2021 Vol. 42, No. 2

Technical Review
Status of titanium dioxide industry in China and the development prospect
Bi Sheng
2021, 42(2): 1-4. doi: 10.7513/j.issn.1004-7638.2021.02.001
Abstract(1321) HTML (418) PDF(156)
Abstract:
The data and achievements of titanium dioxide industry in China in 2019 and 2020 were reviewed and summarized. The current situations and development prospects were also analyzed. It is suggested that a high quality development will be the mainstream of the titanium dioxide industry in future. Although the industrial capacity concentration is increased to a certain extent, the industry reconstruction can not by realized in short period which is the challenge of the industry. Furthermore, the problems of industry supervision, titanium raw materials for chlorination, environmental protection and clean production are still noticeable.
Separating and Extracting of Vanadium and Titanium
New process for utilization of sea sand vanadium-bearing titanomagnetite
Zhang Jun, Xu Haichuan, Wang Feng, Yan Dinliu, Xu Hongjun, Shen Pengfei
2021, 42(2): 5-9. doi: 10.7513/j.issn.1004-7638.2021.02.002
Abstract(1129) HTML (315) PDF(79)
Abstract:
In order to improve the comprehensive utilization efficiency of sea sand vanadium titanomagnetite and reduce the treatment energy consumption, an activated reduction treatment method based on the rotary hearth furnace (RF) reduction-electric furnace (EAF) smelting separation process was put forward. The extraction of iron, vanadium and titanium was investigated to optimize the process parameters, and a measure improving the smelting efficiency of EAF was proposed. The smelting efficiency of the sea sand vanadium titanomagnetite as well as the desulfurization limit of the molten iron are improved effectively in the activated reduction-EAF smelting separation flow, in which the optimum effect can be acquired with the activated reduction temperature at 1150~1200 ℃ and the EAF smelting temperature at 1450 ℃, respectively. Moreover, the activated reduction promotes vanadium extraction by oxygen blowing in the EAF smelting process, significantly reducing the power consumption of EAF, improving the extraction efficiency of vanadium and simplifying the steel-making process. Under the new treatment process, the activity of titanium-bearing molten slag is improved, with the titanium leaching rate in dilute sulfuric acid (volume concentration higher than 15%) reaching 95% which avoids the waste acid discharge in the traditional sulfuric acid extraction process.
Direct leaching of spent catalyst from acid production from flue gas
Zhu Jun, Liu Danyang, Yang Miao, Chen Yipeng, Wang Bin, Zhao Lv, Kang Min
2021, 42(2): 10-14. doi: 10.7513/j.issn.1004-7638.2021.02.003
Abstract(820) HTML (194) PDF(55)
Abstract:
The waste catalyst from acid production from heavy metal smelting flue gas has relatively complex impurity compositions. In order to obtain the optimum conditions for comprehensive recovery of vanadium, potassium and zinc from the waste catalyst, a direct leaching process was proposed and the factors affecting the leaching rate of vanadium, potassium and zinc, e.g. the mass fraction of leaching agent, liquid-solid ratio, reaction temperature and time, were studied. The chemical and phase compositions of the waste catalyst and leaching residue were analyzed and compared. The optimum leaching conditions were determined at the sulfuric acid mass fraction of 8%, liquid-solid ratio of 2∶1, leaching temperature of 70 ℃ and leaching time of 1.5 h, with the leaching rates of vanadium, potassium and zinc at 93.58%, 85.43% and 99.31%, respectively. The proposed process is better than the traditional roasting method.
Review of progress in synthesis of M phase VO2 powders
Zhang Kun, Mei Jing, Wang Dan, Jiang Peng, Yuan Xinqiang, Zhang Wei
2021, 42(2): 15-22. doi: 10.7513/j.issn.1004-7638.2021.02.004
Abstract(890) HTML (235) PDF(93)
Abstract:
Vanadium dioxide (VO2) has the semiconductor-metal phase transition characteristics. It has the mutation property of infrared light transmittance/reflectivity at 68 ℃. Using tungsten, fluorine and other elements for single element or multi-element doping can effectively reduce the phase transition temperature of VO2 (M), and VO2 (M) with room temperature phase transition feature can be developed, which can greatly broaden its application in the intelligent windows. The progress in synthesis of VO2 (M) and doped VO2(M) powders from vanadium pentoxide (V2O5) was reviewed, the advantages and disadvantages of different synthesis methods were compared, and the feasibility and prospect of their application in smart plexiglass were analyzed.
Study on preparation of vanadium trioxide by hydrogen reduction
Shi Qihua, Yin Danfeng, Wang Ning, Chen Haijun, Jing Han
2021, 42(2): 23-27. doi: 10.7513/j.issn.1004-7638.2021.02.005
Abstract(1187) HTML (251) PDF(113)
Abstract:
In this paper, the preparation of V2O3 by hydrogen reduction was systematically studied. The stable state of vanadium under different conditions was determined by thermodynamic analysis of vanadium redox reactions in V-H-O system. The influence of reaction temperature and time on deoxidation was analyzed, and the optimum reduction conditions were obtained. Under the optimum conditions, the V2O3 product with a vanadium content of 67.81% can be obtained. At the same time, the phase changes of V2O5 during the reduction process were revealed via X-ray diffraction. It shows a stepwise reduction process of V2O5, with the intermediate products of V3O16 and V3O7 formed during the reduction. As the reduction proceeds, the intermediates can be gradually decomposed into V2O3 and VO2. Finally, VO2 is completely reduced into V2O3.
Mathematical modeling and analysis of vanadium extraction from acid leaching solution of clay vanadium ore with N235
Tang Yue, Ye Guohua, Hu Yujie, Chen Ziyang, Tao Yuanyuan
2021, 42(2): 28-35. doi: 10.7513/j.issn.1004-7638.2021.02.006
Abstract(649) HTML (212) PDF(60)
Abstract:
Based on the experiments of extracting vanadium from acid leaching solution of clay vanadium ore with N235, the factors influencing the extraction rate were studied. The influences of pH value, extractant concentration and phase ratio on the extraction rate were determined. The interaction effect during the three factors was determined by response surface methodology. The causes of interaction were analyzed by thermodynamics and solution chemistry. It is shown that the pH value and sulfur content in the extraction system greatly affect the vanadium components in the solution, and then affect the extraction rate. Meanwhile, the change of vanadium components also affects the extraction rate. Conclusively, the core mechanism of the interaction of the extraction system is the change of solution compositions caused by pH variation and the difference of extractant when facing different ions.
Soft sensing modeling of metatitanic acid particle size based on machine learning
Lu Ruifang, Liu Chan, Sun Wei, Wu Jianchun, Sun Qiang
2021, 42(2): 36-42. doi: 10.7513/j.issn.1004-7638.2021.02.007
Abstract(592) HTML (198) PDF(46)
Abstract:
Taking 3608 data of a titanium dioxide production line by sulfuric acid process as samples, the correlation between the five attribute variables of the industrial titanium sulfate solution and the particle size of metatitanic acid D50 was investigated by Pearson coefficient and statistical p value, and the LOF algorithm was used to clean the outlier data and improve the data quality. On this basis, the regression model algorithm of metatitanic acid particle size control was compiled by Python language based on six models of Ridge, Lasso, KNN, ANN, Random forest and SVR. The regression prediction results of the six algorithms applied to the whole set of data have no significant difference. After the outlier processing, the RMSE and MAE of the data fluctuate around 0.276 and 0.197 respectively, and the model effect is better than that of the model before the outlier processing. Furthermore, through the ensemble learning model of ANN, Random Forest and SVR, the regression prediction effect can be significantly improved, and the RMSE and MAE values decreases to 0.245 and 0.192 respectively.
Application of Vanadium and Titanium
Influence of forming direction on properties of TC4 alloy during electron beam selective melting
Sun Baofu, Chen Jiaqi, Zhang Rui, Mo Lilin, Huang Xingguang
2021, 42(2): 43-47, 90. doi: 10.7513/j.issn.1004-7638.2021.02.008
Abstract(747) HTML (388) PDF(52)
Abstract:
Electron beam selective melting was used to print in different forming directions. Scanning electron microscope (SEM) and metallographic microscope (OM) were used to study the microstructure characteristics of Ti-6Al-4V alloy formed by electron beam selective melting. The mechanical properties of Ti-6Al-4V alloy after forming were obtained, and the influence of forming direction on mechanical properties of the alloy was revealed. The results show that the tensile strength, yield strength and elongation of the transverse printing products can reach 986 MPa, 880 MPa and 11.2% respectively, which are obviously better than those of the vertical printing products. The materials cool down faster in the transverse printing process, and the phase is transformed from β to α′ martensite and then decomposed into microstructure consisting of α+β phases. The materials are heated repeatedly during the vertical printing process, resulting in Widmanstaten structure (superheated structure).
Thermal parameters measurement and application of TA1 industrial pure titanium
Wang Feilong, Zhang Yong, Long Gang, Ye Qiang, Feng Jing, Wang Liangyun
2021, 42(2): 48-52. doi: 10.7513/j.issn.1004-7638.2021.02.009
Abstract(2067) HTML (573) PDF(394)
Abstract:
To control the heating process of industrial pure titanium slab (TA1) automatically, the parameters such as density, specific heat capacity, thermal diffusivity and thermal conductivity in the range of 21.6~975 ℃ were measured or calculated. The variation trends of the parameters were analyzed, and the phase-transition temperature of the pure titanium was determined at 885 ℃. Based on the obtained experimental results, an automatic combustion control (ACC) model of the heating process of the TA1 slab was developed. Industrial applications show that the difference in the average tapping temperature of the TA1 slab is within 9 ℃ between the calculated temperature by the developed model and the measured temperature. It indicates that the thermal parameters and the ACC model are accurate and reliable, meeting the industrial production requirements.
Preparation of fibrous titanium-lithium ion sieve precursor with skin collagen as the template
Wu Yuanbin, Yang Ru, Deng Shenglian, Zhang Liyuan
2021, 42(2): 53-59. doi: 10.7513/j.issn.1004-7638.2021.02.010
Abstract(445) HTML (169) PDF(30)
Abstract:
In order to solve the poor permeability and fluidity of traditional powder titanium-lithium ion sieve, fibrous precursor of titanium-lithium ion sieve (Li2TiO3) was prepared via the solid-state reaction with skin collagen as the template, Ti(SO4)2 and lithium acetate as the titanium and lithium source respectively. The effects of reagent, treatment method and pH value on the synthesis of titanium-lithium ion sieve precursor were investigated. The samples were characterized by scanning electron microscopy (SEM) and X-ray diffraction (XRD). The results show that a good fibrous precursor of titanium-lithium ion sieve can be obtained by adding tannin, controlling pH=4.0 and holding at 750 ℃ for 8 h, with the obtained sample composed of monoclinic β-Li2TiO3.
Study on the properties of titanium bearing weather-proof building steel
Li Zhi, Han Guang, Lu Xianghui, Sun Yingbing
2021, 42(2): 60-65. doi: 10.7513/j.issn.1004-7638.2021.02.011
Abstract(558) HTML (297) PDF(17)
Abstract:
In this paper, the corrosion resistance and wear resistance of Q235NH building steel specimens with different Ti content were studied. The results show that with the increase of titanium content, the corrosion potential of the sample first moves forward and then moves negative, and the wear volume first decreases and then increases. Both of the corrosion resistance and wear resistance of the sample present a increase followed by decrease. With the Ti content increasing from 0 to 0.09%, the microstructure of the sample is gradually refined. When Ti content increases from 0.09% to 0.15%, the microstructure of the sample is not refined, but the internal nitride particles are coarsened. The corrosion potential of the sample positively shifts by 78 mV and the wear volume decreases by 7.2 × 10−3 mm3, compared with that without Ti. Based on the improvement of corrosion resistance and wear resistance, the optimum content of Ti in Q235NH weather-proof building steel is at 0.09%.
Preparation and performance of different aluminum filmson titanium dioxide surface
Wu Jianchun, Lu Ruifang, Liu Chan, Chen Xiaozhe
2021, 42(2): 66-72. doi: 10.7513/j.issn.1004-7638.2021.02.012
Abstract(650) HTML (217) PDF(28)
Abstract:
Using sodium metaaluminate, aluminum sulfate and phosphoric acid as raw materials, different aluminum films were prepared at various pH values. Crystal structure, thermal stability, microstructure and physical properties of the films were analyzed by XRD, infrared spectroscopy, thermogravimetry, SEM, BET, ZETA potential. The results show that the ZETA potentials of the hydrated alumina obtained at different pH are all positive with poor hydrophilic properties, while the ZETA potential of aluminum phosphate is negative with good hydrophilic properties. The hydrated alumina obtained at pH = 4~5 has a nearly spherical amorphous structure, and it loses the bound water at 200 ℃ and 930 ℃. AlO(OH) obtained at pH = 8~9 has a flocculent boehmite structure with a large specific surface area and it loses the bound water at 402 ℃. The granular bayerite block with clear interface and uneven size distribution can be obtained at pH = 10~10.5, which loses the bound water at 297.5 ℃ and 513 ℃, respectively. Amorphous aluminum phosphate is prepared by adding phosphoric acid into sodium metaaluminate, whose morphology is an aggregate of spherical small particles. The order of absorption in the ultraviolet region from strong to weak is amorphous hydrated alumina> aluminum phosphate> gibbsite> boehmite hydrated alumina. The pigment performance of titanium dioxide can be improved by coating of these aluminum compounds on the surface of titanium dioxide, but hydrated alumina will reduce the water dispersibility of titanium dioxide.
Study on the properties of vanadium bearing building screw steel
Bi Yingying, Qi Yong
2021, 42(2): 73-78. doi: 10.7513/j.issn.1004-7638.2021.02.013
Abstract(525) HTML (334) PDF(28)
Abstract:
In this paper, the samples of HRB335 screw steel containing vanadium were prepared, and the microstructure, mechanical properties and wear resistance of the samples were tested, compared and discussed. The results show that with the increase of vanadium content, the mechanical properties and wear resistance of the samples increase first and then decrease, and the internal structure of the samples is refined and the pearlite lamellae spacing decreases, while the pearlite lamellae are not straight at the vanadium content of 0.05%. Compared with the samples without vanadium, the tensile strength and yield strength of the sample with 0.04% vanadium respectively increase by 4.8% and 3.9%, with the wear volume decreased by 28.95%. The optimal content of vanadium in the steel sample is at 0.04%.
Beneficiation column
Magnetic separation and enrichment method of ultrafine-grained vanadium-bearing titanomagnetite in Panxi region
Wang Fengyu, Xu Xiaoyi, Liang Taomao, Chen Junming, Chen Long
2021, 42(2): 79-85. doi: 10.7513/j.issn.1004-7638.2021.02.014
Abstract(1454) HTML (395) PDF(142)
Abstract:
The recovery of ilmenite from vanadium titanomagnetite in Panxi area generally adopts “high-intensity magnetic flotation” as the principle process. This process technology is relatively mature and has certain adaptability, but the −38 μm fine ilmenite has not been effectively recovered, and a large number of −38 μm particles are directly discarded as slime, resulting in low total recovery rate and serious waste of resources. In order to improve the recovery rate of ilmenite, this paper explores the effect of magnetic separation and enrichment of three fine-grained samples of Panzhihua Iron and Steel Group Co., Ltd., Xiushui ore and Hongge ore. The test results show that the new ZQS high-gradient magnetic separator can efficiently recover ultrafine ilmenite; the grade and recovery rate of concentrate TiO2 are relatively high (86.80%, 82.26% and 77.78%, respectively, for the −0.038 to 0.019 mm grain grade). The magnetic separation technology is simple and shows a good perspective for industrial application.
Study on the reasonable electrostatic separation feeding ore grade in the process of gravity-electrostatic separation of coarse ilmenite in Panxi region
Li Jin, Wang Hongbin, Zhang Chun, Zhang Guohua, Luo Deqiang
2021, 42(2): 86-90. doi: 10.7513/j.issn.1004-7638.2021.02.015
Abstract(632) HTML (201) PDF(35)
Abstract:
According to the size characteristic of a coarse ilmenite in Panxi region, the process of gravity-electrostatic separation in different TiO2 grades was carried out, and the production index and cost-effectiveness in different feeding ore were compared. The results show that the process of gravity-electrostatic separation is reasonable, and the grade of electrostatic separation feeding ore should be controlled between 20% and 25%. This study provides a technical basis for determining the reasonable feeding ore grade of electrostatic separation in the process of gravity-electrostatic separation.
Experimental study on titanium concentrate separation from Panxi vanadium-titanium magnetite
Cao Yuchuan, Li Huiyue, Li Luhong, Dong Yingze, An Dengji, Xu Haifeng, Zhou Yulin, Wang Hongbin
2021, 42(2): 91-98. doi: 10.7513/j.issn.1004-7638.2021.02.016
Abstract(1003) HTML (403) PDF(86)
Abstract:
Based on multi-element analysis and targeted mineral composition of the vanadium-titanium magnetite in Panxi area, the titanium concentrate separation including magnetic separation, gravity separation, electric separation, and flotation process had been carried out upon the iron tailings, in order to reveal removal methods of different gangue minerals by individual process. Therefore, two technological processes had been determined. The electric separation of coarse-grained particle-flotation process of fine-grained particle can be used to obtain a titanium concentrate grade of 47.11% and a recovery of 22.17%. The high intensity magnetic separation concentrate is floated with whole flotation process, and it can obtain titanium concentrate with grade 47.05% and recovery 22.08%.
Experimental study on high-efficiency beneficiation of fine-grained olivine pyroxene ilmenite
Wu Xuehong
2021, 42(2): 99-102. doi: 10.7513/j.issn.1004-7638.2021.02.017
Abstract(666) HTML (201) PDF(38)
Abstract:
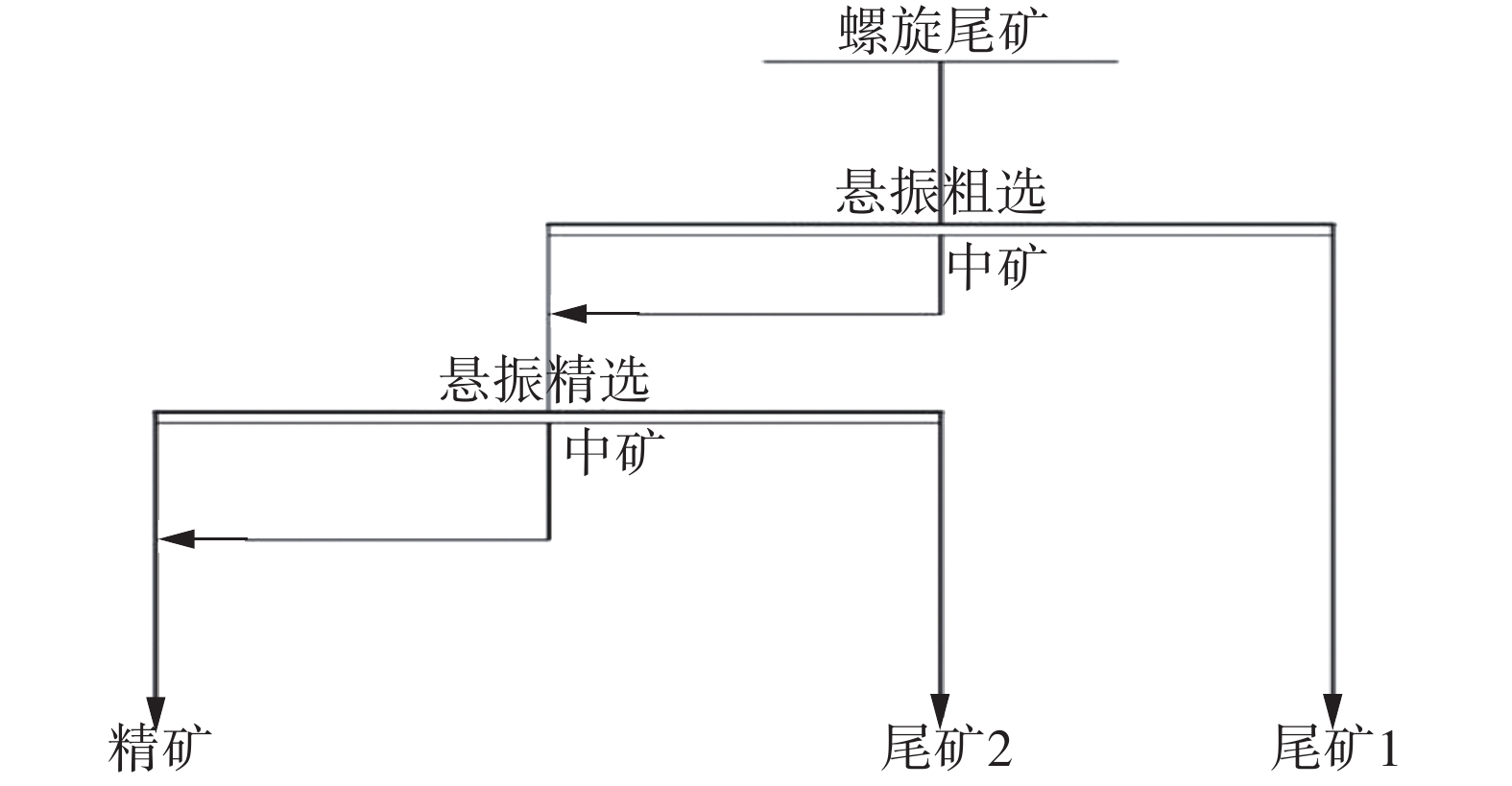
The recovery efficiency of fine-grained olivine pyroxene ilmenite from a concentration plant in Panxi area is low, which brings about high cost of flotation reagents and low annual output of titanium concentrate. To solve these problems, a kind of gravity concentration process, i.e., the new type “spiral + suspended vibration cone surface mineral processing”, is creatively developed. By using the new technique, the yield increased by 8.24%, the grade of flotation feed TiO2 increased by 2%, and the grade of TiO2 tailings decreased by 4% compared to that of current high-intensity magnetic separation process, the cost of flotation reagents is greatly reduced, and 60, 000 tons of titanium concentrate can be increased every year. In this way, the efficient recovery of this type of ilmenite can be realized.
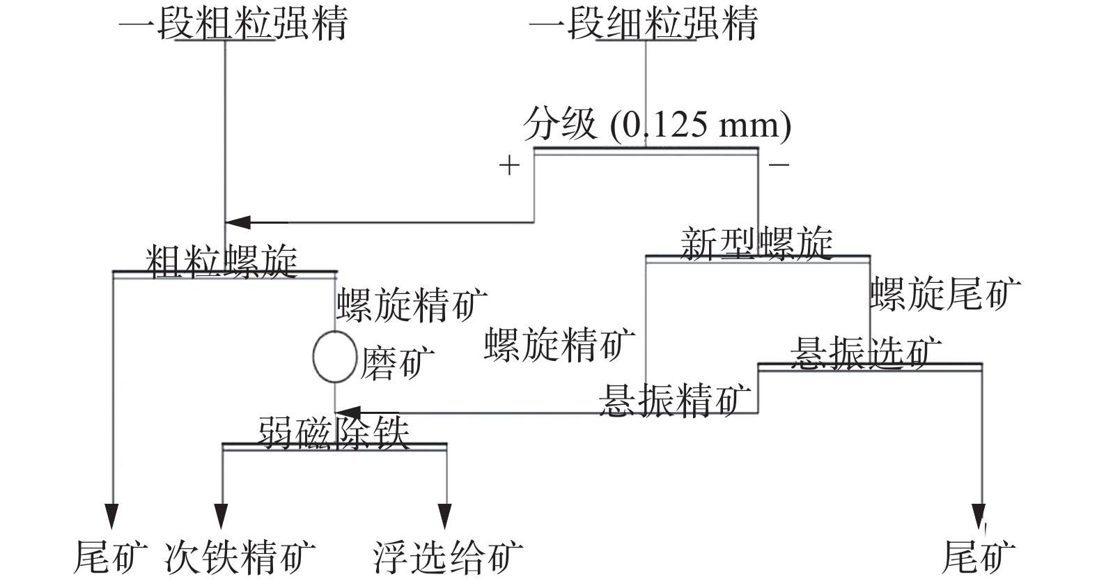
Experimental study on separating ilmenite from a tailing of vanadium-bearing titanomagnetite ore in Panxi region
Liang Taomao, Wang Fengyu, Zhang Chaoda, Xie Baohua, Xu Xiaoyi
2021, 42(2): 103-108. doi: 10.7513/j.issn.1004-7638.2021.02.018
Abstract(989) HTML (309) PDF(60)
Abstract:
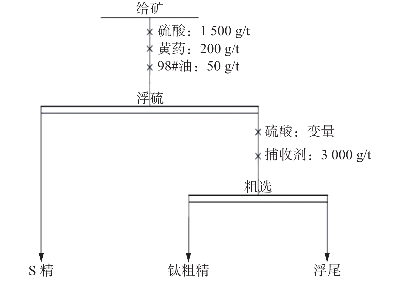
A vanadium-bearing titanomagnetite dressing tailing in Panxi region contents of 8.25% TiO2. In the ore, the main valuable mineral was ilmenite, and the main gangue minerals were augite and hornblende, and the gangue minerals are of stronger magnetism. Both the particle size and disseminated grain size of ilmenite are relatively fine in the ore, the fine fraction of −38 μm reaches 45.46% and contributes 49.79% TiO2. In order to utilize the titanium resources effectively, a dressing test for recovering ilmenite was carried out. In this paper, the ore was graded into two parts by particle size after the strong magnetite minerals were removed by a drum magnetic separator, then the coarse-grained ore was separated by using spiral chute and the fine-grained ore was separated by using a ZQS high-gradient magnetic separator. A comprehensive ilmenite concentrate with a yield rate of 36.45%, a TiO2 grade of 15.88% and a recovery of 70.11% was obtained. Sulfuric acid and sodium silicate were used as regulators and YTB-1 as a collector to separate ilmenite from the comprehensive concentrate which was desulphurized by flotation beforehand. After one rougher stage, four finer stages, and one scavenging stage, the medium ore are returned in sequence, and finally, an ilmenite concentrate with a yield of 9.57%, a TiO2 grade of 47.23% and a recovery of 54.79% was obtained. Ilmenite mineral resource was recovered effectively.
Experimental study on flotation of titanium concentrate from ultrafine iron tailings of a concentration plant
Zhang Min, Chen Shumin
2021, 42(2): 109-116. doi: 10.7513/j.issn.1004-7638.2021.02.019
Abstract(608) HTML (217) PDF(31)
Abstract:
The titanium recovery process of an investigated plant is high-intensity magnetic gravity separation (spiral). Due to the limitation of the spiral concentrator on the particle size of ilmenite, the recovery of coarse ilmenite is better, and the recovery of fine ilmenite and ilmenite intergrowth is poor. The recovery of titanium in iron tailings is only 25.3%. In order to recover titanium resources effectively, experiments of high-intensity magnetic and flotation conditions were carried out. The results show that after further fine grinding and iron removal by weak magnetic field, the −200 mesh (74 µm) test sample (about 84% in proportion) of ultrafine grade titanium separation raw material was obtained, after the combined process of “two-stage strong magnetic + flotation”, the finally obtained titanium concentrate TiO2 grade is 46.86%, the total yield of process concentrate is 5.93%, and the total recovery of process concentrate TiO2 is 25.84%.
Experimental study on beneficiation of a weathered V-Ti iron ore from abroad
Liu Chao, Chen Zhiqiang, Lv Haozi, Hu Hongxi, Rao Jinshan, Liu Yong
2021, 42(2): 117-124. doi: 10.7513/j.issn.1004-7638.2021.02.020
Abstract(794) HTML (202) PDF(40)
Abstract:
For a severely weathered and oxidized V-Ti iron ore from abroad, Fe minerals and Ti minerals are disseminated closely to each other thus it is difficult to separate by physical beneficiation. Based on the specific magnetization coefficient and specific gravity, gangue minerals are quite different from those of metal minerals and are easy to dissociate by grinding, the study on primary enrichment of V-Ti-Fe was carried out. Recovery of V-Ti-Fe by magnetic separation, classification–magnetic separation and gravity separation were compared. The result shows that the magnetic separation is the most suitable method for the ore. The saleable V-bearing iron concentrate consisting of Fe 60.52%, V2O5 1.03% with the recovery of Fe 8.12%, V2O5 8.62%, and the V-Ti-Fe bulk concentrate consisting of Fe 50.03%, V2O5 0.80%, TiO2 16.01% with the recovery of Fe 78.61%, V2O5 78.45%, TiO2 82.88% were obtained by magnetic separation. The bulk concentrate with high grade of V2O5 and TiO2 could be used as raw materials for extracting vanadium, titanium and iron.
Application of a new type of SLon-2500TP magnetic separator for raising ilmenite recovery
Hu Jun, Cui Zhenhong, Wang Pengjie, Xiong Dahe
2021, 42(2): 125-130. doi: 10.7513/j.issn.1004-7638.2021.02.021
Abstract(784) HTML (226) PDF(40)
Abstract:
Pangang Xingmao Company scavenges ilmenite from the discharging tails of Pangang Midi ilmenite concentrator. The flowsheet consists of two stages of high-intensity magnetic separation and flotation concentration. In order to solve the problem of lower TiO2 recovery in the second stage of high-intensity magnetic separation, a new type of SLon-2500TP vertical ring and pulsating high-gradient magnetic separator was developed. The average results of its 7 months operation are as follows: feed grade 13.19% TiO2, concentrate grade 17.71% TiO2, tails grade 5.34% TiO2, and TiO2 recovery 85.21%. Compared with the average results of previous (more than one year) parallel Φ2500 vertical ring high-intensity magnetic separator, the TiO2 recovery is increased by about 15%. Compared with the parallel average results of the same time, the TiO2 recovery is increased by 26.82%. Its successful commercial application will advance the development of ilmenite beneficiation technology.
Ferrous Metallurgy and Materials
Effect of electromagnetic vibration field on the properties of metal powder injection molding
Liu Ruiyang, Zou Liming, Hu Ke, Fan Changzeng
2021, 42(2): 131-138. doi: 10.7513/j.issn.1004-7638.2021.02.022
Abstract(665) HTML (296) PDF(38)
Abstract:
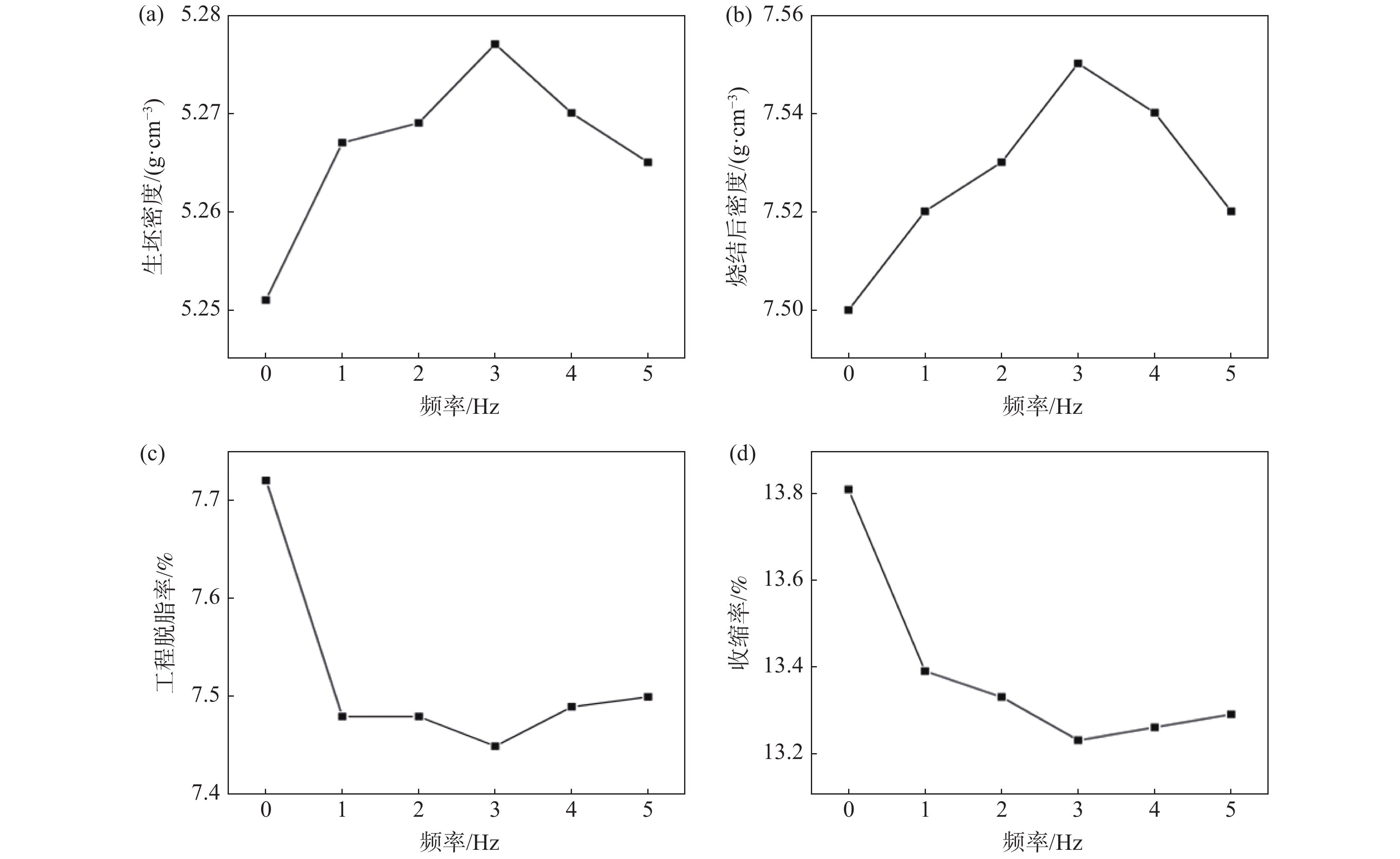
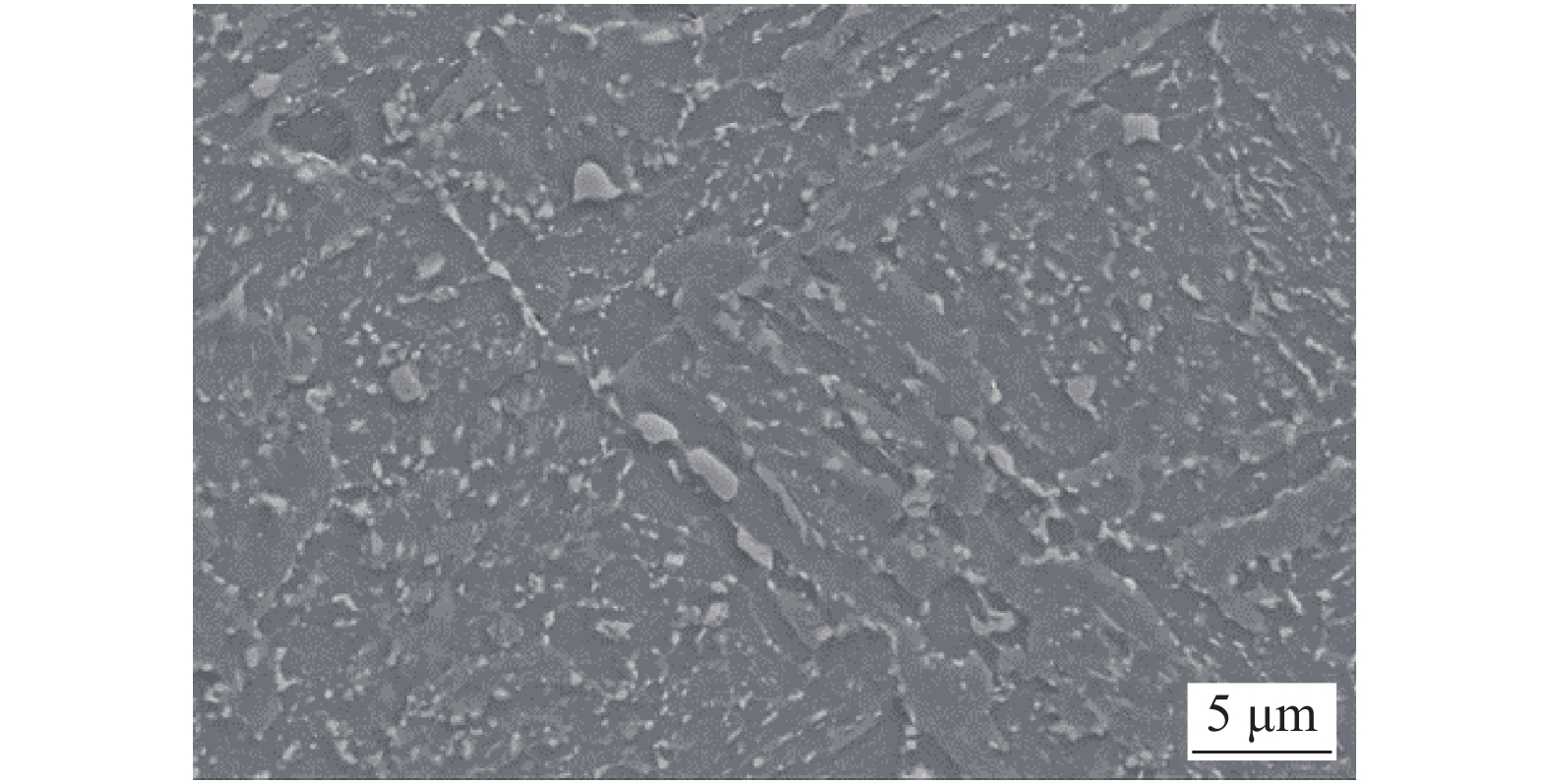
The electromagnetic vibration field was introduced into the injection process of metal powder injection molding (MIM). The density and mechanical properties of the green body and sintered samples were systematically evaluated. Meanwhile, the microstructure of the green body and sintered samples was investigated by SEM and microscope. The effects of different vibration parameters on the performance of injection green body were studied to obtain the most suitable vibration parameters. The results show that when the vibration field is introduced into the MIM injection process, the density and properties of green body and sintered samples are significantly improved compared with the static injection proces. With the strengthening of the vibration field, both the density and properties increase firstly and then decrease, which is related to the feeding fluidity. The technology can provide a possibility for breaking through the technical bottleneck of preparing large parts with MIM.
Evolution of mineral facies in magnetic field enhanced reduction of Bayan Obo ore
Zhang Xudong, Jin Yongli
2021, 42(2): 139-145. doi: 10.7513/j.issn.1004-7638.2021.02.023
Abstract(593) HTML (165) PDF(30)
Abstract:
Based on the low-temperature direct reduction process, the magnetic field enhanced reduction experiment of Bayan Obo carbon bearing pellets was carried out at 1 223 K, B = 1.02 T. The effect of magnetic field on iron oxide reduction and rare earth phase transformation of Bayan Obo ore was studied by investigating the reduction efficiency of iron minerals and the ore phase evolution of rare earth minerals. The results show that the magnetic field can promote the reduction of iron oxide, and the metallization rate of the sample can reach 90.23% after 60 min reduction, increased by 52.82% compared with that under the non-magnetic condition. The magnetic field can accelerate the decomposition of bastnaesite and monazite, and promote the formation of CaO·2RE2O3·3SiO2 and RE2O3·2SiO2 (RE = rare earth elements).
Thermodynamic model for dephosphorization of CaO-SiO2-FeO-Al2O3-Na2O-TiO2-P2O5 slag
Sun Jiali, Liu Chengjun, Jiang Maofa
2021, 42(2): 146-151, 178. doi: 10.7513/j.issn.1004-7638.2021.02.024
Abstract(767) HTML (219) PDF(38)
Abstract:
A prediction model for phosphorus distribution ratio of the CaO-SiO2-FeO-Al2O3-Na2O-TiO2-P2O5 slag system was established based on the ion and molecule coexistence theory(IMCT). The influence of component changes on the phosphorus distribution ratio and the contributions of basic components to the phosphorus distribution ratio had been analyzed. The results indicate that the calculated phosphorus distribution ratio of model agrees well with the experimental phosphorus distribution ratio. The phosphorus distribution ratio first increases and then tends to be gentle with the increase of w(CaO), and the appropriate content of CaO is 30%. The phosphorus distribution ratio increases gradually with the increase of w(Na2O), and Na2O has stronger dephosphorization ability than CaO. The phosphorus distribution ratio increases with the increase of w(FeO), but decreases gradually with the increase of w(Al2O3), w(SiO2) and w(TiO2), and SiO2 is more unfavorable to the dephosphorization ability of slag than Al2O3. The dephosphorization capacity of molten slag is mainly attributed to CaO and Na2O.
Annealing process and stacking method for reducing hardness of as rolled/forged high quality special steel
Yan Fuyao, Zhu Lei, Chen Hongtao, Yang Ying, Li Yuyang, Xuan Huanhuan, Zhang Jun, Cai Yougang, Duan Pirong, Li Guo, Zhou Maohua, Luo Dingxiang, Zhang Yanxiang, Yan Mufu
2021, 42(2): 152-160. doi: 10.7513/j.issn.1004-7638.2021.02.025
Abstract(1025) HTML (188) PDF(24)
Abstract:
The technical issues such as machinability, hardness uniformity and longer annealing time present for a wrought and hot-rolled special steels (e.g. CTHQ25, 1Cr11Ni2W2MoV, 30CrNi4Mo) manufactured by Pangang Jiangyou Changcheng Special Steel Co., Ltd. In order to address those issues, a a hot-rolled CTHQ25 drill steel had been used, a single-step heat-treating route was designed to soften the steel to less than HB 260 based on thermodynamic calculations of phase stability and experimental study on kinetics of phase evolution. To accelerate the annealing process, a double-step annealing, where the first step annealed at a lower temperature to promote the decomposition of retained austenite and the second step annealed at a higher temperature to accelerate microstructure coarsening, was designed and carried out to achieve a hardness of HB 240. In the meantime, special consideration was given to workpiece layout in the furnace to ensure hardness uniformity. With the coupled numerical simulation of temperature-fluid field of the furnace, the workpiece layout in the furnace was optimized with fixture topologically re-designed to achieve the maximum fuel efficiency and temperature uniformity in contrast to originally random stacks of workpieces.
Microstructure evolution and processing maps of GH4169 during deformation
Jiang Shichuan, Zhang Jian, He Yunhua, Pei Binghong, Fu Jianhui, Han Fu
2021, 42(2): 161-166. doi: 10.7513/j.issn.1004-7638.2021.02.026
Abstract(925) HTML (191) PDF(59)
Abstract:
The single-pass isothermal compression tests on a Gleeble−3500D simulated machine was carried out in this work to study the dynamic recrystallization behavior of GH4169 alloy in the temperature ranging from 900 ℃ to 1150 ℃ and strain rate ranging from 0.01 s−1 to 10 s−1 and the deformation degree ranging from 10% to 70%. Complete recrystallization condition of the alloy at a variety of different deformation conditions were identified, and recrystallization maps were plotted. Thermal processing maps of the alloy were also proposed. The results show that the recrystallization fraction of GH4169 alloy increases with the increase of deformation temperature. The larger the deformation and the slower the strain rate, the wider the temperature range of fully dynamic recrystallization; When the strain rate is 0.01 s−1, the whole process of deformation- recovery- recrystallization-grain growth occurs. When the strain rate is 10 s−1, only the process of deformation- recovery-(complete/partial) recrystallization occurs, and there is no sufficient dynamic condition for grain growth. With the increase of deformation ratio, the easy processing range (η) and stable processing range (ξ$ \left(\dot{\mathrm{\varepsilon }}\right) $) of GH4169 alloy are wider. When the deformation ratio is 70%, the temperature is 965 ~ 1134 ℃, and the strain rate in the range of 0.02 ~ 10 s−1, (ξ$ \left(\dot{\mathrm{\varepsilon }}\right) $) value is greater than 0 which indicates in the processing stable zone.
Simulation on rolling process of vanadium-bearing spring steel 55SiCrV
Ye Qing
2021, 42(2): 167-171. doi: 10.7513/j.issn.1004-7638.2021.02.027
Abstract(774) HTML (220) PDF(33)
Abstract:
A new spring steel 55SiCrV smelted in the laboratory was used as the raw material i n this paper to investigate the effects of rolling deformation temperature and cooling speed on the mechanical properties and microstructure of 55SiCrV by means of CCT curve drawing, thermal simulation test and metallographic structure observation, and the reasonable parameters of rolling and cooling process were determined. The CCT curve of 55SiCrV shows that the critical cooling rate of martensite formation is about 3 ℃/s, and the temperature of martensite formation is about 245 ℃. The rolling deformation temperature of 55SiCrV should not be higher than 900 ℃ and the cooling rate should be lower than 5 ℃/s in the actual rolling process, which can avoid the formation of martensite in the microstructure and significantly deteriorate the fatigue performance, while ensuring the best combination of strength and toughness.
Research on fatigue corrosion behavior of 22MnCrNiMo steel
Dai Yibo, Gao Ping, Guo Yuhang
2021, 42(2): 172-178. doi: 10.7513/j.issn.1004-7638.2021.02.028
Abstract(611) HTML (222) PDF(36)
Abstract:
In this paper, the corrosion resistance mechanism and corrosion fatigue performance of R4s (22MnCrNiMo) grade steel were studied by means of seawater coupon test and corrosion fatigue test. The choice of corrosion time was 30 d, 60 d and 90 d, respectively. The experimental results show that in the initial stage of corrosion, the corrosion mechanism of 22MnCrNiMo steel is localized corrosion of pitting corrosion, which changes into uniform corrosion of pitting corrosion as time extends. When the corrosion time reaches to 90 d, the surface of the sample is completely covered with flower-like corrosion products. During the entire corrosion process, the corrosion rate of 22MnCrNiMo steel is between 0.035~0.045 g/(m2·h). The power function expression of corrosion fatigue of 22MnCrNiMo steel is: S=14 000.12×N −0.266 4, and its fatigue limit is about 190 MPa. Subject to electrochemical effect, alternating stress and aggressive ions effects, the crack propagation speed of the sample increases, and the fracture occurs in advance.
Inclusion analysis in magnesium free-cutting steel
Zhu Qiangbin, Li Jie, Deng Xiangyang, Tian Qianren, Zeng Zhiqi, Fu Jianxun
2021, 42(2): 179-187, 192. doi: 10.7513/j.issn.1004-7638.2021.02.029
Abstract(908) HTML (232) PDF(84)
Abstract:
In order to explore the influence of Mg treatment on inclusions in free-cutting steel, 1144 high-sulfur free-cutting steel was used as experimental steel, and the influence of Mg composite treatment on the shape, size distribution and inclusion composition of free-cutting steel 1144 was studied by means of metallography and energy spectrometer. Experimental results show that in the free-cutting steel slab, due to Mg treatment sulfide inclusion changes from class Ⅱ into class Ⅲ and class Ⅰ, and becomes more uniform distribution, at the same time the amount of composite MnS inclusion increases. During rolling the inclusion becomes spheroidization, and its size and distribution of manganese sulfide inclusions has been improved. It is concluded that Mg treatment can effectively improve the machining performance of studied free cutting steel.
Cause analysis of black lines on HRB400E hot rolled ribbed bar
Cai Xiuli, Xu Huanqin, Hu Zhiwei, Wang Erhua, Zhao Yanlei
2021, 42(2): 188-192. doi: 10.7513/j.issn.1004-7638.2021.02.030
Abstract(521) HTML (174) PDF(17)
Abstract:
In view of the phenomenon of black lines existing on the several batches of HRB400E hot-rolled ribbed bar with a diameter of 28 mm, the samples had been checked and analyzed by optical microscope, scanning electron microscope and energy dispersive spectrometer. The results show that the main reason for black line is the existence of compound type inclusions formed by mold flux or tundish covering agent involving continuous cast billet and the liquate of the submersed nozzles, which distribute in billet. As a result of stress effect, the cracks grow along the inclusions and propagate during the rolling. The black lines on the HRB400E hot-rolled ribbed bar can be effectively eliminated by optimizing the process parameters of continuous casting.