefore, well controlling the decarburization of the wire rods is an important factor in the development of ultra-high strength cable steel wire.
The influence of sub-temperature heating on the quenching microstructure and mechanical properties of 22MnB5 steel
YAO Xiaofeng, QI Haiquan, XIE Yingying, LI Xinxin, LI Xinru, LI Lamei
2025, 46(6): 164-171. doi: 10.7513/j.issn.1004-7638.2025.06.020
Abstract(238) HTML (143) PDF(6)
Abstract:
The effect of different temperatures on the quenching microstructure and mechanical properties of 22MnB5 steel in the range of 680-930 ℃ were systematically studied by designing heat treatment processes with different heating temperatures and holding times. The results show that prolonged heating in the low-temperature zone (680-700 ℃) leads to material softening, and prolonged heating in the high-temperature zone (850-930 ℃) has limited improvement in mechanical properties. However, prolonged heating in the sub-temperature temperatures zone (720-820 ℃) results in a significant improvement in the mechanical properties. Particularly, the tensile and yield strengths reached 1 589 MPa and 1078 MPa after quenching at 820 ℃ for 20 min, which were 151.02% and 132.82% higher than the initial state, respectively. The study shows that by optimizing the sub-temperature heating process, the tensile strength of 22MnB5 steel can be obtained at a level of 1500 MPa at a lower temperature than the existing processes, which provides a new approach to solving the problem in the existing hot forming technologies.
Microstructure and mechanical properties analysis of resistance spot welded joints of 22MnB5/DP980 dissimilar steel
WANG Hailin, ZHAN Hongshun, WANG Jinfeng, ZHANG Yuanhao, YANG Siwei
2025, 46(6): 172-178. doi: 10.7513/j.issn.1004-7638.2025.06.021
Abstract(217) HTML (116) PDF(3)
Abstract:
Resistance spot welding experiments were conducted on 1.2 mm thick 22MnB5 and 1.6 mm thick DP980 dissimilar steels using MD-40 medium-frequency inverter spot welding equipment. By integrating techniques including tensile testing, microhardness measurements, and metallographic observations, the influences of varying welding currents and times on the formation quality, microstructure, and mechanical properties of 22MnB5/DP980 spot welded joints were investigated. The results indicated that with the increase of welding current, the tensile shear force of the joint continued to rise, reaching a peak of 16.81 kN at a welding current of 11 kA. Similarly, extending the welding time also continuously increased the tensile shear force, which peaked at 17.23 kN when the welding time was 400 ms. Compared with the welding current, welding time has a more significant effect on improving the tensile shear force of the joint. However, when the welding time reached 400 ms, electrode adhesion to the material and spattering occurred, thereby exacerbating electrode wear. Considering comprehensively the effects of welding current and time on the tensile properties of 22MnB5/DP980 welded joints, the relatively optimal welding parameters were determined as follows: electrode pressure of 0.2 MPa, welding current of 11 kA, and welding time of 350 ms. Softening occurred in the heat-affected zone (HAZ) on the DP980 steel side of the welded joint, and the hardness of the nugget zone was higher than that of the HAZ. Moreover, the larger the welding current, the more severe the softening of the HAZ on this side. In contrast, hardening took place in the HAZ on the 22MnB5 steel side, where the hardness was higher than that of the nugget zone. The microhardness values of the welded joint in descending order were as follows: HAZ on the 22MnB5 steel side, nugget zone, and HAZ on the DP980 steel side. The fracture mode of the 22MnB5/DP980 welded joint was partial nugget pull-out fracture, where the nugget was not completely pulled out. During the pull-out process, the 22MnB5 side base metal tore around the nugget, while no tearing observed on the DP980 side, and the nugget remained attached to the DP980 steel side.
Regulation effect of post-rolling quenching and tempering treatment on element segregation and banded microstructure in hot-rolled Q345R steel
YANG Yan, WANG Hemu, GAO Qing, PENG Fei, ZHANG Kaiming, YUAN Wuhua
2025, 46(6): 179-185. doi: 10.7513/j.issn.1004-7638.2025.06.022
Abstract(184) HTML (88) PDF(4)
Abstract:
The regulation effect and mechanism of quenching and tempering treatment after rolling (890 ℃ quenching + 710 ℃ tempering) on element segregation and the resultant banded microstructure in hot-rolled Q345R steel were thoroughly investigated. The results show that the microstructure of the hot-rolled Q345R steel consists of recrystallized ferrite and pearlite. The pearlite is distributed in bands and granular pearlite presents at the ferrite grain boundaries and within ferrite grain. The matrix microstructure of Q345R steel prepared by quenching and tempering treatment is tempered martensite containing a small amount of recrystallized martensite, with dense cementite precipitation bands observed in C- and Mn-rich regions of the tempered martensite. Critically, significant C and Mn segregation exists in both hot-rolled and quenched & tempered Q345R steel, and the banded microstructure (pearlite bands or cementite precipitation bands) highly coincides with the segregation bands. Although quenching and tempering after rolling does not eliminate the solidification-inherited element segregation, it effectively regulates the formation mode and characteristics of the banded structure by disrupting the high dependence of solid-state phase transformation on the original elemental distribution via martensitic transformation, reducing the banding severity from grade 5B to 3B. Concurrently, it reduces the strength difference between soft and hard phases from 206.76 MPa to 119.48 MPa, thereby ameliorating the mechanical property inhomogeneity induced by the banded microstructure.
The influence of relaxation time on the microstructure and properties of thin-gauge 450 MPa grade high-strength steel
HAN Chufei, DONG Yi, SHI Xiaoguang, SUN Chengqian, WANG Junxiong, LI Zhi, XU Haijian
2025, 46(6): 186-190, 200. doi: 10.7513/j.issn.1004-7638.2025.06.023
Abstract(214) HTML (143) PDF(5)
Abstract:
In this research, the effects of relaxation times varying from 0 s to 75 s after rolling on the microstructure and mechanical properties of thin-gauge 450 MPa grade high-strength steel were studied. The room temperature tensile performance, CVN impact energy at -20 ℃ and DWTT drop hammer test at -15 ℃were performed. The microstructure and precipitates evolution of 450 MPa grade obtained with different relaxation times were observed by using optical microscopy (OM), scanning electron microscopy (SEM), and transmission electron microscopy (TEM). The experimental results showed that with the prolongation of relaxation time, the grain size and ratio of PF increased, the volume fraction of Nb/Ti-rich nano carbonitride precipitation firstly increased and decreased, the yield, tensile strength, fracture elongation, -20 ℃ CVN impact energy and -15 ℃ DWTT properties also showed similar trend. While the yield ratio decreased firstly, and then increased. When the relaxation time was 60 s, the higher strength and toughness and the lower yield ration were achieved, those could meet the technical requirements for steel used in engineering structures.
Effect of pulling speed on the organization and performance of the directional annealing zone and the initial transition zone of Fe6.5SixB alloy
DONG Zhongqi, XIANG Xingyu, LIU YaJun, PAN Enbao, MENG Yanjun, WU Xiaolong
2025, 46(6): 191-200. doi: 10.7513/j.issn.1004-7638.2025.06.024
Abstract(157) HTML (77) PDF(2)
Abstract:
The Fe6.5SixB alloy was prepared by a directional solidification technique. The effects of pulling rate and B content on the the microstructure evolution of the directional annealing zone and the initial transition zone of directional solidified Fe6.5SixBi alloy, as well as mechanical and magnetic properties were studied. XRD was used to determine the microstructure of the alloy, SEM was used to analyze the microstructure and phase composition of the alloy, and the magnetic properties of the alloy were determined by using vibration sample magnetometer at high and low temperature. The results show that the columnar dendrite grows in the parallel pulling rate direction at the annealing zone of Fe6.5SixB alloy, and the transition zone is large lumpy grains. The directional annealing zone of Fe6.5Si alloy is mainly composed of A2 phase and (B2+D03) layered structure, and after B addition, the directional annealing zone of the alloy consists of phase A2 and and (A2+Fe2B) lamellar eutectic structures. With the increase of pulling rate, the (B2 + D03) layered structue content increased in Fe6.5Si alloy, and (A2 + Fe2B) became finer in Fe6.5SixB alloy. The strain value of the alloy first increases and then decreases. With the increase of B content, the magnetic polarization strength (Js) and coercivity of Fe6.5SixB alloy show a decreasing trend, while the residual magnetism (Jr) shows an increasing trend; the hardness value of the alloy decreases.