2023 Vol. 44, No. 4

Separating and Extracting of Vanadium and Titanium
Study on migration and transformation behavior of elements during vanadium extraction by calcification
Liu Xi, Pu Yuwen, Xu Zongyuan, Tang Kang, Zheng Guocan, Chen Yan, Liu Zuohua, Du Jun, Peng Yi, Tao Changyuan
2023, 44(4): 1-9. doi: 10.7513/j.issn.1004-7638.2023.04.001
Abstract(603) HTML (226) PDF(51)
Abstract:
Combined with XRD, XPS, SEM-EDS and ICP-OES characterizations, the phase composition and morphology of acid ammonium salt precipitation vanadium products under different pH values were studied; also the migration and transformation behavior of V, Fe and Mn were analyzed when the pH value of vanadium precipitation was 2.20. The results show that the pH value of vanadium precipitation significantly affects the composition and morphology of the product. The filter cake of vanadium precipitation is amorphous at low pH value, and the crystal form is gradually determined with the increase of pH value. V exists in the form of CaV2O6 in vanadium extraction tailings, polyvanadate in filter cake, and V2O5 in the final product. The main forms of Fe in tailings are Fe2O3 and Fe2TiO5, which are less abundant in vanadium filter cake and final product. Mn exists in the form of MnSO4 in the tailings, and mainly enters the supernatant during vanadium precipitation, while MnV2O6·4H2O exists in the filter cake and with 0.210% in the final product.
Study on the preparation of spherical TiC nanopowder by molten salt method
Li Wenjing, Guo Yun, Yang Yadong, Liu Bo, Xin Yanan
2023, 44(4): 10-17. doi: 10.7513/j.issn.1004-7638.2023.04.002
Abstract(683) HTML (271) PDF(29)
Abstract:
In combination with the national strategic deployment of the 14th Five-Year Plan, based on the enterprise resource background and the downstream market demand, this paper proposes to prepare spherical titanium carbide (TiC) nanopowder through the short process of molten salt method. The process does not use flammable and explosive reducing agent, and has high safety factor. The process produces products with high quality, controllable output, short production cycle and environmental protection, which has certain industrial popularization. The selection and proportion of titanium source and carbon source, the proportion of molten salt, the calcination temperature of nanoparticles, and the effect of holding time on the morphology and quality of nanoparticles were studied. The phase composition and microstructure of the particles were characterized by XRD and SEM. The results show that when the molar ratio of NaCl-KCl mixed salt is 1∶1, the reactants in the ratio of Ti/C molar ratio of 1∶1, and TiC begins to form when the temperature is kept at 700 ℃ for 2 h. With the increase of temperature, the purity of the target product in the product gradually increases. The temperature of holding at 900 ℃ for 2 h can obtain the pure target product, without the formation of other by-products. The morphology is spherical, and the particle size is about 80 nm. If the holding time is changed, when the holding time is 5 h, the pure target product can be obtained at 850 ℃, but the particle size will be moderately increased to 100 nm. From the perspective of reducing raw material costs, when the titanium source ratio is Ti∶TiO2=9∶1, impurity free titanium carbide nanoparticles can be obtained at 900 ℃, with spherical morphology and particle size ranging from 50 to 65 nm.
Research on the leaching characteristics of Ca, Mg, Al elements in high titanium blast furnace slag
Huangfu Lin, Jiang Yang, Qiu Zhengqiu, Wang Kui
2023, 44(4): 18-24. doi: 10.7513/j.issn.1004-7638.2023.04.003
Abstract(587) HTML (176) PDF(25)
Abstract:
To make full use of the valuable elements in high titanium blast furnace slag, the physical and chemical properties were analyzed. The method of hydrochloric acid hydrothermal leaching was proposed to separate Ca and Mg elements from high titanium blast furnace slag. And the influence of reaction condition parameters on the leaching characteristics of elements in high titanium blast furnace slag was studied. The results reveal that with the increase of hydrochloric acid concentration, hydrochloric acid amount, reaction temperature and reaction time, the leaching efficiency of Ca, Mg and Al elements in high titanium blast furnace slag all increase. Among them, the leaching efficiency of Mg and Al remain stable when they are higher than 95%, while the leaching efficiency of Ca can raise to nearly 100%. The Ca and Mg elements in high titanium blast furnace slag can be entirely dissociated when the concentration of hydrochloric acid is 4 mol/L, the amount of hydrochloric acid is 1.5 times of theoretical acid amount required for the entire dissolution of Ca, Mg and Al elements in high titanium blast furnace slag, the reaction temperature is 150 ℃, the reaction time is 10 h. Meanwhile, the amounts of both MgO and CaO in the leaching residue are all below 1%, and the aggregate amounts of TiO2, SiO2 and Al2O3 are higher than 95%, which can fulfill the requirements of preparing porous adsorption materials. The results of this research are anticipated to provide data support for the efficient utilization of high titanium blast furnace slag.
Study on the effect and mechanism of Al3+ during the calcination of metatitanic acid
Lu Ruifang, Yang Fang, Liu Chan, Hao Lin
2023, 44(4): 25-32. doi: 10.7513/j.issn.1004-7638.2023.04.004
Abstract(503) HTML (258) PDF(22)
Abstract:
In the production of titanium dioxide by sulfate process, obtaining rutile titanium dioxide with suitable particle size through different salt treatments and high-temperature calcination of metatitanic acid is the basis for preparing titanium pigments. Aluminum salt treatment is currently one of the commonly used salt treatment systems, but the mechanism of aluminum salt in the calcination process is still unclear. In this study, the intermediate material in the production of titanium dioxide by sulfate process, metatitanic acid after second washing, was used as raw material, and only aluminum sulfate was used as salt treatment agent. The material was calcined in a muffle furnace at a temperature of 800-950 ℃. The effects of Al3+on the crystal transformation and particle growth of TiO2 during the calcination process were studied using XRD, SEM, HRTEM, and other analytical methods. The results show that different amounts of aluminum salts and calcination temperatures have significant effects on the crystal transformation, particle growth, and existence form of Al3+ in TiO2. When the amount of aluminum salt is low, Al3+ is doped into the TiO2 lattice in a substitution mode, displacing Ti4+, reducing the crystal cell volume and shortening the internal bond length of the crystal, which is not conducive to the atomic rearrangement and bond breaking processes, leading to a decrease in the crystalline transformation rate. And with the increase of the amount of aluminum salt added, excessive Al3+ exists as Al2O3 on the TiO2 surface. At the same time, with the increase of the amount of aluminum salt added, the particle size of anatase or rutile TiO2 obtained at the same calcination temperature decreases.
Research progress in vanadium extraction from stone coal vanadium ore by roasting
Song Changxu, Ye Guohua, Kang Xuanxiong, Zhang Yun, Rong Yiyang, Xiang Xinyue
2023, 44(4): 33-40. doi: 10.7513/j.issn.1004-7638.2023.04.005
Abstract(1097) HTML (317) PDF(76)
Abstract:
The research progress of vanadium extraction from stone coal vanadium ore by roasting was reviewed. The possible application scenarios of roasting process were discussed. The advantages and disadvantages of different roasting processes were discussed through examples. The development status and industry difficulties of vanadium extraction from stone coal vanadium ore by roasting were summarized and prospected. Vanadium in stone coal vanadium ore mainly exists in the form of isomorphism, and roasting is the key to extracting vanadium. Traditional roasting processes include sodium roasting, calcification roasting, composite additive roasting and salt-free roasting. These processes are relatively mature but need to control pollution. The newly proposed roasting processes include microwave roasting, alkali fusion roasting, chlorination roasting and low-temperature sulfation roasting. The concept of microwave roasting was proposed earlier, but obvious theoretical and practical progress has been made recently. Alkali fusion roasting has a good effect in improving vanadium valence. Chlorination roasting and low-temperature sulfation roasting are in line with the development concept of green and low-carbon, and can obtain ideal vanadium extraction indicators.
Effect of glucose content on the lithium storage performance of Li3V2(PO4)3/C cathode materials prepared by sol-gel combustion method
Li Nali, Zhang Renjie
2023, 44(4): 41-47. doi: 10.7513/j.issn.1004-7638.2023.04.006
Abstract(439) HTML (166) PDF(15)
Abstract:
In this paper, submicrometer porous Li3V2(PO4)3 (LVP)/C composites with different carbon contents were successfully prepared by a modified sol-gel combustion method by changing the amount of glucose added. The effects of glucose addition on the structure, morphology and electrochemical properties of LVP were systematically studied. Although the addition of glucose did not change the crystal structure and lattice parameters of LVP, nanoneedle-like particles appeared in the samples with glucose, which were beneficial to electron transport and Li+ diffusion. With the increase of glucose content, the volume fraction of nanoneedle-like particles increased, thus improving the rate performance of LVP/C cathode materials. The amorphous carbon generated by carbonization of glucose is evenly coated on the surface of LVP particles, which improves the conductivity of the composites. The conductivity increases with the increase of glucose content. However, excessive glucose addition will lead to too thick carbon coating, which is not conducive to the transmission of Li+. Benefiting from the appropriate amount of glucose addition, nanoneedle-like particles and porous structure, LVP/C-G15% sample has excellent lithium storage performance. It can still provide a discharge specific capacity of 75.1 mAh/g after 200 cycles at a high rate of 10 C, and the capacity retention rate is as high as 89.0%.
Application of Vanadium and Titanium
Study on the microstructure and properties of the transition region of IN625/TC4 bimetallic structure by laser melting deposition with Cu interlayer
Wang Wenbo, Xu Nuo, Xu Guojian, Jing Zhicheng, Zhang Guoyu, Zhao Xue, Xiang Zhuo
2023, 44(4): 48-54. doi: 10.7513/j.issn.1004-7638.2023.04.007
Abstract(541) HTML (262) PDF(26)
Abstract:
The bimetallic structure composed of IN625 nickel-based high-temperature alloy with excellent high-temperature properties and lightweight and high-strength TC4 titanium alloy has broad application prospects in the aerospace field. However, due to the large differences in physical and chemical properties of the two metals, the direct fabrication of IN625/TC4 bimetallic structure inevitably results in the formation of metallurgical defects such as cracks in the transition region, so the effective connection of IN625/TC4 bimetallic structure has been a hot spot and a difficult area of research in the industry. In this work, laser melting deposition technology was used to prepare IN625/TC4 bimetallic structure without cracks and other metallurgical defects by adding Cu interlayer, and studied the microstructure and mechanical properties of the transition region. The results show that the phase composition inside the transition region of the IN625/TC4 bimetallic structure deposited by laser melting with Cu interlayer is mainly γ-Ni, γ-Cu, (Cr, Mo), Ti2Cu, TiCu, TiNi3, α-Ti and β-Ti. Tensile results at room temperature indicate that the tensile strength of the IN625/TC4 bimetallic structure with Cu interlayer is about 228.9 MPa. The fracture location is near the Cu/IN625 transition region, and the fracture morphology shows quasi-dissociative fracture characteristics.
Effect of self-induced magnetic field on liquid flow and segregation during VAR process for titanium alloys
Huang Liqing, Wu Jingyang, Guo Jie, Fan Kai, Li Chao, Li Zhihong, Li Junjie, Wang Jincheng
2023, 44(4): 55-61. doi: 10.7513/j.issn.1004-7638.2023.04.008
Abstract(526) HTML (333) PDF(44)
Abstract:
A continuum model for alloy solidification was used to simulate the temperature evolution, solute distribution, liquid flow, and self-induced magnetic field during VAR process for titanium alloys. The work reveals the influence of self-induced magnetic force and/or buoyancy force on the melt flow and solute segregation by contrastively exerting the forces. When a small melting current of 0.3 kA is used, the melt flow is dominantly driven by the buoyancy force that the melt flows downward at the side of the melt pool and upward in the center of the melt pool. When a large melting current of 0.73 kA is used, the melt flow is dominantly driven by the self-induced magnetic force and the melt flows adversely, and the maximum velocity reaches 0.036 m/s. When a medium current of 0.45 kA is applied, both the two forces act evidently, forming two regions in the pool where the melt flow directions are opposite, and the maximum flow rate in the pool can reach a minimum value of 0.004 m/s due to their competition. With increasing the current, the total segregation of the ingot rises at begin, has a reduction stage after a peak, but then increase continuously again. The extreme values of the three stages are 0.54%, 0.39% and 0.57%, correspondingly. The minimum segregation can be obtained when the self-induced magnetic force and buoyancy force act equally.
Effect of ball milling time on the microstructure and mechanical properties of porous Ti-5Cu alloys
Mai Ping
2023, 44(4): 62-67. doi: 10.7513/j.issn.1004-7638.2023.04.009
Abstract(465) HTML (163) PDF(9)
Abstract:
Biomedical porous Ti-5Cu alloys were prepared by mechanical ball milling and space holder method through vacuum sintering. The metal powders ball milled with different time were analyzed by scanning electron microscopy, X-ray diffractometer and laser particle size analyzer, and the effects of ball milling time on the microstructure and mechanical properties of the porous Ti-5Cu alloy were investigated. The results showed that the morphology of Ti-5Cu powder became flat and its average particle size decreased significantly after 2 h ball milling. Further increasing the milling time only slightly reduced the average particle size of the powder. With the increase of ball milling time, the porosity of the porous Ti-5Cu alloy with anisotropic pore structure simulating human bone gradually decreased, and its elastic modulus and compressive strength first increased and then decreased. At the time point of ball milling, the elastic modulus and compressive strength of porous Ti-5Cu alloy prepared by ball milling for 2 h achieved the highest values, which were 3.79 GPa and 89.00 MPa, respectively.
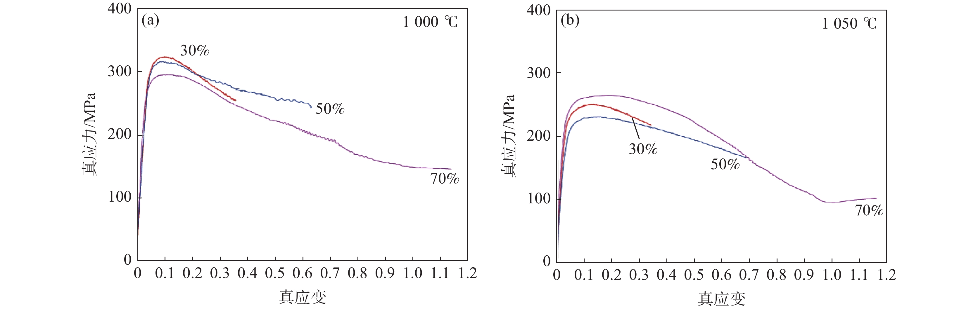
Effect of compression deformation on the microstructure and properties of TA18 titanium alloy
Huo Sihan, Lv Xiao
2023, 44(4): 68-72. doi: 10.7513/j.issn.1004-7638.2023.04.010
Abstract(1015) HTML (239) PDF(21)
Abstract:
In the present study, the compression experiments with compression deformation of 10%, 20%, 30%, 50% and 70% were carried out for the nearly α type TA18 titanium alloy bars after radial precision forging and hot rolling. The bars were subsequently annealed for 2 hours at 510 ℃. The influence of compression deformation on the microstructure and mechanical properties was investigated by metallographic microscopy. It is found that the radial precision forged and hot rolled TA18 alloy bars can achieve uniform microstructure after compress experiments with compression deformation of 10%, 20%, 30%. The mechanical properties of the alloy bars after radial precision forging and hot rolling keep basically consistent and the compressive strength gets a maximum value at the compression deformation of 30%. The grain size and distribution of the compressed alloy bars are still relatively uniform after annealing at 510 ℃ for 2 hours. After annealing, the microstructure of the compressed radial precision forging bar is more uniform.
Preparation and properties of lithium titanate anode materials with different titanium sources
Jiang Xinyu, Ma Guangqiang, Zhu Qinmei, Tian Congxue
2023, 44(4): 73-77. doi: 10.7513/j.issn.1004-7638.2023.04.011
Abstract(470) HTML (453) PDF(18)
Abstract:
Spherical Li4Ti5O12 anode materials were prepared by high temperature solid phase method, and the effects of different titanium sources on the properties of Li4Ti5O12 anode materials were investigated. The structure and morphology of the prepared materials were characterized by XRD and SEM, and the synthesized materials were tested by electrochemical method. The results show that the discharge specific capacities of t-LTO, h-LTO and f-LTO prepared with nano TiO2(P40), industrial H2TiO3 and industrial H2TiO3 containing iron are 170.0, 156.3 and 150.7 mAh/g at lower charge/discharge rate of 0.2 C, respectively. And the discharge specific capacities at the higher rate of 5 C are 91.9, 93.0 and 26.7 mAh/g, respectively. After 100 cycles of charging and discharging at 1 C, the capacity retention rates are 97.4%, 97.3% and 94.6%, respectively. Li4Ti5O12 prepared with nano TiO2 and industrial H2TiO3 has good electrochemical performance, so relatively pure industrial H2TiO3 can be used as a substitute for expensive TiO2 to prepare Li4Ti5O12 anode materials.
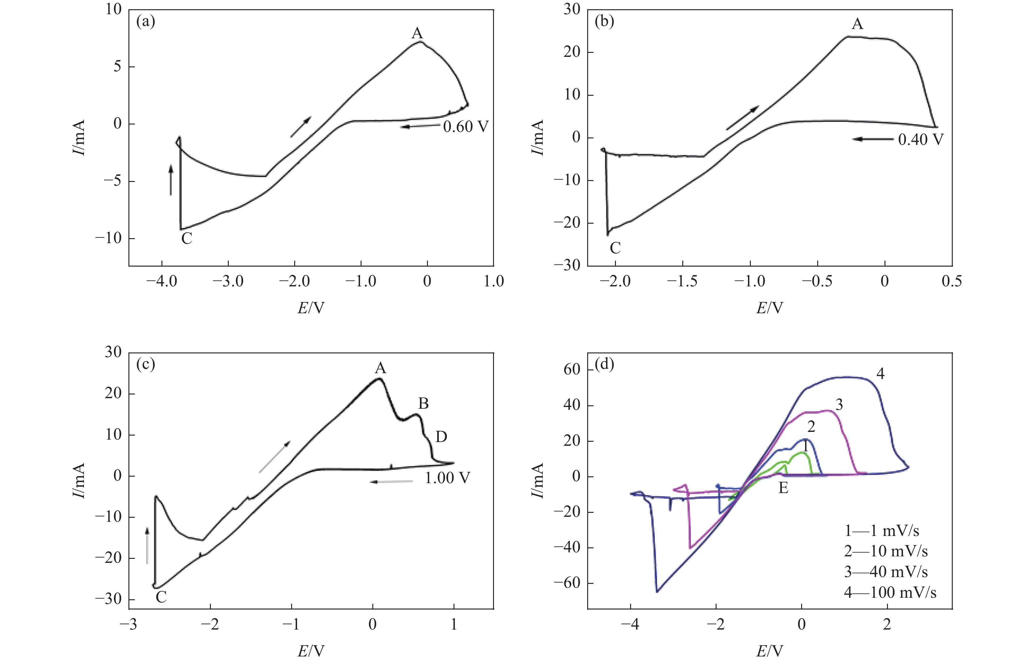
Study on electrical removal of aluminum from Ti-Al alloys in low-temperature molten salt
Xu Peidong, Tan Min, Li Tao, Gao Aimin, Xin Zhaoyang, Liu Wei, Gu Shaopeng
2023, 44(4): 78-84. doi: 10.7513/j.issn.1004-7638.2023.04.012
Abstract(537) HTML (250) PDF(17)
Abstract:
In order to realize the secondary recycling and separation of Al-Ti alloys, the dealloying of Al-Ti alloys was studied with 1-butyl-3-methyl imidazolium chloride (BMIC)-aluminum chloride (AlCl3) as the electrolyte and Ti-Al alloys as the sacrificial anode. Cyclic voltammetry, potentiodynamic polarization method, and potentiostatic polarization method were performed to analyze the dealloying behavior during electrolysis. SEM-EDS was used to characterize the micromorphology of the samples before and after electrolysis. The Al content in the Ti-Al alloy samples was quantified by ICP-AES. The results showed that the dealloying reaction of Ti-Al alloy in BMIC-AlCl3 is quasi-reversible. The current remains stable during the long-time electrolysis, indicating that the electrolytic dealloying could be achieved continuously. The cathodic deposition layer was found to be metallic aluminum with high purity and porous structure by scanning electron microscopy. The content of Al in titanium aluminum alloy after electrolysis decreased by 10.67% compared with that before electrolysis based on the ICP-AES analysis.
Study on long time corrosion resistance of titanium welded tube
Li Haiming, Hu Xingguang, Li Junzhao, Liu Wenzheng, Yang Weijun
2023, 44(4): 85-88. doi: 10.7513/j.issn.1004-7638.2023.04.013
Abstract(425) HTML (175) PDF(7)
Abstract:
Simulating different operating conditions the corrosion resistance of titanium welded pipe in tap water, 5% magnesium chloride aqueous solution, seawater and 10% sulfuric acid solution soaked for a long time was studied through macro-size detection, metallographic analysis and mechanical properties test. The results show that there is almost no evident corrosion of titanium welded pipe after long-term immersion in tap water, 5% magnesium chloride aqueous solution and seawater. The corrosion rate is 0.333, 0.466 μm /year and 0.466 μm/year, respectively, representing a predominant corrosion resistance of titanium welded pipe. The titanium welded pipe can be corroded after a long-term immersion in 10% sulfuric acid solution. The wall of titanium welded pipe becomes thinned with a reduction rate of 2% . The corrosion rate is 1.398 μm/year, and the corrosion resistance is worse than the other three solutions. This research is of great significance to the application of titanium welded pipe in domestic water, salt making, ocean engineering and seawater desalination.
Resources Environment and Energy Saving
Experimental research on the recycling of valuable metal elements with the extracted-vanadium residues reduced by biomass
Gao Yang, Xie Huaqing, Zhou Mi, Guo Rui, Qin Mengxin, Wang Zhengyu, Dai Bing
2023, 44(4): 89-95. doi: 10.7513/j.issn.1004-7638.2023.04.014
Abstract(499) HTML (227) PDF(16)
Abstract:
In order to solve the problems of land resources waste and environmental pollution caused by accumulation of vanadium extraction tailings, two kinds of vanadium extraction tailings were studied in this paper. Biomass was used as reducing agent for high temperature reduction experiment, and the component analysis and phase analysis of reduction products were carried out to explore the influences of oxygen absorption ratio, time and temperature on metallization rate of reduction products. The results show that the iron metallization rate can reach 58.67% when the oxygen absorption ratio is 4, the reduction temperature is 1450 ℃ and the reduction time is 2 h. The chromium metallization rate of vanadium-precipitated waste slag can reach 99.19% when the oxygen absorption ratio is 1.75, the reduction temperature is 1550 ℃ and the reduction time is 4 h. Two kinds of vanadium extracting tailings were mixed to prepare ferrochromium alloy by high temperature reduction of biomass. The preliminary experiment proved that the reduction product was melted under the condition of oxygen absorption ratio of 4, reduction time of 3 hours and reaction temperature of 1550 ℃. The content of chromium in the alloy was 61.51%, the content of iron was 31.05%, and the content of elements met the national standard requirements of FeCr65C4.0 alloy.
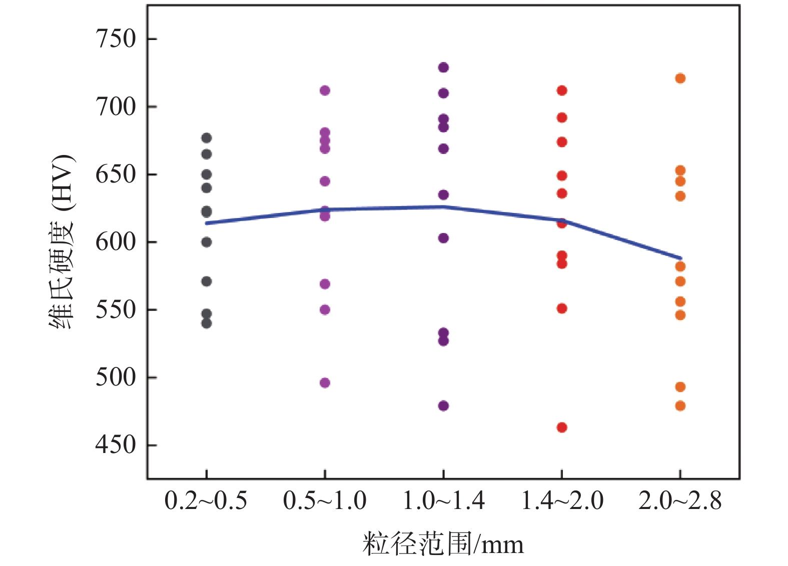
Research on properties of air-quenched steel slag abrasives with different particle sizes
Li Shuo, Xing Hongwei, Liu Chao, Lin Wenlong, Zhang Wei, Gu Shaopeng, Wang Hui, Pei Jingjing
2023, 44(4): 96-102. doi: 10.7513/j.issn.1004-7638.2023.04.015
Abstract(420) HTML (179) PDF(11)
Abstract:
Using solid steel slag as raw material, steel slag with different particle sizes was prepared by air quenching after high-temperature remelting in an electric arc furnace. the differences and similarities of air-quenched steel slag with different particle sizes in terms of phase composition, microstructure, apparent density, morphological characteristics and hardness were compared, and the feasibility of using air-quenched steel slag as sandblasting abrasive was analyzed. The air-quenched steel slag with better abrasive properties was selected for sandblasting experiment. The results show that the phase composition of air-quenched steel slag is similar, mainly calcium silicate phase and cubic magnesite. The apparent density decreases with the increase of particle size, which conforms to the density standard of nonmetallic abrasives. The average Vickers hardness of the five particle sizes of air-quenched steel slag is more than 588, which is suitable for abrasive blasting. Considering the performance and blasting effect of different particle sizes of air-quenched steel slag, 0.5~1.0 mm air-quenched steel slag is the most suitable for abrasive blasting.
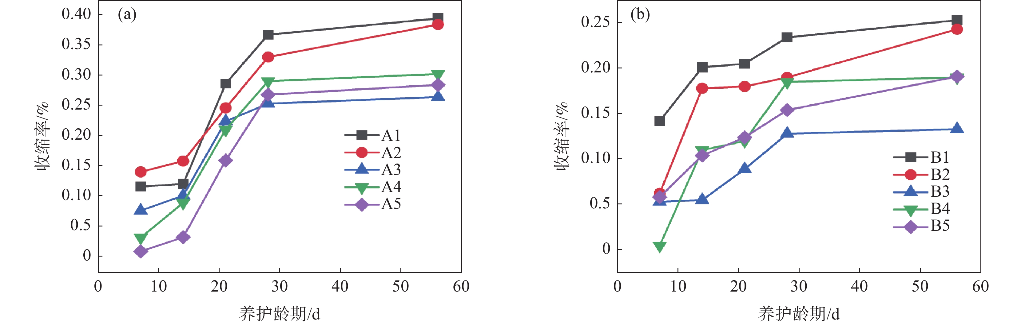
Study on hydration reaction of titanium gypsum–titanium slag low clinker cement
Jiang Yong, Su Yaobin, Gao Rui, Wu Maojie, Jiang Yun, Jiao Xiaofei
2023, 44(4): 103-111. doi: 10.7513/j.issn.1004-7638.2023.04.016
Abstract(636) HTML (199) PDF(13)
Abstract:
In order to explore the feasibility of using titanium gypsum and titanium slag to prepare low clinker cement and study its hydration characteristics, 10 groups of cement were prepared with titanium gypsum, titanium slag and cement clinker as the main raw materials and sodium silicate as the activator. The compressive strength, softening coefficient and shrinkage rate of each group were tested. The hydration process and hydration products were studied by hydration thermal analysis, TG-DSC, XRD and SEM. The results show that appropriate increase of titanium slag or clinker content can improve the compressive strength and softening coefficient of cement, and reduce the shrinkage of cement. Sodium silicate can significantly activate the hydration reactivity of cement, and promote the generation of more C-S(A)-H, AFt and CH, so as to improve the compressive strength and softening coefficient, but excessive incorporation of sodium silicate will cause an increase in shrinkage rate. With the ratio of titanium gypsum, titanium slag, clinker and sodium silicate of 30∶55∶15∶8, the compressive strength reached 51.3 MPa of 56 days after curing and the softening coefficient was 0.74, showing good mechanical properties and water resistance.
Laboratory study on improving recovery rate of pyrite concentrate in titanium separation process in Panxi region
Wang Hongbin, Shi Zhangliang, Zhao Kaile, Yang Yaohui, Luo Rongfei
2023, 44(4): 112-116. doi: 10.7513/j.issn.1004-7638.2023.04.017
Abstract(439) HTML (171) PDF(13)
Abstract:
In the case of sanding of a titanium flotation inclined plate in Panxi area, the conventional process of “first floating sulfur and then enriching cobalt sulphide” and the recovery of sulphides with the conventional reagent “Butyl xanthate +2# oil” were adopted, the low recovery of cobalt sulphide is unfavorable to the subsequent flotation separation of cobalt sulphide, the flotation process of “one roughing, two sweeping and three refining” was optimized by adding high efficient auxiliary collector EMC-50, foaming agent EMP-02 and inhibitor EM515.The results showed that sulfur concentrate with yield of 2.00% , S grade of 36.37% , Co grade of 0.36% and S recovery of 83.53% could be obtained by adding new reagent, the recovery of pyrite concentrate is 3.21% higher than that of conventional reagent, and the reagent cost per unit pyrite concentrate is 111 yuan/t lower. The use of new reagents will be beneficial to improve the comprehensive utilization value of Panxi pyrite concentrate.
Ferrous Metallurgy and Materials
Effect of preformed calcium ferrite addition on sintering behavior of vanadium titanomagnetite
Xie Hao, Li Gang, Lv Xuewei, Sun Xiaodong, He Haixi
2023, 44(4): 117-124. doi: 10.7513/j.issn.1004-7638.2023.04.018
Abstract(615) HTML (241) PDF(18)
Abstract:
In view of the problems of low yield, poor strength and high energy consumption in the sintering process of vanadium titanomagnetite, a new sintering technology of preformed calcium ferrite is proposed in this paper, and its feasibility and theoretical basis are revealed through the tablet sintering and thermal analysis test. The results show that with the increase of substitution ratio (preformed calcium ferrite to partially substitute CaO), the microstructure of roasted products changes from granular structure to melting corrosion structure, the content of SFCA increases, while perovskite content decreases. In addition, the quantity of melts increases, the coalesce of sintering bubbles is promoted, the average porosity decreases from 42.9% to 36.2%, and the densification of the matrix is promoted. The formation of calcium ferrite melts in the heating process can be divided into three reactions, according to the formation temperature from low to high, it is the eutectic reaction of CF+CF2 → L, the melting of SFCA-I and SFCA, respectively; the addition of preformed calcium ferrite can reduce the generation temperature of initial melts, and increase the total sintering melts by about 9 %; promote the melting of iron oxides into the initial melts, increase the content of calcium ferrite, and promote solid-liquid assimilation reaction.
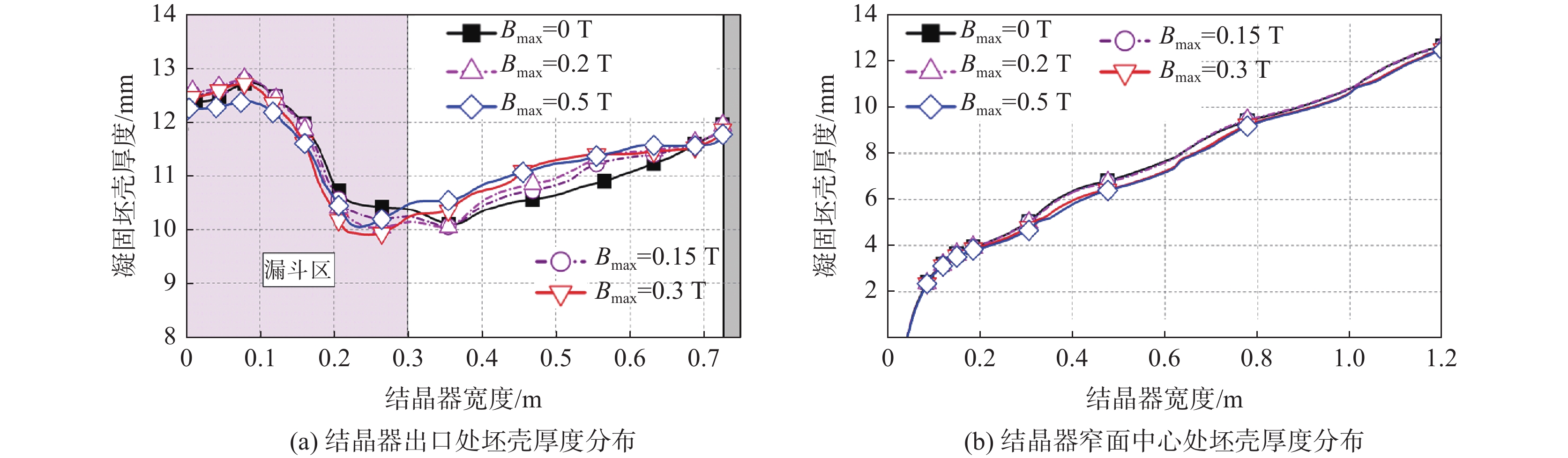
Investigation of multiphase transport behaviors in a FTSR mold during electromagnetic continuous casting process
Xu Lin, Pei Qunwu, Li Yang, Han Zefeng, Yang Shuo, Wang Jianyu
2023, 44(4): 125-134. doi: 10.7513/j.issn.1004-7638.2023.04.019
Abstract(501) HTML (196) PDF(7)
Abstract:
For the research object of flexible thin slab rolling (FTSR) funnel-shaped mold, a three-dimensional (3-D) multi-field coupling mathematical model was established for describing the electromagnetic braking (EMBr) continuous casting process. To investigate the metallurgical effect of Ruler-EMBr device, the effects of various electromagnetic parameters on the behaviors of molten steel flow, heat transfer, solidification, and inclusions motion in the FTSR mold were discussed. The results indicate that the application of Ruler-EMBr can improve the uniformity of molten steel temperature distribution and reduce the penetration depth of downward backflow in the FTSR mold. This is beneficial to the floating removal of inclusions entrained in the downward backflow. Moreover, it is also conducive to the upward backflow to transport more heat to the meniscus region, avoiding slag solidification and slag rim formation. The parametric study also shows that the molten steel surface velocity can be reduced and the surface fluctuation at the upper ports of submerged entry nozzle (SEN) can be controlled with the increase of magnetic flux density appropriately. When the magnetic flux density reaches to 0.3 T, the maximum molten steel surface velocity decreases to 0.27 m/s, and the surface peak value at the upper ports of SEN decreases to 7.3 mm.
High temperature mechanical properties and hot working properties of high magnetic orientation silicon steel
Shi Pengzhao, Li Jiangbo, Qiao Jialong, Guo Feihu, Qiu Shengtao
2023, 44(4): 135-141. doi: 10.7513/j.issn.1004-7638.2023.04.020
Abstract(554) HTML (227) PDF(14)
Abstract:
In this paper, Gleeble3800 thermal simulation test machine was used to conduct high temperature tensile and high temperature compression experiments on high magnetic induction oriented silicon steel billets. The influence of temperature on high temperature mechanical properties (tensile strength and section shrinkage) of high magnetic induction oriented silicon steel, and the hot working properties of high magnetic induction oriented silicon steel were studied. The results showed that the temperature of the first brittle zone of high magnetic orientation silicon steel was around the melting point ~1200 ℃, and the temperature of the third brittle zone was about 750 ℃, and there was no second brittle zone. The fracture mechanism of the sample at 750 ℃ is intergranular brittle fracture, and there are Al, Si and other oxidation inclusions at the fracture surface. When the shape variable and temperature are constant, the deformation resistance of the specimen increases with the increase of strain rate.
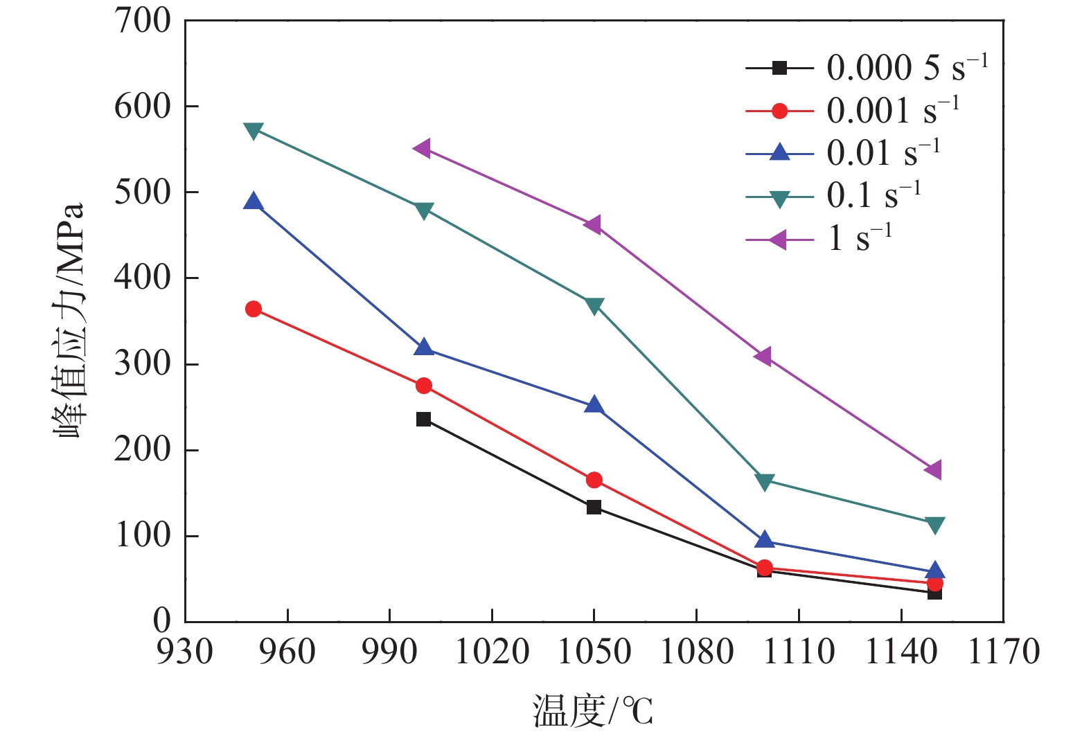
Research on microstructure evolution of GH5188 alloy during plastic processing
Guo Xulong, Jiang Shichuan, Qi Huilin, Fu Jianhui
2023, 44(4): 142-148. doi: 10.7513/j.issn.1004-7638.2023.04.021
Abstract(566) HTML (214) PDF(17)
Abstract:
The Gleeble-3800 thermal simulation testing machine was used to investigate the thermal deformation behavior and structure transfer law of GH5188 superalloy. In the isothermal compression test, the relevant data of stress in the range of deformation temperature of 980~1230 ℃, strain rate of 0.01~10 s−1, and the deformation amount of 10%~70% was obtained. And the effect of different temperatures and rates on the stress of GH5188 superalloywas discussed. Furthermore, the constitutive relation model of GH5188 alloy was established, and the optimized forging process parameters were proposed. Deformation behaviors show that the flow stress decrease with the increase of deformation temperature, but increase with the increase of flow stress. Microstructural observation indicates that the as-cast structure can be broken and refined when the deformation of the alloy does not exceed 70% and the forging temperature exceed 1230 ℃. When the upsetting is performed multiple times in the temperature range of 1080~1180 ℃, it is easier for the alloy to reach a fully recrystallized state and the recrystallized grain size refines during the heat preservation process as the amount of deformation increases, while the size of recrystallized grains will grow significantly as the holding time increases.
Effect of different vanadium and nitrogen contents on microstructure and properties of Nb-V microalloyed high-strength seismic reinforcement
Lu Jie, Su Qixiang, Huang Jixiang, Zhang Huanhuan, Lei Ting, Yin Shubiao, Ma Zhenghong
2023, 44(4): 149-157. doi: 10.7513/j.issn.1004-7638.2023.04.022
Abstract(669) HTML (199) PDF(24)
Abstract:
Vanadium and nitrogen can effectively improve the comprehensive performance of Nb-V microalloyed high strength seismic reinforcement. The microstructure of three kinds of Nb-V microalloyed high-strength seismic reinforcement bars with different vanadium and nitrogen contents was characterized and tested by metallographic microscope, scanning electron microscope, transmission electron microscope and mechanical testing machine. The results show that the final microstructure of the three test steels is composed of ferrite, pearlite and small amount of bainite. As vanadium and nitrogen contents in test steel increases, the ferrite grain size is reduced, pearlite lamellar spacing is gradually thinning. With the increase of vanadium and nitrogen contents in precipitated phase NbV (C, N), the volume fraction of precipitated second phase particles increases and the particle size decreases. The fracture morphology of the tested steels is dimple fracture, and the dimple deepens and the diameter increases with the increase of vanadium and nitrogen contents. In terms of mechanical properties, tensile strength increases, yield strength and hardness slightly decrease and then increases.
Research progress of biodegradable iron-based materials for vascular stents
Xu Yanan, Wang Weiqiang, Yang Shuaikang, Wang Yinong
2023, 44(4): 158-166. doi: 10.7513/j.issn.1004-7638.2023.04.023
Abstract(1087) HTML (229) PDF(73)
Abstract:
Iron-based biodegradable metal material is one of the most potential materials to replace permanent vascular stents. The slow degradation rate is the main problem hindering its development. Many researchers optimized its biocompatibility, corrosion and degradation behaviors, mechanical properties and magnetic properties by adjusting its microstructure, surface treatment, alloying, and "composite" material design, aiming for the ideal iron-based biodegradable stent materials. Although the pure iron compatibility can be ensured by microstructure adjustment, its degradability improvement is limited. While, it is hard to optimize the corrosion resistance properties of pure iron matrix, despite the fact that the corrosion rate of the close-to-surface regions can be enhanced by specific surface treatments. Among these ways, the comprehensive properties of materials were optimized via "composite" materials designed by alloying. However, a great improvement is still required for the alloying materials to satisfy the properties of ideal stents. This work summarized the researches of iron-based biodegradable stent materials from the above aspects and suggestions on the future research directions were also proposed.
Development and application of high strength complex phase steel HR680/800CP for automobile chassis
Tan Daqing, Zhou Li, Jia Guoxiang, Cao Xiao’en, Wen Caijun, Xue Renjie
2023, 44(4): 167-172. doi: 10.7513/j.issn.1004-7638.2023.04.024
Abstract(576) HTML (218) PDF(14)
Abstract:
Considering lightweight requirement and forming process characteristics of chassis structural parts, a complex alloying system of C-Si-Mn-Nb-Ti-Mo elements had been designed in order to achieve a better performance of weldability, second phase precipitation and bainite transformation at intermediate temperature. Based on theoretically calculation, a TMCP process where FET and CT are set at 890 ℃ and 570 ℃ and uses laminar cooling mode front 3/4, had been developed. During the TMCP process stable rolling steps were within austenite phase zone, and ferrite and bainite transformation occurred upon cooling period during and after laminar process. As a result HR680/800CP was produced which is featured with well flanging and hole expansion property. Microstructure mainly consists of Ferrite/Bainite, and mechanical properties reaches yield strength 769 MPa, tensile strength 840 MPa, elongation 17.92%, hole expansion ratio up to 110%. This product has been successfully used for structure parts of chassis control arm and battery pack bracket in new energy automobile.
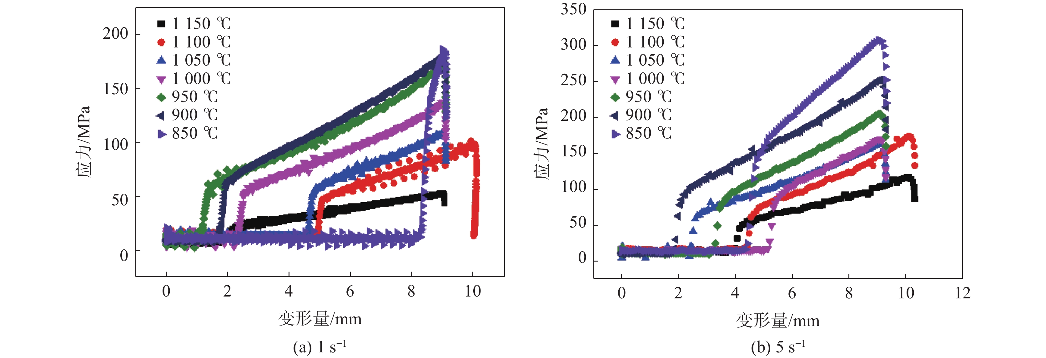
Study on deformation behavior and microstructure evolution at elevated temperatures of nickel based superalloy GH4065A
Shui Lang, Fu Jianhui
2023, 44(4): 173-182. doi: 10.7513/j.issn.1004-7638.2023.04.025
Abstract(621) HTML (231) PDF(35)
Abstract:
This paper performs thermal compression studies on GH4065A samples from a sample disk that is obtained from an industrial plant and has undergone VIM+ESR+VAR and homogenization. This study reveals the impact of thermal compression parameters such as deformation temperature, strain rate and engineering strain on the flow stress of GH4065A, and constructs constitutive equations of GH4065A at the 50% engineering strain. Based on experimental data, the thermal processing map and instability criterion map of GH4065A are proposed, by which the stable processing zones of GH4065A can be identified. This paper also studies the microstructure evolution of GH4065A, and the results reveal the precipitation range of γ’ phase, non-recrystallization processing range, partial recrystallization processing range, and full recrystallization processing range of GH4065A, by which the recrystallization map is proposed.
Study on the composite inclusions of MnS-Al2O3 in wheel steel
Ding Xiaoming, Li Tao, Guo Xiaopei, Zhuang Qianyu, Liu Kai
2023, 44(4): 183-189. doi: 10.7513/j.issn.1004-7638.2023.04.026
Abstract(472) HTML (295) PDF(22)
Abstract:
The composite inclusions of MnS-Al2O3 in high-speed railway wheel steel can reduce the effect of Al2O3 on fatigue properties of wheel steel. In this study, the types of inclusions in wheel steel were determined as MnS, Al2O3 and MnS-Al2O3 composite inclusions by testing wheel steel prepared in laboratory. The inclusions of Al2O3 were extracted by acid dissolution method. XRD results showed that crystal texture of Al2O3 inclusion in steel was α-Al2O3. The composite inclusion in steel was extracted by non-aqueous electrolysis method, and the morphology of MnS-Al2O3 composite inclusion was detected. Based on the thermodynamic calculation of steel composition, the relationship between the solidus and liquidus temperatures of experimental steel and the precipitation temperature of inclusions was analyzed. The results show that Al2O3 inclusions in wheel steel can provide nucleation sites for the precipitation of MnS. It was clarified that the surface of (100) of MnS can precipitate on the Al2O3 (0001) through the calculation of the mismatch between the two phases of MnS and Al2O3. This works provides a theoretical basis for the formation of MnS-Al2O3 composite inclusions in steel and the reduction of the damage of Al2O3 inclusions.
Microstructure and properties of vanadium microalloyed cast magnesium alloy for automobile
Gao Yanan, Zheng Lei, Zhang Quanyu
2023, 44(4): 190-195. doi: 10.7513/j.issn.1004-7638.2023.04.027
Abstract(415) HTML (165) PDF(10)
Abstract:
In order to study the microstructure, wear resistance and corrosion resistance of vanadium microalloyed cast magnesium alloy for automobile, different contents of alloy element vanadium were added into the cast Mg-9Al-1Zn magnesium alloy, and the microstructure, wear resistance and corrosion resistance of the test alloy were tested and compared. The results show that the alloy element vanadium can effectively refine the internal structure of the alloy and improve the wear resistance and corrosion resistance of the alloy. With the gradual increase of vanadium content from 0 to 0.4%, both the wear resistance and corrosion resistance of the test alloy have been improved. Further increasing vanadium content to 0.5% will reduce the wear and corrosion resistance. Compared with Mg-9Al-1Zn magnesium alloy without vanadium, when 0.4% alloy element vanadium is added to Mg-9Al-1Zn magnesium alloy, the wear volume of the alloy is reduced by 12.7×10−3 mm3 or 29.8%, and the positive shift of corrosion potential reaches by 0.107 V or 12.2%. The tensile strength, yield strength and elongation of the alloy are increased by 58, 58 MPa and 3.3% respectively, with relative increasing amplitude of 20.9%, 36.0% and 40.2%, respectively. The alloy element vanadium content for Mg-9Al-1Zn-V magnesium alloy is preferably at 0.4%.
Research on prediction accuracy of the flow stress of 0Cr17Ni4Cu4Nb stainless steel based on machine learning
Zhao Lidong, Zhang Youming, Zhang Jilin, Dou Jianming, Yao Jiabao
2023, 44(4): 196-204. doi: 10.7513/j.issn.1004-7638.2023.04.028
Abstract(458) HTML (210) PDF(8)
Abstract:
A new model for predicting rheological stresses based on particle swarm optimization BP neural network is proposed for 0Cr17Ni4Cu4Nb stainless steel as an example. Based on the quasi-static (0.001 s−1) compression testing data at room temperature and the impact testing data at four temperatures (25, 350, 500 and 300 ℃) and six strain rates (750, 1500, 2000, 2600, 3500 and 4500 s−1), a random forest prediction model for rheological stress of 0Cr17Ni4Cu4Nb stainless steel, a Particle Swarm Optimized Random Forest prediction model, a Back Propagation (BP) neural network, and a Particle Swarm Optimized BP neural network are constructed. Four indicators including the statistical coefficient of determination (R2), mean absolute error (MAE), mean square error (MSE) and root mean square error (RMSE) are used to analyze and evaluate the four models mentioned above. The comprehensive performance of the prediction models is in sequence of particle swarm optimization BP neural network model, BP neural network model, particle swarm optimization random forest model, and the random forest model. The coefficient of determination R2=0.9997, mean absolute error MAE=1.5773, mean squared error MSE=5.5053 and root mean squared error RMSE=2.3463 are determined for the particle swarm optimized BP neural network model, which can predict the rheological stress of 0Cr17Ni4Cu4Nb stainless steel very well.