2023 Vol. 44, No. 5

Mining & Beneficiation
Optimization of flotation process of ilmenite based on Box-Behnken response surface methodology
Dai Chuan, Chen Pan, Sun Wei, Wang Hongbin, Yang Yaohui
2023, 44(5): 1-7. doi: 10.7513/j.issn.1004-7638.2023.05.001
Abstract(600) HTML (227) PDF(32)
Abstract:
In order to address the complex challenge of ilmenite flotation separation, an extensive single-factor variable test was conducted to investigate the parameters influencing ilmenite flotation and determine the optimal process conditions. To gain a comprehensive understanding of the parameter interactions and optimize the flotation process, a detailed study utilizing response surface methodology was carried out in this research. The results obtained demonstrated the reliability of the response surface model for the TiO2 concentrate grade and recovery, established based on the experimental data. Notably, the interaction between sulfuric acid and diesel fuel exhibited a significant effect on both the TiO2 grade and recovery of the concentrate. To validate the findings, a validation test was conducted under the optimized process conditions, consisting of a sulfuric acid dosage of 1.61 kg/t, MOH dosage of 2.82 kg/t, and diesel fuel dosage of 0.81 kg/t. The resulting roughing concentrate exhibited a TiO2 grade of 32.58% and a recovery of 77.60%, closely aligned with the model predictions. Subsequently, an open circuit flotation test was performed based on the roughing stage, yielding a titanium concentrate with a TiO2 grade of 47.21% and a recovery of 49.28%.
Flotation dynamics test and analysis for ilmenite
Ma Chonghan, Fan Xuesai, Chen Feifei
2023, 44(5): 8-14. doi: 10.7513/j.issn.1004-7638.2023.05.002
Abstract(628) HTML (201) PDF(15)
Abstract:
Magnetic separation plus flotation has gradually become the best process for comprehensive recovery of ilmenite. Flotation recovery is faced with the characteristics of large specific ore, coarse particle size, high slurry concentration (ca. 65%), and high mass pull. According to the existing flotation process, the flotation dynamics test and analysis of the titanium flotation equipment were carried out. The air dispersion test shows that the air dispersion of each flotation equipment is low, and the air is unevenly dispersed on the cross section of the tank. At the same time, the air dispersion of the slurry suction flotation cell is obviously lower than that of the direct flow tank, and the effect of air dispersion is not good enough. The bubble loading rate test shows that the coarse-grained minerals have a high probability of falling off during the upward transportation process, and the recovery effect is poor. The slurry suspension test shows that there is obvious slurry stratification phenomenon in all flotation equipment, that is, the slurry concentration is not much different below 1100 mm from the overflow weir. As the depth from the overflow weir decreased, the concentration decreased significantly. The slurry concentration in the area near the overflow weir is obviously lower than that in the area of the impeller. The uneven distribution of gas holdup in the flotation equipment indicates that there is no regularity in the operation of the flotation equipment, and the probability of collision and adhesion between mineral particles and air bubbles cannot be guaranteed.
Study on the comprehensive recovery of Fe and Ti from a low grade vanadium-titanium magnetite in Xinjiang
Ma Donglin, Yang Yaohui, Deng Jian, Yan Weiping, Wang Hongbin
2023, 44(5): 15-22. doi: 10.7513/j.issn.1004-7638.2023.05.003
Abstract(678) HTML (244) PDF(43)
Abstract:
Aiming at a low-grade vanadium titanomagnetite resource in Xinjiang, an experimental study on efficient comprehensive recovery of iron and titanium benefication was carried out. According to the specific properties of the ore, a technological process of iron and titanium comprehensive recovery was developed, including stage grinding stage selection of iron, strong magnetic preconcentration, and flotation to recover titanium. The iron concentrate product with a yield of 16.43%, a TFe grade of 57.08%, and a Fe recovery of 53.24% was finally obtained from the iron separation process. Ilmenite flotation material products with yield of 23.35%, TiO2 grade of 16.30% and recovery of 50.22% were finally obtained by titanium separation and preconcentration. The final result of titanium flotation is a titanium concentrate product with a yield of 25.60%, a TiO2 grade of 48.02%, and a TiO2 recovery rate of 75.62%. With such good index, this process provides a technical reference for iron and titanium recycling of low-grade vanadium titanium magnetite in such areas.
Differences between oleic acid and benzohydroxamic acid in flotation performance of ilmenite
Yang Zhaojun, Xie Baohua, Liang Taomao, Wang Fengyu, Zhong Senlin
2023, 44(5): 23-27. doi: 10.7513/j.issn.1004-7638.2023.05.004
Abstract(557) HTML (174) PDF(16)
Abstract:
Starting from the study of interface properties of ilmenite, the single mineral flotation test, collector adsorption capacity, contact angle, and ζ potential measurement were conducted to study the mechanism of oleic acid and benzohydroxamic acid on the flotation of ilmenite. Oleic acid and benzohydroxamic acid underwent physical and chemical adsorption on the surface of ilmenite in the slurry, mainly through chemical adsorption. The difference in the flotation performance of oleic acid and benzohydroxamic acid on ilmenite was explained. Benzenehydroxamic acid shows better flotation performance for ilmenite than oleic acid, laying a theoretical foundation for the research and development of new ilmenite collectors.
Experimental study on beneficiation of a low-grade refractory iron ore in Qinghai province
Luo Yunbo, Xiao Jinxiong, Shi Yunliang, Xie Baohua
2023, 44(5): 28-35. doi: 10.7513/j.issn.1004-7638.2023.05.005
Abstract(545) HTML (183) PDF(13)
Abstract:
Aiming at the characteristics of low iron grade, fine distribution size of magnetite and complex relationship with gangue minerals of a refractory iron ore in Qinghai province, the technological process of dry throw-stage grinding and stage magnetic separation was adopted for experimental study. The main feature of this technological process is that a large amount of tailings can be discarded during dry throw-stage grinding and the subsequent grinding operation can greatly reduce the grinding amount. The results show that after four stages of grinding, iron concentrate containing TFe grade of 64.10% and TFe recovery rate of 70.45% can be obtained when the final grinding fineness of −0.025 mm is 95.15%. The recovery of the low-grade refractory iron ore is better realized. At the same time, it is analyzed that a small part of magnetite in the iron concentrate of the fourth section is mainly produced as iron-poor auxiliaries, and its composition is the main reason that it is difficult to further improve the grade of iron concentrate.
Experimental study on beneficiation of a foreign refractory ilmenite ore
Xie Baohua, Luo Yunbo, Wang Fengyu, Liang Taomao, Yang Zhaojun
2023, 44(5): 36-40. doi: 10.7513/j.issn.1004-7638.2023.05.006
Abstract(593) HTML (179) PDF(22)
Abstract:
In view of the complex mineral composition of a ilmenite from overseas, the close symbiotic relationship between valuable minerals and the fine particle size of ilmenite, the experimental study on the beneficiation process of the refractory ilmenite ore was carried out using the stage grinding-stage separation magnetic separation-flotation process flow. The results show that the iron concentrate with TFe grade of 64.50% and recovery rate of 81.70%, the titanium concentrate with TiO2 grade of 47.22% and recovery rate of 50.55% can be obtained from the run-of-mine with TFe grade of 55.36% and TiO2 grade of 9.91%. This process provides a technical support for the open utilization of the mineral resources.
Optimization of stope structure parameters based on Mathews and FLAC3D
Li Cui, Zhang Liangbing, Chen Tao, Luo Shaochen
2023, 44(5): 41-47. doi: 10.7513/j.issn.1004-7638.2023.05.007
Abstract(616) HTML (342) PDF(16)
Abstract:
Taking an underground mine in Panxi as an example, the exposed area of the stope was estimated based on Mathews stability diagram method and empirical analogy method. It is recommended that the allowable exposed area of the stope roof is 800 to 1200 square meters, and the allowable exposed area of the ore body side is 4000 to 5000 square meters. Based on FLAC3D numerical simulation analysis, the stope structure parameters were optimized. The results show that with the increase of stope length and stage height, the maximum tensile stress, maximum compressive stress and maximum shear stress around the stope increase. Combined with the existing development system of the mine, it is recommended that the stage height of an underground mine in Panxi is 60 meters and the length of the stope is 60 meters.
Analysis and research on cover thickness of non-pillar sublevel caving method in an iron mine in Panxi
Zhang Liangbing, Leng Jianyong, Li Cui, Chen Tao, Luo Shaochen
2023, 44(5): 48-52. doi: 10.7513/j.issn.1004-7638.2023.05.008
Abstract(522) HTML (271) PDF(18)
Abstract:
Aiming at solving the problem of determining the reasonable thickness of the overburden layer in the conversion of open-pit to underground caving mining of the hanging wall ore body in an iron mine in Panxi, the Similarity Model test and Numerical Simulation were used to analyze and study the movement speed and trajectory of the overburden particles with different thicknesses during the ore drawing process and the settlement change of the whole overburden layer. The results show that the numerical simulation results are highly matched with the indoor similar material test. When the overburden layer is 35 m and 40 m, the surface fluctuation angle is small and the structure is complete, which can meet the needs of mine safety production. Combined with the safety regulations, it is safer and more reasonable to take 40 m as the thickness of the covering layer.
Application of Vanadium and Titanium
Thermodynamic analysis of the effect of oxygenation on the low-temperature chlorination selectivity of carbonized slag
Yue Dong, Wen Liangying, Chen Rong, Wang Jianxin, Yang Yangjun
2023, 44(5): 53-60. doi: 10.7513/j.issn.1004-7638.2023.05.009
Abstract(555) HTML (238) PDF(35)
Abstract:
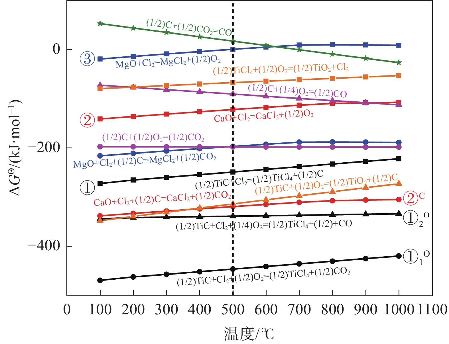
Based on the Factsage thermodynamic software and database, the effects of introducing oxygen on the TiC and calcium magnesium oxide chlorination in titanium carbide slag are analyzed, and the regulatory scheme of adding oxygen to selectively enhance the chlorination reaction of TiC in the slag while reducing or inhibiting the chlorination reaction of calcium and magnesium oxides are studied. The results show that the oxygenated low-temperature chlorination can promote the chlorination process and increase the chlorination rate of TiC in the slag. When the low-temperature chlorination reaction temperature is 500 ℃ and the molar ratio of Cl2/TiC is 1.80~3.50, MgO does not chlorinate, and the introduction of oxygen can inhibit the CaO chlorination reaction and reduce the CaO chlorination rate. When the molar ratio of chlorine-oxygen gas is 4.00:1.00, and the mass fraction of TiC with chlorination reaction in carbonization slag is reduced to 4.02%, the chlorinated gas can be switched to a mixture of chlorine gas and nitrogen gas to further chlorinate the residual TiC in the slag to less than 2.50%. Compared with direct chlorination without adding oxygen, the total chlorine consumption can be reduced by 25.69% and the total chlorination rate of CaO can be reduced by 37.74%.
Study on thermal deformation behavior and microstructure evolution of Ti-55511 alloy
Mu Pengwei, Lü Shufeng, Yang Peijie, Kang Xudong, Du Zhaoxin
2023, 44(5): 61-67. doi: 10.7513/j.issn.1004-7638.2023.05.010
Abstract(435) HTML (292) PDF(22)
Abstract:
The thermal deformation behavior of Ti-55511 alloy was studied by isothermal compression simulation method at the temperature of 700~950 ℃ and strain rate of 0.001~10 s−1. The results show that the softening mechanism of the alloy is very sensitive to the change of hot working parameters. Under the matching of high strain rate and low deformation temperature, the softening behavior of the alloy caused by dynamic recovery/recrystallization plays a dominant role in the competition with deformation hardening, which is manifested as the reduction of flow stress. In addition, recrystallization softening and deformation hardening reach an equilibrium state under the matching of high deformation temperature and low strain rate. By contrast, the power dissipation factor (η)is higher under the condition of low strain rate, the microstructure distribution is more uniform, and the thermal processing ability is good.
Effect of post heat treatment on the microstructure and properties of as-annealed Ti75 alloy
Yin Yanchao, Li Longteng, Lü Yifan, Sun Zhijie, Yu Wei, Jiang Peng
2023, 44(5): 68-75. doi: 10.7513/j.issn.1004-7638.2023.05.011
Abstract(444) HTML (208) PDF(27)
Abstract:
In order to study the effect of post heat treatment on the properties of annealed Ti75 alloy, different post treatment conditions including annealing temperatures and cooling rates were selected to treat the annealed Ti75 alloy. The microstructure evolution was analyzed by OM and SEM, and the influence of microstructure on tensile properties and impact toughness of Ti75 alloy was studied. The results show that the volume fraction of equiaxed α phase has no obvious change when alloy is annealed at low temperature. When the annealing temperature is high enough, the equiaxed α phase begins to dissolve and its volume fraction decreases gradually with the increase of temperature. The evolution of strength and impact toughness of annealed Ti75 alloy after air cooling by different annealing temperature at 750 - 950 ℃ is basically the same as that of furnace cooling. The yield strength and tensile strength decrease firstly, then increase a little and then decrease again with the increase of temperature. The main reason for strength increasing is that a large number of fine α phases exists in the β transformation matrix structure which are difficult to deform. The impact toughness has no obvious change when alloy is annealed at low temperature region and then increases with the increase of temperature. The strength of annealed Ti75 alloy after annealing and air cooling is higher than that of furnace cooling. The impact toughness of annealed Ti75 alloy after annealing at low temperature region and air cooling is higher than that of furnace cooling, while at the high temperature region it shows the opposite changing tendency.
Numerical simulation of the effect of post-welding heat treatment on fatigue life of titanium alloy butt plate
Luo Jiayuan, Zhang Yuxiang, Lü Chenke
2023, 44(5): 76-83. doi: 10.7513/j.issn.1004-7638.2023.05.012
Abstract(541) HTML (250) PDF(18)
Abstract:
Based on the finite element software, a thermo-elastic-plastic finite element model of 30 mm thick TC4 titanium alloy butt plate considering the creep stress relaxation effect was established. The temperature field and stress field in the electron beam welding process of TC4 titanium alloy butt plate were simulated by this model, and the distribution of residual stress in the butt plate under three post-welding heat treatment processes was compared. The optimal post-welding heat treatment process is obtained. Fatigue analysis software fe-safe was used to analyze the influence of heat treatment on the fatigue properties of butt plate. The results show that the residual stress distribution obtained by numerical simulation is accurate. After 700 ℃×2 h post-welding heat treatment, the internal transverse and longitudinal residual stresses of the butt plate were completely eliminated, and the peak values are 28 MPa and 46.3 MPa, respectively. The creep effect plays an important role in the process of post-welding heat treatment to eliminate the residual stress, and the fatigue safety factor of welding seam and heat-affected zone of the butt plate can be increased from 0.192 to about 0.7.
Study on wear resistance of nitriding coatings of Ti-Al base multielement alloys
Zhang Qian, Ma Lan, Yang Shaoli, Zhu Kuisong
2023, 44(5): 84-92. doi: 10.7513/j.issn.1004-7638.2023.05.013
Abstract(412) HTML (226) PDF(13)
Abstract:
In this paper, the titanium-aluminum-based multi-component alloy was prepared from Panzhihua acid-soluble titanium slag, aluminum powder and calcium oxide. After directly nitriding treatment at different temperatures and different time, a nitrided layer was obtained. Scanning electron microscopy, X-ray diffractometer, microhardness tester, friction and wear testing machine, and three-dimensional topography instrument were used to detect and analyze the properties of the nitriding layer. The results show that the surface hardness and wear resistance of Ti-Al based multielement alloy can be improved by direct nitriding under different conditions. The nitriding temperature has a great effect on the hardness and wear resistance of the alloy. When the nitriding time is 2 h, the optimum nitriding temperature is 800 ℃, the average hardness (HV) of the nitriding layer is up to 698.8, the average friction coefficient is 0.120, the reciprocating friction wear rate is 19.44 mm3/(N·m), and the surface roughness is 0.731 μm. When the nitriding temperature is 900 ℃ and the optimum nitriding time is 3 h, the hardness (HV) of nitriding layer is 682.6, the average friction coefficient is 0.059, the reciprocating friction wear rate is 9.48 mm3/(N·m), and the surface roughness is 0.601 μm.
Study on surface coating modification of silicon anode material with titanium dioxide
Wang Shiwei, Zheng Hao, Meng Weiwei
2023, 44(5): 93-97. doi: 10.7513/j.issn.1004-7638.2023.05.014
Abstract(753) HTML (229) PDF(34)
Abstract:
Titanium dioxide coated silicon (Si@TiO2) nanocomposites with core-shell structure was prepared by hydrolysis method using TiCl4 as titanium source and commercial nano-Si as silicon source. The materials were characterized and tested by XRD, SEM, TEM and electrochemical platform. The results show that Si@TiO2 nanocomposites exhibit good electrochemical performance because the solid TiO2 shell greatly alleviates the volume expansion of silicon during the charging and discharging process (showing a discharge specific capacity is of 614.3 mAh/g at a high current density of 1600 mAh/g and a specific discharge capacity of 877 mAh/g with a capacity retention rate of 51.8% after 100 cycles at a current density of 500 mAh/g).
Resources Environment and Energy Saving
A new low carbon high value route for hydrogen reduction of zinc containing dust
Teng Fei, Guo Peimin, Zhu Deqing, Long Hongming, Li Kai, Wang Lei, Kong Lingbing
2023, 44(5): 98-104. doi: 10.7513/j.issn.1004-7638.2023.05.015
Abstract(452) HTML (208) PDF(21)
Abstract:
In this paper, the theory and technology of comprehensive utilization of zinc containing dust in steel plants at home and abroad are analyzed. The pyrometallurgical process is based on high-temperature carbon metallurgy with coal carrier. High energy consumption, enlarged carbon emission and serious pollution are its common problems that are difficult to avoid. At the same time, it also produces new problems such as high energy consumption and heavy environmental load caused by the recovery and utilization of secondary zinc oxide. According to the research experience of the research team and combined with the new requirements for low carbon at home and abroad, this paper puts forward a new technical idea of high-value utilization of low-carbon emission by hydrogen reduction: Iron and valuable metals such as zinc, lead and bismuth in zinc containing dust are reduced by hydrogen reduction, and the reduced zinc, lead and bismuth are taken away by hydrogen carrier in the form of gas to realize the separation of metal iron and non-ferrous metals. Non-ferrous metals such as zinc and lead are separated from hydrogen containing flue gas by step condensation. The preparation of pellets from zinc containing dust, hydrogen reduction theory and testing, theoretical analysis of zinc containing steam separation and metal ferromagnetic separation have been carried out, which provides a feasible and solid foundation for the proposal of this technical idea. The new technology is promising to realize low-carbon smelting of zinc containing dust in steel plants, and can also obtain metal zinc and other metal products with higher added value.
Experimental study on quality improvement and impurity reduction of a vanadium-titanium iron concentrate in Panxi
Li Shuo, Chen Fulin, Cai Xianyan, Huang Liyu, Wang Zhijie, Wu Ning, Huang Yan
2023, 44(5): 105-110. doi: 10.7513/j.issn.1004-7638.2023.05.016
Abstract(501) HTML (221) PDF(18)
Abstract:
The TFe grade of a vanadium-titanium-iron concentrate in Panxi is 55.88%. The chemical composition of the main impurity elements in the sample include TiO2, SiO2, Al2O3, MgO and CaO, the proportion of impurities such as granular ilmenite and gangue minerals accountes for 14.26%. Ilmenite is mainly embedded in the titanium magnetite base in the form of guest crystals, and there are significant differences in impurity components and distribution characteristics between coarse and fine grained ferrotitanium vanadium concentrates. Three comparative experiments were conducted on the vanadium titanium iron concentrate, including "preliminary classification - coarse particle regrinding magnetic separation", "preliminary classification - coarse particle regrinding magnetic separation - fine particle magnetic separation", and "deep magnetic separation - classification - coarse particle regrinding magnetic separation". Meanwhile, magnetic separation equipment comparative tests were cared out by using electromagnetic wet drum magnetic separator, high-frequency harmonic magnetic separator and magnetic separation column. In addition, a comparative analysis was conducted on the main chemical and mineral components of the iron concentrate before and after upgrading. Research results show that using an electromagnetic wet drum magnetic separator as the sorting equipment, the process of "preliminary grading (0.074mm) - coarse particle regrinding (−0.074 mm accounting for 96.50%) magnetic separation - direct magnetic separation with fine particle" has the best quality improvement effect. After the quality improvement, the TFe grade of the vanadium titanium iron concentrate increases by 3.36 percentage points, the proportion of impurities decreases by 6.92 percentage points, and the TFe/TiO2 increases by 3.44 percentage points.
Experimental study on phosphorus flotation of an iron tailings in northern China
Rong Yiyang, Ye Guohua, Kang Xuanxiong, Zhu Siqin, Song Changxu, Xiang Xinyue, Zhang Yun
2023, 44(5): 111-115. doi: 10.7513/j.issn.1004-7638.2023.05.017
Abstract(480) HTML (240) PDF(13)
Abstract:
An iron tailings in the northern China contains 2.93% P2O5, most of which is crystalline apatite and belongs to low-grade phosphorus resources. In order to realize the efficient recovery of phosphorus in the iron tailings, the experimental study on phosphorus flotation was carried out according to its characteristics, and the influence of main factors was emphatically analyzed. Finally, the optimal conditions were obtained using oxidized paraffin soap as the collector with the amount of 1200 g/t, sodium carbonate as the pH adjusting agent with a dosage of 2000 g/t and water glass as the inhibitor with the amount of 200 g/t. The ideal technical index was obtained with the P2O5 content of 33.19% in the phosphate concentrate and the recovery rate of 82.98% under the large open and small closed circuit process with "one coarse-three fine".
Study on concentration process of titanium white waste acid by sulfuric acid method
Wang Haibo, Sun Ke
2023, 44(5): 116-121. doi: 10.7513/j.issn.1004-7638.2023.05.018
Abstract(739) HTML (258) PDF(28)
Abstract:
In order to improve the efficiency of waste acid concentration, the single factor test and orthogonal test of waste acid concentration process were carried out in the laboratory by using vacuum rotary evaporator to simulate the vacuum evaporation concentration of waste acid. Then, based on the results of laboratory research, the industrial test of waste acid concentration process optimization was carried out in the field. The results show that the density of waste acid is larger than that of pure sulfuric acid under the same sulfuric acid concentration, and the density difference between them decreases with the increase of sulfuric acid concentration. With the increase of concentration time, temperature and vacuum degree of waste acid, the concentration of waste acid increases gradually. The key influencing factors affecting the concentration of waste acid are concentration time, concentration vacuum degree, concentration time ×concentration vacuum degree and concentration temperature. The order of importance is concentration time > concentration vacuum degree > concentration vacuum degree × concentration time > concentration temperature. The industrial test results show that when the concentration time, concentration temperature and concentration vacuum degree of waste acid increase from 2.06 h, 108 °C and 30 kPa to 2.68 h, 112 °C and 45 kPa, respectively, the average concentration of primary concentrated acid increases from 29.5% to 38.5%. The research results provide important data and theoretical support for improving the concentration efficiency of waste acid in titanium dioxide production enterprises by sulfuric acid method.
Ferrous Metallurgy and Materials
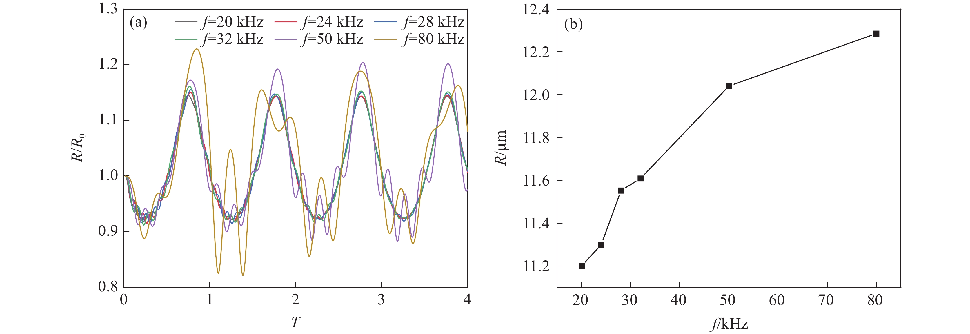
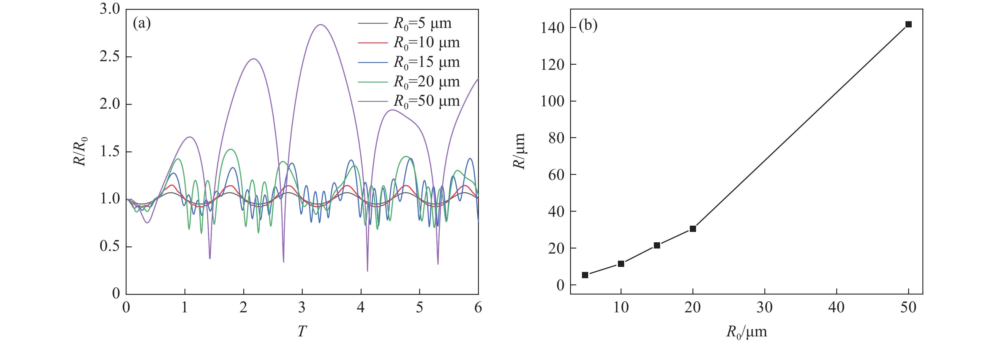
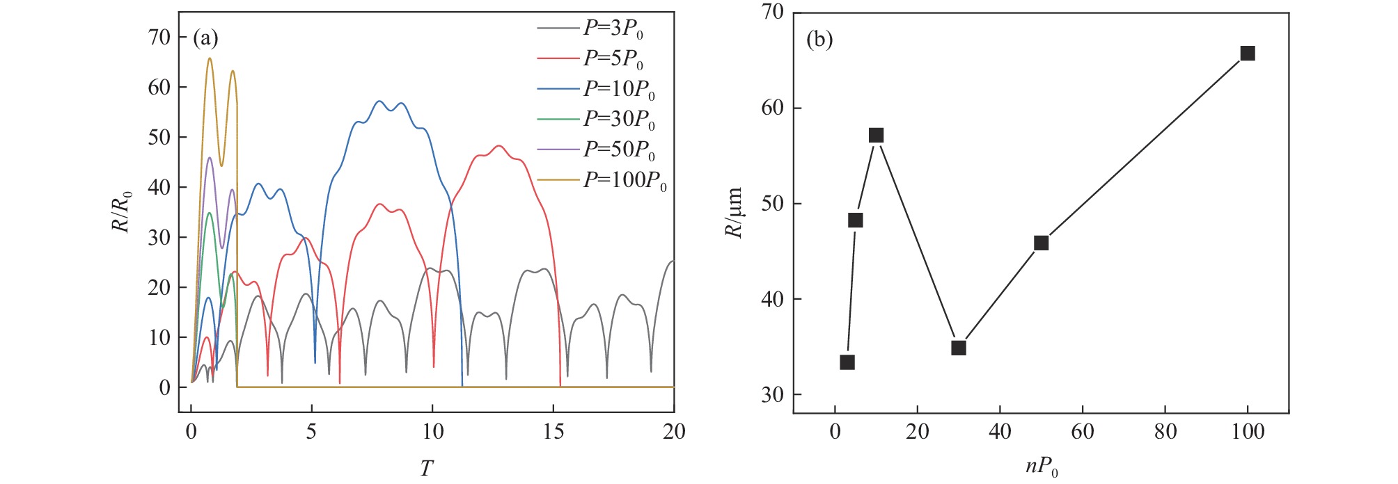
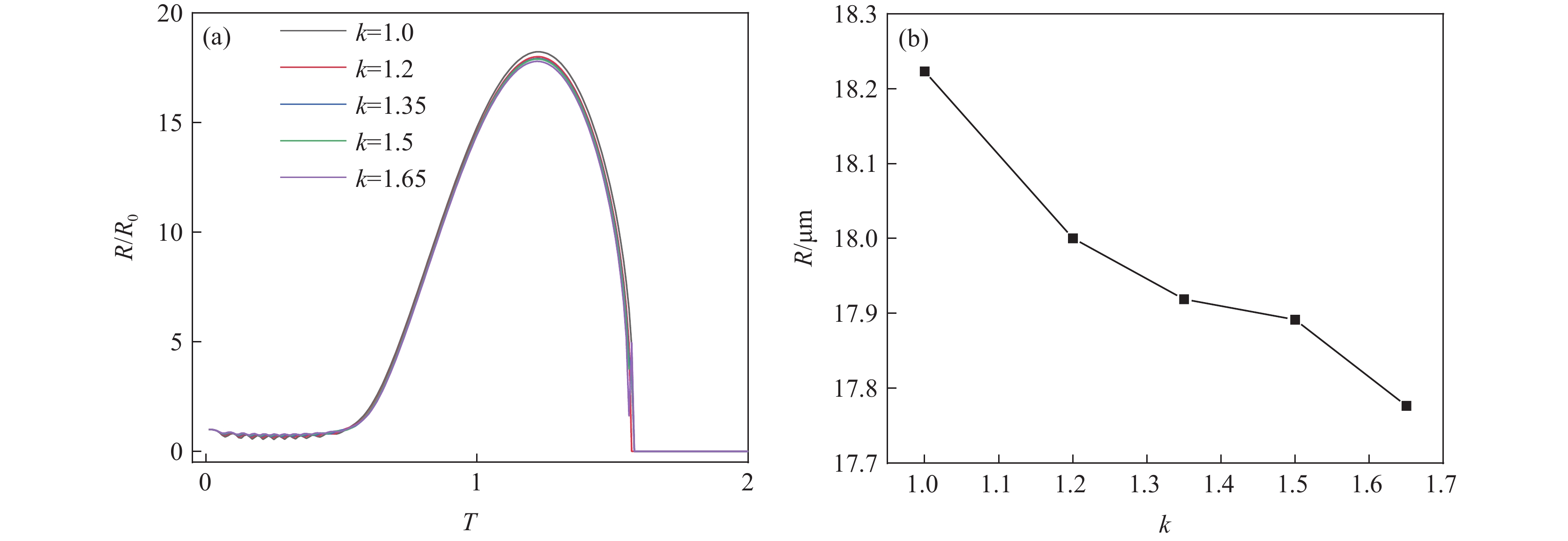
Evolution characteristics of cavitation bubble size in liquid steel under power ultrasound
Wang Shun, Chen Min, Guo Qing, Cheng Weihao
2023, 44(5): 122-129. doi: 10.7513/j.issn.1004-7638.2023.05.019
Abstract(472) HTML (211) PDF(15)
Abstract:
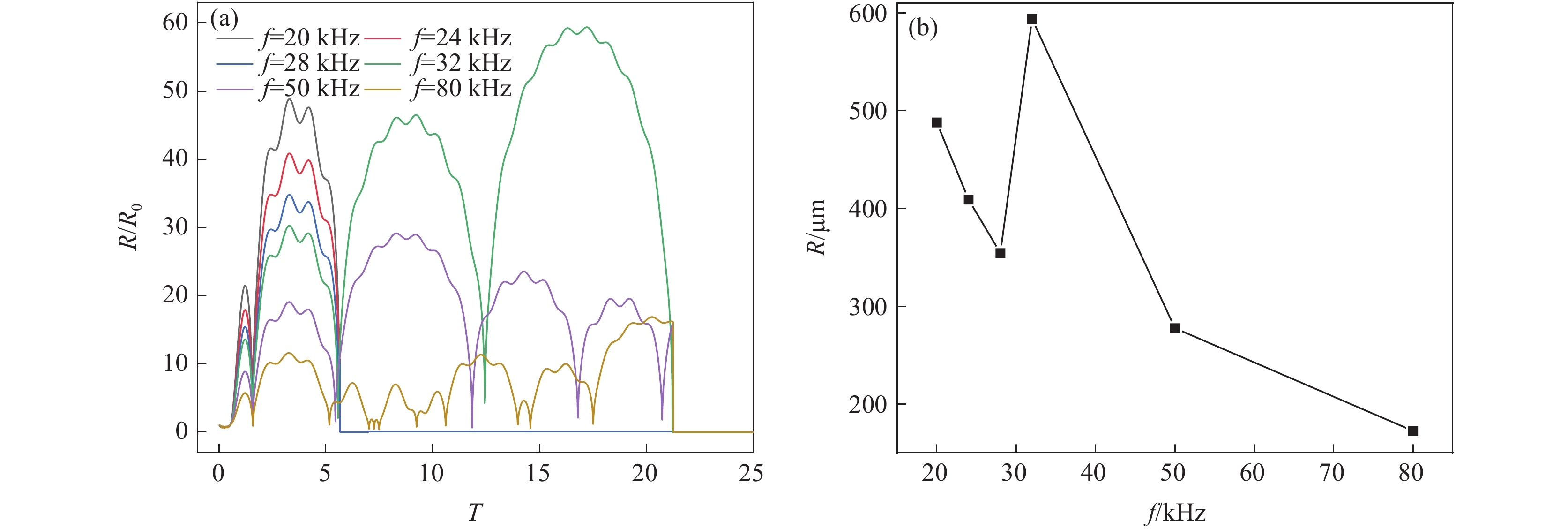
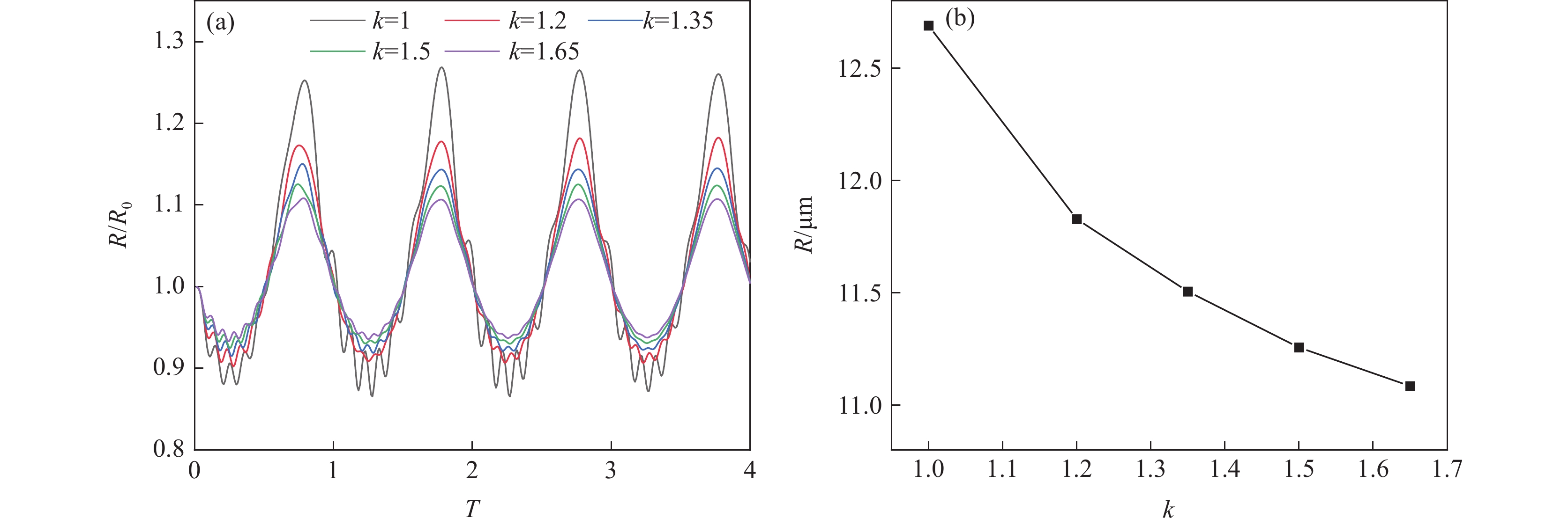
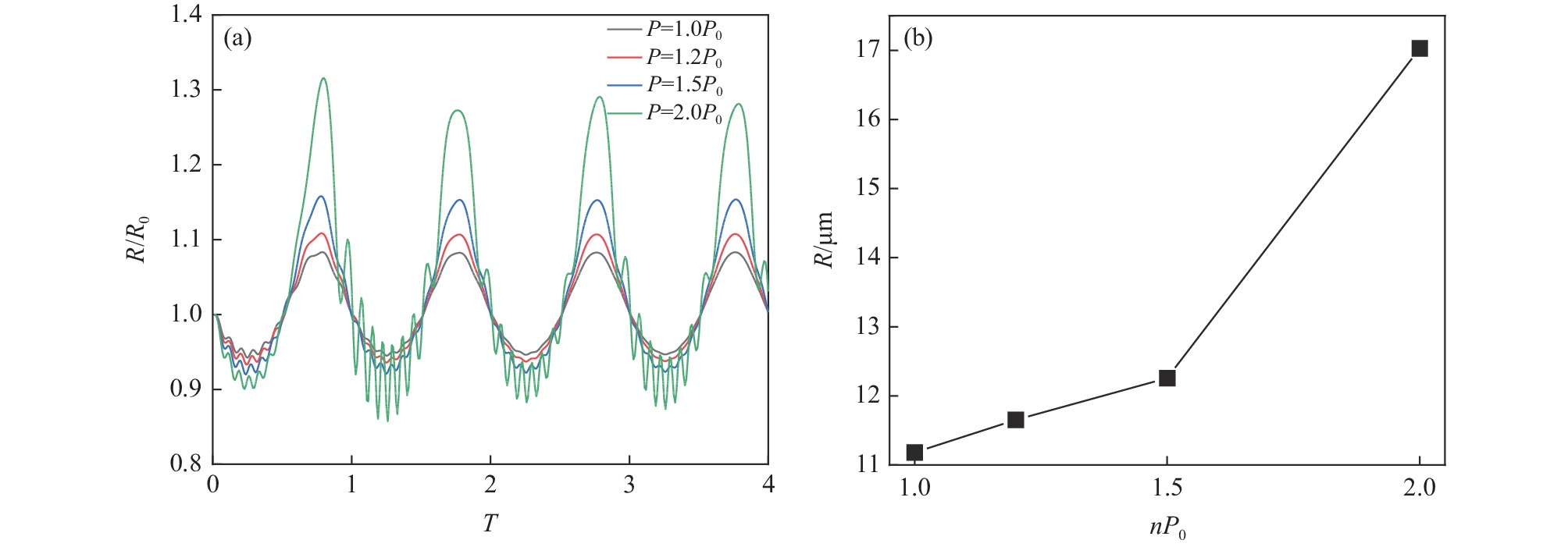
The effects of sound pressure amplitude, frequency, initial equilibrium radius of the cavitation bubble and gas multiplicity index on the cavitation bubble size in the liquid steel were investigated by solving the function of the power ultrasonic action period T and the cavitation bubble radius R using the Fourth-Order Runge Kutta method by Matlab software. The results showed that steady-state cavitation occurred in the range of 1~2P0, and the peak radius of cavitation bubble increased with the increase in the frequency and initial equilibrium radius. The initial equilibrium radius increased from 5 μm to 50 μm, and the cavitation bubble peak radius was increased by 0.35 μm and 90.75 μm, respectively. The peak radius of the cavitation bubble was increased by only 0.84 μm when the frequency increased from 20 kHz to 80 kHz. The transient cavitation occurred in the range of 3~100P0. The peak radius of the cavitation bubble increased from 423.01 μm to 896.12 μm when the initial equilibrium radius was increased from 5 μm to 20 μm, while the peak radius of the cavitation bubble decreased to 544.16 μm when the initial equilibrium radius was increased to 50 μm. The cavitation bubble underwent two expansion and contraction processes before collapsing with a peak cavitation bubble radius of 488.05 μm at a frequency of 20 kHz. The gas multiplicity index had a little influence on the cavitation effect under the steady-state and transient cavitation conditions. The cavitation bubble peak radius was only decreased by 1.6 μm and 0.35 μm, respectively, when the gas multiplicity index increased from 1 to 1.65.
Effect of vanadium content on microstructure and strength plasticity of X80 pipeline steel
Li Longfei, Lin Tengchang, Meng Huadong, Zhang Yang
2023, 44(5): 130-138. doi: 10.7513/j.issn.1004-7638.2023.05.020
Abstract(488) HTML (222) PDF(27)
Abstract:
In this work, the precipitates and microstructure characteristics in four X80 pipeline steels with different vanadium contents (0.036%, 0.075%, 0.110% and 0.150%) and their effects on the strength and plasticity of the steels were investigated by means of high-resolution transmission electron microscope, scanning electron microscope and electron backscatter diffraction. The results show that with increase of the vanadium content, the number and volume fraction of nano-sized precipitates in the steel increase. The size of precipitates in four experimental steels is mainly in the range of 0~20 nm. The number of precipitates with size less than 10 nm in the steel increases with increasing the vanadium content. The nano-sized second phase particles precipitated in or near the grain boundary are mostly vanadium containing carbides. The microstructure of four experimental steels with different vanadium contents is composed of massive ferrite and granular bainite. The proportions of large angle grain boundaries in steels are 23.27%, 20.69%, 23.13% and 16.24%, respectively, and the 4# steel with the highest vanadium content has the least large angle grain boundaries. With increase of the vanadium content from 0.036% to 0.075%, the tensile strength and yield strength of the experimental steel are significantly improved. However, further increase of the vanadium content has little effect on the strength of the experimental steel, and even the yield strength has a certain decrease. The increasing strength of the experimental steel is mainly due to the combination of precipitation strengthening and fine grain strengthening of nano-sized precipitates, and the plasticity of the experimental steel is almost not affected by change of the vanadium content.
Study on solid solution behavior of second phase particles and austenite grain growth law of Nb-Ti high strength steel
Yang Jianwei, Yang Qin, Wu Jing, Zheng Yaxu, Wang Yunhui
2023, 44(5): 139-145. doi: 10.7513/j.issn.1004-7638.2023.05.021
Abstract(580) HTML (298) PDF(28)
Abstract:
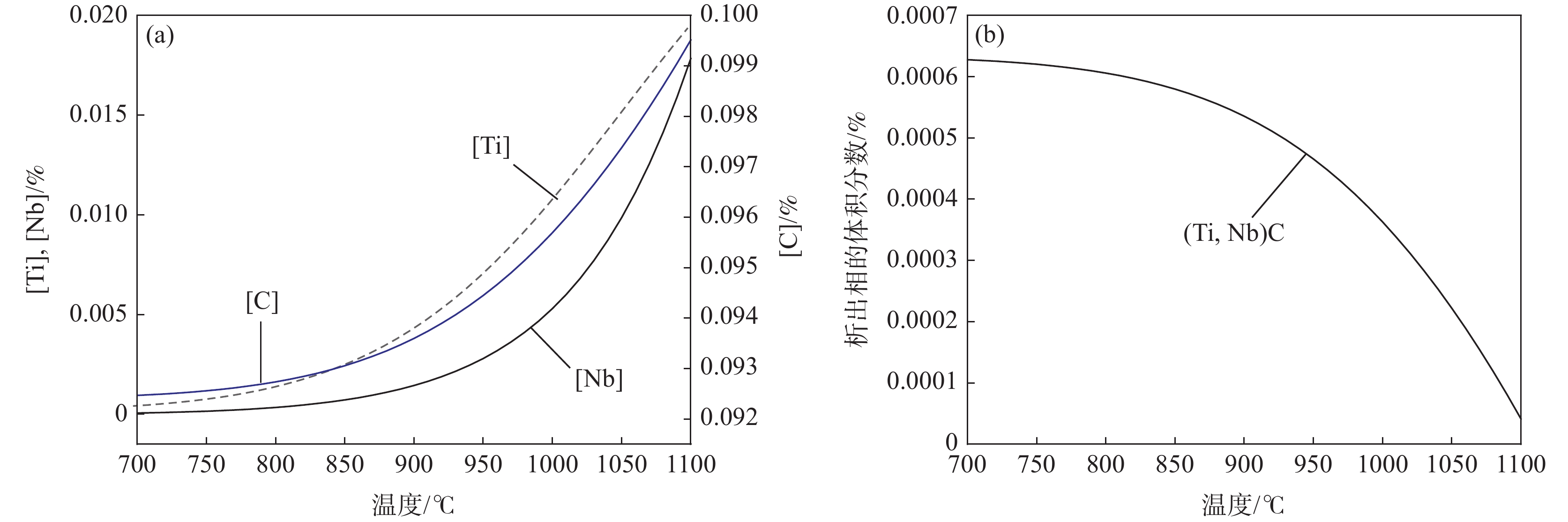
The solid solution behavior of nanocarbide and austenite grain growth in Nb-Ti microalloyed steel during high temperature heating were studied by means of transmission electron microscope, optical microscope and thermodynamic calculation. The results show that the austenite grain size and size of precipitated phase in Nb-Ti microalloyed steel are affected by heating temperature and holding time. The austenite grain size increases with the improvement of temperature and the extension of holding time. Compared with holding time, heating temperature has a greater influence on grain coarsening rate. The temperature is heated from 950 ℃ to 1300 ℃, and the austenite grain size grows obviously from 28.4 μm to 94.6 μm. When the heating temperature reaches 1200 ℃ and the heat preservation time is gradually extended from 10 min to 120 min, the austenite grains are slowly increasesing from 79.4 μm to 88.5 μm. The small size precipitates in Nb-Ti microalloyed steel gradually dissolves into austenite with the increase of heating temperature. The total amount of carbides in the steel decreases, and the undissolved precipitates are (Ti, Nb) C with a larger size. The atomic ratio of Ti/Nb in the undissolved carbide in steel increases with the increase of heating temperature. As far as thermal stability is concerned, Ti content in carbide is higher than Nb, and its redissolution temperature is higher. The solid solution content of Nb, Ti and C gradually increase with the increase of temperature, and the volume fraction of precipitates in Nb-Ti microalloyed steel gradually decreases. The fine second phase particles in the steel dissolve with the increase of temperature, which greatly weakens their pinning strength to the austenite grain boundary. Therefore, the austenite grain boundary begins to migrate, and the austenite grains begin to coarsen rapidly.
Bainite design in quenching and partitioning steel based on numerical calculation
Wu Meng, Hu Zhiping, Liu Rendong, Lin Chunqing, Gu Xingli, Xu Xin
2023, 44(5): 146-150. doi: 10.7513/j.issn.1004-7638.2023.05.022
Abstract(371) HTML (172) PDF(13)
Abstract:
In this study, an optimum design of bainite phase in the commercial quenching and partitioning (Q&P) steel was achieved through the combined results from thermodynamics, kinetics analysis and the pilot experiments. Considering the complex microstructure evolution during partitioning stage of the Q&P treatment, especially the precipitation characteristics of carbides in martensite and their influence on the expansion result, the Boheman model was established and further revised based on the result of expansion experiment. A kinetic model of isothermal bainitic transformation was also set up to simulate this transformation accurately. According to the predicated result from the revised Bohemen model, the effect of the interaction between bainite and martensite on volume fraction and stability of retained austenite was analyzed. The results show that at a low quenching temperature, retained austenite between martensitic laths has a higher volume fraction and plays a dominant role during the deformation. On the contrary, under high temperature quenching condition the volume fraction of retained austenite in bainite is high.
Effect of Cr content on the austenitization of 500 MPa class high-strength seismic rebars
Wang Wentao, Liu Xing, Cao Jianchun, Chen Wei, Yin Shubiao
2023, 44(5): 151-157. doi: 10.7513/j.issn.1004-7638.2023.05.023
Abstract(358) HTML (173) PDF(16)
Abstract:
The microstructure was observed by means of optical microscope, scanning electron microscope, etc. The change of austenite grains of the steels with different Cr contents under different reheating temperature and holding time of the casting billet was studied. The effect of Cr content on austenitization of 500 MPa high-strength seismic-resistant rebar was discussed. The results show that the effect of Cr content on austenite grain is different in different reheating temperature range. In the temperature range of 950~1150 ℃, the growth rate of austenite grain in Cr-containing steel is slow when the reheating temperature is lower than 1050 ℃, and the size of austenite grain decreases with the increase of Cr content. When the temperature is higher than 1050 ℃, the growth rate of austenite grain increases, and the size of austenite grain increases with the increase of Cr content. At the same reheating temperature, austenite grains grow up with the extension of holding time. When the content of Cr is high, with the increase of the reheating temperature or the extension of the holding time, the segregation of Cr at the grain boundary is weakened, leading to the growth and coarsening of austenite grains more easily. Fine and uniform austenite structure can be obtained under the condition of 1050 ℃ and 30 min reheating temperature.
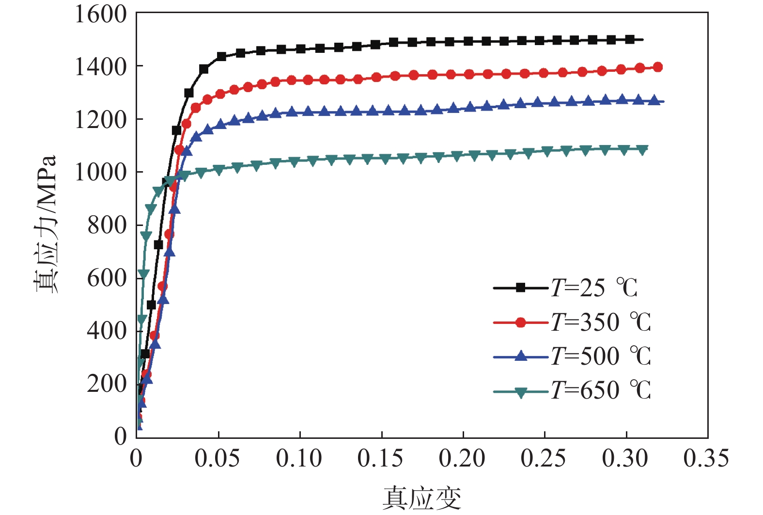
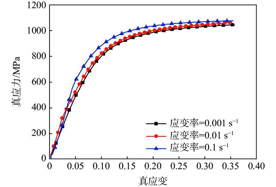
Rheological behaviours and constitutive models of 9Cr18Mo stainless steel at high temperature and high strain rate
Jia Haishen, Shen Jiancheng, Luo Wencui, Yi Xiangbin
2023, 44(5): 158-166. doi: 10.7513/j.issn.1004-7638.2023.05.024
Abstract(561) HTML (206) PDF(15)
Abstract:
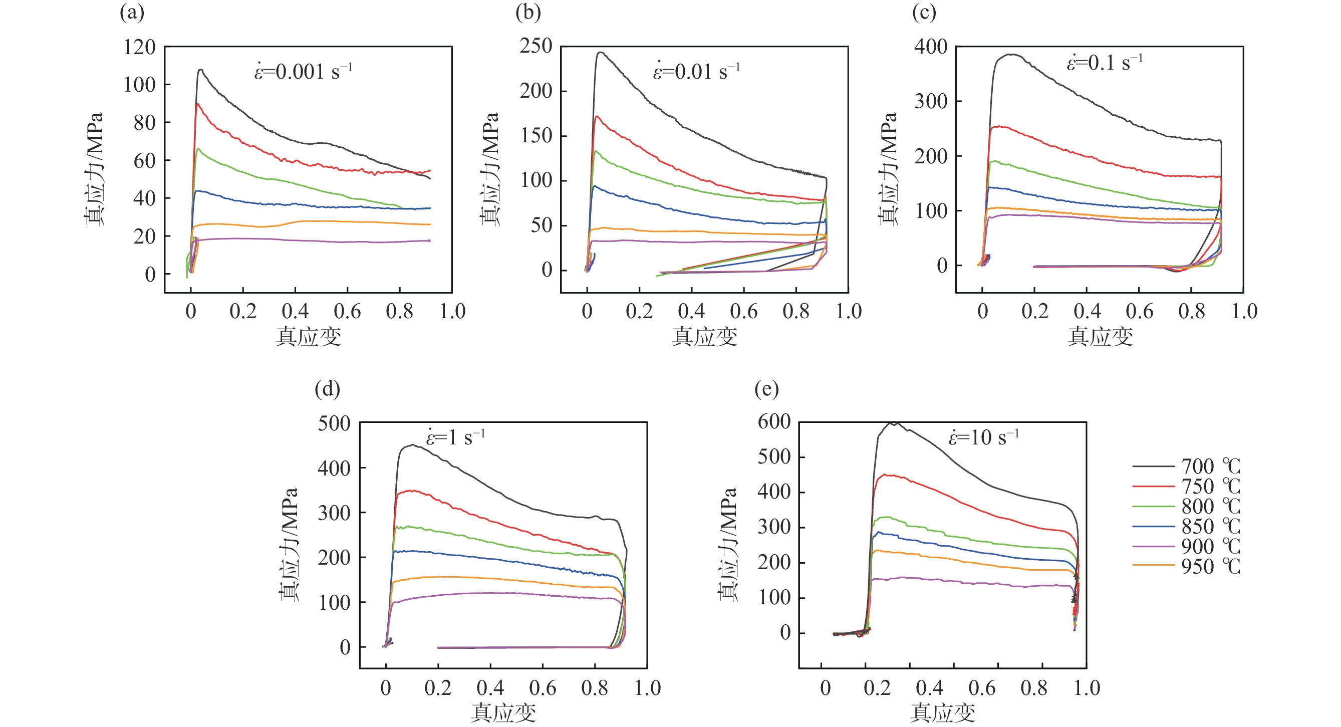
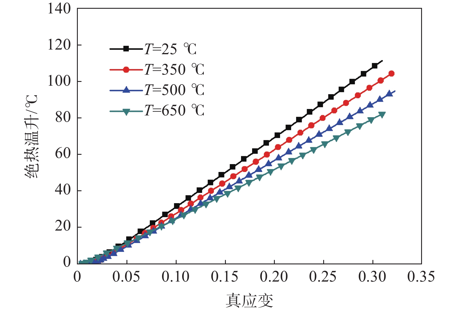
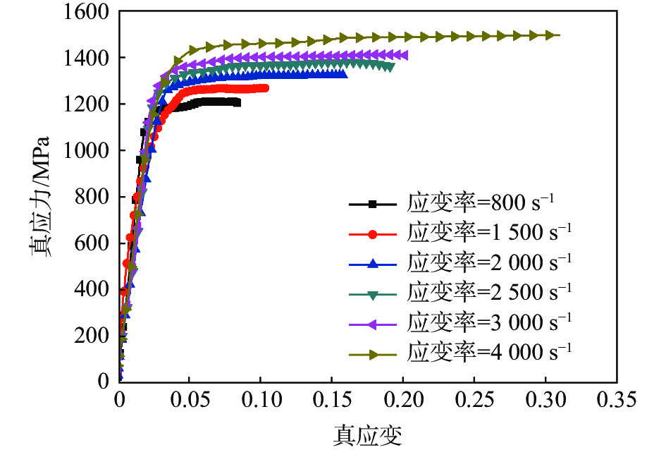
The compression tests of 9Cr18Mo stainless steel were conducted by using the UTM5305 universal testing machine and the split Hopkinson pressure bar (SHPB) test device. In this way, the stress–strain curves pertaining to quasi-static (strain rate: 0.001-0.1 s−1) and dynamic (temperature: 25-650 ℃ and strain rate: 800-4000 s−1) states were attained. According to the stress-strain curves, the rheological behaviours of 9Cr18Mo stainless steel at high temperature and high strain rate were discussed. Based on the testing data, the parameters of two constitutive models (Johnson-Cook (J-C) and Power-Law (P-L)) of 9Cr18Mo stainless steel were identified, and the correlation coefficients (R) and average absolute relative errors (AAREs) of the two constitutive models were compared. The results showed that 9Cr18Mo stainless steel presents strain rate sensitivity and significant thermal softening. That is the flow stress of 9Cr18Mo stainless steel increases with strain rate while significantly decreases with increasing temperature. The R values are 0.9697 and 0.9896, while the AAREs of two constitutive models are 2.77% and 1.85%, respectively. Hence, the P-L constitutive model shows a higher prediction accuracy which can describe the rheological behaviours of 9Cr18Mo stainless steel at high temperature and high strain rate more precisely compared with the J-C constitutive model.
Study on the hot ductility of titanium microalloyed high-strength beam steels
Song Yu, Gao Zhijun, Wang Shuize, Yin Jingjing
2023, 44(5): 167-175. doi: 10.7513/j.issn.1004-7638.2023.05.025
Abstract(569) HTML (260) PDF(22)
Abstract:
High-temperature tensile tests have been conducted to examine the thermoplasticity of titanium microalloyed high-strength beam steels in the temperature range of 600 ℃ to 1300 ℃. Thermo-calc, the thermodynamic calculation software, was used to calculate the main precipitation intervals in various experimental steels. Optical microscopy (OM), field-emission type scanning electron microscope (SEM) and transmission electron microscope (TEM) were used to observe and analyze the microstructural characteristics and the thermal tensile fracture morphology. The findings demonstrate that thermoplasticity declines dramatically with increasing Ti content, and the hot brittle range is gradually lowered and widened in four experimental steels. The 950L steel with the highest Ti content shows the lowest thermoplasticity. The main reason is that the formed proeutectoid ferrite weakens the grain boundary strength and provides conditions for the initiation and propagation of cracks. In addition, microvoids are easily formed between the micron TiN particles and precipitates. Then the microvoids aggregate to form cracks under stress, thus reducing the thermoplasticity of the experimental steel. Therefore, it is suggested that increasing the cooling rate on the premise that the straightening temperature is assured and preventing the precipitation of proeutectoid ferrite and the second phase can effectively improve the thermoplasticity in the third brittle zone.
Effect of on-line solution treatment on the microstructure and mechanical properties of 2507 duplex stainless steels
Xu Haijian, Han Chufei, Guo Cheng, Qiao Xin, Liu Liu, Sha Xiaochun
2023, 44(5): 176-179. doi: 10.7513/j.issn.1004-7638.2023.05.026
Abstract(601) HTML (196) PDF(16)
Abstract:
Effects of on-line solution treatment and holding time on the microstructure and mechanical properties of 2507 duplex stainless steels were studied by hot-rolling experiments, Zeiss optical microscope (OM) and transmission electron microscopy (TEM). The results show that the volume fraction of ferrite, yield strength and tensile strength of the on-line solution treated steels are slightly higher than those of the off-line aging specimens, while the elongation and low temperature impact toughness are obviously decreased. With increasing the holding time after rolling, the amount of zigzag austenite at phase boundaries decreases and changes to island austenite eventually. TEM analysis shows that a large number of dislocations are distributed in the ferrite phases by on-line solution treatment. With increasing the holding time, the Cr2N particles precipitate at the phase boundaries between ferrite and austenite, which lead to the reduction of the ductility and corrosion resistance. Considering the amount of brittle phase and the evolution of austenite morphology, the steel plates should be quickly immersed in the cooling system after rolling.
Analysis on the formation of V-shape segregation in rail steel bloom
Li Hongguang, Xu Mingli, Feng Yuanchao, Zeng Wu
2023, 44(5): 180-187. doi: 10.7513/j.issn.1004-7638.2023.05.027
Abstract(636) HTML (196) PDF(23)
Abstract:
In order to improve V-shape segregation in rail steel bloom, the feature of macro-profile and microstructure were tested and theoretical shrinkage value and actual volume of V-shape was compared. The influencing factors including dynamic soft reduction processes, grade of steel and technology of micro-structure control were experimentally investigated. Result shows the V-shape segregation of rail steel bloom tends to form from two steps. The first step is ‘initial V-shape segregation formed’ where the crystal nucleus caught by solidification front of bloom fully developes into coarse connected equiaxed crystals, this results into the closed micro-regions, the molten steel in micro-regions tend to be solute rich during the solidification process. And then the second step is V-shape changed, which is formed from the microstructure subside and slip by the effect of the static pressure and the negative pressure suction due to shrinkage. Based the results the key processes has been established to improve both V-shape segregation and central segregation of rail steel bloom.
Processing parameters, microstructures and mechanical property of Al/steel dissimilar metals butt joint made by CMT welding-brazing
Yu Tengyi, Li Wei, Yu Gaoyang, Li Yan, Chen Shuhai, Liu Ke
2023, 44(5): 188-194. doi: 10.7513/j.issn.1004-7638.2023.05.028
Abstract(668) HTML (244) PDF(17)
Abstract:
A 2 mm thick Q235 steel plate and a 5052 aluminum alloy plate had been used for CMT arc butt welding-brazing. The effects of welding speed and wire feeding speed on joint weld formation, interface microstructure and mechanical properties were studied. The results show that when the wire feeding speed is 5.6 m/min and the welding speed is 0.48 m/min, the back weld formation, the wetting and spreading of filler in the base metal can be achieve at satisfied level. A interfacial reaction layer with average thickness less than 10 μm forms. The intermetallic compound layer is mainly composed of needle like Fe2Al5 growing towards the steel side and FeAl3 near the aluminum side. When the filler is well wetted and spread, and had back forming, the joint strength can reach 158.3 MPa and the joint fractured at the aluminum base metal. For the rest of the samples, they were broken at the brazing interface, and the joint strength increased with the decrease of the thickness of intermetallic compound at the interface. After removing the joint reinforcement, the joint strength decreased obviously and the highest tensile strength of welding joints is only 67.9 MPa.
Study on the inheritance relationship between billet and rail surface defects
Tao Gongming, Zhu Jun, Deng Feng, Sun Jin
2023, 44(5): 195-200. doi: 10.7513/j.issn.1004-7638.2023.05.029
Abstract(508) HTML (233) PDF(12)
Abstract:
In the test, artificial defects were made in the rolling slip area and rolling stable area on the surface of the casting slab without over standard defects. Normal heating, rolling and straightening processes were adopted, and samples were taken and polished at the corresponding artificial defects of the rail according to the rolling elongation coefficient. Nondestructive testing equipment such as eddy current flaw detector was used to analyze the defect morphology and to evaluate the relationship between the surface defects of the casting slab and the rail. At the same time, the evolution law of slab defects is deduced, and the inheritance relationship between slab and rail surface defects is fitted by analyzing the morphology and distribution of rail defects. The defects on rail are successfully traced back to the slab by using this inheritance relationship. The correspondence of defect tracing morphology is as high as 90%, and the defect tracing positioning error is ±2‰. It can help technicians quickly and accurately locate the defect positions on the slab, predict the defect morphology and initiation area on the slab, select suitable strategies in time to eliminate defects, and effectively improve the yield of rails.
Analysis of standard GB/T 3623-2022: titanium and titanium alloy wire
Xie Chen, Wei Jiaqi, Zhang Wei, Feng Yongqi, Feng Junning, Ma Zhongxian, Hu Zhijie, Tao Hailin
2023, 44(5): 201-204. doi: 10.7513/j.issn.1004-7638.2023.05.030
Abstract(1376) HTML (795) PDF(38)
Abstract:
This article mainly introduced the revision background, historical evolution, and standard analysis of the new standard GB/T 3623-2022. This article is in order to provide guidance for the reference, production and acceptance of the standard in the follow-up process, deepen the understanding of the new standard, so as to master and apply the new standard in a more comprehensive and systematic way.