2024 Vol. 45, No. 1

Separating and Extracting of Vanadium and Titanium
Status, future and development of China’s titaniumdioxide industry in 2023
Bi Sheng
2024, 45(1): 1-3. doi: 10.7513/j.issn.1004-7638.2024.01.001
Abstract(3863) HTML (453) PDF(157)
Abstract:
This paper summarized the operation data of China’s titanium dioxide industry in 2023, including production capacity, output, market apparent demand, capacity concentration and so on. The recent growth trend of titanium dioxide production capacity and the corresponding changes in the supply and demand relationship of titanium ore raw materials were also analyzed. The results indicate that the production capacity and yield of titanium dioxide in 2023 continue to maintain the growth trend, and the concentration of production capacity keeps further improved. Meanwhile, the scale of existing producers is further expanded, the increase of non-industry joining projects and the increase of titanium dioxide production capacity caused by the rise of new energy materials industry, which will exacerbate the contradiction between supply and demand of titanium ore. Market prospects and industry outlook maybe not optimistic, all parties should pay great attention and make timely adjustment. Suggestions are put forward for the sustainable and healthy development of titanium dioxide industry in the future, and call for explicit attention and active response to a new round of industrial policies introduced recently.
A new process for preparing Ti-Al alloys from low-valance titanium chlorides slurry by direct electrochemical reduction
Zhu Fuxing, Ma Zhanshan, Deng Bin, Mu Tianzhu, Qiu Kehui
2024, 45(1): 4-11. doi: 10.7513/j.issn.1004-7638.2024.01.002
Abstract(612) HTML (182) PDF(28)
Abstract:
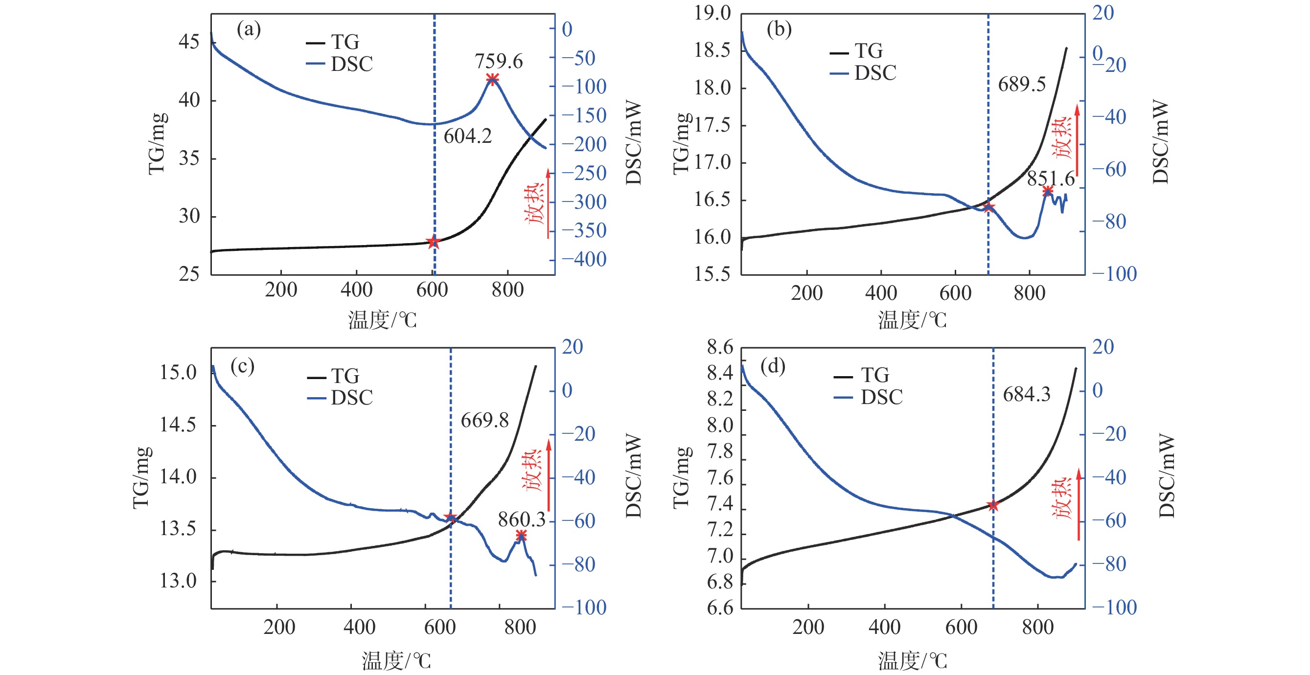
Owing to the lack of systematic research on electrochemical behaviors and unclear high-temperature oxidation resistance characteristics of Ti-Al alloys prepared from low-valence titanium chlorides slurry by the electrochemical reduction in molten salt, the electrochemical workstation and differential thermal gravimetric analyzer were used to study the electrochemical behavior of LTC slurry in the molten salt system and the high-temperature oxidation resistance characteristics of alloy products. The results show that LTC slurry can be directly electrochemically reduced to Ti-Al alloys, following a step-by-step reduction process: Ti3+→Ti2+, Al3+→Al, Ti3+/Al3+→Ti-Al alloys, and Ti2+→Ti. As the concentration of Ti3+ ions in molten salts increases, the composition of Ti-Al alloys changes as follows: Al/Al3Ti→Al3Ti2/Al5Ti2→AlTi/Al0.64Ti0.36→Al0.64Ti0.36/AlTi3→AlTi3→AlTi3/Ti→Ti. The variation law of product morphology is as follows: coarse dendrite→fine dendrite→fine spherical structure→coarse spherical aggregate→fine spherical aggregate→fine spherical porous structure→porous structure. With the increase of aluminum content and product density in Ti-Al alloys, the high-temperature oxidation resistance gradually enhances. After high-temperature melting, Al0.64Ti0.36/AlTi3 alloy shows α2 and γ phase structures with a higher Al content, and its high-temperature oxidation resistance is superior to commercial Ti48Al2Cr2Nb. The high-temperature oxidation process of Ti-Al alloys is as follows: Ti-Al alloys→titanium aluminate→rutile/alumina, and the formed oxide layer can effectively prevent further oxidation.
Research on preparation of nano sodium vanadium phosphate and its sodium storage properties
Zhang Dongbin, Yuan Xinran, Xin Yanan, Bi Xinqiang, Liu Tianhao, Han Huiguo, Du Guangchao, Teng Aijun
2024, 45(1): 12-18. doi: 10.7513/j.issn.1004-7638.2024.01.003
Abstract(1264) HTML (231) PDF(66)
Abstract:
Based on the severe preparation conditions, large particle size and poor conductivity, a new method to prepare sodium vanadium phosphate was proposed. By the formation of alkaline vanadium compounds, vanadium hydroxyloxide, and the in-situ anions exchange reactions between PO43–, F and OH, nano vanadium sodium phosphate was consequently obtained. With the help of XRD, SEM, FTIR, the formation mechanism of nano vanadium sodium phosphate was analyzed, and the synthesis conditions were optimized. The electrochemical test results show that the sodium vanadium phosphate in nanoscale improves the electron/ion transport capacity, and makes the prepared sodium vanadium phosphate show excellent sodium storage performances. When the current density is 10 mA/g, the specific discharge capacity is 106.68 mAh/g. At the same time, the specific discharge capacity of 80.85 mAh/g can be maintained after 20 charge and discharge cycles.
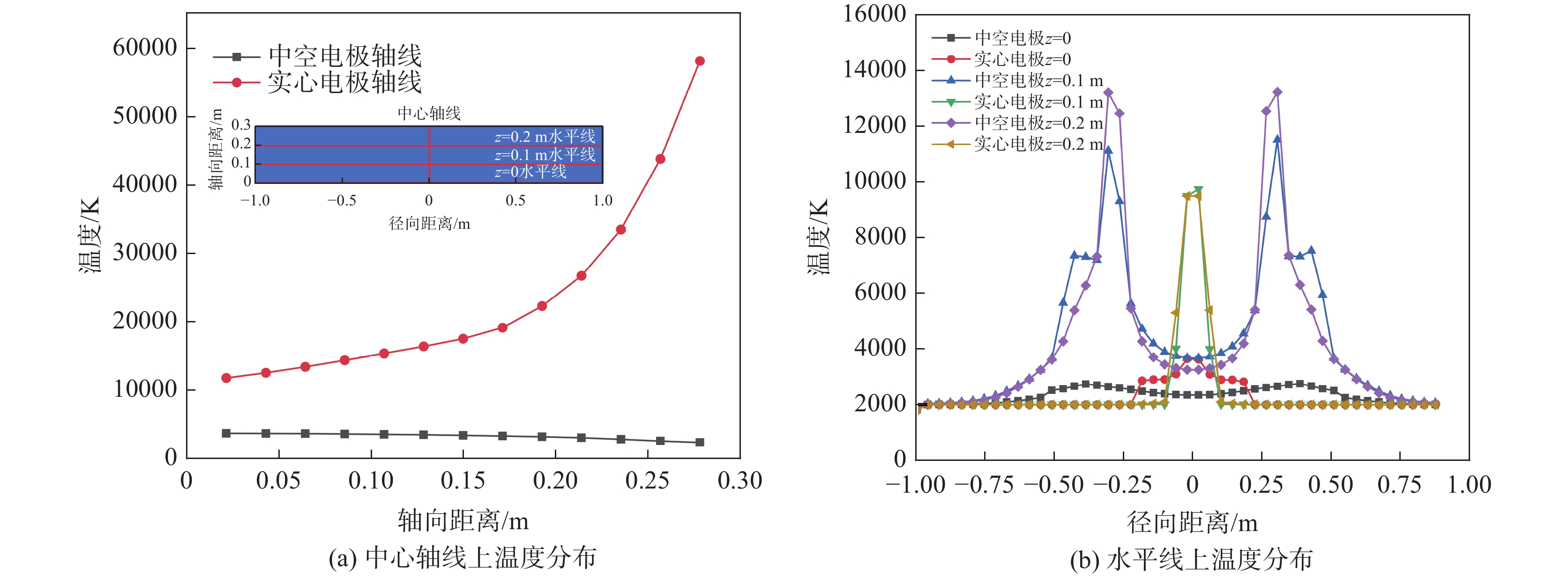
Comparative study on arc characteristics of hollow and solid electrode electric furnace melting titanium slag
Li Mengzhen, Li Baokuan, Yu Yang, Xiao Jun
2024, 45(1): 19-27. doi: 10.7513/j.issn.1004-7638.2024.01.004
Abstract(430) HTML (190) PDF(19)
Abstract:
In order to further explore the advantages of hollow electrode technology in titanium slag electric furnace smelting process, based on the actual electrode size of 25.5 MW titanium slag electric furnace, the mathematical models of hollow and solid electrode arc were established, and the distribution characteristics of electromagnetic field, temperature field and flow field of hollow and solid electrode arc were simulated. The effects of current magnitude and arc length on the surface temperature distribution of molten pool were studied. The results show that the larger values of current density, joule heating value, velocity, and temperature in the arc are located near the cathode spot. In the situation of hollow electrode, the area is below the centerline of the inner and outer diameters. And in the situation of solid electrode, the area is near the central axis. When using hollow electrode, the surrounding arc will converge towards the central axis, which is beneficial for improving the efficiency of arc heating materials. When the current value increases from 34 kA to 54 kA, the average surface temperature of the molten pool in both cases increases by 708 K and 109 K, respectively. When the arc length was reduced from 0.3 m to 0.1 m, the average surface temperature of the molten pool in both cases increased by 2500 K and 46 K, respectively. Compared to solid electrode, the hollow electrode is more suitable for using the operation mode of high current and short arc length, and the reasonable control of arc length has a more significant effect on improving the heating efficiency of hollow electrode arc.
Phase transformation and electrical resistivity of reduced ilmenite concentrate carbon-containing pellets
Wu Enhui, Xu Zhong, Li Jun, Hou Jing, Huang Ping, Zhang Shiju, Tang Rong, Luo Yuqin
2024, 45(1): 28-33. doi: 10.7513/j.issn.1004-7638.2024.01.005
Abstract(446) HTML (138) PDF(15)
Abstract:
Using the graphite powder as a reducing agent, the phase transformation and electrical resistivity of the reduced products during the reduction process of carbon-containing ilmenite concentrate pellets were studied. The XRD analysis results indicate that the reduction process of carbon-containing ilmenite concentrate pellets mainly undergoes two processes: the reduction of iron oxide and the reduction of titanium oxide. Increasing the reduction temperature, prolonging the reduction time, and increasing the graphite ratio are all beneficial in deepening the reduction degree of titanium oxide. With a reduction time of 60 min and a graphite ratio of 33.6%, the phase transformation process of the reduction products with increased reduction temperature from 900 ℃ to 1550 ℃ was as follows: FeTiO3→Fe+TiO2→Fe+TinO2n−1(n≈1,2,3,4)→Fe+TiC. The electrical resistivity test results of the reduction products show that the reduction temperature and graphite ratio have a significant impact on the electrical resistivity of the reduced products, while the reduction time has a small impact. Under the conditions of graphite ratio of 33.6%, reduction temperature of 1300 ℃, and reduction time of 45 min, the electrical resistivity of the reduced product was 2.67 × 10−2 Ω·cm.
Study on the effect of the particle size of hydrolysis seeds prepared by industrial titanyl sulfate solution
Lu Ruifang, Dong Lichun, Yang Fang, Sun Qiang, Wu Jianchun, Liu Chan
2024, 45(1): 34-39. doi: 10.7513/j.issn.1004-7638.2024.01.006
Abstract(572) HTML (168) PDF(34)
Abstract:
With industrial titanyl sulfate solution as raw material, the hydrolysis seeds were prepared by sodium hydroxide solution neutralization method, which is commonly used in titanium pigments production by sulfuric process. And under different raw material indexes and process parameters, the changes of the seeds particle size stability were also investigated. Then the seeds with different particle sizes were used for hydrolysis, and the correlation between particle size of seeds and that of metatitanic acid was studied. Furthermore, under the condition of fixed salt treatment, the influence on the particle size and reducing power of the subsequent rutile titanium white was studied. The results show that with the increase of TiO2 concentration, F value, Fe/TiO2 of titanyl sulfate solution and NaOH solution concentration, the particle size of seeds increases under the same stability. With the increase of the ratio of NaOH/TiO2, the preheating temperature of titanyl sulfate solution and NaOH solution, the particle size of seeds decreases under the same stability. With the increase of aging time, the stability of seeds decreases and the particle size of seeds increases. With the increase of seeds particle size, D50 and span of metatitanic acid obtained by hydrolysis gradually decreases, and the grain size of metatitanic acid slightly increases. The SEM average particle size and standard deviation of the corresponding rutile titanium white sample gradually decreases, while the Tcs and Scx of the sample increases.
Application of Vanadium and Titanium
Research progress of micro-arc oxidation technology of titanium alloys
Yang Hongpei, Wang Ping, Yang Shaolan, Wang Xiangjie
2024, 45(1): 40-48. doi: 10.7513/j.issn.1004-7638.2024.01.007
Abstract(978) HTML (948) PDF(100)
Abstract:
China has developed the largest titanium industry system at present in the world, focusing on deepening the application and service behavior of titanium and titanium alloys, and vigorously developing new surface treatment technologies to improve the life of materials. Among them, micro-arc oxidation is the most representative surface modification technology, which is environmentally friendly and implements the sustainable development strategy. Therefore, the research achievement of titanium and titanium alloys micro-arc oxidation technology at home and abroad are summarized. The technological principle of micro-arc oxidation is described, and the influence of electrolyte, electrical parameters and additives on titanium and titanium alloys micro-arc oxidation is expounds. The investigate progress of corrosion resistance, wear resistance and bonding strength of titanium alloys micro-arc oxidation ceramic films is also reviewed. Finally, the next research focus of titanium alloy micro-arc oxidation technology is prospected. It is necessary to accelerate the research and development of energy-saving power supply devices to realize batch production of workpieces, continue to strengthen the research on micro-arc oxidation mechanism and systematic design of process, and build a complete technology library.
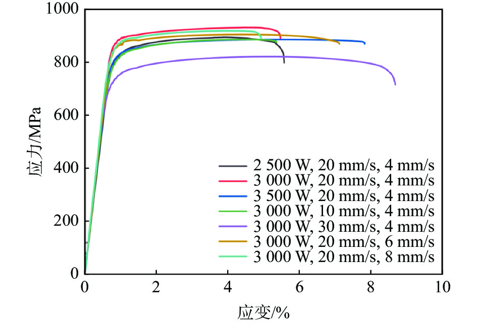
Forming process, microstructure, strength and toughness of Ti6Al4V alloy by laser wire-feed additive manufacturing
Zhang Dayue, Wu Xinze, Wang Yijia, Si Shanshan, Jiang Yuanbo, Li Binzhou, Jiang Fengchun
2024, 45(1): 49-56. doi: 10.7513/j.issn.1004-7638.2024.01.008
Abstract(878) HTML (187) PDF(35)
Abstract:
In this paper, single-pass multi-layer Ti6Al4V alloy specimens were prepared by laser wire-feed additive manufacturing technology. The effects of laser power, scanning speed and wire feeding speed on the microstructure, tensile properties and impact properties of Ti6Al4V alloy were systematically studied. The microstructure of single-pass multi-layer deposition samples is composed of martensite α', α bundle and basket-weave microstructure. The increase of laser power increases the β grain size and the decomposition degree of martensite α'. When the laser power increases from 3000 W to 3500 W, the tensile strength of the sample decreases by about 4%, the elongation increases by 50%, and the impact toughness increases by about 6%. With increasing wire feeding speed, the average size of the β grains of the sample increases. As the wire feeding speed increases from 10 mm/s to 30 mm/s, the tensile strength decreases by 2%, the elongation increases by 67%, and the impact toughness increases by 11%. When the scanning speed increases, the lack-of-fusion and residual martensite α' in the sample increases. Compared with the sample with a scanning speed of 4 mm/s, the elongation rate of the sample with a scanning speed of 6 mm/s increases by about 45%, the tensile strength decreases by 2%, and the impact toughness increases by 11%.
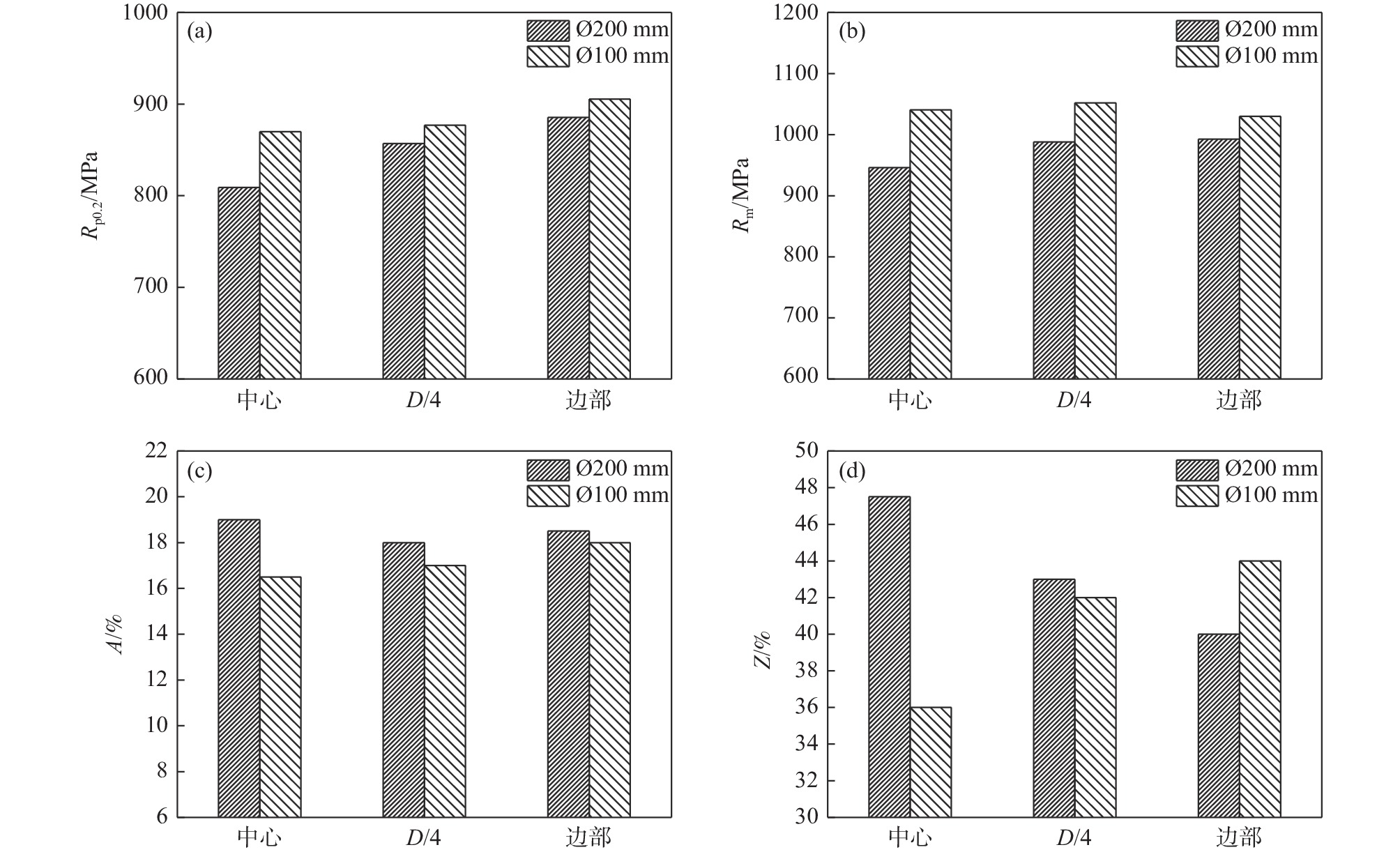
Studies on the influences of forging processes on the microstructures and properties of TA15 rods
Li Xiaoyu, Tang Min, Liu Xin, Xiao Qiang, Qin Haixu
2024, 45(1): 57-64. doi: 10.7513/j.issn.1004-7638.2024.01.009
Abstract(601) HTML (216) PDF(25)
Abstract:
TA15 rods with the diameter of 100 mm and 200 mm were produced by free forging and radial forging respectively. In this study, the effects on the microstructures and mechanical properties of TA15 rods were investigated. It is shown that there are dramatic differences in the microstructures at different positions of two rods. Deformation occurs in the center of the radial forged rods with a considerable amount of primary α phase in the microstructure, ascertained by the irregular and deformed appearance of the primary and secondary α phases. The content of α phase in two rods is lowered from the center to the edge, while the amount of β transformation phases increase. The phase morphology change in the free forged rod is negligible after annealing. However, a great quantity of blocky α phase and tiny recrystallized grains appear in the microstructure of radial forged rod after annealing. The tensile strength, area reduction and impact energy of the rod are increased by radial forging. The long and thin lamellar structures provide more interfaces of α/β phases, promoting fast diffusion at high temperature and leading to the results that the high-temperature properties of free forged rod are worse compared to that of the radial forged rod.
Simulation study on the effect of VAR magnetic stirring process on the melt flow
Huang Liqing, Fan Kai, Guo Jie, Li Chao, Li Junjie, Wang Jincheng
2024, 45(1): 65-70. doi: 10.7513/j.issn.1004-7638.2024.01.010
Abstract(1172) HTML (238) PDF(51)
Abstract:
The flow behavior of melt in vacuum consumable arc melting affects the solidification characteristics of ingots. Direct observation of the melt motion is difficult, so revealing the flow behavior of the melt by simulation is crucial. In this paper, a self-developed three-dimensional simulation model was used to study the melt flow behavior and pool morphology during the melting process under different stirring process parameters. The research shows that with an increase in the stirring current from 0.01 A to 25 A (under a stirring period of 8 s), the rotational speed of the melt increases near-linearly from 0.0001 m/s to 0.212 m/s, and the molten pool gradually widens (from V-shaped to U-shaped). In the meanwhile, there is an obvious process of first decreasing and then increasing in the maximum depth and volume of the molten pool. As the stirring period increases from 1 s to 24 s (under a stirring current of 5 A), the rotational speed of the melt gradually increases from 0.0125 m/s to a high value (0.0818 m/s at 16 s) and then tends to stabilize. The molten pool gradually widens, and the maximum depth of the molten pool gradually decreases to a minimum value and then tends to stabilize. The stirring current and stirring period can affect the rotation and planar motion of the melt, but their affecting mechanisms are different.
Adiabatic shear sensitivity performance of Ti-1023 alloys at different heat treatment regimes
Guo Wenjing, Zhang Jilin, Jia Haishen, Yi Xiangbin, Luo Wencui
2024, 45(1): 71-77. doi: 10.7513/j.issn.1004-7638.2024.01.011
Abstract(396) HTML (134) PDF(15)
Abstract:
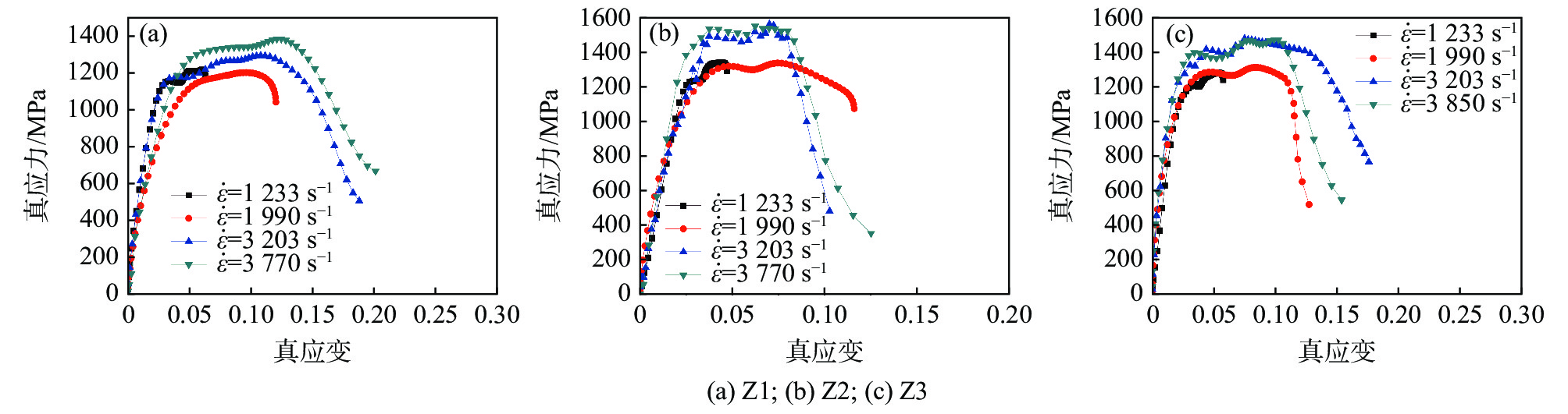
Using the Hopkinson pressure bar test system to conduct room temperature dynamic compression experiments for cylindrical samples, the formation characteristics of adiabatic shear bands and the microstructure of Ti-1023 titanium alloy under different heat treatment regimes were studied. The results show that the grain size of Ti-1023 alloy is increased by the solid solution treatment above the phase transition point. The fine acicular α phase precipitates at the β grain boundary. The solid solution aging below the phase transition point causes a large number of spherical α phases in the grains, and the grain size of the tissue grains with dual aging treatment is even smaller. Under the loading conditions of different strain rates, all different tissues show obvious strain rate enhancement and plasticizing effect, reflecting apparent characteristics of thermoplastic instability. The dynamic strength of the solid solution aging group above the phase transition point was the highest, but the plastic difference was the worst and being presented with the greatest adiabatic shear sensitivity. It is the most difficult to produce adiabatic shear in the solid solution single aging structures below the phase transition point, but the material strength is low. The solid solution dual aging tissue has higher dynamic strength and better plasticity than the solid solution single heavy aging tissue,which has the best resistance to impact bearing capacity.
Study of explosive composition to mechanical properties and interfacial structure of large-sized titanium-steel clad plates
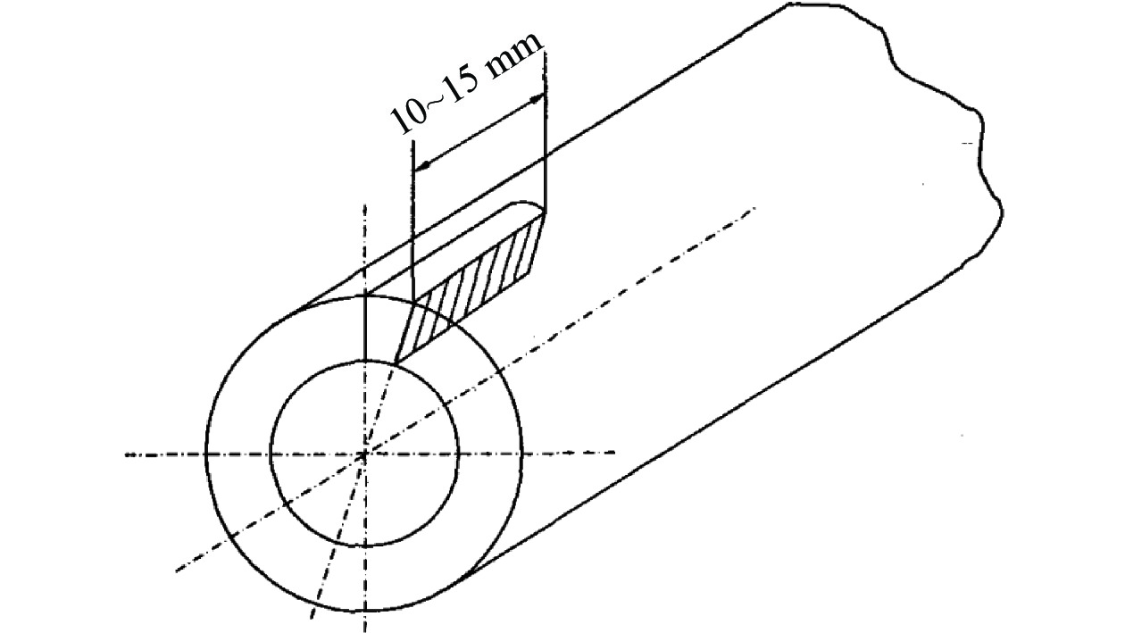
Yang Xueshan, Pang Lijuan, Deng Gang, Li Huirong, Zhang Xuefeng
2024, 45(1): 78-83. doi: 10.7513/j.issn.1004-7638.2024.01.012
Abstract(604) HTML (205) PDF(18)
Abstract:
In this paper TA2 plate of 3 mm × 3 m × 7 m and Q235 steel plate of 9 mm × 3.2 m × 7.2 m are used as the clad plate and the base plate, respectively, large-sized TA1-Q235 titanium-steel clad plates were prepared with four different components of explosives and the shear strength and interface bonding microstructure were studied. The results show that the detonation velocity, brisance and power of explosive increases with the growing content of emulsion explosive. The ultrasonic testing (UT) results show the interface bonding rate of titanium-steel clad prepared with No.4 explosive can reach 100%, exhibiting a maximum average shear strength of 278 MPa. For explosive-welded titanium-steel clad plates, the interfacial bonding with derivative thickness related to the power of explosive. High power of explosive leads to thinner interface bonding and the thinnest interface bonding is 1.1 μm. The formation of titanium-steel clad plates is due to mutual diffusion of titanium element and steel element. With the function of high temperature, intermetallic compounds such as β-Ti, TiFe and TiFe2 are easily formed.
Resources Environment and Energy Saving
Study on the occurrence state of substances in sublimation sulfur from the tail gas of acid hydrolysis of titanium concentrate
Li Ping, Quan Xuejun, Li Li, Wang Haibo, Chen Xinhong, Qi Xueqiang, Li Gang, Xiang Quanjin
2024, 45(1): 84-90. doi: 10.7513/j.issn.1004-7638.2024.01.013
Abstract(578) HTML (219) PDF(24)
Abstract:
At present, the manufacturers of titanium dioxide produced by sulfuric acid process titanium dioxide face the problem that sublimed sulfur in the acid hydrolysis tail gas clogs the pipeline, which affects the continuity of the production of titanium dioxide by this process. In this paper, XRD, SEM and EDS characterizations were used to study the structure, composition, distribution of main elements and occurrence of impurity elements in factory sublimed sulfur powder. The results show that the main component of sublimed sulfur powder is S8, in which the main impurity elements are O, Fe, Ti, Si, Ca, Mg, Al, Mn and V, and most of the titanium and iron are distributed in the ilmenite and Fe2TiO5 phase, and a small part of the iron is distributed in the silicate phase, in the form of Fe2SiO4. Calcium is distributed in calcium sulfate and silicate phases, and exists in the form of CaSiO3. Silicon mainly exists in the form of SiO2 and silicate. Magnesium is distributed in MgTiO3 and MgFeAlO4 phases. Aluminum exists in the form of MgFeAlO4. Manganese is distributed in ilmenite in the form of metal oxidation. The study of the occurrence state of sublimed sulfur in the exhaust gas of titanium dioxide acid-hydrolysis by sulfuric acid process can provide a basis for the study of condensation behavior of sublimed sulfur in the exhaust gas of post-sequence acid-hydrolysis.
Study on calcification reduction sodium removal of vanadium extraction tailings by coal-based rotary kiln method
Wang Zhaocai, Zheng Fuqiang, Liu Chen, Hu Bing, Shi Benjing
2024, 45(1): 91-95. doi: 10.7513/j.issn.1004-7638.2024.01.014
Abstract(407) HTML (161) PDF(24)
Abstract:
In view of the high sodium content in vanadium extraction tailings, which leads to the difficulty of returning to the sintering-blast furnace process for recycling, herein we proposed a calcification reduction sodium removal technology route for vanadium extraction tailings based on coal-based rotary kiln reduction, and conducted a semi-industrial test on a Ø1 m×10 m rotary kiln pilot line. The influence of reduction time in the high temperature section, white ash ratio, into the kiln ton-ball coke ratio and high temperature reduction time on vanadium extraction tailings sodium removal was mainly studied. At the same time, the performance of pellets after desalination and the situation of kiln formation in the rotary kiln were analyzed. Under the conditions of high temperature section temperature of 1100~1160 ℃, high temperature section time of 1.8~2 h, into the kiln ton-ball coke ratio of 800~1000 kg, white ash ratio of 32.5%~41%, the sodium removal rate of vanadium extraction tailings can reach more than 80%, and the coke consumption is 359 kg. The agglomeration in the kiln is mainly composed of vanadium extraction tailings pellet powder and coke ash powder. The agglomeration is loose and porous, consisting of fine particles which are sticky to each other. The agglomeration will fall off automatically during the kiln rotation process, without obvious kiln formation phenomenon.
Effect of alkali leaching and sludge strengthening on phosphorus removal of steel slag ceramics
Tang Jing, Luo Shengyuan
2024, 45(1): 96-103. doi: 10.7513/j.issn.1004-7638.2024.01.015
Abstract(403) HTML (165) PDF(11)
Abstract:
In order to improve the phosphorus removal effect of steel slag, alkali leaching pretreatment was used and residual sludge was added to strengthen the preparation of alkali leaching slag–montmorillonite–sludge composite steel slag ceramic particles. The phosphorus removal performance and mechanism of enhanced steel slag ceramic particles were discussed, and the removal of phosphorus-containing wastewater was investigated. The results showed that the maximum phosphorus removal rate of the two kinds of steel slag ceramics could reach 93%. When the phosphate concentration was 1 mg/L, the optimal dosage of alkali impregnation–sludge enhanced steel slag ceramics was 0.5 g, which was significantly lower than that of unstrengthened steel slag ceramics (1 g). Scanning electron microscopy (SEM) analysis showed that the pores of alkali impregnation-sludge enhanced steel slag ceramics were denser. X-ray diffraction (XRD) characterization showed that the two ceramics contained a variety of metal salts, which could be removed by reacting with phosphate ions in the water samples. The two kinds of ceramics have the highest fitting degree to Langmuir adsorption isothermal equation, and the maximum adsorption capacity of alkali impregnated sludge strengthened steel slag ceramics is higher than that of unstrengthened steel slag ceramics (Qmax: 39.18 > 19.18 mg). The fit degree of the two models is higher than that of the quasi-first order kinetic model, which indicates that the adsorption of phosphorus by the two kinds of ceramics belongs to monolayer adsorption and is mainly chemisorption.
Experimental and simulation on the granulation process of blast furnace slag
Shao Chen, Kang Yue, Xing Hongwei, Liu Chao, Lin Wenlong, Sun Ruijing, Zhou Jun
2024, 45(1): 104-114. doi: 10.7513/j.issn.1004-7638.2024.01.016
Abstract(798) HTML (219) PDF(32)
Abstract:
Emphasis was placed on the centrifugal granulation process and gas quenching granulation process during the dry granulation process. Due to the high-temperature transient process of granulation and crushing of blast furnace slag, it is difficult to monitor its specific change process solely through experimental means. Therefore, the development and application status of dry granulation process are studied from both experimental and numerical simulation perspectives. Through the summary and comparison of the two processes, the gas quenching granulation process has the advantages in good granulation effect and large slag handling capacity. From the perspective of industry development and industrial application, the gas quenching granulation process is the most promising dry granulation process in the future to match large blast furnace production processes.
Ferrous Metallurgy and Materials
Study on deterioration of physicochemical properties of tundish slag for high carbon steel during continuous casting process
Hu Hao, Wang Xianyang, Wu Chenhui, Shi Peng, Xie Xin, Zeng Jianhua, Long Mujun, Chen Dengfu
2024, 45(1): 115-121. doi: 10.7513/j.issn.1004-7638.2024.01.017
Abstract(581) HTML (159) PDF(27)
Abstract:
Well keeping physicochemical properties of tundish slag during continuous casting is of great significance to stabilize the cleanness of molten steel. In this study, the physicochemical properties of tundish slag for high carbon steel bloom in the process of continuous casting were tested and studied, and the high-temperature phase of molten slag was calculated by a Factsage software, and the evolution laws of its composition, melting point, viscosity and surface tension were analyzed. The results show that the physicochemical properties of slag in tundish pouring zone and impact zone show different changing evolution. With the increase of casting heats, the SiO2 and MgO contents of tundish slag in casting zone increase significantly. Due to the increase of high melting point components, the complete melting temperature rises from 1325 ℃ to more than 1500 ℃, the viscosity rises nearly 10 times, the surface tension rises from 0.4 N/m to 0.8 N/m, and the adsorption capacity of tundish slag to inclusions becomes poor. The change law of impact zone is opposite to that of pouring zone, and slag entrapment is easy to occur in the impact zone.
Precipitation behavior of composite precipitates in Nb-Ti micro-alloy EH36 offshore steel
Qiao Jialong, Guo Feihu, Shi Pengzhao, Cao Ruihong, Xiong Chenguang, Xu Lijun
2024, 45(1): 122-130. doi: 10.7513/j.issn.1004-7638.2024.01.018
Abstract(491) HTML (219) PDF(15)
Abstract:
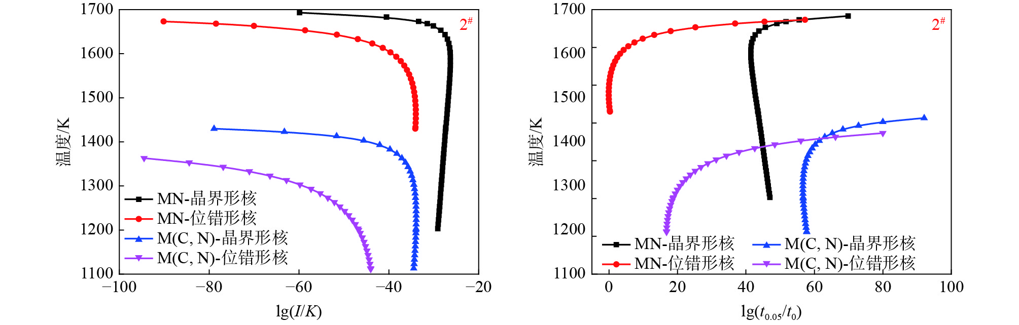
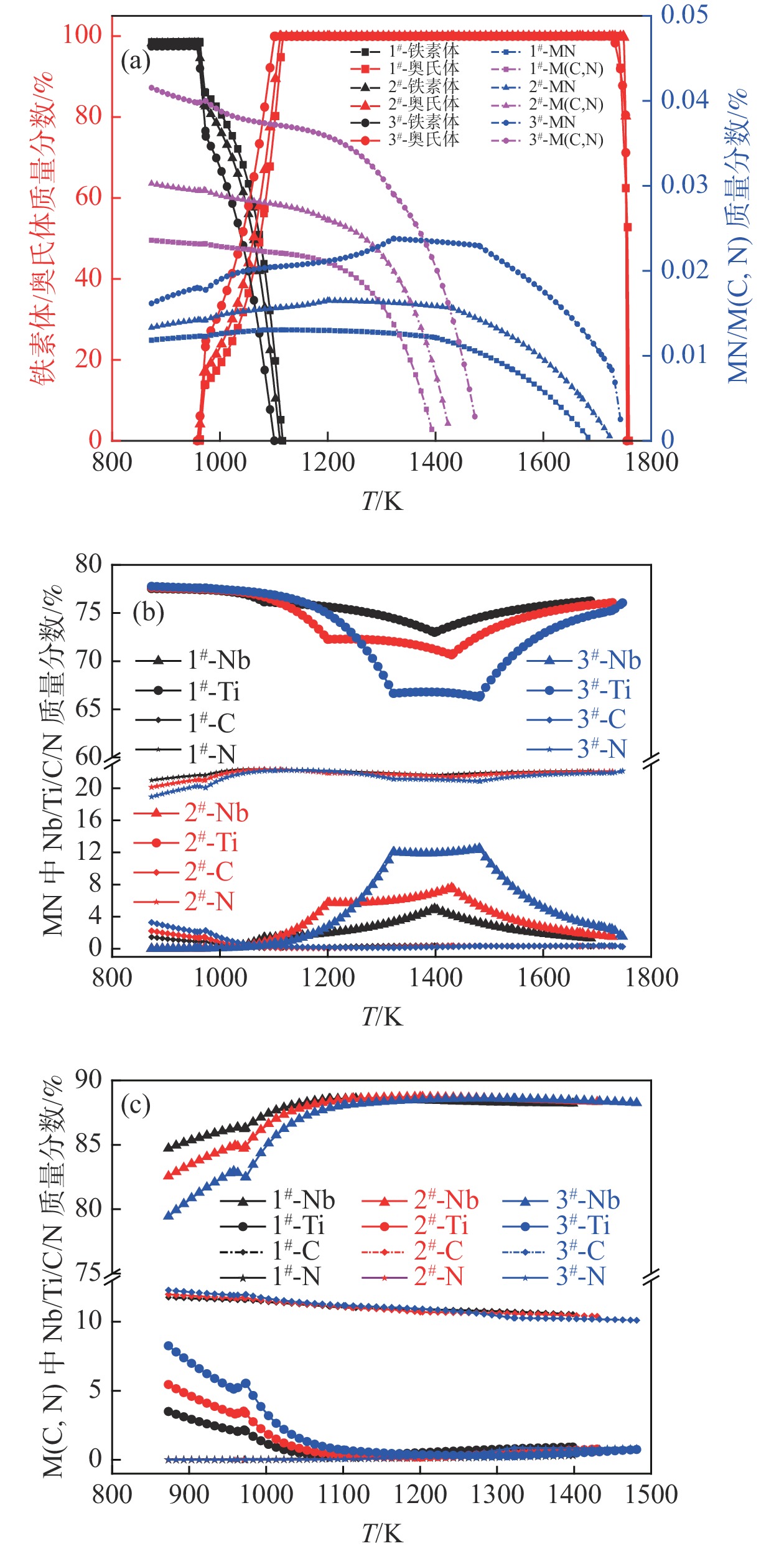
Based on the principal component regression analysis of the factors affecting the yield strength of EH36 offshore steel, combined with the solid solution precipitation calculation of composite precipitation phase and the classical precipitation kinetics theory, the main factors affecting the yield strength of EH36 offshore steel and the precipitation behavior of composite precipitation phase in γ were systematically studied, and the influence of austenite deformation and energy storage during rolling on the precipitation kinetics of composite precipitation phase was discussed. The results show that the main factors affecting the yield strength of EH36 offshore steel are Ti, Nb and N. MN and M(C,N) began to precipitate at 1728.5 K and 1430.0 K, respectively, and were mainly (Ti,Nb)N and (Nb,Ti)C. In the austenite phase region, the maximum precipitation amounts of MN and M(C,N) are 0.0165% and 0.0277% respectively, and the maximum precipitation volume fractions are 0.000228% and 0.000389% respectively. The fastest precipitation temperatures for grain boundary nucleation are 1580.3 K and 1228.3 K respectively. With the increase of deformation energy storage, the relative nucleation rate of MN and M(C,N) increases, the incubation period of precipitation is obviously shortened and the precipitation strengthening effect is enhanced.
Effect of La on non-metallic inclusions in FeCrAl alloy
Wen Jiahang, Qi Jie, Liu Chengjun
2024, 45(1): 131-138. doi: 10.7513/j.issn.1004-7638.2024.01.019
Abstract(339) HTML (158) PDF(14)
Abstract:
In order to study the influence of rare earth La addition on the type and distribution of inclusions in FeCrAl alloys, based on thermodynamic analysis, the three-dimensional morphology and composition of inclusions were observed and analyzed by SEM-EDS, and the size and quantity of inclusions were statistically analyzed. The results show that single Al2O3 only inclusion exists in FeCrAl alloy at 1600 ℃. During the solidification process, with the increase of the solid fraction in the system, AlN precipitates at the solidification front. After adding 0.0093% La, Al2O3 transforms into LaAlO3. When the addition amount of La is 0.0378%, the type of inclusions is LaAlO3+La2O2S, and the number of inclusions increases significantly. As holding time prolongs, the proportion of La2O2S gradually increases. When the addition amount of La is 0.0964%, the proportion of La2O2S is further increased. After 60 min of heat preservation, single La2O2S only inclusion exists stably in the steel. The particle size of the inclusions is significantly affected by the aggregation properties of the inclusions. In the samples containing single LaAlO3 only at 1600 ℃ for 60 min, LaAlO3 shows a strong tendency to aggregate in the early stage of the incubation, and average particle size of the inclusions firstly increases from 2.34 μm to 3.31 μm, and then decreases to 1.93 μm. The tendency of La2O2S to aggregate is weak. In the samples containing La2O2S, average particle size of inclusions is small and uniform, in the early stage of heat preservation, average particle size of inclusions remains in the range of 1.8−2.0 μm.
Effect of heating temperature on the mechanical properties and microstructures of X80M pipeline steels
Xu Haijian, Han Chufei, Guo Cheng, Long Shan, Tian Yongjiu, Sha Xiaochun
2024, 45(1): 139-144. doi: 10.7513/j.issn.1004-7638.2024.01.020
Abstract(386) HTML (248) PDF(24)
Abstract:
The effects of heating temperatures on the prior austenite grain size, microstructure and mechanical properties of X80M pipeline steels with a large wall thickness were investigated in this paper. The results showed that the heating temperature has a great effect on the drop weight tear test (DWTT) properties of X80M pipeline steels. The austenite grains continued to coarsen with enhancing the heating temperatures. The average austenite grain size was within 35 μm by controlling the heating temperature below 1210 ℃. The finer prior austenite grains provide more nucleation sites of acicular ferrite (AF) and granular bainite (GB), and improve the low temperature toughness of steel plates during the subsequent rolling and cooling processes. Moreover, the higher solution degree of alloy elements in the casting blank promotes the formation of finer NbC precipitates with the sizes less than 20 nm by increasing heating temperature. It also leads to the grain coarsening and the decrease of AF and GB proportions in the microstructure. Therefore, the DWTT properties of X80M pipeline steels with the large wall thickness can obviously be improved by controlling the heating temperatures below 1210 ℃ and ensuring the acicular ferrite (AF) and granular bainite (GB) phase contents more than 60%.
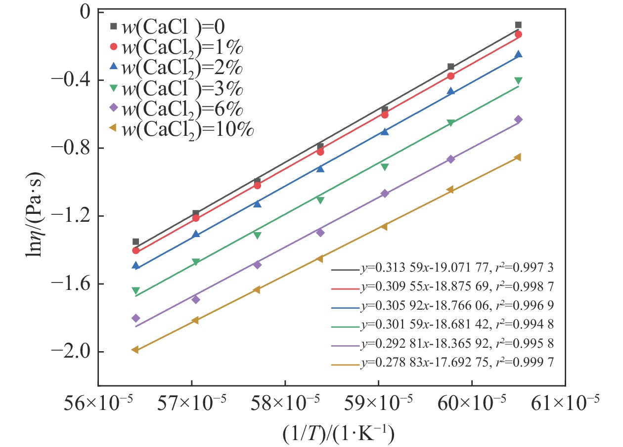
Study on viscous flow characteristics of CaO-SiO2- MgO-Al2O3-TiO2-CaCl2 slag system
Qiao Junqiang, Wang Zhenfei, Pan Yuejun, Xing Xiangdong, Zhang Jianliang, Xu Runsheng
2024, 45(1): 145-151. doi: 10.7513/j.issn.1004-7638.2024.01.021
Abstract(376) HTML (126) PDF(15)
Abstract:
The viscous flow characteristics of slag are closely related to the stability of the blast furnace. In this paper, the viscosity and melting temperature of chlorine-containing high-titanium slag (CaO-SiO2-MgO-Al2O3-TiO2-CaCl2) were studied, and their structural evolution was analyzed by Fourier transform infrared spectroscopy (FTIR) and Raman spectroscopy. The results show that the addition of chlorine element can reduce the viscosity of the slag and simplify the structure of the slag. Due to the easy evaporation of chlorine element at high temperature, the chlorine content decreased slightly during the viscosity test. The variation trend of viscous flow activation energy is similar to that of viscosity. The [SiO4] tetrahedral structure and Ti-O-Ti/Si bonds are also broken. The relative area fractions of the Q2 and Q3 units decreased and the relative area fractions of the Q0 and Q1 units increased, resulting in a decrease in the degree of slag polymerization.
Study on the high-temperteraure tensile property and damage behavior in GH4141 superalloy
Zhang Zhao, Pei Binghong, Feng Xu, Xin Ruishan, Guo Xiaodong, Xiao Dongping, Zhou Yang
2024, 45(1): 152-157. doi: 10.7513/j.issn.1004-7638.2024.01.022
Abstract(466) HTML (142) PDF(25)
Abstract:
This study focuses on the tensile properties of GH4141 superalloy tested at room temperature, 300 ℃ and 500 ℃, respectively. The tensile strength obtained at high temperatures of 300 ℃ and 500 ℃ with serrated stress-strain curves are lower than that obtained at room temperature. In addition, the tensile strength tested at 500 ℃ is comparable to the value achieved at 300 ℃. The microstructure near the fracture surface of the superalloy is characterized. It is showed that cracks are formed at the grain boundary, irrespective of the observation of MC type carbides. The carbide composed of M6C and M23C6 with chain morphology endows grain boundary with a good plasticity which is reflected by numerous dimples in the fractographs. The initiation of cracks within the grains is associated with formation of slip bands. The activation of slip band can be delayed by dislocation pinning effect related to the interstitial elements, substituted elements and the γ′ strengthening precipitate phase. It should be noted that recrystallization occurred during tensile testing at 500 ℃ with a few carbides observed in the vicinity of fracture surface, while the intergranular fracture phenomenon was attenuated. However, the fractography of specimens tested at 300 ℃ exhibit both intergranular and transgranular fracture without recrystallization.
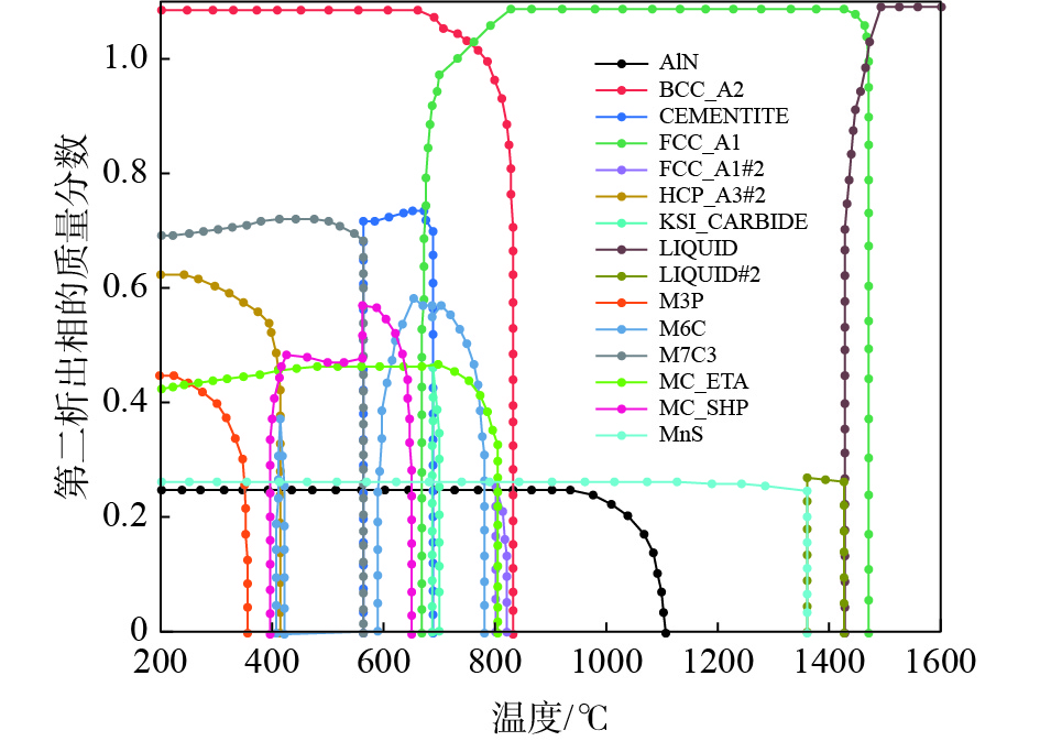
Thermodynamic behaviour of second phases precipitation in vanadium-bearing high-speed steel for railway wheel
Ding Xiaoming, Li Feng, Guo Xiaopei, Li Tao, Ju Liying, Song Xiaohui
2024, 45(1): 158-164. doi: 10.7513/j.issn.1004-7638.2024.01.023
Abstract(464) HTML (188) PDF(18)
Abstract:
A thermodynamic Thermo-calc software was used to calculate the precipitation behavior of second phase in vanadium-bearing high-speed railway wheel steel. The composition of equilibrium phase in low-carbon wheel steel and the influence of temperature and vanadium content on the precipitation of the second phase were analyzed in detail. The results show that variation of vanadium content in steel has a great influence on the second phase precipitation in wheel steel, and almost no effect has been observed on the precipitated temperature of the second phase. The temperature variation has small effect on the stable second phase precipitated products in steel, but has great effect on the transient precipitated phase.
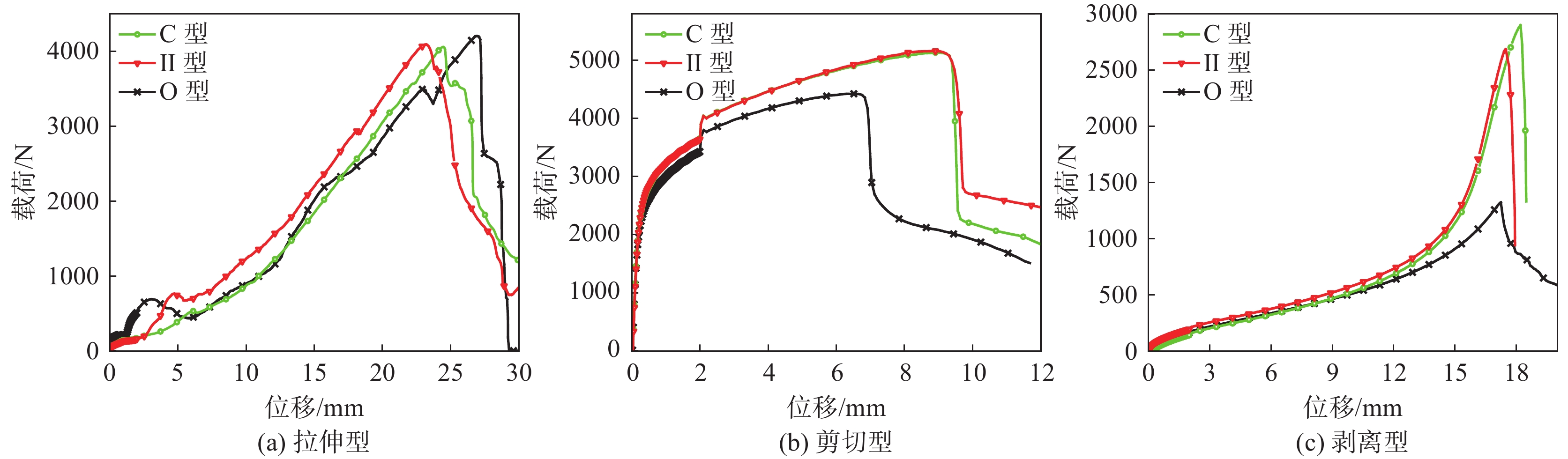
Numerical simulation study on the mechanical properties and failure of laser spot welding joint
Zheng Bangzhi, Tian Xiaolin, Wang Zelong, Feng Zhaolong
2024, 45(1): 165-170. doi: 10.7513/j.issn.1004-7638.2024.01.024
Abstract(359) HTML (299) PDF(29)
Abstract:
The static and dynamic mechanical properties of three kinds of laser welded joints under tensile, shearing and peeling conditions were tested, and the microstructure characteristics and hardness distribution of the spot welded joints were analyzed. The results show that the shape of solder joints is closely related to their mechanical properties, and the overall properties of C-type solder joints are better. The strength of solder joints is plastically strengthened by the increase in loading rate, and the greater the loading rate, the more obvious the plastic strengthening is. The overall distribution of welding seam is uniform and excessively smooth, while the hardness of fusion zone and heat affected zone is high. Based on the LS-DYNA failure criterion, the numerical simulation method of laser spot welding joint failure is studied, and the effectiveness of equivalent core diameter used to simulate laser spot welding failure is clarified.
Study on rolling wear and rolling contact fatigue behavior of pearlite/bainite rail steels at the low temperature of −35
Wang Honghao, Ding Haohao, Wang Yuan, Chen Chongmu, Wang Wenjian, Zhou Zhongrong
2024, 45(1): 171-176. doi: 10.7513/j.issn.1004-7638.2024.01.025
Abstract(512) HTML (212) PDF(43)
Abstract:
The rail in the high altitude and high latitude regions faces the low temperature service environment. The rolling wear and damage behaviors under low temperature are the significant factors influencing the rail service safety. The wear and rolling contact fatigue (RCF) damage laws of pearlite rail steels (hypoeutectoid and eutectoid) and bainite rail steel were explored at the low temperature of −35℃ using wheel/rail rolling contact simulation experiments. The results showed that the hardening degree of bainite rail was lower at −35℃, and the wear degree was higher than those of pearlite rails. The wear degree of hypoeutectoid rail steel was lower than that of eutectoid rail steel. Different RCF damage levels occurred on the explored three kinds of rail steels. Cracks mainly propagated with small angles (< 10°). There was a competitive relationship between the wear and RCF. The RCF damage of hypoeutectoid rail steel with less wear was serious, followed by eutectoid rail, and the RCF damage of bainite rail steel with the most severe wear was the mildest.
Corrosion behavior of HRB500aE seismic corrosion resistant reinforcement in sodium sulfite solution
Zhang Zhigang, Liu Yong, Wang Jiaojiao, Zhang Hongqi
2024, 45(1): 177-181. doi: 10.7513/j.issn.1004-7638.2024.01.026
Abstract(355) HTML (137) PDF(12)
Abstract:
In the alternate wet and dry environment of sodium sulfite solution, periodic corrosion tests were carried out for both the newly developed anti-seismic rebar resistant to industrial atmospheric corrosion and reference HRB400 ordinary rebar, in order to investigate its corrosion behavior in the simulated industrial atmospheric environment. Scanning electron microscopy (SEM), energy dispersive spectroscopy (EDS) and X-ray diffraction (XRD) were used to analyze surface morphology and structure of corrosion resistant steel bars at different stages of corrosion time. The experimental results showed that after 72 hours of corrosion, the developed steel under test formed a dense α-FeOOH structure with internal rust layer, and its corrosion resistance and mechanical properties were significantly better than ordinary steel bars. The additions of Cr, Ni and Cu greatly reduce the corrosion sensitivity of HRB500aE matrix, and with corrosion time prolongs in sodium sulfite environment, the corrosion sensitivity is basically stable. The rust layer of HRB500aE is a double-layer structure, and Cu and Ni are enriched in the inner rust layer, which helps to form a dense inner rust layer.
Effect of micro-content tellurium on cutting performance of 38MnVS non-quenched and tempered steel
Liu Nianfu, Li Jie, Tian Qianren, Xu Xiangyu, Fu Jianxun
2024, 45(1): 182-187. doi: 10.7513/j.issn.1004-7638.2024.01.027
Abstract(436) HTML (221) PDF(13)
Abstract:
In order to explore the mechanism of effect of tellurium modification on the machinability of non-quenched and tempered steel (NQTS), a sulfide modification test of 38MnVS NQTS with tellurium was carried out, and effect of tellurium modification on morphology of sulfide and machinability of steel was compared. The results show that with tellurium addition, the morphology of sulfide in steel is significantly improved, and the aspect ratio of sulfide decreases. Due to the improvement of sulfide morphology after tellurium modification, the cutting force during cutting process is reduced, therefore tool wear is reduced and the generation of chip buildup is prevented as well. Consequently, the workpiece surface roughness is improved, thus improving the cutting performance of NQTS.
Evenness of solidification structure and solute distribution in the continuous casting billet of gear steel
Wang Haijie, Li Pingfan, Lan Peng, Chen Liang, Ai Hongzhou, Wang Zhangyin, Zhang Jiaquan
2024, 45(1): 188-196. doi: 10.7513/j.issn.1004-7638.2024.01.028
Abstract(397) HTML (121) PDF(13)
Abstract:
The evenness of solidification structure and solute distribution in the continuous casting billet of 20CrMnTi gear steel was experimentally investigated, and the symbiotic relationship and formation mechanism of coarse equiaxed dendrites and spot segregation were proposed. The control strategy on the homogeneity of continuous casting bloom for gear steel was developed. The results indicate that the solidification structure of the bloom is closely affected by superheat during casting. As the superheat increases, the ratio of equiaxed area decreases, the sizes of the equiaxed dendrites reduce, and the alignment of center equiaxed zone worsens. The central segregation and solute distribution evenness are related to solidification structure. The central segregation ratio decreases with the increase in equiaxed ratio, while the solute fluctuation range increases. In addition, the spot segregation is also relevant to the solidification structure. The number of large size spot segregation increases, and the concentration of Cr and Mn in the spot segregation increases, as the equiaxed ratio increases. In order to improve the evenness of microstructure and composition in gear steel, the target solidification structure of continuous casting bloom should possess low equiaxed ratio, small and uniform equiaxed dendrites, and good alignment of equiaxed zones.
Analysis of standard GB/T 10561-2023: Determination of content of nonmetallic inclusions in steel-micrographic method using standard diagrams
Zhang Zhenwei, Ma Yuchen, You Yanglijun, Wang Ruolan, Chen Min, Zhao Jie, Jiang Rui, Li Yulei
2024, 45(1): 197-204. doi: 10.7513/j.issn.1004-7638.2024.01.029
Abstract(1965) HTML (2321) PDF(395)
Abstract:
The inspection standard for non-metallic inclusions (GB/T 10561-2023) has been revised. In order to more precisely implement the revised standard, in this paper, we provide a detailed analysis on the revised contents of the new standard GB/T 10561-2023 “Determination of Non-metallic Inclusion Content in Steel by Micrographic Method Using Standard Diagrams,” including the terminology definitions, principles, determination methods, results representations, calculation formulas, and rating maps. The major revisions of the new standard are summarized as follows: the terms and definitions section is added; the definition and characterization of inclusions are revised; requirements to evaluate the precipitated phases is required and the methods for describing their chemical characteristics are amended; the level of non-metallic inclusions is subdivided into 10 levels; the sampling requirements clarified, the sampling and schematic diagram for steel pipes modified, and the least size of inclusions for evaluation is clarified. The determination method was modified, and the scanning mode of the microscope B method was given. In terms of results presentations, the unclear classification of inclusion types and series boundaries was revised. The new standard has changed the calculation formula for inclusion measurement values and inclusion levels, and redrawn the standard rating diagram. Compared to the GB/T 10561-2005 version, the newly released GB/T 10561-2023 standard is more complete.