2022 Vol. 43, No. 6

Separating and Extracting of Vanadium and Titanium
Study on the extraction performance of V(IV) by P204 in sulfuric acid system
Feng Xueru, Lv Guozhi, Zhang Ting’an, Zhao Qiuyue
2022, 43(6): 1-6. doi: 10.7513/j.issn.1004-7638.2022.06.001
Abstract(891) HTML (208) PDF(34)
Abstract:
The leaching solution was taken as the research object which was obtained from the new process for vanadium production by acid leaching with titanium white waste acid under the pressure without roasting. V(IV) solution in sulfuric acid system was prepared to study on the extraction performance of V(IV) by P204 using single factor tests. The effects of initial pH value of aqueous phase, amount of extractant P204, extraction ratio (O/A)and the shaking time on the extraction were investigated to obtain the optimum extraction conditions of different concentrations of V(IV) solution. The saturation capacity of P204 and extraction mechanism of V(IV) were preliminarily studied. The results show that the concentration of V(IV) solution affects the initial pH value of aqueous phase and the amount of extractant P204, but has no effect on the shaking time and extraction ratio (O/A). P204 has an excellent extraction performance, fast extraction speed and large saturation capacity for V(IV) in sulfuric acid system. For the V(IV) solutions of 1, 10 g/L and 30 g/L, the single-stage extraction rates are 90.36%, 90.27% and 61.37%, respectively, under the suitable extraction conditions.
Experimental study on precipitation of ammonium metavanadate in NaVO3-H2O system by ammonium bicarbonate and ammonium carbonate
Rao Yuzhong, Fu Zibi
2022, 43(6): 7-13. doi: 10.7513/j.issn.1004-7638.2022.06.002
Abstract(751) HTML (325) PDF(41)
Abstract:
For the NaVO3-H2O solution system obtained by extracting vanadium from vanadium slag by sodium method, the effects of precipitation pH value, precipitation temperature, crystallization time, ammonium addition coefficient on the crystallization of ammonium metavanadate were investigated using ammonium bicarbonate and ammonium carbonate as ammonium salt. The results show that the crystallization rate of ammonium metavanadate can be improved by increasing the pH value of the solution (9.1–9.5) in a certain range. Under the conditions of temperature 15–27 ℃, crystallization time >3 h and ammonium addition coefficient no less than 2.9, the crystallization rate of ammonium metavanadate is higher than 85%, and the purity of vanadium pentoxide obtained by calcination ammonium metavanadate is higher than 99.3%, meeting the requirements of YB/T 5304—2017 quality standard.
Extraction of vanadium from high-chromium vanadium-bearing titanomagnetite pellets by oxidation roasting-HCl leaching process
Wu Enhui, Li Jun, Xu Zhong, Hou Jing, Huang Ping, Li Hong
2022, 43(6): 14-23. doi: 10.7513/j.issn.1004-7638.2022.06.003
Abstract(553) HTML (266) PDF(44)
Abstract:
The relationship between crushing strength of pellets and leaching behaviors of vanadium in oxidation roasting-HCl leaching process from high-chromium vanadium-bearing titanomagnetite concentrates were investigated in this work. The results of the thermodynamic analysis of oxidizing roasting process show that the order of reaction of main compounds is: FeTiO3>Fe3O4>Fe2SiO4>FeV2O4>FeCr2O4. The phase analysis results of oxidation roasting process show that the oxidation reaction of the ilmenite is easier to magnetite, and the main phases of oxidation pellets are Fe2O3 and Fe9TiO15. Experimental results indicate that the oxidation temperature and HCl concentration are the key factors affecting the leaching efficiency of vanadium and the crushing strength of leached pellets in the oxidation process and leaching process respectively. There is an obvious negative correlation between the leaching efficiency of vanadium and the crushing strength of leached pellets. The crushing strength of leached pellets can be effectively increased by return roasting process. The crushing strength of pellets after return roasting is greater than 3 000 N/pellet under the condition of roasting temperature of 1 200 ℃ for 90 min, which can be used as raw materials for blast furnace ironmaking.
Hydrothermal synthesis and phase transformation properties of W-doped VO2(M) nanoparticles
Yang Xue, Zou Jian
2022, 43(6): 24-30. doi: 10.7513/j.issn.1004-7638.2022.06.004
Abstract(1219) HTML (415) PDF(73)
Abstract:
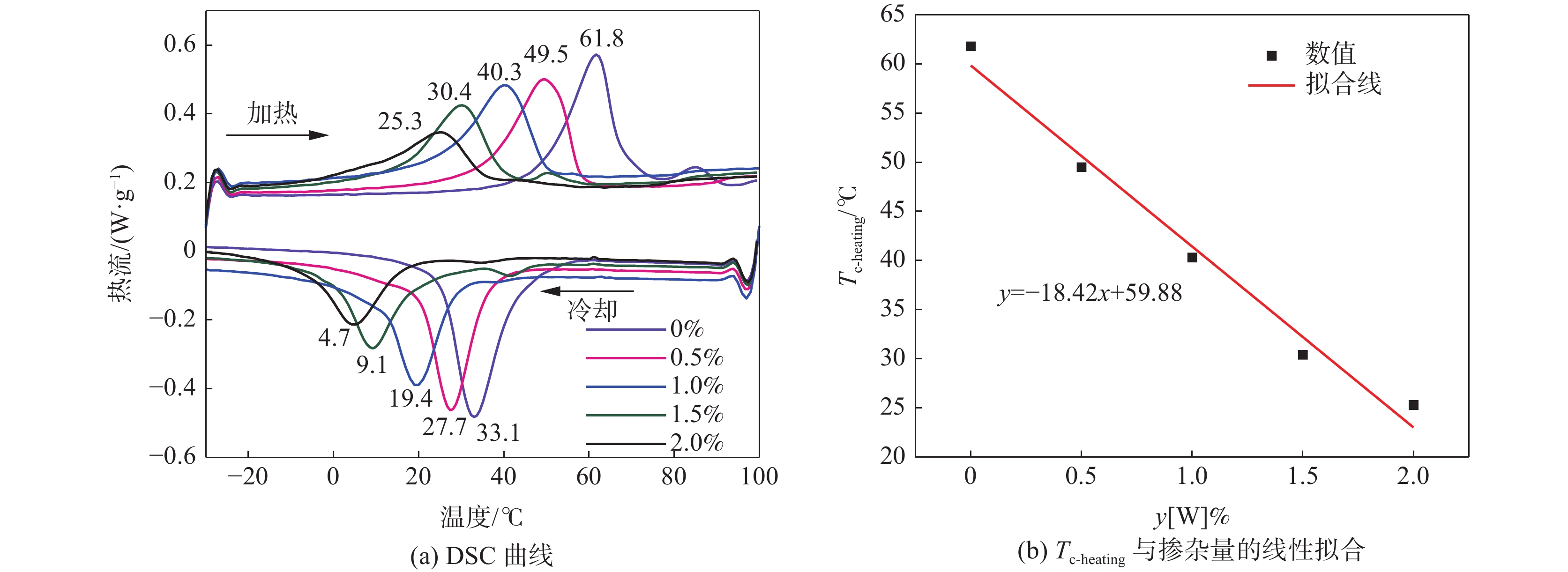
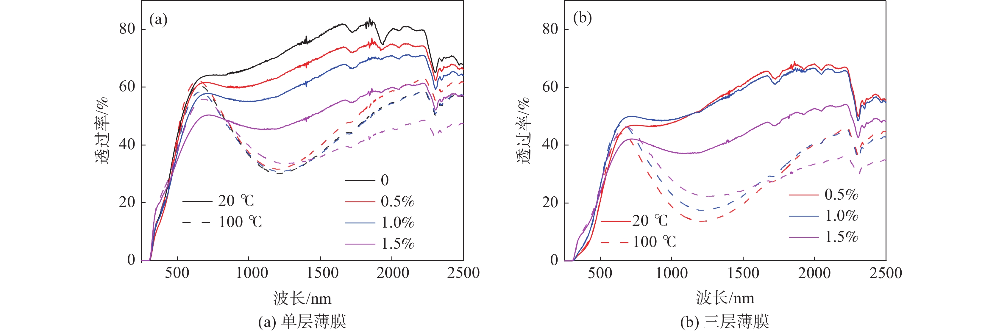
In this paper, using ammonium metavanadate as the vanadium source, hydrazine monohydrate as the reducing agent and ammonium metatungstate as the dopant, the VO2 powder doped with W from 0.0 to 2.0 at% was prepared by one-step hydrothermal method at 280 ℃, and was added to polyurethane to prepare VO2/PU composite films. XRD, TEM, XPS and DSC were used to analyze the phase composition, morphology, element valence state and phase transformation performance of the synthesized samples. The transmittance of the films was measured by UV-Vis-NIR spectrometer. The results show that with W doping increasing from 0.0 to 2.0 at%, the phase transition temperature of vanadium dioxide decreases from 61.8 ℃ to 15 ℃. The composite film based on 1 at% W-doped vanadium dioxide powder shows a good solar modulating ability (ΔTsol = 11.7%), which meets the practical application requirements of intelligent windows.
Effect of Sc3+ doping on lithium storage performance of Li3V2(PO4)3/C cathode material synthesized by carbothermal reduction method
Feng Xuegang, Li Nali, Liu Tiantian
2022, 43(6): 31-37. doi: 10.7513/j.issn.1004-7638.2022.06.005
Abstract(632) HTML (254) PDF(30)
Abstract:
In this paper, Sc3+ doped Li3V2(PO4)3/C cathode material was successfully prepared by carbothermal reduction method. The effects of Sc3+ doping amount on the structure, morphology and lithium storage properties of Li3V2(PO4)3 were systematically investigated. Although Sc3+ doping does not change the lattice type of Li3V2(PO4)3, it makes the lattice of Li3V2(PO4)3 expand and the unit cell volume increase, which is beneficial to electron transport and Li+ diffusion. In addition, Sc3+ doping makes irregular polygonal Li3V2(PO4)3 particles spheroidized and reduces the particle size. More importantly, the appropriate doping amount of Sc3+ can significantly enhance the electronic conductivity and Li+ diffusion coefficient of Li3V2(PO4)3 cathode material. Benefiting from the appropriate Sc3+ doping amount, carbon coating and porous structure, Li3V1.85Sc0.15(PO4)3/C samples possess superior lithium storage properties. The initial discharge specific capacity is 84.8 mAh/g at 10 C rate, and the capacity retention rate is as high as 93.5 % after 100 cycles.
Effect of manganese on vanadium extraction by calcification from vanadium slag
Ye Lu, Du Guangchao, Li Yuepeng, Peng Yi, Liu Yan
2022, 43(6): 38-44. doi: 10.7513/j.issn.1004-7638.2022.06.006
Abstract(602) HTML (278) PDF(36)
Abstract:
In this paper, two batches of vanadium slag with different Mn content were taken as the research object. XRD and SEM-EDS were used to explore the phase composition and microstructure of vanadium slag, and to find out the phase change of calcified roasted clinker with different Mn content and its effect on vanadium leaching rate. The results show that the vanadium slag is mainly composed of vanadium iron spinel, iron olivine and diopside. In a certain range, the small fluctuation of main components such as V, Mn and Fe in the slag does not affect the composition of the main phase of vanadium slag. Both roasting clinkers consist of Fe2O3, Fe2TiO5, silicate and vanadate. Of these phases, vanadate mainly refers to the double salt of Mn2V2O7 and Ca2V2O7, vanadium mainly occurs in this salt. The change of Mn content in vanadium slag has no obvious effect on the clinker phase composition. Mn can promote the roasting-leaching effect of calcified vanadium extraction under the same roasting-leaching conditions and low calcium-vanadium ratio. The leaching rates of vanadium from roasted clinkers with MnO content of 6.98% and 8.26% are 93.66% and 94.51%, respectively.
Application of Vanadium and Titanium
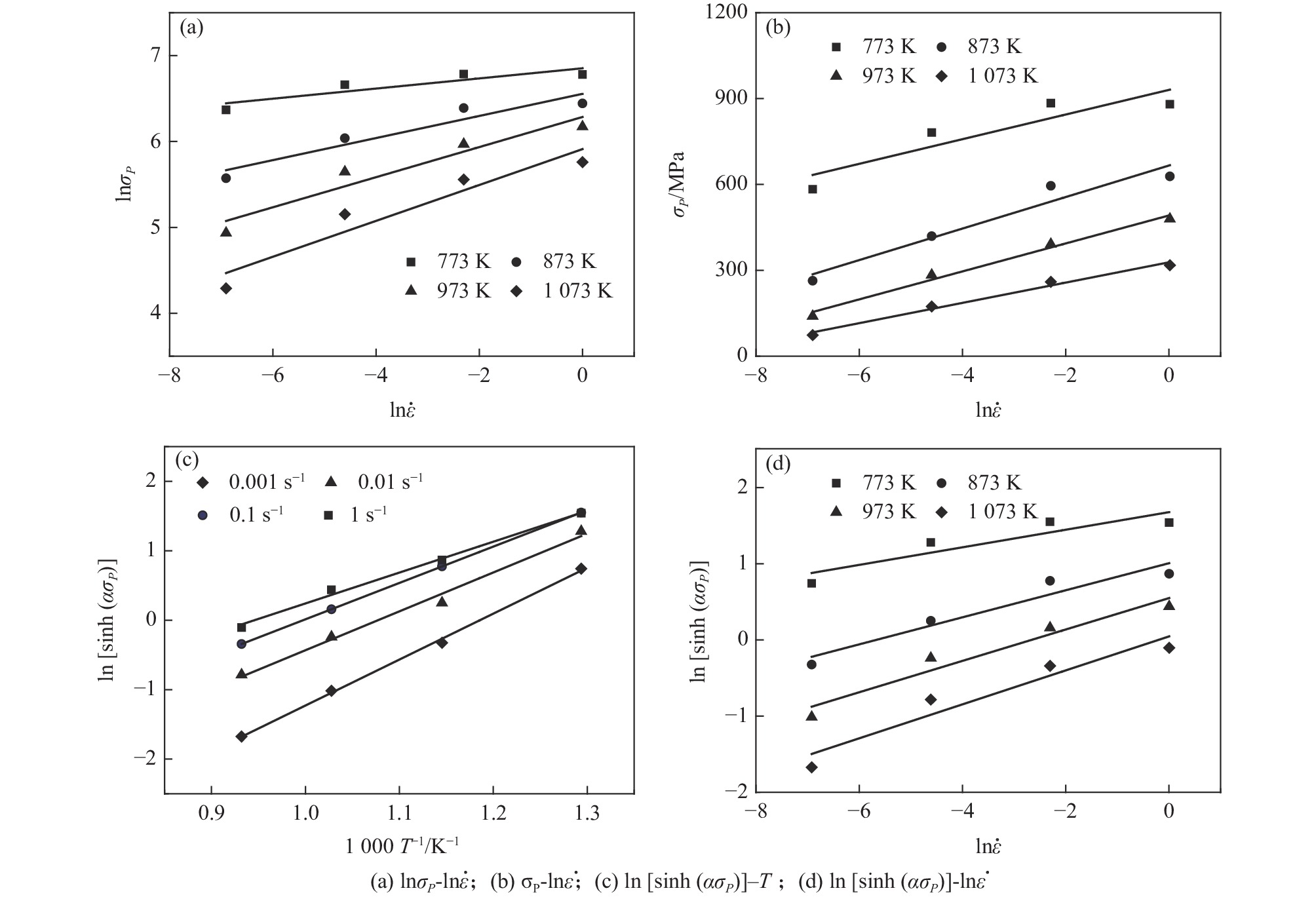
Hot deformation behavior and processing maps of TA18 titanium alloy
Peng Li, Jiang Jian, Luo Xiaofeng, Shen Xueliang, Wang Ying, Xing Yuan
2022, 43(6): 45-50. doi: 10.7513/j.issn.1004-7638.2022.06.007
Abstract(859) HTML (306) PDF(42)
Abstract:
The hot deformation behavior of TA18 Titanium alloy was investigated using the Gleeble-3500 test machine at 750 − 1050 ºC with strain rates from 0.001 s−1 to 10 s−1, and the constitutive equation including Zener-Hollomon parameter (Z parameter) and processing map was established. The results revealed that the activation energy of TA18 alloy in the β single-phase region and α+β two-phase region was 310.71 kJ/mol and 578.78 kJ/mol, respectively. The fitting flow stress constitutive equations were obtained. In addition, the processing maps showed that the optimal hot processing parameter ranges were 825 − 900 ºC with a strain rate of 0.01~0.05 s−1. This study can provide a theoretical basis for selecting the hot working parameters of TA18 titanium alloy.
Constitutive relationship analysis and microstructural evolution of biomedical Ni-Ti alloy during warm deformation
Zhu Shaozhen, Wang Jie
2022, 43(6): 51-57. doi: 10.7513/j.issn.1004-7638.2022.06.008
Abstract(608) HTML (376) PDF(43)
Abstract:
In order to study warm deformation behavior of the biomedical Ni-Ti alloy, compression tests were performed on a Gleeble-3800 thermal simulator. The true stress-true strain curves were obtained. The constitutive relationship and microstructures evolution during the deformation were analyzed. The processing map was established and optimum parameters for warm deformation were determined. The results show that dynamic recovery and recrystallization are the main softening mechanism during compression. Dynamic recovery occurs when 30≤lnZ≤42 and recrystallization occurs when 23≤lnZ≤26. According to the microstructural analysis and processing map, the alloy shows better workability and fine recrystallized microstructures at low strain rates and high deformation temperatures. And the optimum deformation parameters of the alloy were determined as follows: domain 1 occurs in the temperature range of 935-1 045 K and the strain rate range of 0.001-0.004 s−1, and domain 2 occurs in the deformation temperature range of 1 045-1 073 K and strain rate range of 0.003-0.03 s−1.
Research on radio frequency plasma spheroidized Ti-25Ta powder and its fabrication by selective laser melting
Pu Yunna, Zhao Dewei, Shi Qi, Tan Chong, Zheng Haizhong, Liu Xin, Ding Zhongyao
2022, 43(6): 58-65. doi: 10.7513/j.issn.1004-7638.2022.06.009
Abstract(573) HTML (267) PDF(51)
Abstract:
The Ti-25Ta alloy powder was successfully prepared by radio frequency plasma spheroidization, and the Ti-25Ta alloy spherical powder was subsequently formed by selective laser melting. The effect of laser power on the surface morphology, density, microstructure and mechanical properties was studied. The results show that the D50 of the Ti-25Ta alloy powder after spheroidization is 43.8 μm, which is slightly larger than that of the raw material. The interior of the raw material powder exhibits dendrite structure, while the interior of the powder after spheroidization shows a cellular structure. The flowability, bulk density and tap density of the powder are greatly improved. As the laser power increases, the α′ martensite refinement is obvious. At a higher laser power of 200 W, the density reaches a maximum of 95.32% vs. solid, and the microhardness (HV0.3) is 378.2. The tensile testing shows that with the increase in laser power, the fracture mechanism of the material changes from brittle fracture to brittle-ductile fracture.
Effect of heat treatment on microstructure and properties of Ti84Al11FeMo4 titanium alloy
Zhang Xuefeng, Chen Min, Liu Xuyang, Gao Youzhi, Wei Liangxiao, Cai Junhao, Ni Zijie, Chen Xincai
2022, 43(6): 66-70. doi: 10.7513/j.issn.1004-7638.2022.06.010
Abstract(718) HTML (296) PDF(34)
Abstract:
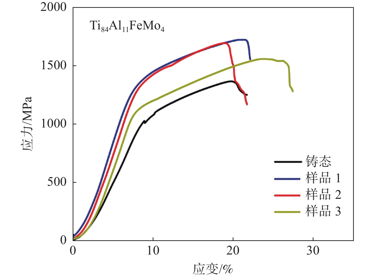
A novel two-phase titanium alloy of Ti84Al11FeMo4 was designed based on d-electron theory and the phase composition as a function of temperature was analyzed. Combined with the thermodynamic calculation results, the evolution relationship between the microstructure and mechanical properties of titanium alloys at different aging temperatures of 700 ℃, 770 ℃ and 850 ℃ was studied, respectively. The results show that the amount of β phase in the microstructure of Ti84Al11FeMo4 titanium alloy gradually increases with the increase of aging temperature. When the aging temperature is increased to 850 ℃, the amount of β precipitates reaches the maximum, and a large number of small-sized β phases are distributed among the coarse β phases. Ti84Al11FeMo4 titanium alloy exhibits different mechanical properties after aging treatment at different temperatures. The compressive strength of titanium alloy could be significantly improved after aging at 700 ℃ and 770 ℃, while the high strength and ductility could be simultaneously obtained after aging at 850 ℃.
Effects of carbon microalloying on microstructure and mechanical properties of low-cost Ti-4.5Al-3.5Zr-2Fe titanium alloy
Wang Andong, Wang Zhitian, Xiang Zhilei, Han Jingyu, Zhou Zongyi, Shen Gaoliang, Huang Jingcun, Chen Ziyong
2022, 43(6): 71-77. doi: 10.7513/j.issn.1004-7638.2022.06.011
Abstract(615) HTML (241) PDF(38)
Abstract:
Low-cost Ti-4.5Al-3.5Zr-2Fe titanium alloys with different carbon content of 0, 0.1%, 0.15% and 0.3% were prepared in a water-cooled copper crucible vacuum induction levitation melting furnace. The effects of carbon microalloying on the as-cast microstructure and mechanical properties of the titanium alloys were investigated. The results show that with the introduction of carbon element, the original β grain and α lamellar width are refined to a certain extent, and the as-cast solidification microstructure of the alloy is gradually transformed from Widmanstätten microstructure to basket-weave microstructure, and TiC precipitates at grain boundary. Ti-4.5Al-3.5Zr-2Fe-0.1C alloy has the best comprehensive mechanical properties, with a tensile strength and yield strength of 979 MPa and 920 MPa, respectively, and an elongation of 5.4%.
Effect of solution aging treatment on microstructure and properties of Ti60 alloy
Zhang Tianxin, Yue Ke, Hu Zhaohua, Guo Jie, Geng Naitao
2022, 43(6): 78-83. doi: 10.7513/j.issn.1004-7638.2022.06.012
Abstract(785) HTML (256) PDF(43)
Abstract:
The effect of solution and aging treatment on the microstructure of Ti60 alloy was investigated by optical microscope and scanning electron microscope. Combined with the tensile tests at room temperature and 600 ℃, it is found out the 1/2 height area of forged billet is relatively uniform and suitable for the study of solution aging treatment and subsequent mechanical properties of Ti60 alloy. After solution and aging treatment at 1 035 ℃/2 h/WQ+700 ℃/5 h/AC, the tensile strength of Ti60 alloy at room temperature is 1193 MPa and the elongation is 6.7%. While tested at 600 ℃, the tensile strength is 751 MPa and the elongation is 20.3%. When crack source originates from the center of the sample, and the fracture is uneven, which shows a typical dimple fracture. When the crack source locates on the edge, it diverges explosively and the fracture has obvious tearing edges and smooth surface, which exhibits a typical brittle fracture mode. After long duration heat exposure at 600 ℃, oxidation occurs on the alloy surface, which reduces the thermal stability and plasticity of Ti60 alloy. The long duration stable service performance of Ti60 alloy was investigated at 600 ℃. The tensile strength at room temperature of as-forged Ti60 alloy was 1 064 MPa, and the elongation rate was 9.4%.After solution aging, the tensile strength and elongation of obtained alloy are 1 224 MPa and 4.7%, respectively.
Effect of wall thickness and casting defects on microstructure and properties of ZTA15 titanium alloy
Han Yunfei, Yuan Bingbing, Sun Bing, Liu Yihui, Qiao Haibin, Li Bobo
2022, 43(6): 84-88. doi: 10.7513/j.issn.1004-7638.2022.06.013
Abstract(674) HTML (311) PDF(30)
Abstract:
In this paper, cylindrical and dumbbell shaped ZTA15 titanium alloy test bars (as cast) were prepared by investment casting technology, and then treated by hot isostatic pressing (HIP). The effects of wall thickness and casting defects on the microstructure and properties of ZTA15 titanium alloy were studied by means of room temperature tensile test, microstructure observation, grain size evaluation, X-ray flaw detection, scanning electron microscope (SEM) and energy spectrum analysis. The results show that as-cast ZTA15 titanium alloy has residual stress and shrinkage casting defects, which affect its mechanical properties and are detrimental to its engineering application. The wall thickness affects the mechanical properties of ZTA15 titanium alloy. The grain size at the thin wall position is finer, but the as-cast residual stress is larger, leading to the lower mechanical properties. After hot isostatic pressing, the residual stress is eliminated, and the mechanical properties are slightly improved, which enable the alloy at better use state. The shrinkage defects are compacted and closed after hot isostatic pressing, and the dense and uniform structure is formed by diffusion bonding, which improves the mechanical properties, and the data distribution is centralized. Inclusion defects are detrimental to the mechanical properties of ZTA15 titanium alloy, especially the plasticity.
Resources Environment and Energy Saving
Clean, high efficiency and green utilization of vanadium tailings extracted by calcium process
He Wei, Wang Jian, Ge Wensun, Chen Lian
2022, 43(6): 100-108. doi: 10.7513/j.issn.1004-7638.2022.06.015
Abstract(717) HTML (325) PDF(68)
Abstract:
Calcium extraction of vanadium tailings was taken as research object, the composition, phase and occurrence state of main elements of the tailings were analyzed. On the basis of combining previous studies, the comprehensive utilization of vanadium-bearing alloy and titanium-bearing furnace slag from calcium-based vanadium extraction tailings by physical method and pyrometallurgical separation technology is put forward. Studies have shown that after the removal of vanadium tailings by shaking desulfurization treatment, gypsum residue and iron-rich vanadium material were separated, gypsum residue is used in cement plants. V/Fe-rich material with a certain proportion of reducing agent and adhesive mixed press into pellets, smelting by ore-thermal furnace smelting reduction, ferroalloys with a vanadium content of about 3% and reduction slag containing about 36% TiO2 were obtained, V-containing ferroalloys can be used for alloying V-containing molten steel, and reduced slag can be used for smelting high titanium slag. It can be exploited for effective extraction and recovery of valuable elements such as Fe, V and Ti from calcium-based extraction of vanadium tailings and can reduce the environmental pollution.
Performance of pyrite-catalyzed CO reduction of NO
Zhang Zhao, Qi Rui, Xu Yaxin, Gong Zhijun
2022, 43(6): 109-114. doi: 10.7513/j.issn.1004-7638.2022.06.016
Abstract(569) HTML (198) PDF(31)
Abstract:
Pyrite was used as denitrification catalyst to investigate the performance in catalytic CO reduction of NO. XRF, XRD, SEM-EDS and H2-TPR are used for characterization. The results showed that the NO conversion for pyrite was 78.53% at 400 ℃ and remained constant at 100% in the temperature range of 500~800 ℃. It shows excellent NO reduction performance and also possesses very high N2 selectivity and good CO conversion. The surface of pyrite becomes rough and porous as it decomposes and releases SO2 during the catalytic reaction. The catalytic substance in pyrite is FeS2, and its catalytic reduction of NO by CO follows the redox reaction mechanism. In the reaction process, CO is assisted by S to reduce NO, and the presence of S facilitates the adsorption and reduction of NO gas on the catalyst surface, making pyrite highly catalytic.
Experimental study on mineralogy and beneficiation of an iron ore from Australia
Yang Zhaojun, Xie Baohua, Zhong Senlin, Wang Fengyu, Liang Taomao, Li Bo
2022, 43(6): 115-120. doi: 10.7513/j.issn.1004-7638.2022.06.017
Abstract(544) HTML (217) PDF(26)
Abstract:
Australia is rich in high-quality iron ore resources with high raw ore grade and low content of harmful elements, which can be directly smelted without beneficiation after mining. However, high-quality iron ore resources are not renewable. The development and utilization of lower grade iron ore resources is of great significance for the sustainable mining. An iron ore from Australia has a Fe grade of 57.93%. The mainly iron-containing minerals contain hematite, limonite, and a small amount of pyrolusite. The gangue minerals are mainly kaolinite and silica, followed by feldspar, biotate, calcite, white titanium, and rutile. The complex embedded relationship among the valuable mineral, the fine disseminated grain size of hematite as well as limonite inclusion were contained in kaolinite, silica which is not conducive to the magnetic separation of the iron ore. In this paper, a flow chart of magnetic separation-flotation was adopted to obtain iron ore concentrate with Fe grade of 68.57% as well as Fe recovery of 76.45%.
Research on forming experiment of Panzhihua pyrite residue pellets with carbon-containing
Li Junhan
2022, 43(6): 121-125. doi: 10.7513/j.issn.1004-7638.2022.06.018
Abstract(416) HTML (164) PDF(25)
Abstract:
In order to separate and recover iron resources of Panzhihua pyrite residue, using Panzhihua pyrite residue as raw material, pulverized coal as carbon source, and polyvinyl alcohol (PVA) as binding agent, the influences of the content of polyvinyl alcohol, the water content, the pressure and the particle size composition on the mechanical strength properties of pyrite residue carbon pellets were studied in this paper by orthogonal experiments and single factor optimization experiments. The research results show that the pressure has the greatest influence on the strength properties of pyrite residue carbon pellets, followed by the content of polyvinyl alcohol and water content, and finally the particle size composition. The appropriate process for forming pyrite residue carbon pellets was obtained including the content of polyvinyl alcohol of 0.4%, the water content of 9%, the pressure of 10 MPa, and below 88 μm particle size of 70%. Under these conditions, the compressive strength of pellets was 185.4 N/pellet and the falling strength was 42.5 times/pellet, which meet the requirements of mechanical strength in pellets industrial production. The research results will provide reference for the reduction, separation and recovery of iron resources from pyrite residue, and also lay a certain foundation for the improvement of the comprehensive utilization rate of Panzhihua vanadium titano-magnetite resources.
Ferrous Metallurgy and Materials
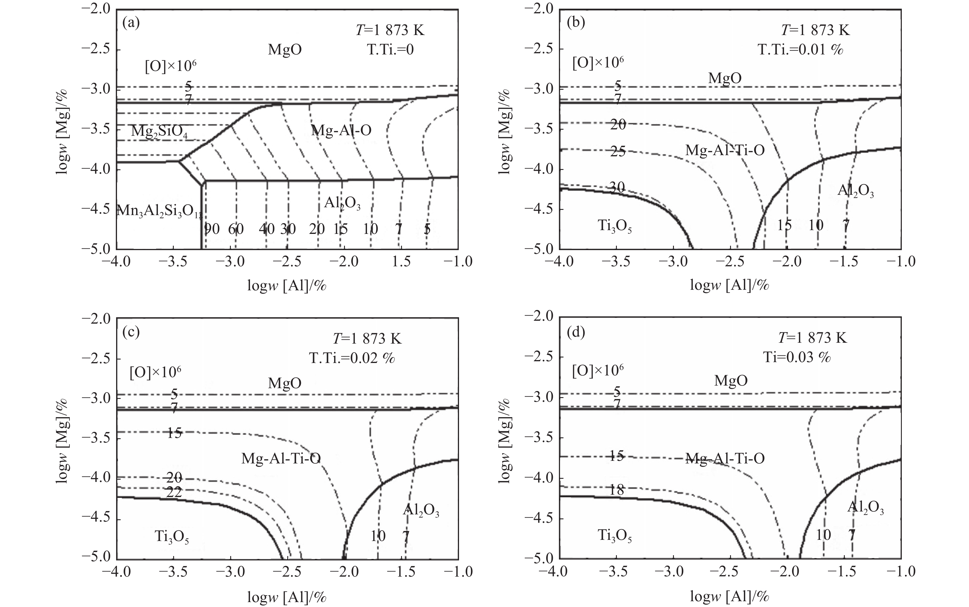
Thermodynamic analysis of inclusion control in Mg-Al-Ti system oxide metallurgy technology
Guo Zhihong, Shi Saichao, Wang Qi, Ma Guojin, Wang Genji, Zhu Liguang
2022, 43(6): 126-137. doi: 10.7513/j.issn.1004-7638.2022.06.019
Abstract(778) HTML (271) PDF(53)
Abstract:
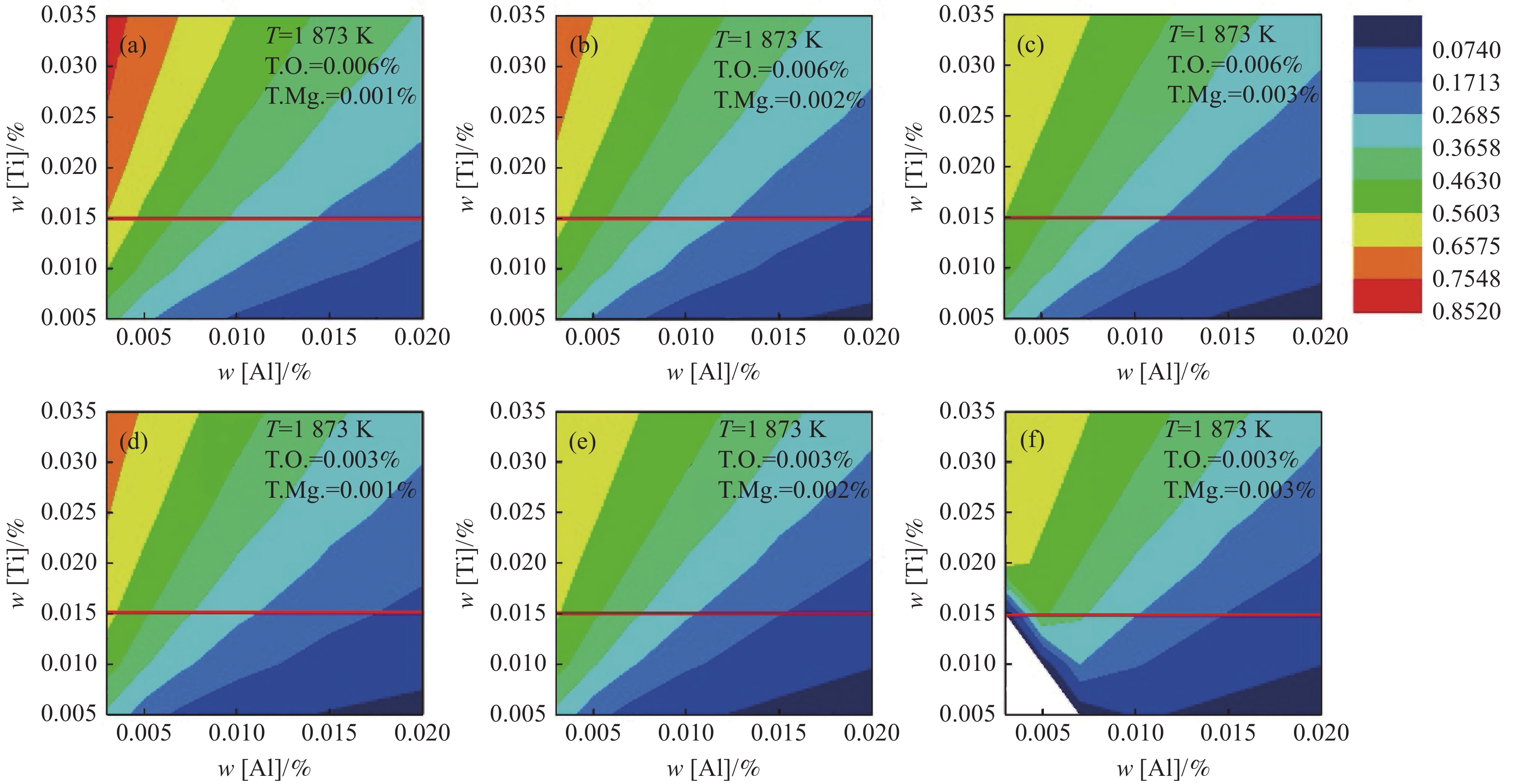
The oxide metallurgy technology with the low aluminum condition is carried out in marine steel and further expands the adjustment range of alloy compositions, which is beneficial to promote the effective inclusion of inducing acicular ferrite. This research has a significant potential application to improve the toughness of heat-affected zones in high-heat input welding. Thermodynamic equilibrium calculations between liquid steel and inclusion are based on EH420 steel using FactSage software. The effects of coupling changes of the Mg-Al-Ti deoxidation system and oxygen content on the types, conditions, and amounts of inclusions precipitated in steel were systematically analyzed. Equilibrium experiments are designed to confirm the validity of thermodynamic calculations. This study provides theoretical guidance to control inclusion in high heat input welding for EH420 marine steel. The results recommended controlling the Mg, Al, and Ti in steel are 0.0020%, 0.0080%~0.010%, and 0.010%~0.020%, respectively. On this basis, Mg-Al-Ti-O composite inclusion + MgO inclusion are formed when the content of T.O. is 0.0030%. The composite inclusion of Mg-Al-Ti-O is formed separately, with the T.O. content at 0.0060%.
Study on transformation behavior of ultra-high strength steel for construction machinery
Zheng Dongsheng, Fan Caihe, Hu Zeyi, Sun Yaxin, Luo Deng, Liu Dan, Zhang Qingxue
2022, 43(6): 138-142. doi: 10.7513/j.issn.1004-7638.2022.06.020
Abstract(524) HTML (250) PDF(11)
Abstract:
Transformation behavior of Cr-Mo-Ni-B ultra-high strength steel for construction machinery under continuous cooling condition was studied by means of MMS-200 thermomechanical simulator. The effect of cooling rate (0.5~40 ℃/s) on its transformation temperature and microstructure was analyzed by thermal dilatometry curves, optical microscopy (OM) and scanning electron microscopy (SEM). The results show that transformation temperatures of Bs, Bf, Ms and Mf decrease and phase transformation at medium and low temperature is promoted with the increase of cooling rate. As the cooling rate is below 2 ℃/s, pearlite and bainite transformations occur. Mixture microstructure of granular bainite and lath martensite is observed when cooling rate is in range of 2 ℃/s and 5 ℃/s. As the cooling rate is above 5 ℃/s, granular bainite disappears and fully martensitic microstructure is obtained. In the formation temperature range of medium and low temperature transformation microstructure, the morphology, size and quantity of M/A islands as well as width of martensite lath are influenced significantly by cooling rate. With the increase of cooling rate, the morphology of M/A islands is modified from blocky shape into granular shape, their size decreases and the volume amount increases. The average width of the martensite lath decreases as a result of increasing the cooling rate.
Analysis of inclusions in the whole process of 20MnCr5 gear steel
Bai Xuxu, Zhang Min, Zeng Jianhua, Yang Shufeng, Li Jingshe
2022, 43(6): 143-148. doi: 10.7513/j.issn.1004-7638.2022.06.021
Abstract(611) HTML (226) PDF(27)
Abstract:
In order to effectively improve the cleanliness of gear steel and product quality, it is necessary to clarify the evolution behavior of non-metallic inclusions in the smelting process of gear steel. This paper takes 20MnCr5 gear steel as the research object. Through sampling and analysis of the whole LF-VD-CC gear steel production process, a scanning electron microscope is used to systematically analyze the characteristics of inclusion composition, morphology, size, and quantity at different stages of the smelting process. When LF enters the station, the primary inclusions are Al2O3-MnS composite inclusions, among which many MnS inclusions are distributed. After 20 minutes of refining, Al2O3-MgO-MnS composite and Al2O3 inclusions were observed. At the end of LF, the product is unchanged. After VD breaking, the primary inclusions observed are MnS inclusions, which are nearly spherical and consist of MnS inclusions with Al2O3 as the core. There are many magnesia-aluminum spinels, some of which have a small amount of CaO, and some have a small amount of MnS. However, the main component is the magnesia-aluminum spinel.
Experimental study on HRB500E seismic reinforcement bar produced by microalloying of high nitrogen ferrovanadium alloy
Jia Yihan, Wang Qingchen, Cao Changshan, Weng Yujuan
2022, 43(6): 149-152. doi: 10.7513/j.issn.1004-7638.2022.06.022
Abstract(456) HTML (299) PDF(29)
Abstract:
Based on the process and equipment of converter, continuous casting and rolling, the experimental study on the production of HRB500E high strength anti-seismic steel rebar by microalloying with high nitrogen ferrovanadium alloy was carried out. The results show that compared with vanadium-nitrogen alloy, the production of HRB500E anti-seismic steel rebar by microalloying with high nitrogen ferrovanadium alloy can save 22.2% vanadium and reduce the cost of vanadium alloying by RMB 17.98/ ton steel. The mechanical properties of steel rebars are stable and have low strain aging. The yield strength of Ø28 mm and Ø32 mm specifications are both reduced by 15 MPa, and tensile strength decreased by 2 MPa and 3 MPa respectively after aging for 15 days. The uniform elongations are increased by 0.7% and 0.8%, respectively. The strength yield ratio and yield standard ratio of steel rebars after aging are more reasonable and the seismic performance gets better. The metallographic structure of the steel rebar consists of pearlite + ferrite, and the grain size is ASTM 10, 1.0 grade higher than that of vanadium-nitrogen alloy. The tensile fracture contains equiaxed dimple. For welding test the fracture located in base metal, showing good weldability. There was no fracture after 2 million times of fatigue test, which met the fatigue life requirements of the new national standard GB/T 1499.2—2018.
Study on the evolution law of surface decarburization of Cr-Mo-V cold heading steel
Chen Jilin, Ma Honglei, Huo Liwei, Yan Cong, Zhang Kunyao
2022, 43(6): 153-160. doi: 10.7513/j.issn.1004-7638.2022.06.023
Abstract(708) HTML (213) PDF(13)
Abstract:
The effects of heating temperature, heating time, and surface treatment on the depth of decarburized layer and microstructure of cold heading 40CrMoV steel were studied, and the evolution mechanism of surface decarburization with temperature was analyzed. The results show that when the cold heading 40CrMoV steel is heated at 700-1100 ℃, the total decarburized layer depth increases gradually with the increase in temperature. 750-850 ℃ is the sensitive temperature range for forming a complete decarburized layer, and it reaches its peak value at 800 ℃. With the extension of holding time, the depth of the decarburized layer is further deepened. Additionally, after surface turning treatment, the total decarburized layer is reduced by 50%, and the complete decarburized layer deteriorates. As a summary, the control of surface decarburization of cold heading 40CrMoV steel in industrial production is proposed.
As-cast microstructure and mechanical properties of Y12Cr18Ni9 free-cutting steel
Wang Yinghu, Zheng Huaibei, Fang Yi, Liu Tingyao, Wang Liwei, Yao Bin
2022, 43(6): 166-172. doi: 10.7513/j.issn.1004-7638.2022.06.025
Abstract(744) HTML (276) PDF(24)
Abstract:
The as-cast structure and mechanical properties of Y12Cr18Ni9 free-cutting steel were studied by means of thermodynamic calculation software FactSage, SEM and Phenom Partical X SEM-EDS. The results show that the main equilibrium phases in Y12Cr18Ni9 free-cutting steel are Liquid, MnS, δFerrite, Austenite, M23C6, Ferrite and Sigma. The equilibrium phase transition path is as follows: Liquid→Liquid+δFerrite→Liquid+δFerrite+Austenite→Liquid+δFerrite+MnS+Austenite→δFerrite+MnS+Austenite→MnS+Austenite→MnS+M23C6+Austenite→MnS+M23C6+Austenite+Ferrite→MnS+M23C6+Sigma+Austenite+Ferrite. The sulfides in the test steel are spherical, ellipsoidal, spindle shape or short-bar-like, and distributed in clusters along the grain boundary, belonging to a type II sulfide. The proportion of sulfides with length-width ratio≤3 reaches 94.75%, the proportion of sulfides with size ≤3 μm is 80.22%, and the proportion of sulfides with maximum chord length ≤3 μm is 76.02%. The cluster sulfides affect the mechanical properties of Y12Cr18Ni9 free cutting steel. The cluster sulfides distributed along the grain boundary is the main reason for the formation of quasi cleavage surface. The tensile strength, yield strength, elongation after fracture, reduction of area and impact toughness of the steel are 597 MPa, 233 MPa, 17.7%, 19.5% and 21.8 J, respectively.
Molecular dynamics simulation of tensile mechanical properties of AlxCoCrFeNi
Zhang Rong, Qi Wenjun, Zhang Shuang
2022, 43(6): 173-179. doi: 10.7513/j.issn.1004-7638.2022.06.026
Abstract(1232) HTML (424) PDF(130)
Abstract:
In this paper, the molecular dynamics method studied the microstructural evolution, deformation mechanism, and mechanical properties of AlxCoCrFeNi high entropy alloy (HEAs) under uniaxial tension. The effects of Al content, high temperature, and high strain rate on the mechanical properties of AlxCoCrFeNi at 0.1 to 1.0 molar ratio were investigated. The results show that when the molar ratio of Al is 0.1 to 1.0, the yield strain and stress at room temperature (300 K) decrease with the Al content and temperature increase. With the increase of Al content, HEAS will begin to yield at a minor strain and enter the yield stage earlier, which makes HEAS easier to deform and reduce the mechanical properties. At 300 − 1500 K, with the increase in temperature, the dislocations gradually decrease, the interaction between different dislocations is weakened, and the fixed dislocations cannot be formed, which hinders the movement of materials and leads to the decline of material strength. AlxCoCrFeNi yield strain and yield stress are positively correlated with the change of strain rate, and the yield stress is sensitive to high strain rate.
Research on effects of multi-pass rolling and heat treatment of cast Mn18Cr18N steel
Liu Jie, Li Juan
2022, 43(6): 180-184. doi: 10.7513/j.issn.1004-7638.2022.06.027
Abstract(490) HTML (320) PDF(17)
Abstract:
Mn18Cr18N electro-slag remelting steel was rolled in three or five passes and subject to solid solution treatment. The microstructure observation by electron back scattering diffraction (EBSD) indicates that with the increase of rolling passes, the recrystallized grains grow along the grain boundaries and distributes into a chain structure, and the high angle grain boundaries gradually migrate to the small angle grain boundaries and then stabilize. A large number of shear deformation bands appear. A larger single pass deformation or a higher final rolling temperature is beneficial to the recrystallization of Mn18Cr18N as-cast austenitic stainless steel after rolling. After solid solution treatment,the grain becomes fine due to increasing annealing twin grain and static recrystallization. With the increase of rolling passes, the tensile strength is increased from 950 MPa to 1090 MPa, and elongation after fracture decreases from 43.46% to 29.55%. After the solid solution treatment, the tensile strength decreases from 904 MPa for 3-passes to 870 MPa for 5-passes, with the strength decreasing; and the elongation after fracture increases from 42% to 48% accordingly. The results showes that the solid solution treatment can improve the microstructure and properties of the material.
Research and application of rail universal pass design method
Tao Gongming, Zhu Jun, Liu Jian, Zhang Xuebin, Hu Xiao, Chen Yuanfu
2022, 43(6): 185-192. doi: 10.7513/j.issn.1004-7638.2022.06.028
Abstract(2949) HTML (479) PDF(49)
Abstract:
Combined with practical production experience, taking the rail products of seven racks universal production line as an example, this paper studies and deduces the pass design method of the universal zone. According to the finished product size, each pass's elongation coefficient, the local size deformation relationship of each pass, the cross-sectional area, and the elongation coefficient of each pass are inversely calculated. On this basis, combined with the pass design experience, the structural shape and pass the size of each pass are determined. The field application for more than ten years shows that the research results can fully meet the efficient development of high-precision rail and have the characteristics of reducing the number of trial and error of pass design, high design efficiency, high product yield, and high dimensional accuracy and low production accident rate.
Accelerated search for solid lithium-ion conductor materials based on material genome engineering
Shui Lang, Fu Jianhui
2022, 43(6): 193-200. doi: 10.7513/j.issn.1004-7638.2022.06.029
Abstract(424) HTML (275) PDF(34)
Abstract:
We here present a new approach of model construction to search for solid superionic materials in database by using decision tree and random forest algorithms. Based on a data set collected from literature and 20 features computed from lattice parameters, we constructed two decision tree models and a random forest model, as well as a logistic regression model for contrast. In comparison, the random forest model shows low algorithm complexity and better generalization ability. The well-trained models are then used to screen lithium-containing compounds in the material project database. Screening results of the random forest model reduce the candidate materials by 87.76% and consist of several known superionic materials, which exhibits efficiency and effectiveness of the model. The methodology of model building introduced here can remarkably reduce the searching range of materials with desired properties and thus accelerates the development of new materials.