2024 Vol. 45, No. 5

Separating and Extracting of Vanadium and Titanium
Preparation of VN via core-shell precursor method under the intervention of dispersants
Bo Wenbin, Zhang Yimin, Xue Nannan, Liu Hong
2024, 45(5): 1-8. doi: 10.7513/j.issn.1004-7638.2024.05.001
Abstract(785) HTML (177) PDF(52)
Abstract:
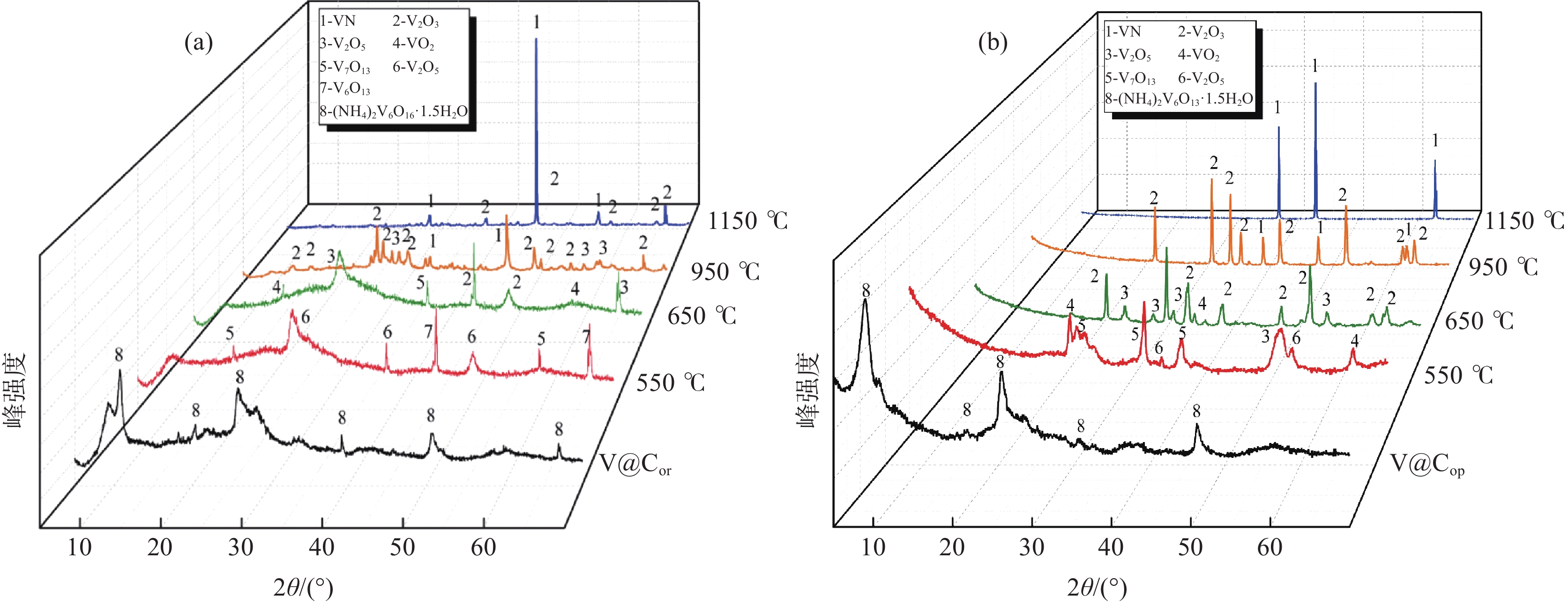
In this study, polyvinyl pyrrolidone (PVP) is used to optimize the core-shell V@C precursor structure, and the precursor is heat-treated to obtain vanadium nitride (VN) up to the National Standard VN16 grade of China. The addition of PVP promotes both the uniform dispersion of the carbon powders in the vanadium rich solution and facilitates the hydrogen bonding of ammonium polyvanadate (APV) ions, which are adsorbed on the surface of carbon powders for nucleation and growth. The as-prepared precursor by adding PVP has better encapsulated and stable carbon powder core and APV shell with uniform and moderate thickness, as well as small and homogeneous particle size distribution. In the nitridation and reduction process, the phase transition from precursor to VN is as follows: APV → V2O5 → V6O13 → V7O13 → VO2 → V3O5 → V2O3 → (VC) → VN. Due to its more stable core-shell coating structure and more uniform particle size distribution, the optimized precursor forms a more stable phase reaction interface and more active reaction sites, which reduces the reaction activation energy (Ea) at each stage, and makes it more efficient in reducing and nitriding and easier to transition to low-valent VOx and VN. In comparison with current carbothermal reduction process, the reaction time is shortened by 75%, and the flow rate of N2 is reduced from 300 mL/min to 200 mL/min, the usage of N2 is reduced by 40%, significantly reducing production costs.
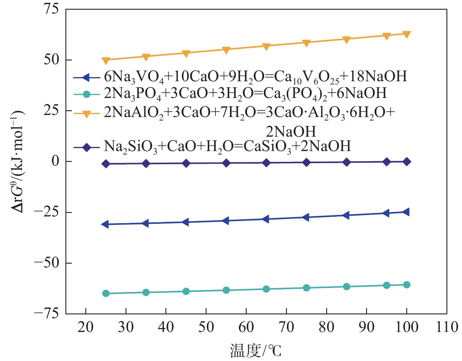
Research on the vanadium extraction from deactivated sulfuric acid catalyst featured with two-step and selectively
Jia Meili, Du Hao, Zhang Yi, Wang Shaona, Li Lanjie, Qi Jian, Zhou Bingjing, Zhao Beibei
2024, 45(5): 9-16. doi: 10.7513/j.issn.1004-7638.2024.05.002
Abstract(581) HTML (139) PDF(28)
Abstract:
Based on the limited selectivity exhibited by current direct acid leaching and alkaline leaching processes for deactivated sulfuric acid catalysts, resulting in costly subsequent separation and challenging medium reuse, a new two-step process for selective extraction of vanadium was adopted. Using the strong water solubility of potassium and sulfur, the influence of washing temperature and pH value on leaching of potassium and sulfur was studied. It was found that potassium and sulfur can be removed more than 80% and 96% respectively by water washing under the condition of temperature 40~60℃ and pH 3~5, while the loss rate of vanadium was controlled within 10%. Thus, the selective separation of vanadium from potassium and sulfur was realized. In the second step, based on the leaching characteristics of vanadium and silicon in an alkali medium, the effects of leaching temperature, time, liquid-solid ratio and alkali concentration on vanadium extraction were studied. It was found that after reaction with 5% NaOH solution at 80 ℃ and L/S = 5 for 30 min, more than 95% vanadium was deactivated from the sulfuric acid catalyst, while the silicon leaching rate kept almost zero. The vanadium-containing leaching solution can be handled by calcification and ammonium process to obtain ammonium metavanadate products. The NaOH solution can be recycled to vanadium extraction step and wastewater zero emission was achieved.
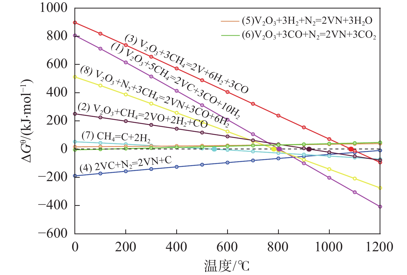
Preparation of VN by reduction nitriding V2O3 with CH4
Xia Sanyuan, Jiang Tao, Chen Bojian, Wen Jing, Yang Guangdong, Liu Mengxia
2024, 45(5): 17-25. doi: 10.7513/j.issn.1004-7638.2024.05.003
Abstract(457) HTML (154) PDF(18)
Abstract:
In this paper, the process conditions and reaction process of using CH4 instead of traditional carbon thermal reduction to prepare VN is explored by combining thermodynamic calculation and experimental process exploration. The results showed that the VN products with nitrogen and carbon contents of 14.2% and 3.35% were successfully synthesized under the conditions of CH4 flow rate of 0.1 L/min, heating at 1150 ℃ for 2 h and continuous nitriding for 2 h, which met the national standard of VN16 (GB/T 20567-2020) for vanadium nitride product. The phase transition process during the reaction is V2O3→V8C7→VN, and the high activated carbon and hydrogen produced by methane decomposition at high temperature are beneficial to the carbonization reaction and effectively improve the reaction rate.
Numerical simulation of fluidized chlorination velocity of high titanium slag
Cao Li, Zhu Kuisong, Xie Cong, Wang Jun, Zhao Yingtao, Sun Changqing, Cheng Xiangli
2024, 45(5): 26-34. doi: 10.7513/j.issn.1004-7638.2024.05.004
Abstract(408) HTML (160) PDF(23)
Abstract:
Based on the physical parameters of high titanium slag and chlorine gas, the initial fluidization velocity of fluidized chlorination of high titanium slag was calculated by using the classical initial fluidization velocity formula. And the mathematical model of gas-solid two-phase flow of fluidized chlorination of high titanium slag was established by combining Euler two-fluid model. Finally, based on the numerical simulation results, the superficial gas velocity of fluidized chlorination of high titanium slag was predicted. The results show that the initial fluidization velocity obtained by Euler two-fluid model combined with Grace formula can accurately simulate the gas-solid two-phase flow characteristics of high titanium slag chlorination process. According to the volume fraction of high titanium slag particles in the fluidized chlorination bed, the velocity and pressure distribution of the cross section of the bed, the optimal superficial gas velocity for the fluidized chlorination of high titanium slag was determined to be 1.5 times the initial fluidization velocity obtained by Grace’s calculation formula.
Study on powder metallurgical properties of molten salt electrolytic titanium powder
Deng Bin, Mu Tianzhu, Zhou Xiangxing, Yuan Tiechui
2024, 45(5): 35-42. doi: 10.7513/j.issn.1004-7638.2024.05.005
Abstract(425) HTML (139) PDF(18)
Abstract:
Electrolytic titanium powder was utilized as the raw material for fabricating porous titanium through press-sintering technique. The forming and sintering characteristics were investigated. Then the mechanical properties, pore structure, pore size distribution and permeability of the prepared porous titanium were characterized. The results show that with the increase of pressing pressure, the bridging space between the particles of electrolytic titanium powder with secondary particle characteristics gradually disappears. Porous titanium powder with different porosity and mechanical strength can be obtained by adjusting the molding pressure and sintering temperature. Compared to HDH titanium powder, electrolytic titanium powder exhibits better molding performance, easier sintering densification, higher porosity, greater permeability, and a higher Young’s modulus. A porous titanium was obtained by using electrolytic titanium powder with a particle size of 74~104 μm at 70~110 MPa and then sintering it at 1110 ℃, whose Young’s modulus is similar to that of human cancellous bone. The permeability and maximum pore diameter meet the requirements of TG035 and TG020 in the standard for sintered metal filtration elements (GBT6887-2019), indicating promising applications in the fields of human cancellous bone implants and filtration materials.
Characterization of surface properties of titanium dioxide by inverse gas chromatography
Wang Xiaohui, Guo Jie, Xu Jinxiu, Tan Ling, Xie Lihua, Hu Yijie
2024, 45(5): 43-48. doi: 10.7513/j.issn.1004-7638.2024.05.006
Abstract(365) HTML (149) PDF(22)
Abstract:
The surface energy and acid/base constants of three kinds of titanium dioxide (TiO2) were measured by inverse gas chromatography (IGC) to investigate the effect of organic treatment on the surface properties of TiO2. The non-polar surface energy of the samples were calculated by using different molecular probes at different temperatures. The results indicate that non-polar surface energy $ \gamma\mathrm{_s^d} $of TiO2 decreases with the increase of organic cladding amount at the same temperature (within the testing temperature range). As the temperature increases, $ \gamma\mathrm{_s^d} $of TiO2 decreases. Meanwhile, the acid-base component of surface energy was studied by using polar molecules as probe molecules, revealing that the surface of titanium dioxide is amphoacid. Since the surface of TiO2 presents acidic, the reaction between organic agents and the hydroxyl groups on the surface of TiO2 leads to the decrease in the surface acid sites and thus the surface acidity of TiO2. However, when excessive organic agent is added, some hydroxyl groups generated by organic agents hydrolyzation would not react with TiO2, resulting in the increment of TiO2 surface acidity.
Application of Vanadium and Titanium
Review of MXenes as electrocatalysts for hydrogen production
Liu Enhao, Chen Chao, Dang Jie
2024, 45(5): 49-62. doi: 10.7513/j.issn.1004-7638.2024.05.007
Abstract(1230) HTML (172) PDF(48)
Abstract:
Renewable energy-based water electrolysis is the main method of producing “green hydrogen”, but it still faces difficulties in large-scale application due to high power consumption and the resulting high cost of electricity. The way to reduce power consumption lies in the development of high-performance electrocatalysts. MXenes is a two-dimensional material composed of carbides, nitrides and carbon-nitrides with high electrical conductivity, large specific surface area, high mechanical strength and excellent hydrophilicity, which is an ideal carrier for electrocatalysts and has been widely used in the research in the field of hydrogen production by electrolysis of water. This paper firstly introduces the basic composition and structural characteristics of MXenes, summarizes and analyzes the research results on the direct use of MXenes in electrolysis of water for hydrogen production, and describes the application and progress of its use as a carrier material to anchor highly active substances for hydrogen and oxygen evolution reaction, and finally summarizes and looks forward to the future development prospects of MXenes materials.
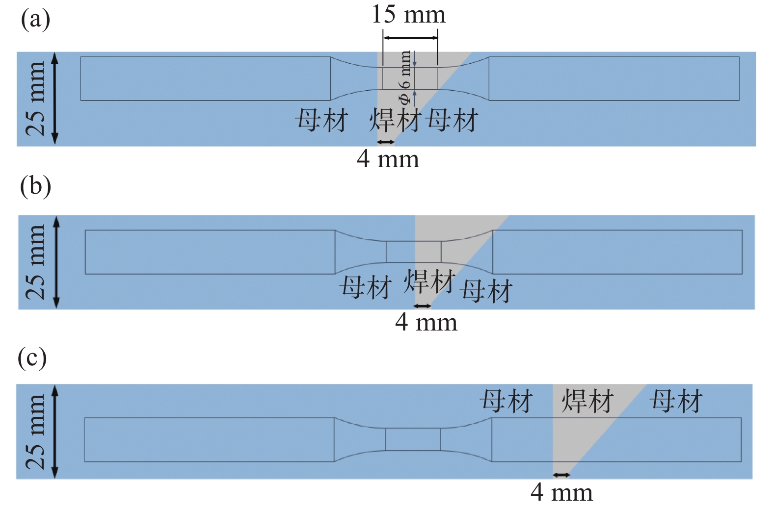
Research on TIG welding organizational and performance of TC4 forge alloy
Zhang Hang, Zu Guoqing, Wang Dachen, Wang Yafeng, Li Hanbo, Liu Jie
2024, 45(5): 63-69. doi: 10.7513/j.issn.1004-7638.2024.05.008
Abstract(420) HTML (174) PDF(23)
Abstract:
TC4 forged titanium plates with a thickness of 14 mm were multi-layer and multi-pass butt welded by non-melting tungsten inert gas welding (TIG), and the metallographic structure, crystal orientation and mechanical properties of the joints were investigated. The results show that the weld seams of TC4 titanium alloy welding joints are nicely formed, and the welding zone microstructure is mainly composed of columnar crystal and elongated acicular martensite α' phase. The microstructure of heat-affected zone is (α+β)+α′ phase, and base metal microstructure is (α+β) phase. Corresponding to the crystal orientation relationship, the grain interlacing distribution in the welding zone shows a certain preferred orientation according to different phases, among which the <111> and <001> direction is more preferred for the grain orientation at the bottom welding position, while the grain orientation distribution of base metal is not uniform. The tensile strength and elongation after fracture of the welding joint are 982 MPa and 6.0%, respectively, which are lower than those of the base metal, and all the bending tests produce cracks or fractures. The joint hardness first decreases and then increases from welding zone center to base metal, with the microhardness of the welding zone cover weld layer is slightly lower than that in the bottom weld layer.
Study on microstructure and properties of laser welded thin-walled straight seam titanium pipes
Yin Xin, Li Junzhao, Li Haiming, Fan Cheng, Liu Wenzheng, Peng Shengjun, Sun Qingjie, Zeng Xianshan
2024, 45(5): 70-73. doi: 10.7513/j.issn.1004-7638.2024.05.009
Abstract(400) HTML (148) PDF(15)
Abstract:
The thin-walled Gr.1 pure titanium straight seam welded pipe was welded by laser, and the samples obtained from the experiment were analyzed for macroscopic morphology, microstructure and mechanical properties. The results show that the weld width of longitudinally welded thin-walled pipe is relatively narrow, with an outer weld width of 1.51 mm and an inner weld width of 0.98 mm. The microstructure of titanium welded pipe weld is mainly columnar α phase, serrated α phase and a small amount of needle shape α phase. The results of flaring, flattening, and reverse bending tests are all qualified. Finally, an expansion test was conducted on the sample tube, and the expansion amplitude reached 18.4%, with a relatively uniform deformation in appearance. From the microstructure after tube expansion, it can be seen that after tube expansion, most of the grains in the weld seam, heat affected zone, and base metal are significantly deformed and broken due to tensile action, and many needle shaped α phase grains are produced , but no cracks occurred.
Study on interfacial thermal stability of SiCf/TC25G composites
Sun Wu, Zhang Yuming, Yang Lina, Yang Qing, Liu Di, Wang Yumin
2024, 45(5): 74-82. doi: 10.7513/j.issn.1004-7638.2024.05.010
Abstract(507) HTML (218) PDF(21)
Abstract:
The prolonged exposure of TMCs to high temperatures results in severe interfacial reactions between the matrix and the fiber, leading to a degradation in the mechanical properties of the composites. In this study, SiCf/TC25G composites were prepared using a magnetron sputtering precursor wire method followed by hot isostatic pressing process. The interface reaction and thermal stability of the composites were investigated. Specifically designed interfacial thermal stability experiments under different thermal exposure conditions were conducted based on the service temperature of TC25G titanium alloy. The resulting interfacial morphology and products of the composites under hot isostatic pressure and hot exposure were analyzed using various techniques including SEM, TEM, EPMA, XRD, and EBSD techniques. The primary product of the interface reaction layer in SiCf/TC25G composites under hot isostatic pressure is validated as TiC, and the silicides in the reaction layer near the matrix side and the matrix precipitate in the form of (Ti, Zr)6Si3. As thermal exposure temperature and holding time increased, both the thickness of the interface reaction layer increases while that of the C coating decreases. Based on these observations, a growth law for SiCf/TC25G composite was summarized. The activation energy for the growth of the interfacial reaction layer in SiCf/TC25G composites is 50.53 kJ /mol, and the exponential factor for the reaction layer growth is 1.23×10−7 m/s1/2.
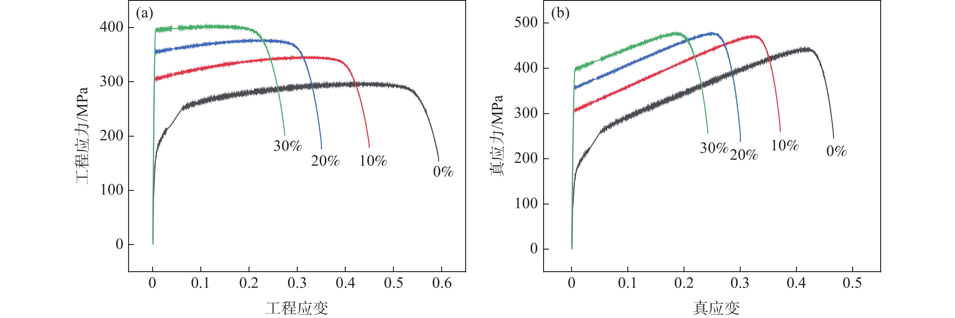
Influence of pre strain on the mechanical properties of TA2 and the establishment of constitutive model
Li Yifan, Dai Qiao, Guo Cheng, Feng Libin
2024, 45(5): 83-90. doi: 10.7513/j.issn.1004-7638.2024.05.011
Abstract(419) HTML (221) PDF(17)
Abstract:
To investigate the effect of prestrain on the mechanical properties of TA2, room temperature tensile tests were conducted on the TA2 original material and specimens with the prestrains of 10%, 20%, and 30%. Based on the influence of prestrain on the mechanical properties of TA2, prestrain variables were introduced to modify the Hollomon model, Ludwik model, and Swift model to predict the mechanical behavior of prestrained TA2. The results show that with the increase of prestrain, the yield strength of TA2 increases significantly, the tensile strength slightly increases, and the elongation after fracture, strength plastic product, and strain hardening indexes decrease. Prestrain enhances the strength of TA2 by consuming plastic properties, and the plastic strain energy density and fracture strain energy density of TA2 decrease significantly with the increase of prestrain. The average correlation coefficients between the predicted results of each modified model and the experimental values are 0.9862, 0.9994, and 0.9744, with the maximum prediction errors of 6.34%, 8.33%, and 16.42%, respectively. Among them, the Hollomon model has a simplified structure and good prediction accuracy, making it the best choice to describe the effect of prestrain on the mechanical behavior of TA2.
Microstructures, properties and high-temp oxidation behaviors of Ti-45Al-8Nb-xHf alloys
Wang Wei
2024, 45(5): 91-97, 115. doi: 10.7513/j.issn.1004-7638.2024.05.012
Abstract(435) HTML (159) PDF(19)
Abstract:
Ti-45Al-8Nb-xHf (x=0.5, 1.0, 1.5, 2) alloys were prepared by argon-protected vacuum induction melting process, and the microstructure, compressive properties and antioxidant properties of the alloys were investigated by using optical microscope (OM), scanning electron microscope (SEM), energy spectrum spectrometry (EDS), X-ray diffraction (XRD) and universal testing machine. The results show that the increase of Hf element content can maintain and refine the microstructure of the alloys, delay the transformation of the tissue at high temperature, and increase the compressive strength and compression ratio of the alloys to 1923 MPa and 25.7%, respectively, with an increase of more than 30%, which has a significant strengthening effect. The alloys have a stable TiO2+Nb2O5 oxide sublayer when oxidized at 1000 ℃, which grows by oxidation at a flat interface, the size of the oxide diffusion layer is stable less than 85 μm, the oxidized quality changes linearly, and the oxidation rate curve decreases and finally reaches the stable oxidation stage. The addition of appropriate amount of Hf is conducive to strengthening the mechanical properties of the alloys and high-temperature oxidation resistance.
Resources Environment and Energy Saving
Research progress on resource utilization of spent SCR denitrification catalyst
Song Shizhe, Qian Feng, Liu Zhongcheng, Ma Guangyu, Hou Hongyu, Xu Pengfei
2024, 45(5): 98-107. doi: 10.7513/j.issn.1004-7638.2024.05.013
Abstract(1007) HTML (250) PDF(54)
Abstract:
Recently, due to the increasing application of selective catalytic reduction (SCR) technology, a large number of spent SCR denitrification catalysts were inevitably produced. In order to save the resources and protect the environment, much attention should be attracted on their proper disposal. Spent SCR denitrification catalysts could be recycled as resources through the recovery of valuable components, overall utilization or solidification treatment, respectively. The valuable components could be effectively recovered from spent denitrification catalysts by acid-base leaching, active roasting, molten salt electrolysis, chemical precipitation, organic extraction, ion exchange. The catalyst could also be wholly used as a raw material for regenerating the catalyst and producing titanium-containing pellets or titanium-containing sinter. Moreover, it can also be solidified by melt solidification, cement solidification, ceramic solidification. Overall, the above-mentioned methods were comprehensively summarized and prospected, which will provide inspiration and reference for the resource utilization of spent SCR denitrification catalysts in the future.
Carbon thermal reduction is used to enrich alumina from fly ash and prepare ferrosilicon alloy
Xia Wenjie, Jin Yongli, Zhang Wuzhen, Zhang Kaiyue
2024, 45(5): 108-115. doi: 10.7513/j.issn.1004-7638.2024.05.014
Abstract(569) HTML (164) PDF(16)
Abstract:
The comprehensive utilization of fly ash is a solid waste industry with high technical content and application potential, which integrates environmental protection and resource recycling. Ferrosilicon alloy was prepared by carbothermal reduction of fly ash under laboratory conditions and alumina was enriched to recover Si, Fe, Al and other elements in fly ash. It was found that the content of silicon in the ferrosilicon alloy increased with the increase of temperature during the reaction. When the carbon content increases, the Al-O-Si bond of the mullite phase in the fly ash is more easily decomposed and reduced to alumina and silica. The carbothermal reduction is carried out under the condition of adding Fe2O3. After adding Fe2O3, not only the temperature of carbothermal reduction can be reduced, but also the silicon dioxide in mullite phase is easier to be reduced to silicon, and combined with metal iron to form ferrosilicon alloy, which creates conditions for the subsequent separation of ferrosilicon alloy and alumina. In this process, fly ash, iron oxide and pulverized coal are mixed at a mass ratio of 5∶4∶2, and roasted in a resistance furnace at 1 600 °C. After holding for two hours, they are cooled with the furnace. After crushing, screening, grinding and magnetic separation, the reduced materials are treated to obtain ferrosilicon alloy primary products and tailings with high alumina content. The desilication rate reaches 76.44%, and the recovery rate of aluminum reaches 93.96%.
Study on process mineralogy of a low grade refractory vanadium-titanium magnetite ore in Xinjiang
Wang Yue, Yang Yaohui, Hui Bo, Lin Haitao
2024, 45(5): 116-122. doi: 10.7513/j.issn.1004-7638.2024.05.015
Abstract(430) HTML (171) PDF(30)
Abstract:
In order to find out the ore properties of a low-grade refractory vanadium-titanium magnetite ore and the factors affecting the beneficiation index, carried out detailed process mineralogy research. The research shows that the ore is a low-grade vanadium-titanium magnetite ore of gabbro type. The grade of TiO2 is 4.53 %, the grade of TFe is 14.06% and the content of other valuable elements is low. Titanomagnetite is the target mineral for beneficiation recovery of iron, in which the distribution rate of iron accounts for 47.892% of the total iron. Ilmenite is the target mineral for beneficiation recovery of titanium, and its distribution rate of titanium accounts for 60.881% of the total titanium. The solid solution separation minerals, altered minerals chlorite and apatite are common in titanomagnetite. The particle size is fine and the dissemination is complex. It is difficult to effectively dissociate from titanomagnetite by grinding, and it is easy to be mixed with iron concentrate to affect the quality of iron concentrate. The ilmenite also contains trace alteration minerals such as titanite and fine-grained titanomagnetite, apatite and sulfide. The addition of titanomagnetite to the ilmenite concentrate will lead to the increase of Ca, Mg, Si, S and P in the ilmenite concentrate, which will affect the quality of the concentrate. At the same time, the lamellar ilmenite and ilmenite in titanomagnetite are difficult to be effectively dissociated by grinding, and it is easy to enter the iron concentrate with titanomagnetite in the iron separation process. This part of ilmenite is a reasonable loss.
Effect of steel slag ratio on the sintering of vanadium-titanium magnetite ore
Zhang Jianliang, Wang Qi, Liu Chenxin, Cao Chaozhen, Li Zhen, Zhu Jianqiu, Hao Liangyuan
2024, 45(5): 123-129. doi: 10.7513/j.issn.1004-7638.2024.05.016
Abstract(679) HTML (184) PDF(26)
Abstract:
To optimize the recycling strategy of steel slag and enhance the economic and social benefits of steel companies, the study first analyzed the content of titanium and phosphorus elements in steel slag and conducted sintering pot tests based on different steel slag ratios. In the vanadium-titanium magnetite sintering process, with the increase of steel slag ratio, the perovskite phase in sinter increases, and bonding phases transform from SFCA to perovskite phases. This transformation leads to an uneven mineral phase in sinter and increases its complexity, which has a detrimental effect on the strength of the sintered ore. Additionally, with the increase of steel slag ratio, the phosphorus content in the finished sintered ore also increases. When the steel slag addition amount reaches 5%, the lowest sintering loss rate in the sintering pot test is 15.42%. At a steel slag ratio of 4%, the maximum yield of sintered ore is 86.49%, as the ratio continues to increase, the yield remains relatively stable.
Ferrous Metallurgy and Materials
Research on theoretical combustion temperature control of V-Ti magnetite blast furnace smelting
Zheng Kui, Wang Wei, Gan Xian, Xie Hong’en, Fu Weiguo, Dong Xiaosen
2024, 45(5): 130-138. doi: 10.7513/j.issn.1004-7638.2024.05.017
Abstract(533) HTML (203) PDF(24)
Abstract:
The theoretical combustion temperature in front of the tuyere is one of the important parameters for evaluating the thermal state of the blast furnace hearth. On the basis of the traditional theoretical combustion temperature calculation model, the influence of ash content, unburned coal powder, and SiO2 gasification rate on the theoretical combustion temperature was comprehensively considered, and the theoretical combustion temperature calculation model was revised. The research results indicate that, the influence of factors ignored by traditional calculation models on the theoretical combustion temperature ranges from 53 to 55 ℃. The influence of oxygen enrichment rate, coal injection rate, blowing humidity, air temperature, coal fuel rate, coal preheating temperature, ash content, and SiO2 gasification rate on the theoretical combustion temperature decreases in sequence. The suitable theoretical combustion temperature control range for the blast furnace at Panzhihua Steel & Vanadium Co., Ltd. is 2160~2320 ℃. And under the condition of constant blowing humidity, the suitable control range for the theoretical combustion temperature is 2220~2 280 ℃. After applying real-time online calculation of theoretical combustion temperature to the regulation of blast furnace production operations, it effectively promotes
Numerical simulation of solidification process for Q345R thick slab continuous casting
Zheng Xinyu, Sun Yanhui, Feng Qi, Gao Qing, Yang Wenzhi, Yang Jian
2024, 45(5): 139-146. doi: 10.7513/j.issn.1004-7638.2024.05.018
Abstract(497) HTML (204) PDF(20)
Abstract:
In order to improve the quality of Xianggang Q345R thick slab casting billet, a solidification heat transfer model was established and was verified and corrected by nail shooting experiment. Through numerical simulation, the existing production process was evaluated, and the influence of casting speed, cooling water, superheat, thickness and width of casting billet on the pressing position and pressing interval were studied respectively, and their influence on the corner temperature of the casting billet was studied. The simulation results are analyzed, and the reasonable continuous casting process parameters and billet specifications during the production of the steel grade are obtained as follows: the cross-section is 450 mm×2 270 mm, the tensile speed is 0.55 m/min, the superheat is 15~25 ℃, and the specific water volume of secondary cooling is 0.26 L/kg, the straightening zone is Seg.8~9, and the light pressure area is Seg.13~15. With these casting parameters applied, the center segregation of the slab and the crack defects in the corners can be effectively controlled.
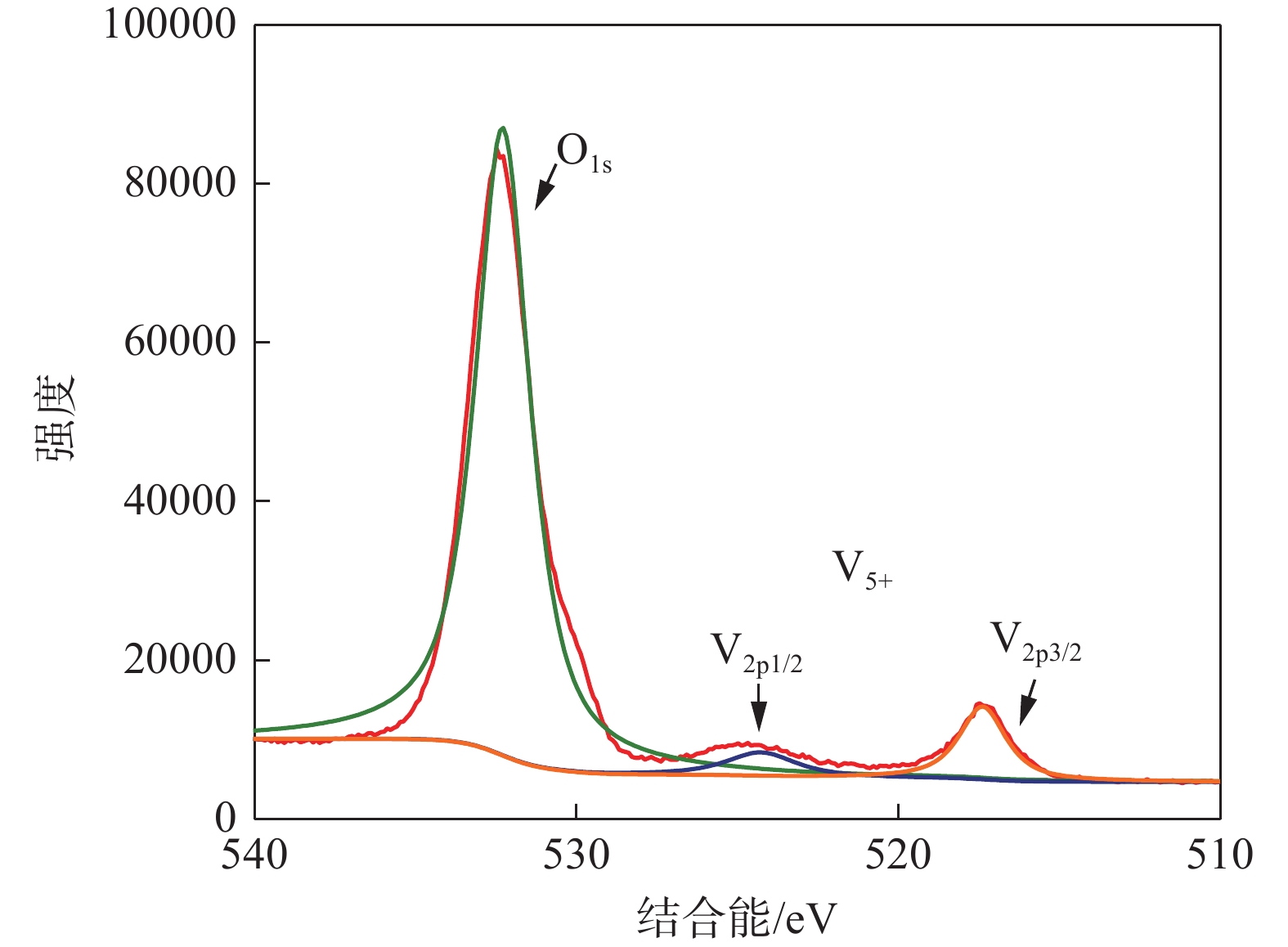
Phase coexistence relationship of CaO-Al2O3-V2O5 slag system
Hao Guandi, Qiu Jiyu, Gong Henghui, Liu Yuan, Jiang Maofa
2024, 45(5): 147-150. doi: 10.7513/j.issn.1004-7638.2024.05.019
Abstract(344) HTML (156) PDF(21)
Abstract:
CaO-Al2O3-V2O5 slag system is a basic metallurgical slag system for denitrification of liquid steel. The lack of thermodynamic information, such as the phase equilibrium relationship, limits the research and development of related slag systems. In this paper, the phase equilibrium relationship of CaO-Al2O3-V2O5 slag system was studied through high temperature phase equilibrium experiment, combined with scanning electron microscope and energy spectrum analysis. According to the experimental results, the phase equilibrium relationship of CaO-Al2O3-V2O5 slag line at 1 600 ℃ in air atmosphere was determined, and the isothermal cross section of CaO-Al2O3-V2O5 slag line within the whole component range of the system is drawn, including 7 equilibrium phase regions, i.e., Liquid+Al2O3+CaAl12O19, Liquid+CaAl12O19+CaAl4O7, Liquid+CaO, Liquid+Al2O3, Liquid+ CaAl12O19, Liquid+CaAl4O7 and single liquid phase region. The determination of equilibrium phase regions between the above phases can realize the division of independent sub-systems of the phase diagram of the CaO-Al2O3-Ce2O3 slag system, and can also provide support for the subsequent high-temperature phase diagram drawing of the slag system.
Effects of solidification structure on MnS in heavy rail steel bloom
Li Hongguang, Xu Mingli, He Wei, Wang Zhangyin
2024, 45(5): 151-157. doi: 10.7513/j.issn.1004-7638.2024.05.020
Abstract(327) HTML (154) PDF(15)
Abstract:
The sizes and microstructures of MnS at different positions of the heavy rail steel bloom were measured by electro-chemical etching and Aspex scanning, and the effect of solidification structure on MnS was studied. The results show that when the solidification structure transforms from mixed-crystal to coarse equiaxed grain, the quantitative proportion of MnS particles with the size range of 3-5 μm decreases, and the quantitative proportion of particles with sizes larger than 10 μm increases significantly. While the distance from the narrow surface of the bloom changed from 40 mm to 100 mm, the solidification structure transformed more obviously, and the larger increment of the quantitative proportion of MnS particles with sizes over 10 μm was obtained: if the solidification structure transformed obviously, the quantitative proportion was increased by 48.02%, and if the solidification structure did not transform, the quantitative proportion was increased by 0.31%. It means MnS particles can be refined by adopting processes to shorten the local solidification time, such as strengthening cooling during continuous casting.
Analysis of inclusions and carbides in mold casting billets of Cr12MoV steel
Lun Mingrui, Shen Ping, Liu Bin, Fu Jianxun
2024, 45(5): 158-166. doi: 10.7513/j.issn.1004-7638.2024.05.021
Abstract(492) HTML (149) PDF(25)
Abstract:
The transformation of different phases, the precipitation of inclusions and carbides in the Cr12MoV cold work die steel were calculated using Factsage thermodynamic software. The inclusions and carbides of the mold casting billets were analyzed using OM and SEM. It is shown that Cr12MoV steel is dominated by irregular rare-earth complex oxygen sulfide and sulfide inclusions, specifically Ce2S3, Ce2O2S and La2S3 inclusions. The Al2O3 and the MnS inclusions exist in the mold-cast billet in the form of rare-earth complex oxygen sulfide and sulfide inclusions after modification by rare earth elements. The density and area ratio of inclusions are 102~136 pieces /mm2 and 0.06%~0.15%, respectively. The equivalent diameters of inclusions are mainly in the range of 2.5~3.0 μm. Cr12MoV cold work mold steel contains a large number of carbides, in which the carbides are Fe-riched and Cr-riched eutectic carbides of M23C6 type. The average equivalent diameter of carbides in the center of billets is 4.9 μm and 3.7 μm at the edge. The area proportion of carbides from the edge to the center of billets ranges from 2.94% to 4.31%.
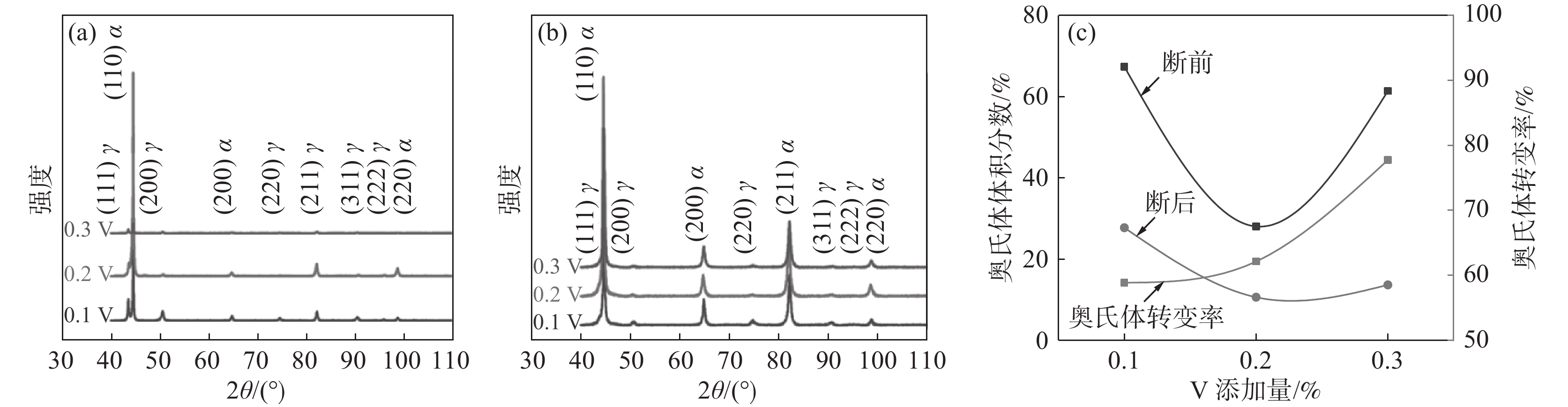
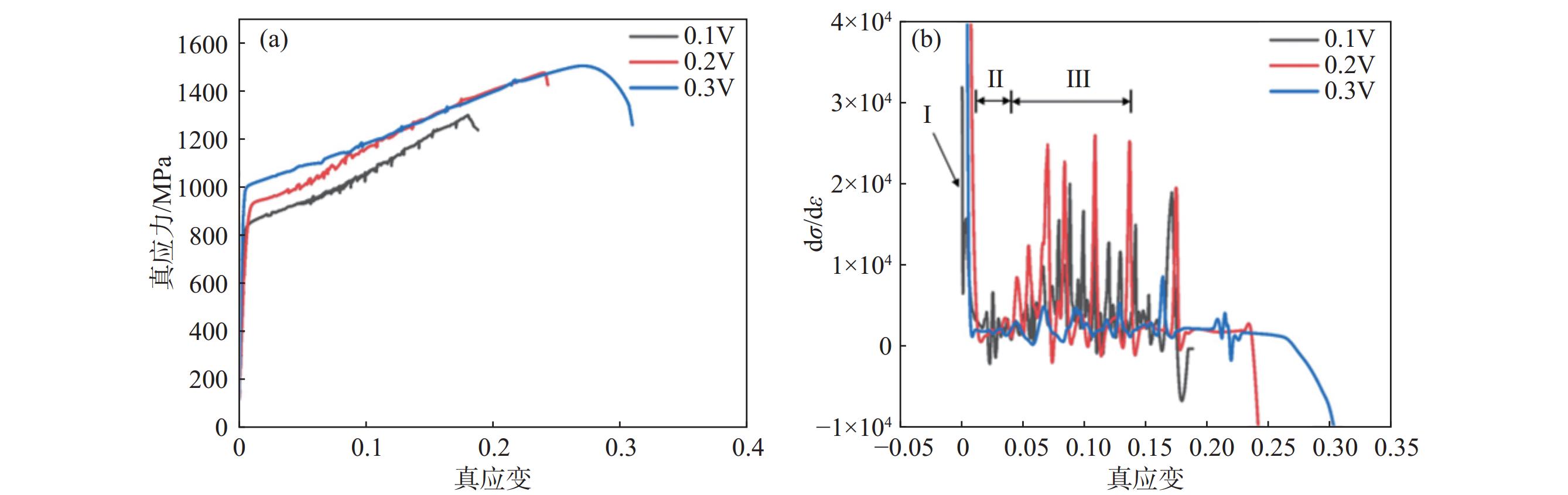
Effect of vanadium on the microstructure and mechanical properties of 7Mn steel during cold rolling process
Yu Haicun, Lü Wei, Li Ning, Wei Haidong, Wang Xuming, Yu Tao, Ding Wanwu
2024, 45(5): 167-172. doi: 10.7513/j.issn.1004-7638.2024.05.022
Abstract(359) HTML (165) PDF(13)
Abstract:
On the basis of 7Mn medium manganese steel, different contents of V element were added. Through cold rolling and annealing treatment, the influence of 0.1%~0.3% V addition on the microstructure and mechanical properties of the steel was preliminarily explored. The experimental results show that when the content of V is 0.3%, the comprehensive mechanical properties of the experimental steel are the best. The yield strength is 993.96 MPa, with the tensile strength 1164.56 MPa, the elongation 37.55%, and the strength and elongation product 43.73 GPa·%. This is because V forms a fine and dispersed second phase in the steel, which improves the comprehensive mechanical properties of the experimental steel under the combined effects of fine grain strengthening, second phase strengthening and TRIP effect.
Influence of final cooling temperature on the microstructure and mechanical properties of Ti microalloyed automobile beam steel
Han Chufei, Dong Yi, Shi Xiaoguang, Sun Chengqian, Wang Junxiong, Xu Haijian
2024, 45(5): 173-176, 204. doi: 10.7513/j.issn.1004-7638.2024.05.023
Abstract(409) HTML (200) PDF(15)
Abstract:
In order to reveal the influence of final cooling temperature on microstructure and mechanical properties of Ti-microalloyed automobile 510L beam steel, the hot rolling and laminar cooling (LC) experiment was conducted on 0.11C-1.20Mn-0.055Ti beam steel. The experimental results showed that with the final cooling temperature decreasing, the strength of the steels decreased and the elongation increased. Moreover, the ratio of equiaxed ferrite in the steel decreased while the ratio of pearlite increased. And the average grain gradually refined. The TEM observation results showed that the precipitation of dispersed and fine particles was cubic structure TiC particles in the Ti-microalloyed automobile 510L beam steel. The number density of TiC particles decreased with decreasing the final cooling temperature. The effects of final cooling temperature on the strength of the 510L beam steel combine precipitation strengthening and fine grain strengthening.
Study on combustion solution prepared Co0.25Ni0.25Cu0.25Mn0.25Fe2O4 and their photocatalytic performance
Xiong Xiaoying, Cao Zhiqin, Zuo Chengyang
2024, 45(5): 177-182. doi: 10.7513/j.issn.1004-7638.2024.05.024
Abstract(346) HTML (176) PDF(11)
Abstract:
Using cobalt nitrate (Co(NO3)2·6H2O), iron nitrate (Fe(NO3)3·9H2O), nickel nitrate (Ni(NO3)2·6H2O), manganese nitrate (Mn(NO3)2·4H2O), copper nitrate (Cu(NO3)2·3H2O) as raw materials and glycine as fuel, Co0.25Ni0.25Cu0.25Mn0.25Fe2O4 was prepared by solution combustion synthesis. The preparation and catalytic performance of Co0.25Ni0.25Cu0.25Mn0.25Fe2O4 powder with different mount of glycine were investigated. The organic solvent methylene blue was used as the pollution source to test its photocatalytic performance. The powder samples were detected by XRD, and the optimum amount of glycine was found. The results showed that when the molar ratio of glycine to iron nitrate was 4, of methylene blue achieved the best photocatalytic performance. The time for complete degradation of 0.002%, 0.004%, and 0.006% methylene blue was 40 minutes, 60 minutes, and 70 minutes, respectively. The kinetic analysis was also carried out. Glucose as the additives can effectively improve Co0.25Ni0.25Cu0.25Mn0.25Fe2O4 powder in the catalytic activity. When the adding glucose amount is 1 g, the required time for fully biodegradable initial concentration of 0.004% MB is 50 minutes, and degradation efficiency increased by 16.7%.
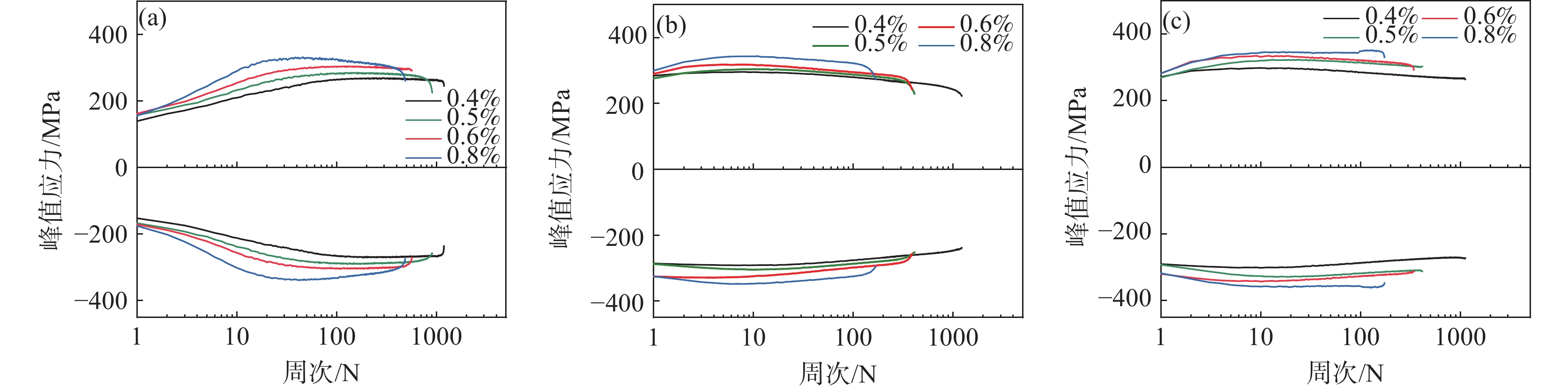
Low cycle fatigue characteristics and life prediction methods for different regions of 316L welded joints
Guo Yanjun, Zhang Wei, Yang Qiaofa, Zhou Changyu
2024, 45(5): 183-192. doi: 10.7513/j.issn.1004-7638.2024.05.025
Abstract(358) HTML (140) PDF(20)
Abstract:
In this paper, the high-temperature low-cycle fatigue characteristics of three types of materials: 316L base metal, welded material, and welded joints were systematically studied. By introducing a fatigue life reduction coefficient into the traditional life prediction model, the low-cycle fatigue life prediction of different regions of the welded joints has been achieved. The results show that during the low-cycle fatigue process, all three materials undergo initial rapid hardening, then enter a stable cyclic state, and finally experience a rapid decrease in peak stress followed by failure. Among them, the base metal has the longest duration of hardening, while the hardening duration of the welded material and welded joints is relatively shorter. With the increase of strain amplitude, the fatigue life of the three materials significantly decreases. The fatigue life of the base metal is significantly higher than that of the welded material and welded joints, while the fatigue lifes of the welded material and welded joints are similar. Based on the low-cycle fatigue life of the base metal, the fatigue lifes of different materials are equivalently processed using a life reduction coefficient. Multiple life prediction models are selected to predict and evaluate the isothermal fatigue life of the three materials. It is found out that Generalized Strain Energy Damage Function (GSEDF) method can achieve the best agreement with measured result.
Study on the phase transformation law of titanium microalloyed non-oriented silicon steel
Liang Xiaosong, Wang Peng, Chen Songjun, Li Liejun, Huo Xiangdong
2024, 45(5): 193-198. doi: 10.7513/j.issn.1004-7638.2024.05.026
Abstract(439) HTML (215) PDF(15)
Abstract:
The CCT curves of 50W600 and 50W600-Ti were measured by thermal simulator. The phase transformation of the two test steels under continuous cooling had been studied and precipitation behavior in titanium-containing steels was also observed. The results show that the phase transformation temperature of 50W600 is 926-1047 ℃, and the phase transformation temperature range decreases with the increase of cooling rate. The phase transformation temperature of 50W600-Ti is 838-1048 ℃, and cooling rate has little effect on temperature range. The structure of the two test steel matrices basically consists of ferrite, and there is a small amount of cementite under high cooling speed. The microhardness of 50W600 did not change significant with cooling rate, while the microhardness of 50W600-Ti peaked and the precipitation of titanium carbide particles was relatively sufficient at the cold rate of 5 ℃/s
Interpretation on GB/T 2965-2023: Titanium and titanium alloy bars
Xie Chen, Ma Zhongxian, Feng Junning, Li Wei, Wei Jiaqi, Feng Yongqi, Hu Zhijie, Ma Jiakun, Qing Daga, Wang Ruofei
2024, 45(5): 199-204. doi: 10.7513/j.issn.1004-7638.2024.05.027
Abstract(1340) HTML (485) PDF(44)
Abstract:
In this paper the revision reasons and process evolution of new standard GB/T 2965-2023 had been briefed. And interpretation had been made on the following points such as terms and definition, product category, dimension and tolerance, heat treatment, mechanical properties, sampling and test result determination. It is hoped that this interpretation can provide guidance for production and inspection of the standard in the follow-up process.