2024 Vol. 45, No. 6

Technical Review
Progress of laser additive manufactured high-performance metal structural materials
Wang Huaming, Wang Yudai
2024, 45(6): 1-6. doi: 10.7513/j.issn.1004-7638.2024.06.001
Abstract(1232) HTML (255) PDF(127)
Abstract:
Laser additive manufacturing technology on high-performance metallic components has shown great potential and broad application prospects in the manufacturing of key equipment. Beihang University has conducted deep research on laser additive manufactured large metallic components and achieved many research breakthroughs. In this article, the progress of laser additive manufactured high-performance metal structural materials was summarized. The non-equilibrium solidification and nucleation growth behavior were revealed, and the active control method on grain morphologies of titanium alloys and nickel-based superalloys was established. Besides, new strengthening and toughening mechanisms for laser additive manufactured materials were proposed, while titanium alloy and ultra-high strength steel specially for additive manufacturing were developed. Future research interests will continue to focus on fundamental issues such as laser/metal interaction behavior, material solidification and phase transition laws, as well as the design and development of high-performance new alloys based on extreme metallurgical conditions of laser additive manufacturing. Thus, the transformative potential of laser additive manufacturing technology in the manufacturing of large metal components for key equipments can be further unleashed.
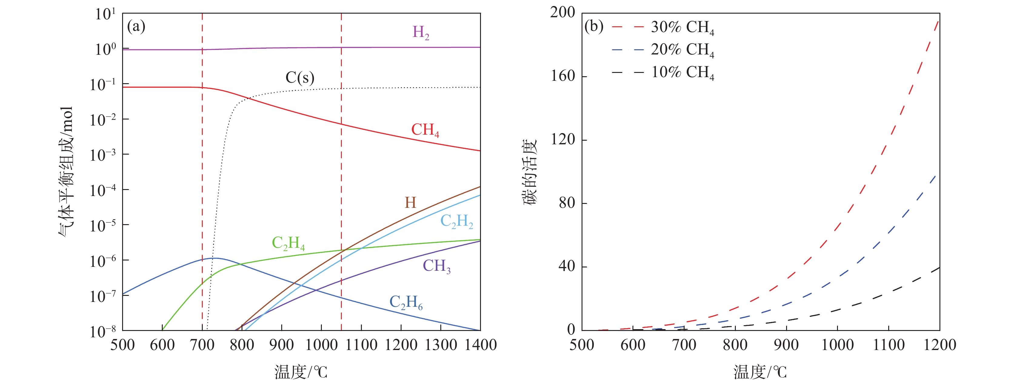
Current development status of hydrogen reduction technology with the CH4-H2 system
Zhang Run, Tan Chaowen, Dang Jie
2024, 45(6): 7-18. doi: 10.7513/j.issn.1004-7638.2024.06.002
Abstract(441) HTML (253) PDF(34)
Abstract:
Under the dual challenges posed by the “dual carbon” goals and “double high” restrictions, the field of pyrometallurgy is experiencing significant pressures related to energy consumption and carbon emissions, thereby heightening the urgent need for clean energy. Hydrogen energy, as a renewable clean energy source, offers a new dawn for pyrometallurgy in terms of energy-saving, low-carbon, and green transformation. Hydrogen reduction technology based on the CH4-H2 system, with its excellent reduction capability and low-carbon, pollution-free characteristics, has emerged as a research hotspot in the metallurgical field. This paper elucidates the reduction thermodynamics and kinetics principles of the CH4-H2 system, systematically reviews the relevant domestic and international technologies and research progress, summarizes the research achievements and development directions of this technology in the reduction of metallic minerals (iron, titanium, nickel, zinc, cobalt, chromium, and manganese), and conducts a systematic analysis of the unresolved issues. The hydrogen reduction technology based on the CH4-H2 system holds immense application potential, and these discussions will contribute to advancing the further development of this technology.
Separating and Extracting of Vanadium and Titanium
Preparation of lithium manganese iron phosphate cathode material from vanadium tailings
Li Zhiyu, Tang Ting, Wang Zhenghao, Chen Liang, Zhu Yingming, Wu Kejing, Luo Dongmei
2024, 45(6): 19-27. doi: 10.7513/j.issn.1004-7638.2024.06.003
Abstract(725) HTML (167) PDF(70)
Abstract:
Using the iron-manganese-rich leaching solution generated during vanadium extraction from vanadium slag was used as the raw material, and ferromanganese oxalate dihydrate Mn0.5Fe0.5C2O4∙2H2O was prepared by co-precipitation, and lithium ferromanganese iron phosphate LiFe0.5Mn0.5PO4 anode material was successfully synthesized by the high-temperature solid-phase method using this precursor, which achieved the comprehensive utilization of the iron-manganese resources in the vanadium slag leaching solution. The results showed that under the conditions of initial pH 3.5, temperature 25 ℃, reaction time 90 min, ammonium oxalate addition 1.1 times of the theoretical value, and the addition mode of positive addition, the precipitation efficiency of Fe and Mn were 99.5% and 99.4%, respectively. The depth separation from other impurities was achieved, and the purity of Mn0.5Fe0.5C2O4·2H2O reached 99.97% with small particle sizes and good dispersion. It can be used as a precursor for synthesizing lithium manganese iron phosphate cathode materials, which provides the idea for the industrial production of lithium iron manganese phosphate.
Research on activator enhanced acid leaching process of titanium concentrate
Wang Haibo, Long Tao, Xiang Long, Li Li, Tian Congxue
2024, 45(6): 28-33. doi: 10.7513/j.issn.1004-7638.2024.06.004
Abstract(420) HTML (126) PDF(25)
Abstract:
In response to the problem of high reaction acid concentration in the production of titanium dioxide by sulfuric acid method, which leads to the inability to achieve sulfuric acid equilibrium, an activator is introduced to enhance the acid hydrolysis reaction process and reduce the reaction acid concentration. The strengthening effect of the activator on the low concentration acid leaching of titanium concentrate was studied, and the effects of reaction acid concentration and activator dosage on reaction temperature and acid leaching rate were investigated. The results show that the addition of activating agent can increase the heat release of the reaction, increase the reaction temperature, and improve the porosity of the solid phase, resulting in higher leaching activity. Under the conditions of 0.5% activator dosage, 1.56:1 acid to ore ratio, and 80% reaction acid concentration, the acid hydrolysis rate of titanium concentrate reaches 93.47%. The main components of acid leaching residue are TiFeO3, Ca(Fe, Mg)Si2O6 and SiO2, indicating that most of the titanium in the raw material can be transferred to the liquid phase.
Preparation of titanium by hydrogenation and analysis of its energy
Lai Qi, Peng Fuchang, Chen Yingzhi, Zhang Jing, Zhao Xiguang, Chen Jinliang, Wu Yi, Dong Yingjie
2024, 45(6): 34-38. doi: 10.7513/j.issn.1004-7638.2024.06.005
Abstract(407) HTML (251) PDF(22)
Abstract:
Titanium hydride was prepared from sponge titanium at different temperatures and time. Perform structural analysis using X-ray diffraction (XRD) and morphology analysis using scanning electron microscopy (SEM). The results show that with the increase of reaction temperature, the mass growth rate of titanium hydride increases, and the brittleness also increases. When the temperature exceeds 500 ℃, there is little change in the mass growth rate. The thermodynamic calculation results show that when the temperature increases from 300 ℃ to 700 ℃, the equilibrium constant significantly decreases, indicating that a high reaction temperature is not conducive to the reaction. The calculation of adsorption energy in the hydrogenation process shows that the optimal adsorption site is located at its central point. Solid solution energy analysis shows that hydrogen atoms tend to occupy octahedral gaps more.
Research progress of targeted extraction of vanadium by functional ionic liquids
Xiang Xinyue, Ye Guohua, Xiang Pengzhi, Rong Yiyang, Zhang Yun, Song Changxu
2024, 45(6): 39-49. doi: 10.7513/j.issn.1004-7638.2024.06.006
Abstract(523) HTML (147) PDF(29)
Abstract:
The solvent extraction method is the most commonly used technique for the separation and enrichment of vanadium. However, traditional industrial vanadium extraction methods encounter issues such as unsatisfactory extraction efficiency, poor selectivity, and environmental and safety concerns. Ionic liquids possess many advantages, including a wide liquid range, low vapor pressure, non-volatility, tunable physical and chemical properties, ease of functional design, a wide electrochemical window, good conductivity, and high thermal stability, enabling targeted and efficient extraction of vanadium. This review summarizes the research progress on the extraction and recovery of vanadium using ionic liquids, with a focus on the physical and chemical properties, synthesis methods, and extraction mechanisms of imidazolium and quaternary ammonium ionic liquids. The extraction mechanisms of vanadium mainly include anion exchange and neutral complexation, which optimize the extraction efficiency and selectivity of vanadium through the unique properties of different ionic liquids. By analyzing the mechanisms of ionic liquids in the vanadium extraction process and revealing application cases, this review aims to provide references for research and applications in the field of vanadium extraction. Additionally, it highlights the challenges faced by ionic liquid extractants in terms of cost and large-scale application, indicating that further research and development are needed.
Research progress and prospect of comprehensive utilization technology of vanadium extraction tailings from vanadium-titanium magnetite
Wang Xinyu, Zhao Haiquan, Qi Yuanhong, Wang Feng
2024, 45(6): 50-58. doi: 10.7513/j.issn.1004-7638.2024.06.007
Abstract(669) HTML (200) PDF(71)
Abstract:
Vanadium extraction tailings of vanadium-titanium magnetite, as a by-product of vanadium extraction from converter vanadium slag, have great recovery value because of containing many valuable elements. However, due to the lack of effective utilization technology, they are currently being landfilled or stockpiled in large quantities, leading to resource waste and environmental pollution, resulting in waste of resources and environmental pollution. In this paper vanadium extraction tailings of vanadium-titanium magnetite had been classified based on vanadium extraction technology from vanadium slag and their chemical composition. The principle, advantages and disadvantages of extracting valuable elements from vanadium extraction tailings by oxidation method (including oxidation roasting, electric field coupled leaching of H2O2 + CaF2), direct leaching (including acid leaching and submolten salt process) and reduction method (including melting reduction and direct reduction) were described. The current research status of using them as functional materials for preparing thermal storage materials had been discussed. Acid leaching process is considered to be a hot topic of current research. However, smelting reduction can simultaneously recover iron, vanadium, chromium and titanium, featuring a high comprehensive recovery rate and short process, and therefore has a broader application prospect. Then he problems existing in the current comprehensive utilization process were pointed out. And the coupling technology of pyrometallurgy + hydrometallurgy + physical separation was proposed, as well as research directions for their use as solar thermal storage materials. In addition, the supervision of final residue and waste liquid discharge and the research on toxicity detection should be strengthened. It is hoped these introductions can provide reference for the development direction of high value and harmless comprehensive utilization of vanadium extraction tailings from vanadium titanium magnetite.
Analysis of factors influencing the sedimentation height of hydrolyzed metatitanic acid
Wu Jianchun
2024, 45(6): 59-63, 150. doi: 10.7513/j.issn.1004-7638.2024.06.008
Abstract(351) HTML (215) PDF(22)
Abstract:
Based on the production data of a certain titanium dioxide factory, the influence of the sedimentation height of metatitanic acid on its particle size distribution and titanium dioxide pigment properties was statistically analyzed. The results show that with the increase of sedimentation height, the D50 of metatitanate shows an increasing trend, while the Tcs and Scx of titanium dioxide pigment show a decreasing trend, and the average particle size shows an increasing trend. Controlling the sedimentation height of titanium dioxide below 130 mm can obtain titanium dioxide with better pigment properties. The experimental results show that the TiO2 concentration, F value, seed addition, and first boiling holding time of titanium liquid all have a significant impact on the sedimentation height and D50 of metatitanic acid. As the concentration of TiO2 increases, the sedimentation height and D50 of metatitanic acid show a decreasing trend. As the F value increases, the sedimentation height of metatitanic acid and D50 show an increasing trend. With the increase of seed addition, the sedimentation height of metatitanic acid shows a decreasing trend. With the extension of the first boiling insulation time, the sedimentation height of metatitanic acid shows a trend of first increasing and then decreasing.
Application of Vanadium and Titanium
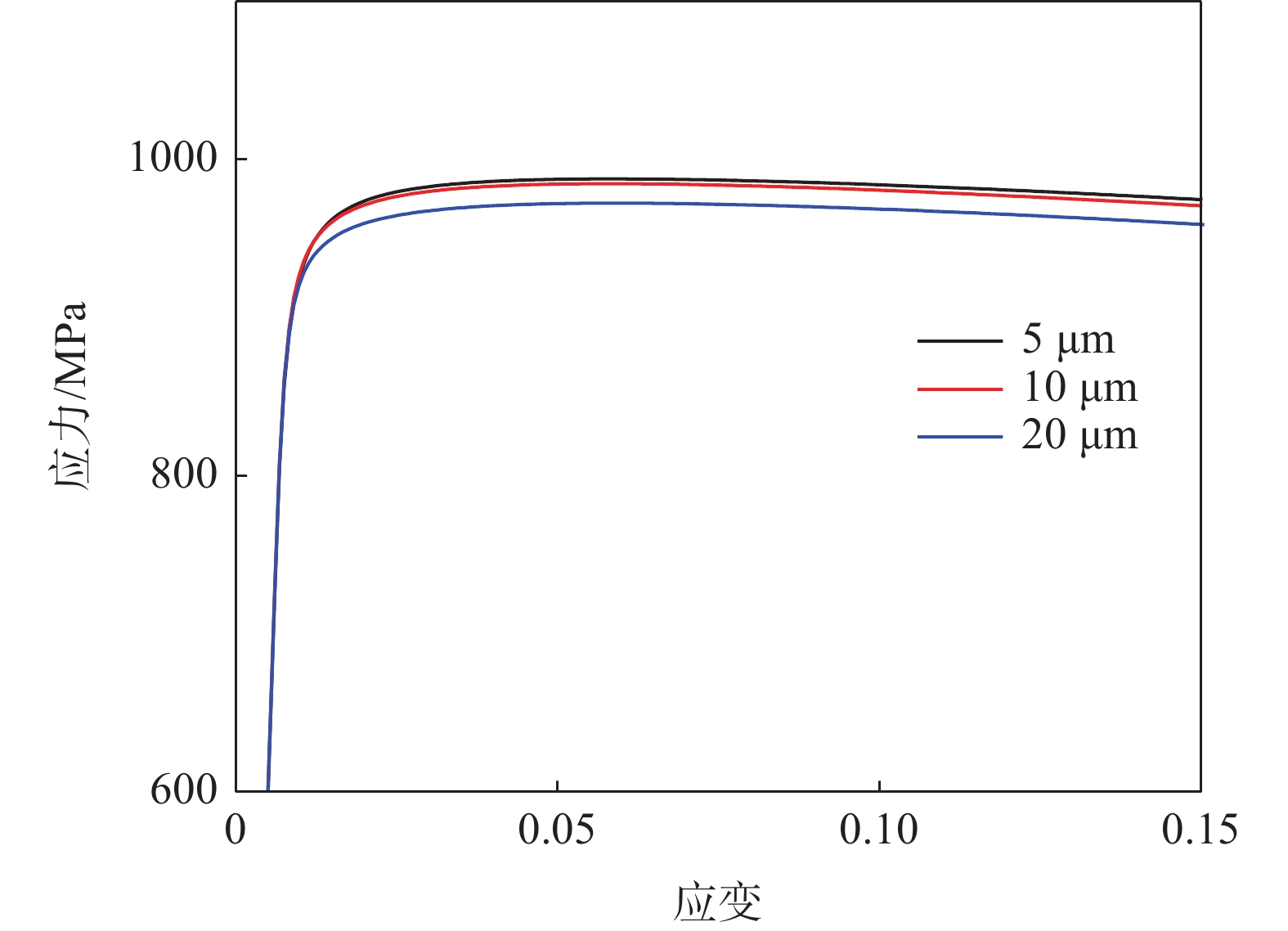
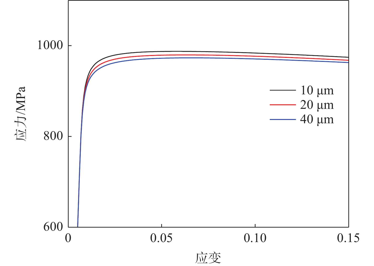
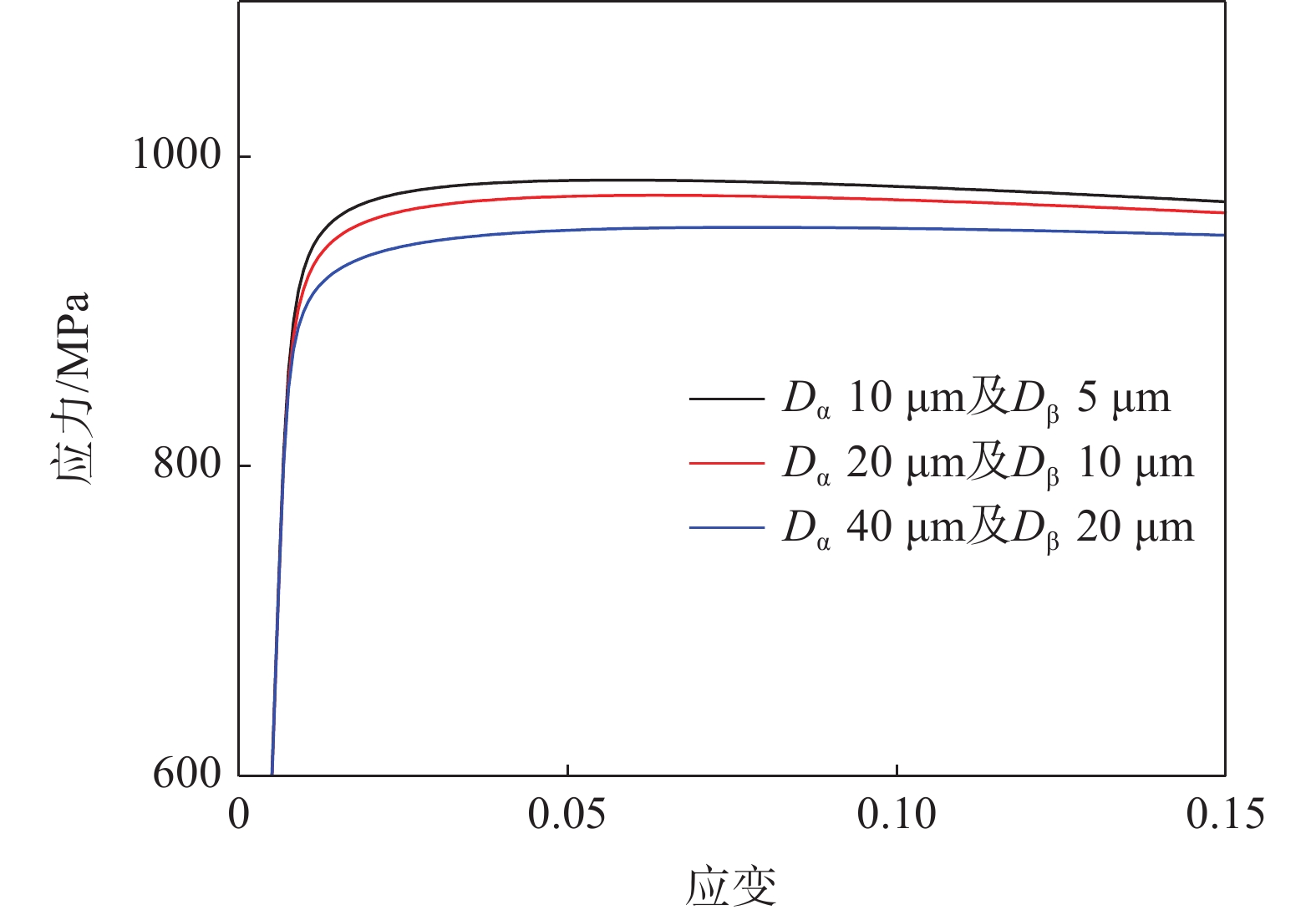
Crystal plasticity finite element study of tensile behavior of two-phase titanium alloy Ti-6Al-4V
Zhang Long, Chang Le, Lin Hongyun, Zhou Changyu
2024, 45(6): 64-73. doi: 10.7513/j.issn.1004-7638.2024.06.009
Abstract(968) HTML (203) PDF(61)
Abstract:
The influence of α/β volume fraction and grain size on the tensile mechanical properties of Ti-6Al-4V dual-phase titanium alloy was investigated in this study using the crystal plasticity finite element method. The contribution of different slip systems to plastic deformation was evaluated quantitatively by slip relative fraction. The results demonstrate that the stress-strain distribution during the tensile deformation of Ti-6Al-4V titanium alloy is non-uniform. The stress is primarily concentrated on the β phase grain and grain boundary, while the strain is concentrated on the α phase grain. Increasing the volume fraction of β phase leads to a larger stress concentration area, easier generation of strain concentration at the triple-junction of grain boundaries, and a significant increase in contribution from the β phase{110} slip system to the plasticity deformation. Increasing α, β or two-phase grain size results in decreased stress-strain curve in the plastic region, where initial deformation is predominantly governed by prismatic slip system while pyramidal <c+a> slip system contribute slightly less. An increase in α-phase grain size leads to a decrease in the activity of pyramidal <c+a> slip system, resulting in reduced stress values in the plastic region. Increasing the β-phase grain size results in a reduction of stress during the plastic stage, which is attributed to the decreased activity of {110} slip system within the β-phase. Simultaneously increasing the grain size of both the α and β phases will affect the activation fraction of prismatic and {110} slip systems. The reduction in stress is associated with the significant decrease in the number of interfaces.
Microstructure and properties of inertia friction welding joint of TA18 titanium alloy tube
Cheng Peixin, Xi Jinhui, Liu Jiao, Shi Lichao, Zhang Jianjian
2024, 45(6): 74-79. doi: 10.7513/j.issn.1004-7638.2024.06.010
Abstract(361) HTML (224) PDF(22)
Abstract:
Inertial rotary friction welding (IRFW) research was conducted on TA18 titanium alloy tube. The microstructure of the IRFW joint of TA18 titanium alloy tube was observed using optical microscopy and scanning electron microscopy, and the characteristics and evolution mechanism of the microstructure were analyzed in combination with the welding process. The mechanical properties of welded joints were analyzed using methods including tensile testing, impact testing, and microhardness testing. The results indicate that due to strong plastic deformation occurring at the welded joint in a short period of time, the microstructure of the welded zone of IRFW joint welded is mainly composed of needle-like α′ phase. The microstructure of the thermal mechanical affected zone of IRFW joint welded is mainly composed of equiaxed α phase, needle-like α′ phase and residual β phase. The tensile strength of the IRFW joint of TA18 titanium alloy tube is equivalent to that of the base material, and the fracture positions are all located far from the center of the weld zone. The microhardness of the IRFW joint is relatively uniform, and the hardness of each region can be matched. The impact toughness of the weld zone of the IRFW joint reached 96.85% of the base material.
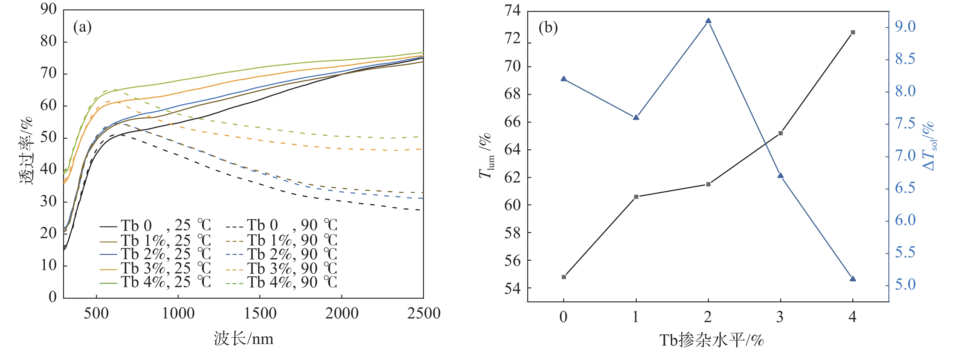
Preparation and properties of V1-xTbxO2(x=0,1,2,3,4)(M) thin films
Du Jinjing, Liu Jingtian, Zhu Jun, Lin Haiyang, Zhai Ruitong, Zuo Heng, Ma Jiayi, Wang Dongbo
2024, 45(6): 80-86. doi: 10.7513/j.issn.1004-7638.2024.06.011
Abstract(299) HTML (128) PDF(16)
Abstract:
This article mainly investigated the effects of heavy rare earth terbium element (Tb) doping on the phase structure, microstructure, phase transition temperature, optical, and mechanical properties of vanadium dioxide thin films V1-xTbxO2(x=0,1,2,3,4)(M). The analysis results show that the diffraction peaks of V1-xTbxO2(x=0,1,2,3,4)(M) samples are sharp, with no other impurity peaks observed, indicating high crystallinity and purity. Tb element doping can significantly affect the microstructural characteristics of vanadium dioxide, with the phase transition temperature decreasing as the Tb doping level increases, reaching 59.01 ℃ at a doping level of 4%. UV-Vis-NIR analysis indicates enhanced optical properties of vanadium dioxide thin films at Tb doping levels of 1%~4%. At 2% Tb doping, solar modulating ability (ΔTsol) reaches 9.1%, and visible transmittance (Tlum) is 61.5%. At 4% Tb doping, visible transmittance reaches 72.5%. Mechanical property tests show that Tb doping enhances the mechanical properties of vanadium dioxide thin films. When the doping level is 2%, the mechanical properties of VO2 films exhibit maximum values, with elastic modulus and hardness being 83.6065 GPa and 8.0026 GPa, respectively.
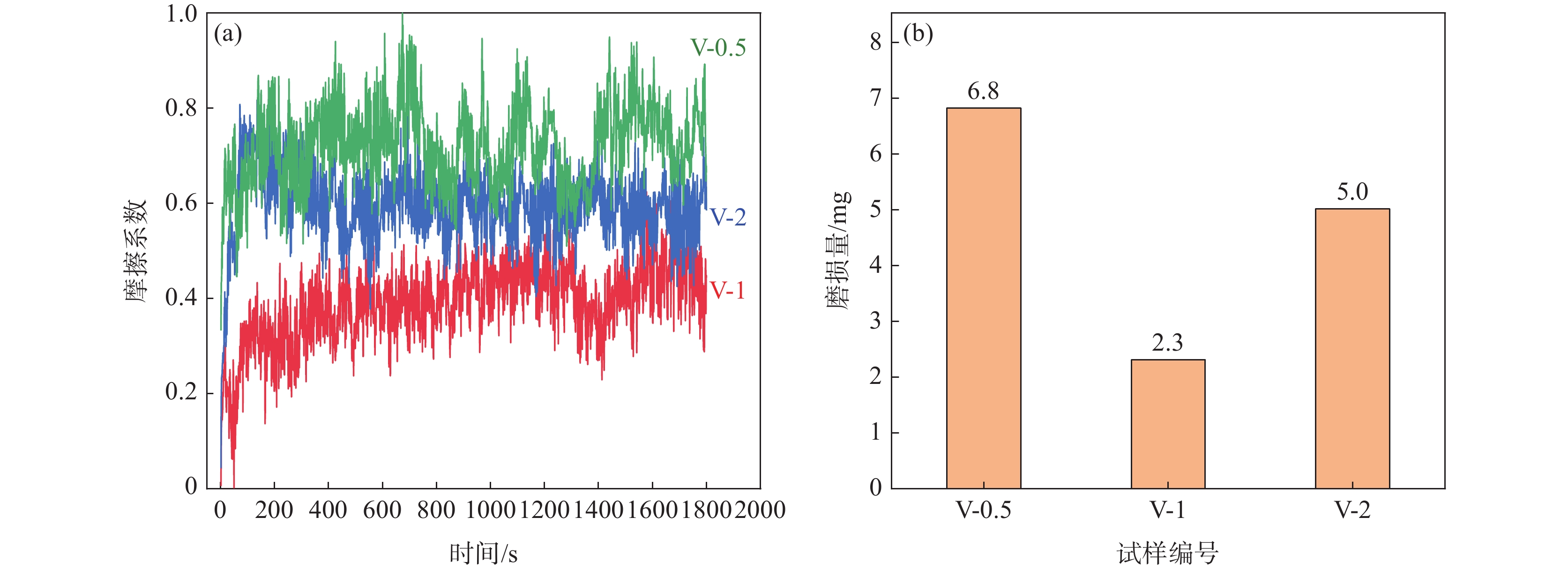
Effect of V content on microstructure and properties of laser cladding Fe-Cr alloy coatings
Zhang Xuefeng, Qing Guangyang, Zhou Haoran, Weng Liu, Chen Min, Zhao Haiquan, Wu Botao, Zhang Xin
2024, 45(6): 87-93. doi: 10.7513/j.issn.1004-7638.2024.06.012
Abstract(305) HTML (178) PDF(17)
Abstract:
Iron-chromium alloy coatings with varying V content were fabricated using laser cladding. The microstructural and performance variations of the laser-cladded iron-chromium alloy coatings with different V contents were investigated using metallographic observation, SEM & EDS, and X-ray diffraction analysis. The results indicate that at lower V content, the iron-chromium alloy coating predominantly exhibits a dendritic growth mode. At the coating interface, the dendritic grew rapidly, Cr elements do not have sufficient time to completely dissolve into the matrix, causing the matrix diffraction peaks to shift to higher angles. Increasing V content promotes the transition from dendritic to cellular growth, effectively improving the incomplete dissolution of Cr elements in the matrix and leading to a more uniform coating structure. The formation of VC promotes the transformation of γ-Fe to martensite during solidification, and the hardness of the coating increases. However, when the V content increases to 2%, the ferrovanadium content with a higher melting point increases, resulting in an increase in pore defects, which makes the wear resistance of the coating decrease. When the V content in the coating is 1 %, the hardness and wear resistance are the best.
Microstructure and friction and wear properties of titanium modified layer of preset TiCuZnSn by FSP
Dang Jie, Li Jie, Zhou Peng, Shi Hongyuan, Hui Yuanyuan
2024, 45(6): 94-99. doi: 10.7513/j.issn.1004-7638.2024.06.013
Abstract(297) HTML (146) PDF(13)
Abstract:
In order to obtain the biomedical titanium metal with good surface comprehensive properties, the equimolar Ti, Cu, Zn and Sn metal powders were preset on the surface of TA2 pure titanium, and the surface of pure titanium was modified by friction stir processing (FSP). The microstructure of the modified layer was observed and analyzed by scanning electron microscopy, energy dispersive spectrometer and electron back scattering diffraction, and the mechanical properties of the modified layer were tested by nano-indentation and friction and wear tests. The results show that the TiCuZnSn modified layer with no internal defects and good combination with titanium matrix could be obtained by FSP, and the maximum depth of the modified layer is about 2.5 mm. Alloying elements Cu, Zn and Sn could improve the Young’s modulus and hardness of the modified layer, especially the hardness of the modified layer. The TiCuZnSn modified layer has no significant effect on the friction coefficient of TA2 titanium, but the average wear rate of the modified layer is significantly reduced. Compared with TA2 titanium, the average wear rate of the surface modified layer is reduced by about 28.95%.
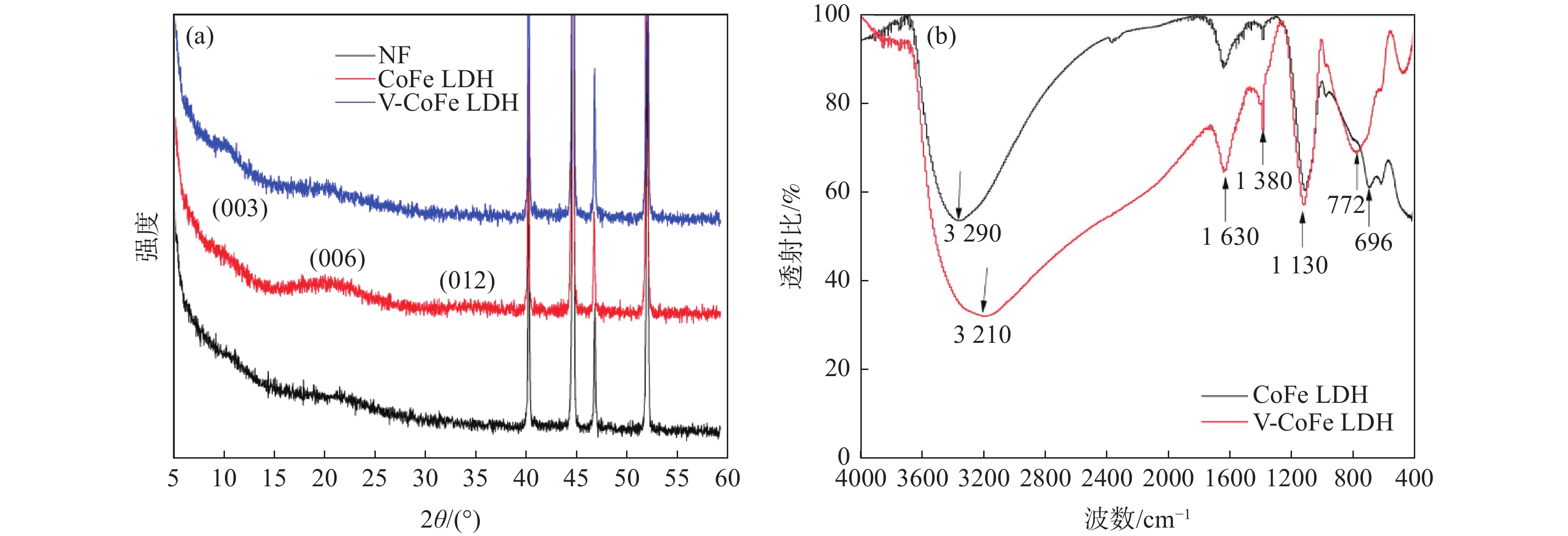
Research on preparation and OER properties of vanadium doped cobalt iron layered double hydroxide
Zeng Zehua, Zhang Dongbin, Yin Xianglu, Dai Yu, Yong Lingling, Xin Yanan, Teng Aijun
2024, 45(6): 100-107. doi: 10.7513/j.issn.1004-7638.2024.06.014
Abstract(456) HTML (220) PDF(24)
Abstract:
Exploiting environmentally friendly and relatively low-toxicity oxygen evolution reaction (OER) electrocatalysts is currently one of the biggest difficulties in water splitting. In this work, cobalt iron layered double hydroxide (CoFe LDH) and vanadium-doped cobalt iron layered double hydroxide (V-CoFe LDH) nanosheets are in situ grown on nickel foam (NF) by electrodeposition as an effective OER catalyst. When CoFe LDH and V-CoFe LDH samples are used as electrocatalysts, they both exhibit excellent OER performance. In an alkaline media, when the current density is 100 mA·cm−2, the overpotentials of CoFe LDH and V-CoFe LDH are small overpotentials of 396 mV and 356 mV, respectively. Tafel slopes of CoFe LDH and V-CoFe LDH are 224 mV·dec−1 and 210 mV·dec−1, respectively. The electrochemical activity specific surface area of V-CoFe LDH electrocatalysts is higher than CoFe LDH electrocatalysts. Moreover, the V-CoFe LDH electrocatalyst has better wetting properties for the electrolyte. These all indicate that the introduction of V helps to enhance the OER performance of the material. Density functional theory calculations and experimental results have shown that the doping of V not only optimizes the electronic structure of the material, enhances conductivity, but also reduces adsorption energy and enhances the contact between the catalyst and electrolyte. This work demonstrates that V-CoFe LDH is a highly promising OER electrocatalyst.
Ferrous Metallurgy and Materials
Study on the effects of oxygen enrichment modes on the tuyere raceway states of blast furnace
Zheng Kui, Zhao Peng, Hu Peng, Huang Yun, Zhang Jianliang, Xu Runsheng
2024, 45(6): 108-118. doi: 10.7513/j.issn.1004-7638.2024.06.015
Abstract(634) HTML (230) PDF(32)
Abstract:
In this paper, based on the actual dimension of the vanadium titanomagnetite blast furnace of a domestic enterprise, a three-dimensional physical model is established. The numerical simulation method is used to compare and study the flow and combustion behavior of pulverized coal in the tuyere gyration area under different oxygen enrichment methods. The results show that the overall trend of the tuyere velocity change with the oxygen enrichment rates is consistent with that of the constant air enrichment mode, but the difference in the change amplitude is significant. That is, when the oxygen enrichment rate is increased by 1%, the cross-sectional velocity of the tuyere is increased by 4.25 m/s (fixed air) and 0.41 m/s (reduced air), respectively. Under the two oxygen enrichment modes, the temperature, reducing gas content and burnout rate of the pulverized coal in the gyratory area have the same trend with the oxygen enrichment rates. As temperature increases, the high temperature area expands with the increase in the reducing gas content, and the burnout rate of pulverized coal increases. Among them, the amount of N2 brought into the blast furnace decreases due to the decrease in hot air flow rate, and the content of CO and H2 in the coal gas changes greatly, preventing the formation of carbon nitrides and titanium carbides, and improving the reduction effect of iron ore in the blast furnace. It is calculated that the average temperature of the gyratory zone is increased by 34.22 K (fixed air) and 32.88 K (reduced air) for every 1% increase in the oxygen enrichment rate. Under the condition of reduced air and oxygen enrichment, the N2 content brought into the blast furnace is reduced by 10 m3/min and the CO concentration in the gas is increased by 8.61%.
Study on the behavior of unburnt pulverized coal and reduction productions of TiO2 in high-titanium blast furnace slag
Xie Hong’en, Zheng Kui, Hu Peng, Tang Wenbo, Ling Xinke
2024, 45(6): 119-126. doi: 10.7513/j.issn.1004-7638.2024.06.016
Abstract(297) HTML (183) PDF(16)
Abstract:
In this study, the viscosity of high-titanium blast furnace slags uniformly mixed with unburnt pulverized coal (UPC) was measured by using the method of rotating cylinder firstly. Then the distribution and behavior of the residual UPC and the reduction products were analyzed according to the macro morphology of these samples and their microscopic morphology of different parts. It was found that TiO2 would inevitably be reduced by UPC, the high melting point reduction products such as Ti(C,N), TiCxOy and unburnt UPC distributed nonuniformly in the slag. As the initial UPC content increased from 0% to 5.51%, the total content of TiC and TiN increased from 0.456% to 2.515%. The high melting point reduction products deposited downwards and aggregated, while the unburnt UPC floated upwards and continued to react with TiO2 to form foam slag, resulting in a significant increase in both viscosity and its fluctuation. However, there were negligible residual unburnt UPC and high melting point reduction products in the middle of the slag.
Study on the diffusion behavior of carbon during solid-state decarbonization process
Zhu Guangpeng, Ai Liqun, Hong Lukuo, Meng Fanjun, Wen Li, Sun Caijiao
2024, 45(6): 127-132. doi: 10.7513/j.issn.1004-7638.2024.06.017
Abstract(455) HTML (218) PDF(12)
Abstract:
In order to study the decarburization effect of Fe-C-Mn alloy strips during solid-state decarburization and the diffusion effect of Mn content on C atoms, the solid-state decarburization test was carried out with Fe-2.7%C-(5%, 12%) Mn alloy composition and 1 mm thickness strips. The molecular dynamics simulation test was carried out by using Lammps software to explore the qualitative law of Mn content on C atom diffusion. The results show that the diffusion activation energy calculated by molecular dynamics simulation is basically the same as that calculated by solid state decarburization experiment. The diffusion activation energy of C atom in 5%Mn at 1223 K, 1323 K and 1363 K is 78.549 kJ·mol−1 and 83.805 kJ·mol−1, respectively. The solid-state decarburization test was carried out at 1363 K. The main limiting step of 5%Mn and 12%Mn alloy strips for 5~20 min was internal carbon diffusion. The decarburization effect of 12%Mn was not as good as that of 5%Mn, indicating that the increase of Mn content inhibited C diffusion. Molecular dynamics simulation results shows that the increase of Mn content reduces the diffusion ability of C atoms.
Physical-numerical simulation and application of optimization of flow control device in a single-stand slab tundish
Huang Lei, Xie Xuqi, Zhang Hua, Li Yuxiang, Huang Zaijing, Huang Kejie, Fang Qing
2024, 45(6): 133-141. doi: 10.7513/j.issn.1004-7638.2024.06.018
Abstract(437) HTML (202) PDF(15)
Abstract:
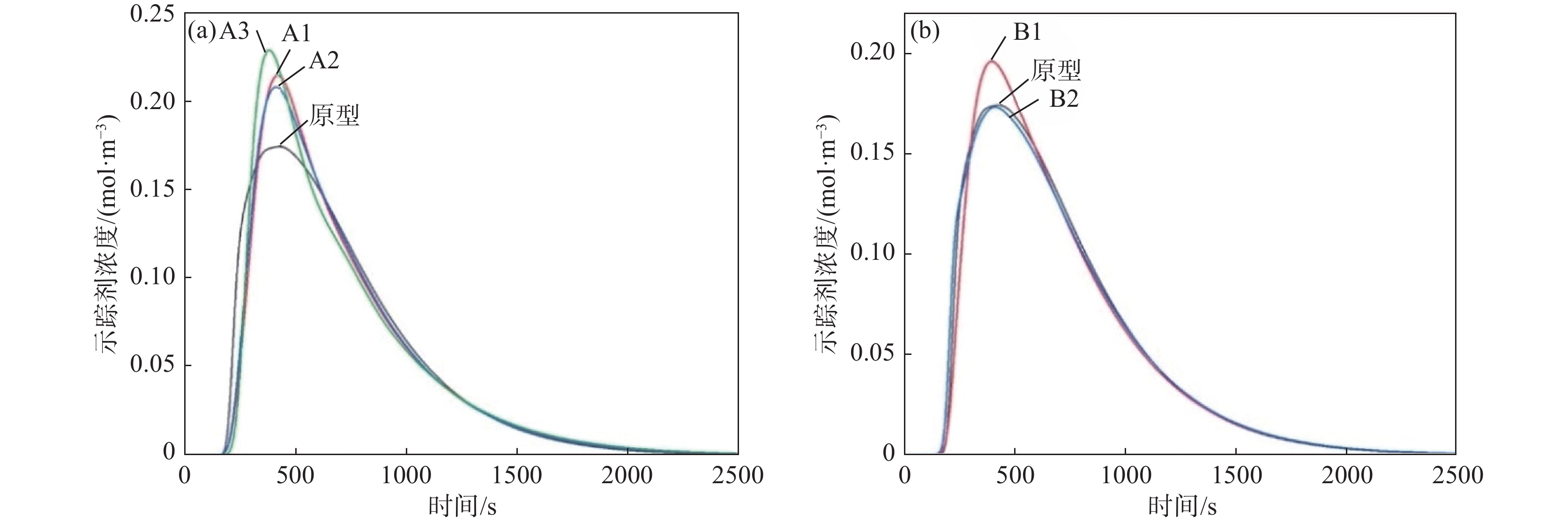
The reasonable structure and layout of flow control devices are crucial for improving the cleanliness of molten steel within the tundish in the continuous casting process. A combined approach using numerical simulation and physical modeling was employed to analyze the steel flow behavior, residence time distribution (RTD) curves, and inclusions removal rates for different combinations and positions of flow control devices in a single-strand slab tundish at a certain plant. The results indicate that when the distance between the dam and baffle remains constant, a suitable shift of the baffle wall towards the ladle shroud side can prolong the average residence time of the liquid steel by 9.9 s to 17.9 s, reduce the dead zone volume fraction by 0.45 to 0.85 percentage, and decrease the low-temperature region in the tundish, thereby enhancing the purification capability of the molten steel. However, when the distance between the dam and baffle is changed, an excessively large distance between them may cause turbulence in the casting zone of the tundish, with the average residence time of the steel showing no significant extension. Instead, the dead zone volume fraction increases by 0.33 percentage, leading to an enlargement of the low-temperature region in the tundish and a 0.18 percentage increase in the overall inclusion removal rate. Thus, a dam-to-dam distance of 473.5 mm and a baffle-to-ladle shroud distance of 720 mm are considered to be the more ideal combination for flow control device settings. The steel cleanness in the single-strand tundish has been effectively enhance by applying the optimized flow control scheme.
Review on the flow pattern of molten steel in the submerged entry nozzle and the mold of continuous casting slabs
Tian Yushi, Qiu Shengtao, Zhu Rong, Xu Lijun, Shi Pengzhao, Wang Xu
2024, 45(6): 142-150. doi: 10.7513/j.issn.1004-7638.2024.06.019
Abstract(513) HTML (199) PDF(24)
Abstract:
Through a systematic analysis of the current researches on flow patterns in the nozzle and mold, this study explores the transformation laws, common characteristics, influencing factors, and their effects on slab quality under various operating conditions, with a particular focus on the asymmetry of flow in the mold. The conclusions are as follows: multiple flow patterns, including bubbly flow, film flow, annular flow, and slug flow, exist within the nozzle and are influenced by liquid flow rate, gas flow rate, and the level of liquid in the tundish. Bubbly flow is relatively stable and beneficial for continuous casting production. When the slab mold operates in a symmetric double-roll flow pattern and the mold surface flow velocity is controlled between 0.26 and 0.43 m/s, it significantly improves the quality of the cast slabs. Meanwhile, a higher casting speed, a lower argon flow rate, and an increased immersion depth of the nozzle have benefit for the formation of the double-roll flow pattern. Flow asymmetry can lead to bias flow. Thus, precise process control can ensure smooth production and enhance slab quality.
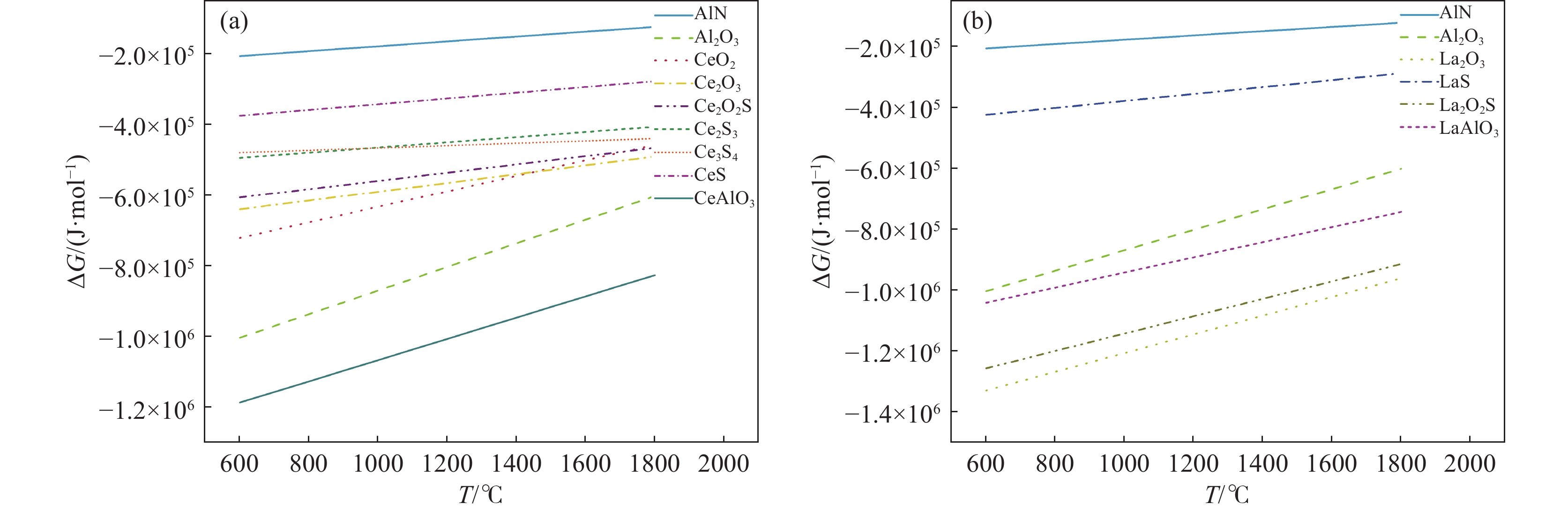
Modification of inclusions in Ni-Al maraging steels by rare earths
Tian Fangcheng, Gao Xueyun, Cao Yue, Xing Lei, Hua Liangeng, Wang Haiyan
2024, 45(6): 151-158. doi: 10.7513/j.issn.1004-7638.2024.06.020
Abstract(384) HTML (204) PDF(18)
Abstract:
Non-metallic inclusions in steel have an important influence on the ductility and toughness of ultra-high strength steels. In this paper, rare earth La and Ce elements were added to Fe-Ni-Al system martensitic aging steel, and the metamorphic mechanism of non-metallic inclusions in steel with different rare earth elements was investigated by scanning electron microscopy, energy spectrometry (SEM-EDS) and electron probe (EPMA) analyses combined with FactSage thermodynamic calculations. The results showed that the addition of rare earth elements to martensitic ageing steel resulted in the formation of rare earth-containing RE-O-S and RE-Al-O, which inhibited the formation of Al2S3 and had no significant effect on the formation of AlN inclusions, and the shape of the inclusions was transformed from a strip-like and irregular geometry to a near-spherical shape after the modification of the inclusions by rare earths. Thermodynamic calculations showed that after the addition of rare earth elements, the thermodynamic stability of inclusions in the steel might be formed roughly as REAlO3 → Al2O3 → rare earth sulfides → AlN. After the addition of rare earths, the RE2O3 and Al2O3 had been stable in the high-temperature molten state of the liquid steel, and with the lowering of the cooling temperature inclusions formed in the order of REAlO3 → RE2O2S → RES, and the inclusions of rare-earth La and Ce showed basically the same evolutionary path.
Study on the inclusion distribution behavior of U71Mn heavy rail steel after rolling
Song Guangjie, Wang Yi, He Jianzhong, Zhang Daxian, Fu Jianxun
2024, 45(6): 159-166. doi: 10.7513/j.issn.1004-7638.2024.06.021
Abstract(311) HTML (152) PDF(19)
Abstract:
The morphology and distribution of non-metallic inclusions significantly affect the performance of heavy rail steels. This study employed optical microscopy, scanning electron microscopy, a three-dimensional etching instrument for inclusions, and Thermo-calc software to investigate the inclusions in U71Mn heavy rail steel produced by a certain factory. The results show that the average equivalent diameter and aspect ratio of inclusions at the waist of the U71Mn heavy rail steel are the largest, while the number density is the smallest. The inclusion densities in the rail head, waist, and base are 18, 12, and 14/mm2, respectively, with the average equivalent diameters of 2.5, 2.7, and 2.4 μm, and the average aspect ratios of 7.4, 13.3, and 6.4, respectively. The main inclusions in the steel are individual MnS and complex inclusions of CaO·Al2O3·SiO2·MgO. The sizes of MnS at the rail head and base are relatively small, mainly distributed between 10~50 μm. The sizes of MnS inclusions at the rail waist are larger, mostly between 20~80 μm, with several large-sized MnS rolled on the same horizontal line. The complex inclusions of CaO·Al2O3·SiO2·MgO generally appear near-spherical or irregular along the rolling direction.
Effect of annealing process on microstructure and properties of 2Cr12Ni4Mo3VNbN blade steel
Cao Chenxing, Xin Ruishan, Yu Zhanyang, Li Xiaokai, He Yudong, Yao Bin, Wang Liwei, He Yi
2024, 45(6): 167-171. doi: 10.7513/j.issn.1004-7638.2024.06.022
Abstract(427) HTML (165) PDF(23)
Abstract:
In order to solve the problem of high annealing hardness of 2Cr12Ni4Mo3VNbN industrial bar, the effects of different annealing processes on the microstructure and hardness of 2Cr12Ni4Mo3VNbN blade steel were systematically studied. The results show that compared with two-phase zone heating annealing and incomplete annealing, complete annealing has better annealing effect, the hardness is the lowest after annealing, and the hardness can be further reduced by furnace cooling. The two-stage annealing and three-stage annealing can improve structure uniformity and significantly reduce the hardness. The multi-stage annealing process is better than the one-stage annealing and two-stage annealing with regards to hardness reduction through annealing.
Effect of tempering temperature on the mechanical properties and microstructures of 1500 MPa hot stamping steel after quenching
Wang Zijian, Huang Wei, Peng Ze, Liang Xiao, Deng Jianlin
2024, 45(6): 172-176. doi: 10.7513/j.issn.1004-7638.2024.06.023
Abstract(426) HTML (156) PDF(24)
Abstract:
Quenching and tempering treatment were carried out on a 1 500 MPa hot formed steel, and the effects of tempering temperature on the microstructures and mechanical properties were studied using methods such as metallographic microscopy, room temperature tensile testing, and scanning electron microscopy. The results show that if the Cr content is too high, it will reduce the activity of C and inhibit the formation of carbides. Therefore, the main carbides in the steel are M23C6 and M7C3. As the tempering temperature increases to around 400 ℃, the carbides will transform from M23C6 to M7C3, and the tensile strength, yield strength, and hardness will gradually decrease with the increase of tempering temperature. When the tempering temperature exceeds 400 ℃, the strength will significantly decrease, the elongation will gradually increase by enhancing tempering temperatures. The strength plastic product will first increase and then decrease with the increase of tempering temperature. The high-density dislocations in Flat noodles martensite will decrease, and the martensite will engulf and merge with each other, and then gradually blur with the increase of tempering temperature. Ferrites appear in the matrix. In addition, carbides will also precipitate and grow up.
Microstructure, mechanical properties and corrosion resistance of the Ni-based alloy NS1402 TIG welded joints
Zhou Guangtao, Cui Lilin, Zheng Huaibei, Zhang Hongtao
2024, 45(6): 177-183. doi: 10.7513/j.issn.1004-7638.2024.06.024
Abstract(350) HTML (148) PDF(20)
Abstract:
The weldability of domestic nickel-based alloy NS1402 by TIG welding with nickel-based wire ERNiFeCr-1 as the filler material was studied. The microstructures and mechanical properties of the joints were analyzed compared with the foreign Incoloy825 alloy. At the same time, the effect of common low alloy steel wire ER50-6 on the weldability of the two alloys at home and abroad was compared, and the corrosion resistance of the joints was investigated. The results show that the nickel-based alloy NS1402 joints are well formed, and the weld zone consists of a large area of equiaxial crystals and a small number of columnar crystals. Tensile specimens are broken at the NS1402 welding seam, and the welded joints have a tensile strength of 570 MPa, which is 89.1% of the tensile strength of base metal. The strength and elongation of NS1402 are slightly lower than that of the imported 825 alloy. The fracture morphology of the joints after tensile testing is observed and analyzed. It is found that the fracture morphology of nickel-based alloy NS1402 welded joint exhibits ductile fracture, with a higher number of small-sized dimples on the fracture joints. The corrosion resistance of nickel-based wire ERNiFeCr-1 joint is better than the common ER50-6 wire joints. The corrosion test results show that the corrosion resistance of the domestic nickel-based alloy NS1402 joints and foreign Incoloy825 joints is comparable.
Research on the characteristics of cold-rolled deformation zone of thin strip and the applicability of contact pressure model
Huang Ziteng, Li Wei, Luo Xu, Li Junhong, Yu Hui
2024, 45(6): 184-193. doi: 10.7513/j.issn.1004-7638.2024.06.025
Abstract(333) HTML (198) PDF(18)
Abstract:
In the process of cold rolling of thin strip, the roll will produce different degrees of elastic flattening, and the different understandings of this phenomenon in each deformation in each deformation zone theory lead to significant difference in its calculation accuracy and application range. Therefore, the finite element method is used to analyze the variation law of the characteristics of the deformation zone in the process of cold rolling of thin strip, and the derivation characteristics, prerequisites and applicable intervals of the three contact pressure models of Stone total slip, Johnson full elasticity and combined type are compared and explored. The results show that with the increasing of the elastic flattening degree of the roll, the contour of the deformation zone undergoes arc shape, arc flattening enlargement, non-arc shape and nearly linear shape, and the occurrence of neutral zone and the increasing proportion of the deformation zone are the main reasons for the rapid decrease of the actual depression rate and the rapid increase of the shape coefficient of the deformation zone. By comparing the simulated and theoretical values of the contact pressure curve in the deformation zone, it can be found out that the Stone model, Johnson model and combined model are suitable for rolling conditions where the pass reduction ratio is greater than 10%, less than 1% and 1%~10%, respectively.
Thermodynamic calculation of sulfide and nitride precipitation in high grade non-oriented silicon steel
Feng Guohui, Cheng Chuanliang, Wang Xu, Qiao Jialong, Shi Pengzhao, Guo Feihu, Liu Lei, Qiu Shengtao
2024, 45(6): 194-200. doi: 10.7513/j.issn.1004-7638.2024.06.026
Abstract(292) HTML (156) PDF(21)
Abstract:
The equilibrium concentration relationship of precipitates was obtained by thermodynamic calculation of sulfide and nitride of the high grade non-oriented electrical steel 50W350. Below the liquidus temperature, AlN precipitates in the range of 1 700-1 788 K, TiN in the range of 1 588-1 788 K, MnS in the range of 1 768-1 788 K, Cu2S in the range of 1 420-1 768 K. The existence of precipitates in each temperature range has been confirmed through detection.