2023 Vol. 44, No. 6

Separating and Extracting of Vanadium and Titanium
Global vanadium industry development report 2022
Wu You, Chen Donghui, Liu Wuhan, Zhang Bangxu, He Rui
2023, 44(6): 1-8. doi: 10.7513/j.issn.1004-7638.2023.06.001
Abstract(1818) HTML (2794) PDF(436)
Abstract:
The overall situation of vanadium industry in 2022 was elaborated and analyzed from the global vanadium resources and production capacity, the output, supply and demand, import and export, as well as the market prices. Based on the current operating situation of the vanadium industry at home and abroad, the outlook for the market is forecasted, and it is believed that the global vanadium industry will enter a new cycle of transformation and development, and China needs to scientifically, efficiently and orderly develop and utilize vanadium in key strategic metal mineral resources. Plan the green and low-carbon development path of vanadium industry in advance. In the next few years, China will still be the world’s largest vanadium supply and demand market, and the global vanadium market price will show a consolidation and regression trend within a certain range under the multi-factor regulation mechanism. Vanadium redox flow battery will become one of the important carriers to support the safe and stable application of new energy.
Thoughts and countermeasures on the development of Panzhihua vanadium and titanium industry
Luo Jinhua
2023, 44(6): 9-16. doi: 10.7513/j.issn.1004-7638.2023.06.002
Abstract(579) HTML (662) PDF(52)
Abstract:
The vanadium-titanium resource value chain, vanadium-titanium technology industry chain and industrial agglomeration development status of Panzhihua were comprehensively reviewed. The existing problems and development prospects of vanadium-titanium industry were analyzed. Combined with the construction of vanadium-titanium industry cluster, relevant suggestions were put forward. It is considered that the traditional low-end industries such as vanadium slag, titanium slag and titanium dioxide in Panzhihua have excess capacity, while emerging industries such as vanadium alloys, high-end titanium and titanium alloys have insufficient production capacity and small scale. The industrial development mode should shift from incremental capacity expansion to adjustment of stock, efficiency and quality. Strengthen the innovation of vanadium and titanium technology, develop high-end vanadium and titanium functional materials, and increase the added value of vanadium and titanium products. The cluster development of vanadium and titanium industry must pay attention to the top-level design, strengthen the chain, extend the chain, supplement the chain, improve the supporting facilities, and completely transform the resource advantages into industrial advantages.
Study on speciation analysis of vanadate
Pu Yuwen, Liu Xi, Tang Kang, Xu Zongyuan, Zheng Guocan, Chen Yan, Liu Zuohua, Du Jun, Peng Yi, Tao Changyuan
2023, 44(6): 17-23. doi: 10.7513/j.issn.1004-7638.2023.06.003
Abstract(689) HTML (194) PDF(33)
Abstract:
In the typical calcium calcination–acid leaching process of converter vanadium slag, the leaching solution contains many impurities, and the change of vanadium phase in this process will directly affect the overall recovery rate of vanadium. It is a great challenge to determine the migration and transformation of vanadium phase in the leaching process under different conditions. Therefore, the effects of different conditions on vanadium speciation and transformation rules were studied. The results show that the software Visual MINTEQ 3.1 simulates and calculates the structural change of polyvanadate, which provides a theoretical basis for the precipitation of vanadium at different pH. The matrix assisted laser desorption time-of-flight mass spectrometer (MALDI-TOF-MS) was used to detect the existing form of vanadium. The test results showed that when the pH value was low, V10O286−was the main substance. With the increase of the pH value, the content of VO3 and V4O124− increased and became one of the main substances. The concentration causes changes of the relative content, i.e., the lower the concentration, the less the VO3 content and the more the V10O286− content, while different anions and cations have no significant effect on vanadium morphology. This result enriches the study of vanadium morphology, provides a theoretical basis for the directional conversion of vanadium elements in vanadium slag, and also provides a basis for the subsequent vanadium precipitation process to improve the vanadium extraction efficiency of converter vanadium slag.
Controllable hydrothermal synthesis and zinc storage properties of ammonium vanadium oxides
Yang Zhi, Tang Yunqi, Lu Chao, Gong Ming
2023, 44(6): 24-31. doi: 10.7513/j.issn.1004-7638.2023.06.004
Abstract(524) HTML (169) PDF(19)
Abstract:
Ammonium vanadium oxides are promising cathode materials for aqueous zinc-ion batteries due to their lightweight and high capacity, however, the controlled synthesis still remains a challenge. A series of ammonium vanadium oxides with different phases and morphologies were successfully synthesized by one-step hydrothermal method with the assistance of ethylene glycol (EG) regulation. The results showed that the product transformed from ribbon-shaped (NH4)2V6O16 to rod-like NH4V4O10 with the increase of EG addition from 0 mL to 1.6 mL, and then evolved into plate-like (NH4)2V4O9 with the addition of 18 mL EG. By Comparison, rod-like NH4V4O10 exhibited the best electrochemical performance, demonstrating a high specific capacity of 415.8 mAh/g at the current density of 0.1 A/g, and maintaining a high capacity retention of 94.1% after 12000 cycles at a high current density of 10 A/g. The excellent cycling stability of NH4V4O10 can be attributed to its stable layered structure formed by the interactions between oxygen atoms and NH4+ ions. Furthermore, the nanorod-like morphology and evident capacitive effect contribute to the promotion of its rate capability and kinetic properties.
Leaching behavior of vanadium-chromium residue enhanced by ultrasonic
Gong Qian, Wang Xingxing, Jin Guixuan, Huang Jinlei, Tang Dan, Huang Huisheng, Li Bing, Shi Wenbing, Lin Yinhe, Peng Hao
2023, 44(6): 32-37. doi: 10.7513/j.issn.1004-7638.2023.06.005
Abstract(525) HTML (227) PDF(15)
Abstract:
Vanadium is existed as low-valence in the vanadium-chromium residue, it is hard to leach out in alkaline medium, high-energy consumption is accompanied by roasting-leaching process. In this paper, ultrasonic was introduced to enhance the leaching process of vanadium-chromium residue to oxidize the low valence vanadium to high valence and make contribute to high leaching efficiency. The effects of NaOH dosage, reaction temperature, reaction time, liquid-to-solid ratio and stirring rate on the leaching efficiency of vanadium were investigated. The results show that the leaching process is significantly enhanced by ultrasonic leaching and the leaching efficiency of vanadium is improved. Compared with direct alkaline leaching, the leaching efficiency of vanadium is increased about 34 percentage. The leaching rate of vanadium is up to 96.9% under the optimal conditions including the dosage of NaOH at m(NaOH)/(residue)=0.5 g/g, reaction temperature of 90 ℃, stirring rate at 500 r/min, reaction time of 60 min, liquid-to-solid ratio at 5 mL/g and ultrasonic frequency at 40 kHz.
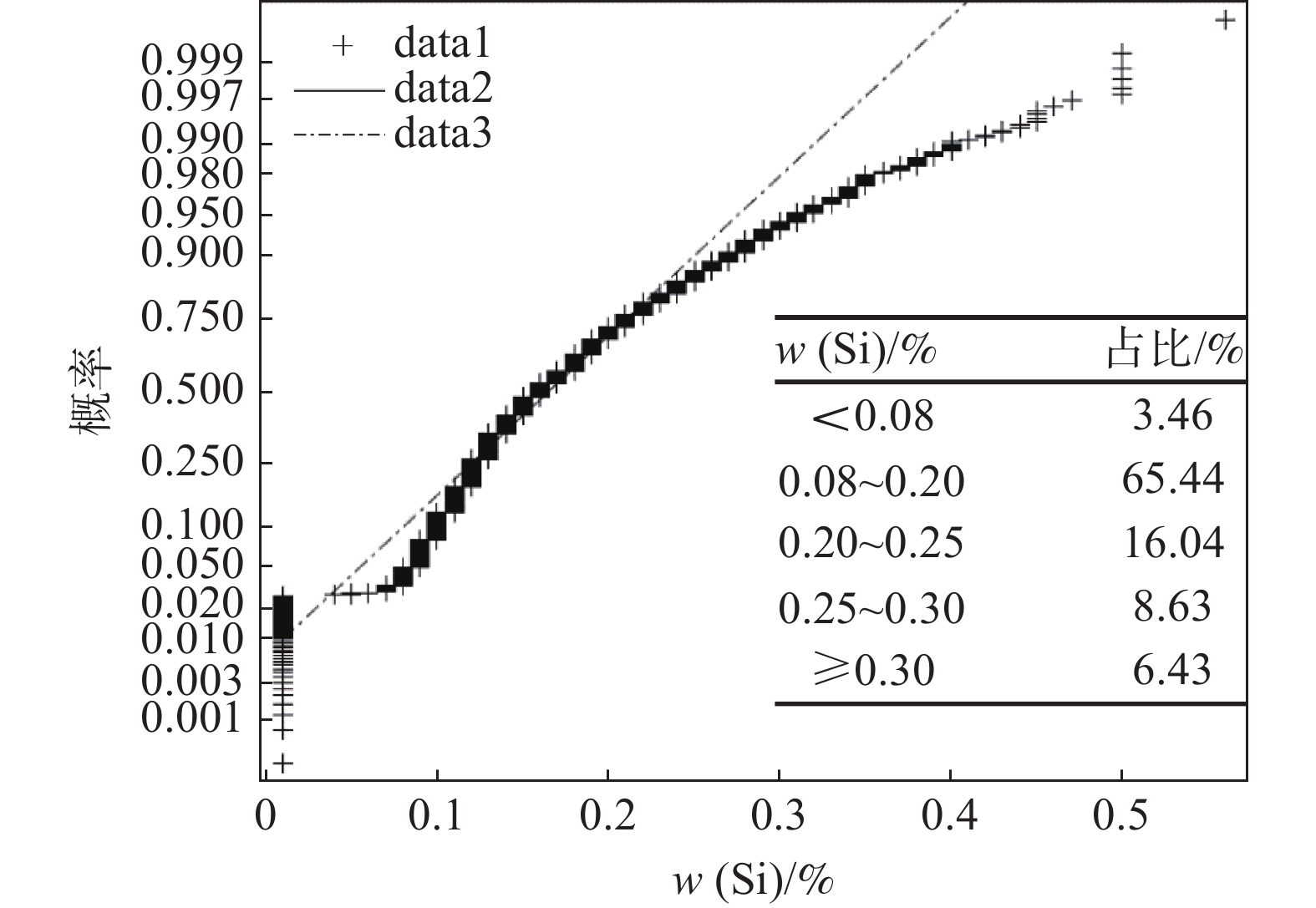
Multivariate correlation analysis of qualified liquid and vanadium pentoxide composition during vanadium precipitation
Wu Jinshu, Rao Yuzhong, Wu Zhenxiu, Jiang Lin
2023, 44(6): 38-45. doi: 10.7513/j.issn.1004-7638.2023.06.006
Abstract(475) HTML (174) PDF(19)
Abstract:
The effects of phosphorus, iron, manganese, silicon and vanadium in the qualified solution during vanadium precipitation on the composition of vanadium pentoxide were investigated through multivariate correlation analysis using Pearson coefficient statistics, probability density analysis and probability density cumulative distribution analysis methods. The results show that the Pearson coefficients of P, Mn content in qualified solution and P content in vanadium pentoxide are 0.6847 and 0.6663, respectively, with the highest degree of linear dependence. The Pearson coefficients of Mn, Fe in qualified liquid and Mn, Si in vanadium pentoxide are 0.3612 and 0.3564, respectively, indicating a certain degree of linear dependence. The Pearson coefficients of P, V in qualified liquid and Si, P in vanadium pentoxide are −0.3291 and −0.2258, respectively, representing a certain degree of negative linear correlation. The absolute value of Pearson coefficients for the content of other elements in the qualified solution and vanadium pentoxide are all less than 0.16, indicating a weak correlation. The contents of P, Mn, Fe, Si and V in vanadium pentoxide and qualified solution do not follow a normal distribution, reflecting the instability of the unified sample process, that is, the unstable production process. Therefore, it is necessary to reduce the abnormal fluctuation of qualified solution composition and avoid the factors that have relatively great impacts on the vanadium precipitation, which contributes to improve the stability of vanadium oxide composition. This work can provide some theoretical and technical support for the production of qualified vanadium oxide.
Application of Vanadium and Titanium
Research status and prospect of high-strength β-titanium alloy
Wang Andong, Xiang Zhilei, Zhou Zongyi, Ma Xiaozhao, Han Jingyu, Chen Ziyong
2023, 44(6): 46-57. doi: 10.7513/j.issn.1004-7638.2023.06.007
Abstract(2508) HTML (814) PDF(251)
Abstract:
For titanium alloys, the type and content of alloying elements have a great impact on the properties of the alloy. For β-titanium alloy, the main problem is how to select β-stable elements and control the addition of β-stable elements. In this paper, the influence of different alloyed elements on β-titanium alloy is reviewed, and the development process and current situation of high-strength β-titanium alloy at home and abroad are summarized. The American Ti-1023, β21-S, Russian BT22, Ti-5553 and Chinese Ti-5523 are mainly introduced. In addition, from the perspective of controlling the size, shape and type of the alloy phase by adding small size gap elements, the improvement of the strength of β-titanium alloy is prospected, in order to further improve the strength of β-titanium alloy. Finally, the difficulties encountered in the development of β-titanium alloy and the possible development direction of β-titanium alloy are summarized.
Preparation of high-purity TiSi2 and eutectic Si-Ti alloys by vacuum electromagnetic directional solidification
Zhang Yakun, Lei Yun, Ma Wenhui
2023, 44(6): 58-63. doi: 10.7513/j.issn.1004-7638.2023.06.008
Abstract(580) HTML (196) PDF(19)
Abstract:
To prepare the high-purity TiSi2 and eutectic Si-Ti alloys, the vacuum electromagnetic directional solidification technique was used to separate and purify Ti-Si alloys in this study. The results show that the vacuum electromagnetic directional solidification can effectively purify the Ti-Si alloys. Fe, Al, and Mn impurities were removed through their segregation effect at the solid-liquid interface (enriched at the top). Ca and Mg impurities were removed by vacuum volatilization due to the vapor pressure being significantly higher than that of Si and Ti. After vacuum electromagnetically directed solidification of the Ti-56% Si alloy (purity 96%), the dense TiSi2 alloy was separated in the lower part of the crucible, and the eutectic Si-Ti alloy with a homogeneous phase was separated in the upper part. The purity of the TiSi2 thus prepared was 99.4%, and that of the eutectic Si-Ti alloy was 99.1% (only considering the main impurities Fe, Mn, Ca, Mg, and Al).
Study on hot deformation and heat treatment of a novel series of high strength and wear resistance β titanium Ti-Al-Mo-V-Cr alloy
Yue Ke, Sun Yingjun, Peng Li, Lin Chongzhi
2023, 44(6): 64-69. doi: 10.7513/j.issn.1004-7638.2023.06.009
Abstract(534) HTML (162) PDF(19)
Abstract:
Taking high strength and wear resistance β titanium Ti-Al-Mo-V-Cr alloy as the research object, the hot deformation behaviors with varying hot working conditions were studied, and the influence of heat treatment on the microstructure and mechanical properties of cold rolled sheet was analyzed. The results are summarized as follows: In the hot compression tests, the flow stress of this alloy decreases with the decreasing strain rate and increasing deformation temperature; the amount of recrystallized grains increases significantly with decreasing strain rate, the size of recrystallized grains diminishes obviously with decreasing deformation temperature. In the heat treatment tests, the microstructure and mechanical properties of cold rolled sheet can be effectively optimized with proper heat treatment process, tensile properties and Rockwell hardness are improved simultaneously by aging at lower temperature or annealing at higher temperature, with the tensile fracture strength of reaching 1686 MPa and 1569 MPa, respectively, while keeping the hardness (HRC) over 50 for either heat treatment process.
Wear properties of TiC particle reinforced iron matrix composites prepared by casting sintering method
Sun Xueli, Wang Shuai, Liu Chenyu, Fu Zhiqiang, Zheng Kaihong, Wang Juan, Ke Zhimin
2023, 44(6): 70-75. doi: 10.7513/j.issn.1004-7638.2023.06.010
Abstract(579) HTML (195) PDF(23)
Abstract:
TiC particles reinforced high chromium cast iron matrix composites were prepared by casting sintering method. The effects of reinforced particles on the microstructure and wear behavior of the composites were studied by EDS and SEM. The results showed that the Rockwell hardness (HRC) of the composites increases from 49 to 60 compared with high chromium cast iron, due to the presence of TiC particles. During the wear process, the M7C3 carbides on the surface of high chromium cast iron appeared obvious cracks under the repeated action of abrasive particles, and gradually expanded into the matrix. The broken carbides are easy to fall off, which cannot effectively prevent the ploughing effect of abrasive particles on the surface of the material and aggravate the wear of the material. In the composites, a large number of TiC particles are exposed as the softer matrix phase is preferentially removed by the abrasive. These surface convex TiC particles bear the main damage of the abrasive particles, thus effectively protecting the matrix material. Through experimental comparison, it is found that the wear resistance of the composites is 1.95 times higher than that of high chromium cast iron under the same wear conditions.
Study on effect of rare earths on the mechanical and biological activity of HA/Ti composites
Fan Xingping, Yang Cheng
2023, 44(6): 76-80. doi: 10.7513/j.issn.1004-7638.2023.06.011
Abstract(495) HTML (181) PDF(8)
Abstract:
In order to further improve the properties of HA/Ti composite materials, using HA powder and commercial Ti powder as raw materials, adding a certain amount of different rare earth complexes (CeO2, LaF3 and SrO), a rare earth reinforced HA/Ti biological composite material was prepared by powder metallurgy method. The effects of three rare earth elements on the microstructure, mechanical properties, and biological activity of HA/Ti composites were investigated using X-ray diffraction (XRD), scanning electron microscopy (SEM), metallographic microscopy and universal mechanical testing machines. The results show that the mechanical properties of the three composites obtained by adding 0.3% CeO2, LaF3, and SrO rare earth compounds are improved, with compressive strengths of 47, 91 MPa, and 40 MPa, respectively, while the compressive strength of the HA/Ti composite without adding rare earth compounds is only 34 MPa. Moreover, LaF3 can further improve the biological activity of the composite material, but adding CeO2 and SrO cannot improve its biological activity.
Effect of SPS sintering process on microstructure and mechanical properties of TiC / 6061Al composites
Zhang Yang, Liu Cansen, Wang Juan, Tian Zhuo, Zheng Kaihong, Ke Zhimin
2023, 44(6): 81-87. doi: 10.7513/j.issn.1004-7638.2023.06.012
Abstract(456) HTML (179) PDF(15)
Abstract:
The 2% TiC/6061Al composites were prepared by low-speed horizontal ball milling and spark plasma sintering ( SPS ). The effects of different sintering temperatures and pressures on the density, microstructure and mechanical properties of the composites were studied by optical microscope, scanning electron microscope, microhardness tester and tensile test. The results show that when the sintering temperature is 500 ℃, the sintering is not sufficient, and the binding between the particles is not close, which leads to low density of the composite material. When the sintering temperature is 550 ℃ which exceeds melting point of Al matrix, a small amount of molten Al splashes and overflows the mold, resulting in unbalanced pressure in the mold, thereby reducing the density of the composite material. The density and mechanical properties of the composites increase with increase of the sintering pressure, so the maximum pressure that the mold can withstand is selected as the optimal sintering pressure. Therefore, when the sintering temperature is 525 ℃ and the sintering pressure is 40 MPa, the density, hardness and strength of the composite material reach the maximum values.
Resources Environment and Energy Saving
Experimental study on upgrading and flotation of titanium concentrate in a concentrator in Panxi area
Su Xin, Hu Houqin, Wang Hongbin
2023, 44(6): 88-92. doi: 10.7513/j.issn.1004-7638.2023.06.013
Abstract(522) HTML (225) PDF(25)
Abstract:
The floating titanium concentrate grade of a concentrator in Panxi area is 46.84%, among which gangue minerals SiO2 and CaO are not conducive to the subsequent chlorination process of titanium dioxide. Adding inhibitors to acidified sodium silicate, sulfuric acid, sodium silicate, sodium fluorosilicate and lignin can effectively inhibit gangue minerals from floating and improve the grade of titanium concentrate, among which sulfuric acid and lignin show the best effect, and sulfuric acid is determined to be the quality improvement flotation inhibitor. The effects of stirring time, sulfuric acid dosage and collector dosage on the final grade and recovery of titanium concentrate were investigated by a single flotation process. The optimal flotation conditions were determined to be stirring time of 10 min, sulfuric acid dosage of 2000 g/t and MOH dosage of 2000 g/t. Under the optimal flotation conditions, the grade of titanium concentrate can be increased from 46.84% to 50.04%, the recovery rate of titanium concentrate is 41.93%, and the CaO+SiO2≤1.5%, which meets the quality improvement requirements.
Thermodynamic analysis of recovering valuable elements from steel slag by thermite reduction in converter
Cao Lei, Shi Jiahao, Gao Yuning
2023, 44(6): 93-97. doi: 10.7513/j.issn.1004-7638.2023.06.014
Abstract(509) HTML (226) PDF(23)
Abstract:
Aiming at recovery of valuable elements such as Fe, P, Mn and Si from Bessemer steel slag and utilization of steel slag, the thermodynamic conditions and influencing rules of thermite reduction and recovery of valuable elements from Bessemer steel slag were analyzed by a Factsage8.2 software thermodynamic calculation system. The results show that basicity of the slag has little effect on the recovery of FeO, P2O5 and MnO in thermite reduction, and the improvement of slag basicity is beneficial to SiO2 recovery. The change of temperature has little effect on the recovery of FeO, P2O5 and MnO, but increasing temperature is not conducive to the reduction of SiO2 in the steel slag. When the slag basicity is 3.18 and the temperature is 1873K, w(Al/Slag)=20%, the recovery of valuable elements can be achieved the relatively best effect, and the reduction rates of FeO, P2O5, MnO and SiO2 in the slag are as high as 100%, 100%, 99.97% and 98.12%, respectively. These studied results can be used for the efficient recovery of valuable elements and resource utilization of steel slag by thermite reduction.
Preparation and properties of high-strength fired water permeable brick containing vanadium-titanium iron ore tailings
Wu Pingchuan, Liu Zhibing, Liu Jing, Ping Haoyan, Ma Jintao, Wang Changlong, Zheng Yongchao, Jing Jianlin, Qi Yang, Zhai Yuxin, Liu Feng
2023, 44(6): 98-109. doi: 10.7513/j.issn.1004-7638.2023.06.015
Abstract(413) HTML (206) PDF(12)
Abstract:
In order to promote the efficient comprehensive utilization of vanadium-titanium iron ore tailings (VTIOTs), the basic properties and firing mechanism of high-strength fired water permeable bricks (HSFWPB) containing VTIOTs were investigated by using orthogonal test method, X-ray diffraction (XRD), scanning electron microscopy (SEM) and energy spectrum analysis (EDS). The results show that when the content of VTIOTs in HSFWPB is 77%, the firing temperature (FT) is 1070 ℃ and the holding time is 110 min, the compressive strength and permeability coefficient of the fired product reach 65.7 MPa and 0.063 cm/s, respectively, which meet the requirements of Cc60 grade products set by “water permeable brick” standard (JC/T 945—2005). The products of HSFWPB containing VTIOTs after firing are diopside (CaMgSi2O6) and augite (Ca(Mg,Fe,Al)(Si,Al)2O6). With the increase of FT and the extension of HT, the low melting point elements of P, Na, K dissolve out, and the contents of Fe and Al in the firing products increase; most of Ca2+ in diopside is replaced by Fe3+, and thus, augite becomes the main crystal phase. With the increase of FT, the pores in the fired products change as follows: closed holes with different sizes→connected pores with irregular diameters→irregular collapse pores→small and uniform circular pores, which provides a guarantee for the permeability of HSFWPB containing VTIOTs. The research has improved the utilization rate of VTIOTs and provides a new approach for the large-scale application of VTIOTs.
Study on iron removal from industrial titanium gypsum
Peng Musen, He Lin, Li Haiyan, Luo Jianhong
2023, 44(6): 110-116. doi: 10.7513/j.issn.1004-7638.2023.06.016
Abstract(510) HTML (258) PDF(27)
Abstract:
In this study, the removal of iron impurity contained in the industrial sulfuric acid leaching titanium gypsum was investigated, which leads to effective improvement of purity and whiteness of titanium gypsum, providing sufficient raw materials for the development and utilization of titanium gypsum downstream products. The effect of iron removal under different acid leaching conditions such as solid-liquid ratio, reaction temperature, reaction time, rotation speed, particle size and sulfuric acid concentration was studied and the optimum process conditions was discovered. Furthermore, the impurity removal mechanism of titanium gypsum was found out based on the changes of phase, microstructure and particle size distribution. During the process of removing iron from titanium gypsum by sulfuric acid leaching, the optimal process parameters are obtained as follows: solid-liquid ratio of 1:10 g/g, reaction temperature of 70 ℃, reaction time of 60 min, SO42− mass fraction of 7%, rotating speed of 400 r/min and particle size of 150 μm, under which the iron removal leaching rate of titanium gypsum can reach 94%. Under the optimal conditions, the acid leaching product changes from light yellow to gray white, and the whiteness is evidently improved.
Ferrous Metallurgy and Materials
Effect of particle size composition of iron ore fines on the suitable amount of bonding phase in sintering process
Fan Xinsheng, Du Yu, Guo Xingmin
2023, 44(6): 117-125. doi: 10.7513/j.issn.1004-7638.2023.06.017
Abstract(451) HTML (263) PDF(9)
Abstract:
Calcium ferrite is main bonding phase in high-basicity sinter, its formation is closely related to the sinter quality, and the appropriate amount of bonding phase is also an important factor of energy saving and carbon reduction in the sintering process. In this work, mono-calcium ferrite (CF) as an initial bonding phase and pre-sintered hematite (Fe2O3) powder as iron ore fines were used to investigate the influence of particle size composition of iron ore fines on the appropriate amount of bonding phase in sintering process. The results show that the amount of bonding phase needed for obtaining the same compressive strength of sintered samples increases with the increase of iron ore fines size. At same particle size range of iron ore fines, the compressive strength increases first and then decreases with increase of CF addition, and its maximum value should be corresponding to the suitable amount of bonding phase. At different particle size range, the maximum compressive strength decreases with increase of iron ore fines size, simultaneous the suitable amount of bonding phase shiftes to the direction of increasing bonding phase amount. Besides, CF reacts with Fe2O3 to form a calcium rich-ferrate (Ca3.6Fe14.4O25.2) with the low melting point, increasing the amount of bonding phase in sintering process. The Ca3.6Fe14.4O25.2 formation as a new phase increases with the increase of CF addition and the decrease of iron ore fines size, which revealed the relationship of amount between actual bonding phase and initial one in sintering process.
Experimental study on sintering of fine grained high-grade vanadium titanium magnetite concentrate from Pangang
Wang Yujian, Hu Peng
2023, 44(6): 126-132. doi: 10.7513/j.issn.1004-7638.2023.06.018
Abstract(416) HTML (181) PDF(16)
Abstract:
In view of the physical and chemical properties of high-grade vanadium titanium magnetite, single firing contrast experiment, different substitute ratio experiment of high-grade ore and orthogonal experimental study on parameter optimization of sintering technical and economic indexes of sintering fuel ratio, mixture moisture and material layer thickness under the condition of highest substitute ratio were carried out. The experimental study shows that the high-grade ore has the characteristics of high iron, low silicon and titanium, finer particle size and is very sensitive to the moisture control of the mixture. With the increase of the ratio of high-grade ore in sintering, the comprehensive score of sintering index shows a decreasing trend. The influence on the technical and economic indexes of this sinter is water, fuel ratio and material layer thickness in descending order. The optimal sintering conditions of this sinter obtained in the laboratory are as follows: mixture water 6.5%, fuel ratio 4.2% and material layer thickness 670 mm. Industrial test results show that the sintered with addition of 20% of the mineral, the sinter high sinter TFe grade is increased by 0.8%, 0.6% lower content of TiO2, drum index is basically remain unchanged, the concentration of SiO2 sintering flue gas imports in low 22%.
Study on microstructure evolution and austenitizing process of 1800 MPa grade ultra-high strength hot stamping steels
Liu Shuang, Chen Huiqin, Cao Miao, Che Xin, Yang Fan, Feng Yi
2023, 44(6): 133-138. doi: 10.7513/j.issn.1004-7638.2023.06.019
Abstract(362) HTML (326) PDF(10)
Abstract:
The evolution of microstructures and properties of 1800 MPa ultra-high strength hot stamping steels under different austenitizing temperatures and holding times were experimentally studied in this paper, and the optimum hot stamping austenitizing process was established. The results show that when the austenitizing temperature and holding time reach 840 ℃ and 3 min, respectively, the quenched microstructures of the hot stamping steel is consisted of martensite, and the martensite becomes coarser with the increase in temperature and holding time. The tensile strength decreases gradually with the increase of the austenitizing temperature and holding time. When the austenitizing temperature is 840 ℃, the tensile strength, elongation and strength-ductility product can reach 1861.3 MPa, 6.88% and 12.81 GPa·%, respectively. When the holding time is 3 min, the tensile strength, elongation and strength-ductility product can reach 1851.28 MPa, 6.84% and 12.66 GPa·%, respectively. The austenitizing temperature of 840 ℃ and holding time of 3 min are selected as the optimum austenitizing parameters.
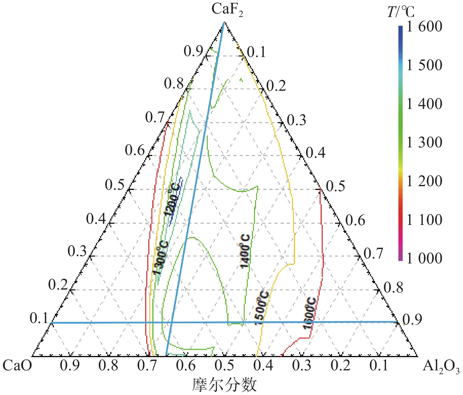
Study on the role of CaF2 in CaO-Al2O3-based mold fluxes with different acid-base property
Shi Yi, Qi Jie, Liu Chengjun, Jiang Maofa
2023, 44(6): 139-148. doi: 10.7513/j.issn.1004-7638.2023.06.020
Abstract(548) HTML (191) PDF(17)
Abstract:
The new CaO-Al2O3 based mold fluxes can effectively inhibit the interfacial reaction between Al and slag components in high-aluminum steel casting. However, there were still some problems in the casting process, such as strong crystallization performance and uneven heat transfer. Fluxing agent was one of the key factors to adjust the physical and chemical properties of slag. Based on this, the effects of typical flux CaF2 on the microstructure, viscosity and crystalline phase of CaO-Al2O3 based mold fluxes with different acid-base property were studied. The results show that in the near-neutral CaO-Al2O3-based mold flux, the crystallization phase changes from Ca12Al14O33+Ca3Al2O6 to Ca12Al14O32F2+LiAlO2+CaF2 after adding CaF2. The precipitation of LiAlO2 can lead to the increase of the breaking temperature by about 175 °C, and the viscosity of the high temperature section of the slag remains basically unchanged. In the alkaline CaO-Al2O3-based mold flux, the crystalline phase changed from Ca3Al2O6+CaO to Ca12Al14O32F2+LiAlO2+CaF2 after adding CaF2, and the premature precipitation of single CaO was effectively inhibited. The breaking temperature is reduced by about 70 °C, and the viscosity at high temperature is significantly reduced.
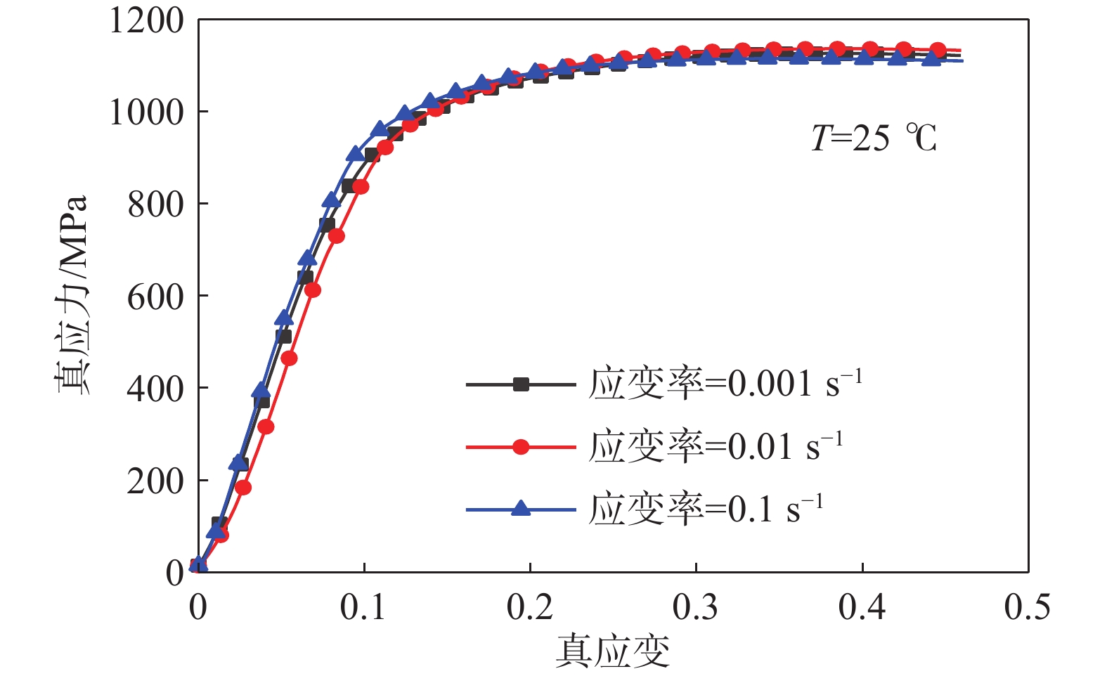
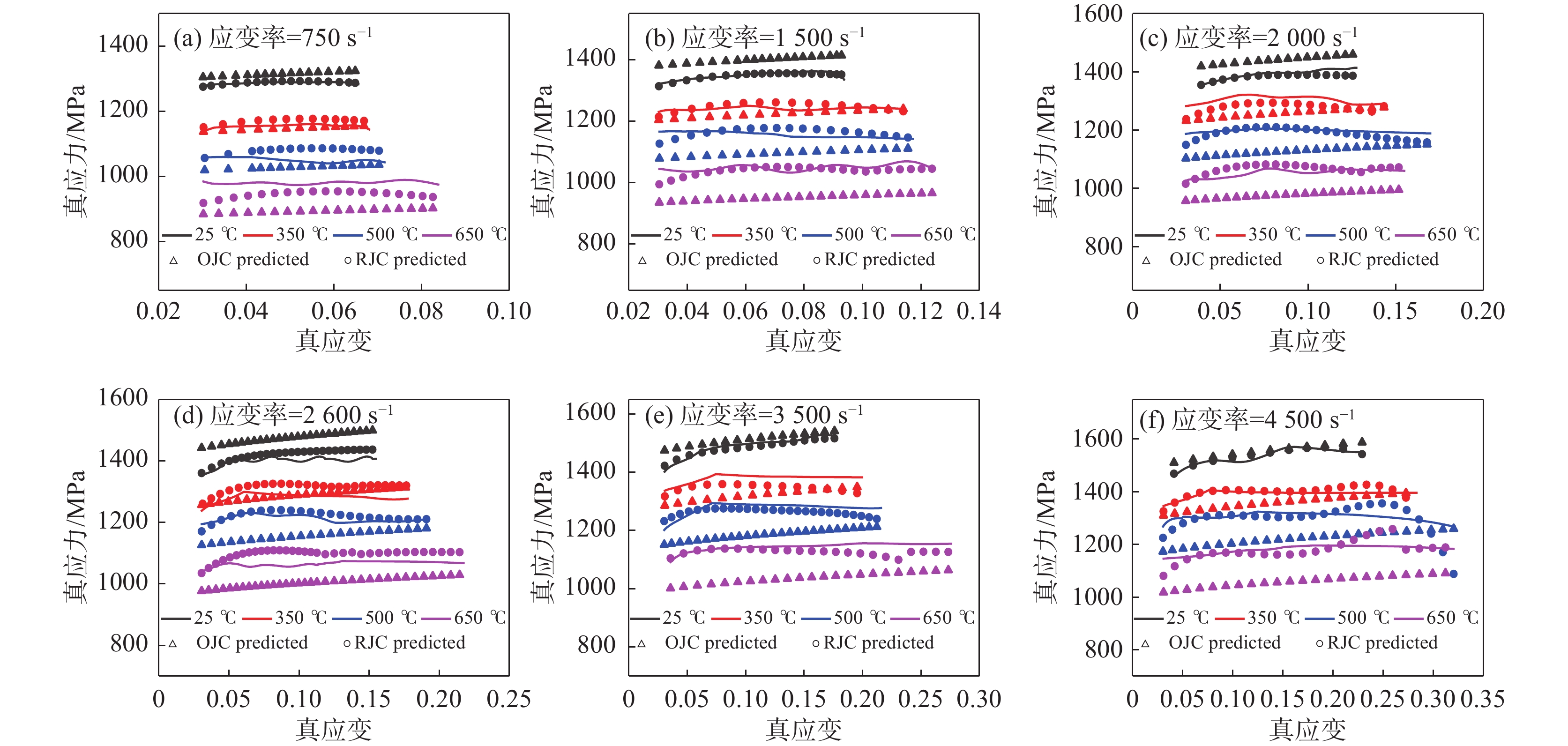
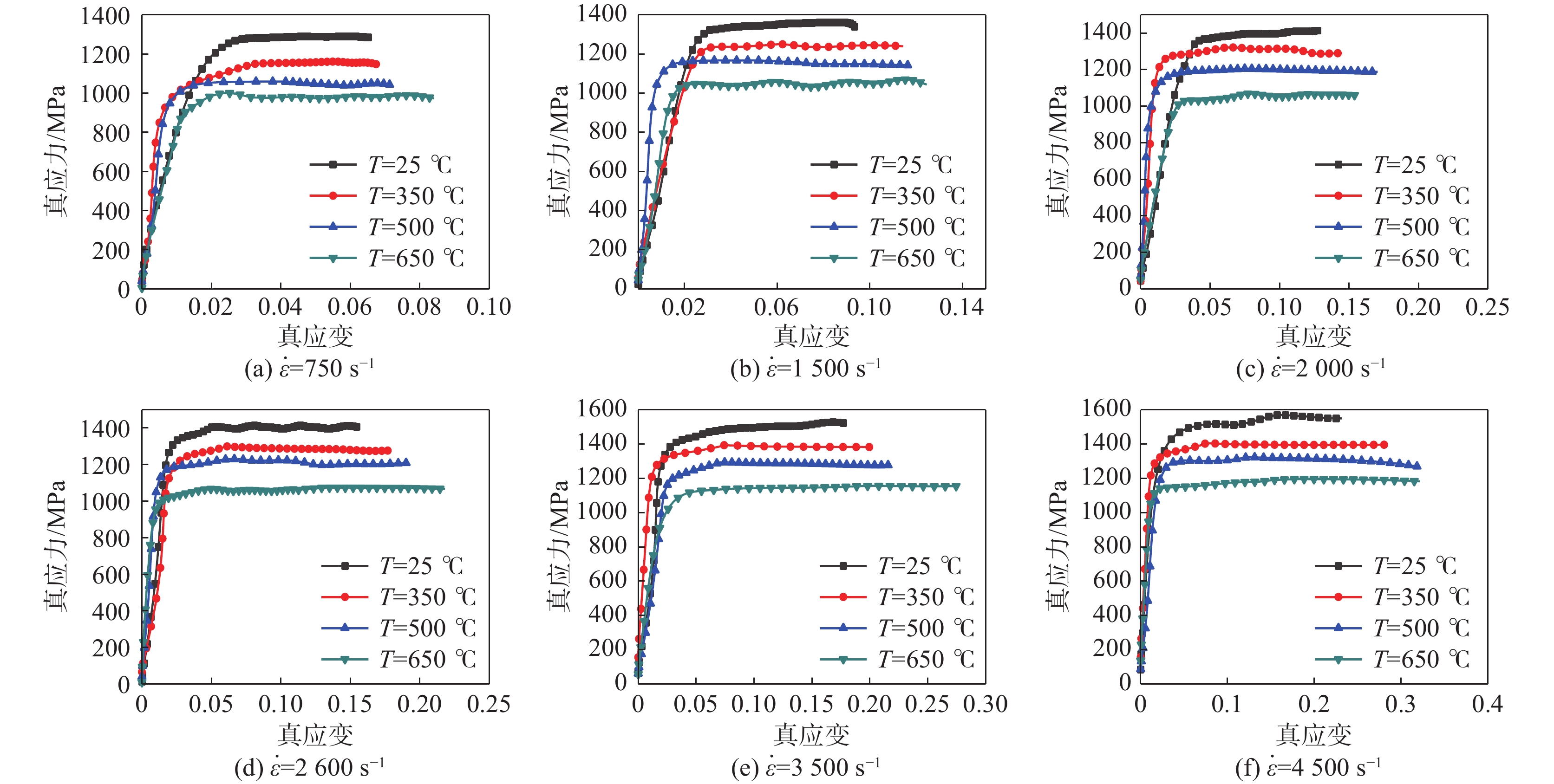
Establishment of a constitutive model of aviation stainless steel 0Cr17Ni4Cu4Nb considering the coupling effects of strain, strain rate and temperature
Zhang Jilin, Zhang Youming, Luo Wencui, Yi Xiangbin, Tang Linhu, Yao Jiabao
2023, 44(6): 149-159. doi: 10.7513/j.issn.1004-7638.2023.06.021
Abstract(642) HTML (222) PDF(18)
Abstract:
The aviation stainless steel 0Cr17Ni4Cu4Nb has excellent characteristics and is widely used in important parts of various machines. The machining process of these parts is accompanied by large strain, high temperature and high strain rate. Based on this coupling relationship, a constitutive model that can truly reflect the cutting mechanical properties is established to provide reliable data for cutting simulation. This paper sets the aviation stainless steel 0Cr17Ni4Cu4Nb as the research object, and uses the universal testing machine (UTM5305) and the split Hopkinson Pressure Bar (SHPB, ALT1000) to carry out the quasi-static compression tests (temperature: 25 ℃, strain rate: 0.1, 0.01, 0.001 s−1) and dynamic impact tests (temperature: 25, 350, 500 and 650 ℃, strain rate: 750, 1500, 2000, 2600, 3500 and 4500 s−1), respectively. The stress-strain relationship of the material is obtained, and its mechanical properties are analyzed. It is shown that the material exhibits strain hardening effect, temperature softening effect, strain rate strengthening effect and plasticizing effect. Combining the interaction of strain, strain rate and temperature, the Johnson-Cook (JC) constitutive equation under the coupling action is established. The test data and prediction data (the original and modified JC constitutive equation) are statistically analyzed. The correlation coefficient (R) and the average phase error (AARE) of the original JC constitutive equation are 0.96833 and 4.77%, respectively. The correlation coefficient (R) and average relative error (AARE) of the modified JC constitutive equation are 0.987513 and 0.51%, respectively, indicating that the modified JC constitutive equation is more accurate and reliable in predicting the stress-strain relationship at high strain rates.
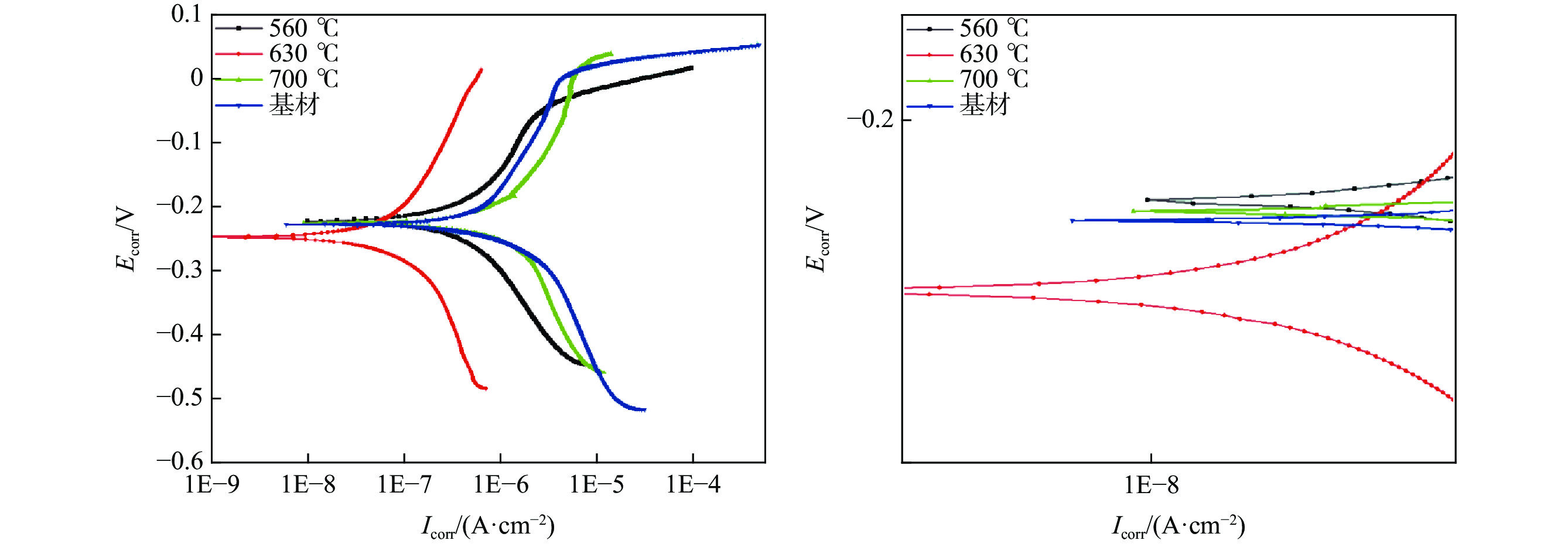
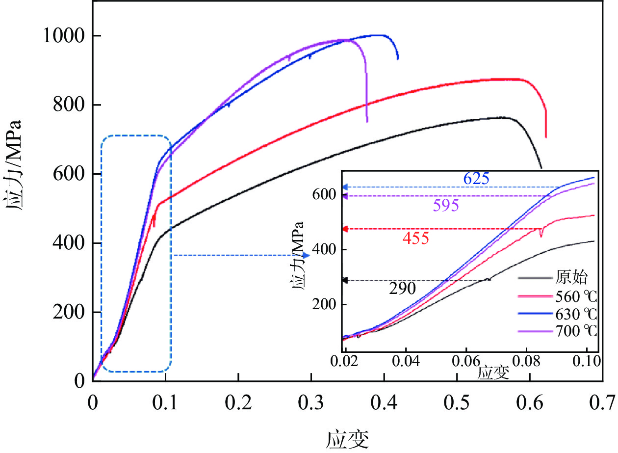
Effect of aging temperature on microstructure and properties of Monel K500 alloy
Jia Xuemei, Wang Jie, Liu Tingyao, Zheng Huaibei, Wang Qinying, Xi Yuchen, Dong Lijin
2023, 44(6): 160-166. doi: 10.7513/j.issn.1004-7638.2023.06.022
Abstract(602) HTML (219) PDF(29)
Abstract:
The heat treatment of solution + aging process was conducted on Monel K500 alloy. For investigating the effect of aging temperature on the microstructure and properties of Monel K500 alloy, the micro-hardness and tensile properties were measured and the microstructure of the samples was analyzed by OM, SEM, TEM and XRD. The results showed that hardening phase of polygonal TiC particles mainly distributed at grain boundaries. Meanwhile, Al content at the grain boundary increases after aging treatment, and precipitation decomposition in the supersaturated solid solution occurred, which caused Al and Ti elements to precipitate in the form of Ni3 (Al, Ti) second phase. The corrosion products NiO and CuO formed after electrochemical etching. With the increasing aging temperature, the volume fraction of precipitates increases, but the high temperature causes the coarsening of precipitates. So, the strengthening effect firstly increases and then decreases with the increase of aging temperature in the range of 560~700 ℃. After aging treatment at 630 ℃, the hardness (HV) and strength of the Monel K500 alloy can reach the maximum value of 329.26 and 994.56 MPa, respectively. However, the corrosion resistance decreases when alloy subject to aging treatment at this temperature.
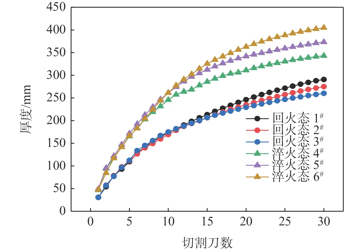
Influence of microstructure and carbide evolution of low-carbon martensitic stainless steel on tool performance
Li Guoqing, Lu Guangyi, Ti Chang, Lin Siwei, Liu Wenle, Wang Xuelin, Shang Chengjia, Guan Wenjie, Guo Fujian
2023, 44(6): 167-171. doi: 10.7513/j.issn.1004-7638.2023.06.023
Abstract(640) HTML (216) PDF(12)
Abstract:
In the current study, the sharpness test and microstructure characterization for the 30Cr13 cutter under the regime of quenching and tempering processes was performed to investigate the relationship between distribution and type of carbides and sharpness of cutting tools. After the tempering process (300 ℃, 30 min), the initial sharpness and cumulative thickness cuts of the cutter decrease by 34.6% and 26.4%, respectively. However, the tool under the state of tempering have a less loss of sharpness in single cutting and a better durability, and the following reasons should be considered for these results: (i) the increase of the M23C6 carbide precipitates after tempering enhances wear resistance of tools through dispersion strengthening and (ii) the reduction of carbon in the quenched martensite leads to lower hardness and sharpness of the cutter.
The evolution of hot-rolled banded microstructure in low carbon microalloyed steels
Wang Bo, Li Shuheng, Mo Chaoqun, Zhang Qingjun
2023, 44(6): 172-178. doi: 10.7513/j.issn.1004-7638.2023.06.024
Abstract(479) HTML (220) PDF(15)
Abstract:
Banded structure defects often appear in low carbon microalloyed steels during rolling process, which have a great impact on the product quality and service properties. In this study, Q345 hot-rolled slab in a plant was selected as the research object, and the evolution of the banded structure in different rolling passes and positions during hot rolling was analyzed. The results show that the segregation of solute elements between dendrites is the essential reason for the formation of banded structure. At the same time, it is found that there are significant differences in the banded structure size of rolled products at different rolling passes and positions. For the banded structure at the same position in different rolling passes, the larger the reduction rate is, the smaller the banded structure is. When the reduction rate is 50%, the width of the central banded structure is about 175 μm. When the reduction rate is 67%, the width of the central banded tissue is about 75 μm. Under the same rolling pass, the comparison of banded structure at different rolling positions can be made. It is found that the banded structure at half-thickness is the largest, compared to the smallest band observed at the surface.
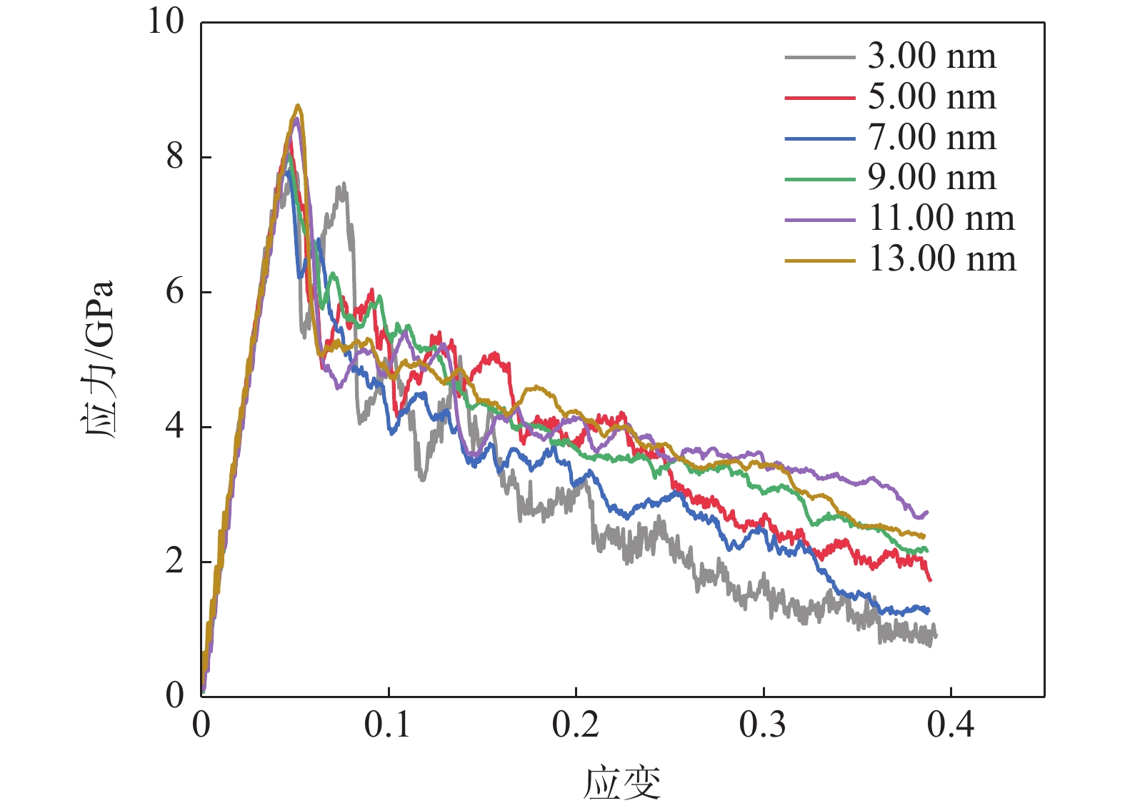
Study on size-dependence of tensile mechanical properties and plastic deformation mechanism in CoCrFeNiMn high entropy alloy
An Minrong, Yao Junfan, Chen Xuan, Wang Bo, Lü Jiangyi, Zhu Zhihao, Quan Kai, Li Teng
2023, 44(6): 179-185. doi: 10.7513/j.issn.1004-7638.2023.06.025
Abstract(740) HTML (218) PDF(27)
Abstract:
The mechanical properties of CoCrFeNiMn high entropy alloys (HEAs) with different cross section sizes were investigated by molecular dynamics simulation under tensile loading. Modified embedding atomic potential was employed to describe the interactions between Co, Cr, Fe, Ni and Mn atoms. The simulation results indicated that the tensile properties and deformation mechanism of CoCrFeNiMn HEAs depended on the cross section size. A critical value of peak stress occurred when the cross section size was 7.00 nm, which depended on the number of dislocation nucleation sites. With the increase of cross section size, the plastic deformation mechanism changed from the formation of amorphous structures to dislocation slip and transformation from FCC structure to HCP structure. The results of this study can provide a guidance for design and preparation of high entropy alloy with high performance.
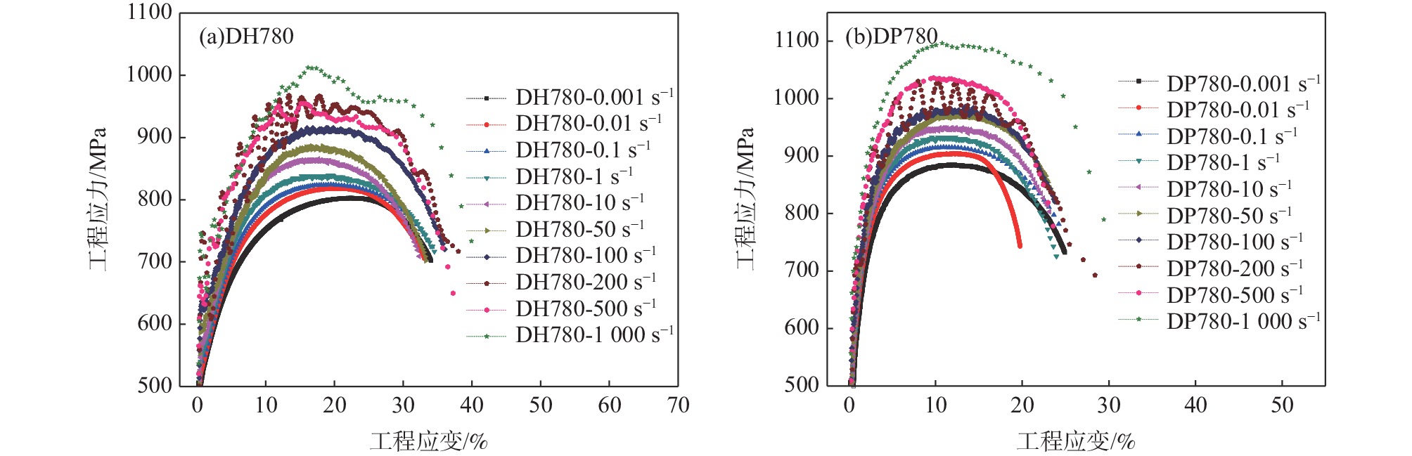
Study on the differences in microstructure, mechanical properties, and deformation mechanism between DH and DP steels
Zhou Li, Xue Renjie, Cao Xiaoen, Wen Caijun
2023, 44(6): 186-191. doi: 10.7513/j.issn.1004-7638.2023.06.026
Abstract(579) HTML (230) PDF(21)
Abstract:
High speed tensile test, comprehensive forming test, field emission scanning electron microscope (SEM), X-ray diffraction (XRD), electron backscatter diffraction (EBSD) and other characterization methods were used to study the differences of microstructure and properties between DH780 and DP780 cold-rolled dual phase steels. The research shows that the main differences between the microstructures of DH780 and DP780 steels depend on the occurrence of retained austenite. The former has about 5.1% retained austenite, which is located at the phase interfaces and ferrite grain boundary in the blocks, thin films, chains and fine particles appearances. It has a significant TRIP effect during deformation. At the same time, the retained austenite has more slip systems, which can effectively retard the dislocation accumulation, stress concentration and crack initiation. DH780 has better strength-ductility balance (TS × EL) and hole expanding performance than DP780. High speed tensile test shows that DH780 has higher strain rate sensitivity than DP780; With the increase of strain rate, the strength-ductility balance (TS × EL) of DH780 increases to 38.83 GPa·%, and the energy absorption performance is significantly enhanced.
The hardness and softening behavior of HAZ in Ti and Nb precipitation strengthened 600 MPa wheel steel
Dong Xianchun, Liu Xinyao, Cai Ning, Zhang Dawei, Zhang Xiazhou, Li Xuetao
2023, 44(6): 192-197. doi: 10.7513/j.issn.1004-7638.2023.06.027
Abstract(364) HTML (153) PDF(9)
Abstract:
A 22.5 × 9.0 wheel rim made of Ti and Nb precipitation strengthened 600 MPa wheel steel was manufactured by continuous flash butt welding process to. The lap joint of rim and spoke was welded under gas shielded welding process. The flash butt welded joint of the rim cracked during the flaring process, thinned during rolling forming process and cracked during expansion process. Consequently, the comprehensive scrap rate was 37%. When the wheel was subjected to radial fatigue test for 800000 cycles, fatigue cracking occurred at the weld root of the lap between the rim and the spoke. The fracture, microstructure, hardness and precipitated phase of wheel steel joint were analyzed. The results show that the hardness of butt welded joints presents "saddle" local softening characteristics, and the hardness of lap joints presents "basin" local softening characteristics. In the CGHAZ the grains coarsen, while the second phase particles below 20 nm dissovle significantly. In the FGHAZ the grains grow, with the second phase particles below 20 nm disappear and particles above 20 nm coarsen, leading to softening behavior of HAZ.
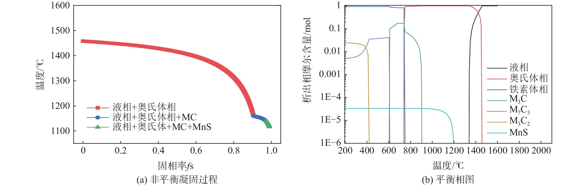
Prediction of primary carbide size in high carbon chromium bearing steel
Feng Qian, Zeng Yanan, Li Junguo, Wang Yitong, Wang Yajun, Tang Guozhang
2023, 44(6): 198-204. doi: 10.7513/j.issn.1004-7638.2023.06.028
Abstract(388) HTML (130) PDF(16)
Abstract:
A Thermo-Calc thermodynamic calculation software was used to conduct thermodynamic analysis on the phase transformation, primary carbide phase type, and primary carbide precipitation temperature during solidification process of bearing steel. Based on both Scheil segregation model and Goto model, the size of primary carbide particles during solidification process of bearing steel was predicted, and the predicted results were experimentally verified through thermal simulation tests and quantitative analysis of carbide microscopic morphology. The results show that primary carbides during solidification process of bearing steel are (Fe, Cr) C carbides and its precipitation temperature is 1158 ℃. The precipitation behavior is mainly caused by the segregation of C and Cr in the residual liquid phase at the end of solidification. When the solid phase ratio is 0.92, the mass fraction of C in the residual liquid phase reaches 4.12%; The mass fraction of Cr element in the residual liquid phase reached 2.59%, and the size of primary carbides reached 8.2 μm. In addition, the precipitation temperature of primary carbides and the size of primary carbides can be increased with the increase of solute C in molten steel. However, the size of primary carbides during solidification is mainly determined by the cooling rate. When the cooling rate is increased from 0.2 ℃/s to 3 ℃/s, the maximum size of primary carbides increases from 19.25 μm reduced to 5.02 μm. The influence mechanism is that increasing cooling rate will reduce the diffusion rate of atoms near the interfaces of primary carbide crystal, which will hinder the anisotropic growth of carbide crystal interfaces, and ultimately lead to decreasing primary carbide size.