Volume 43 Issue 2
May  2022
Turn off MathJax
Article Contents
Liang Yuanchang, Chang Le, Zhou Changyu. Anisotropy of tensile and low cycle fatigue properties of commercial pure titanium TA2[J]. IRON STEEL VANADIUM TITANIUM, 2022, 43(2): 41-47. doi: 10.7513/j.issn.1004-7638.2022.02.007
Citation: Liang Yuanchang, Chang Le, Zhou Changyu. Anisotropy of tensile and low cycle fatigue properties of commercial pure titanium TA2[J]. IRON STEEL VANADIUM TITANIUM, 2022, 43(2): 41-47. doi: 10.7513/j.issn.1004-7638.2022.02.007

Anisotropy of tensile and low cycle fatigue properties of commercial pure titanium TA2

doi: 10.7513/j.issn.1004-7638.2022.02.007
More Information
  • Received Date: 2022-01-21
    Available Online: 2022-04-28
  • Publish Date: 2022-04-28
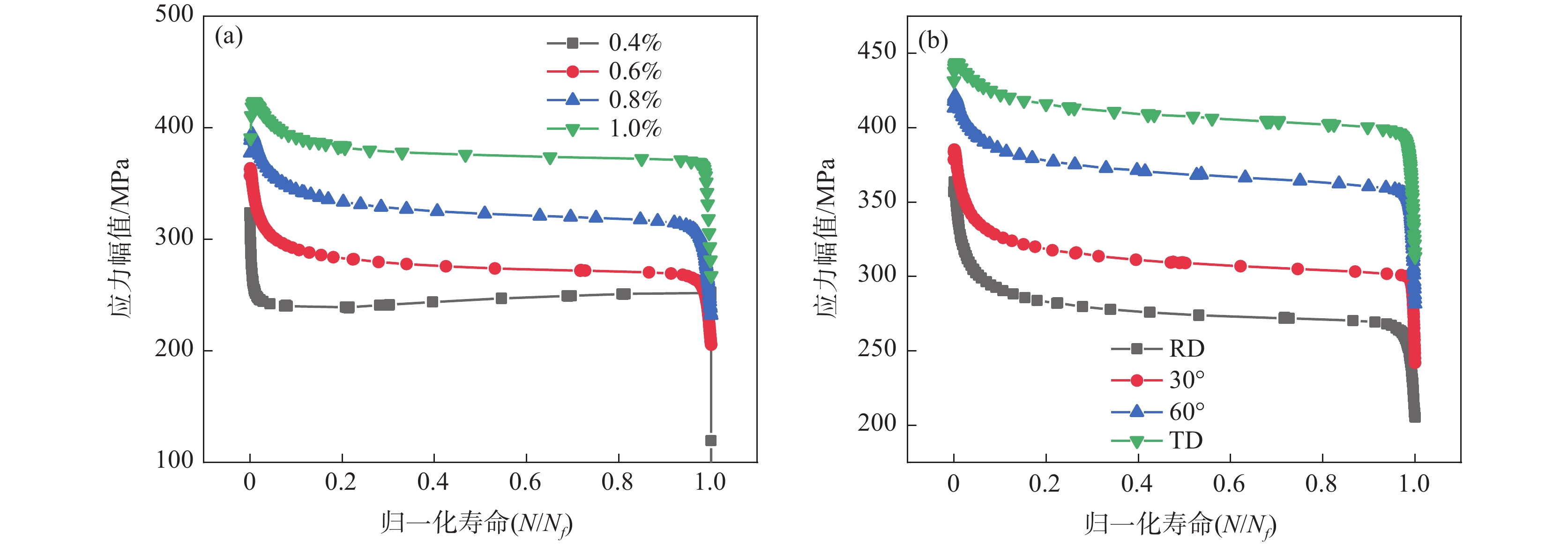
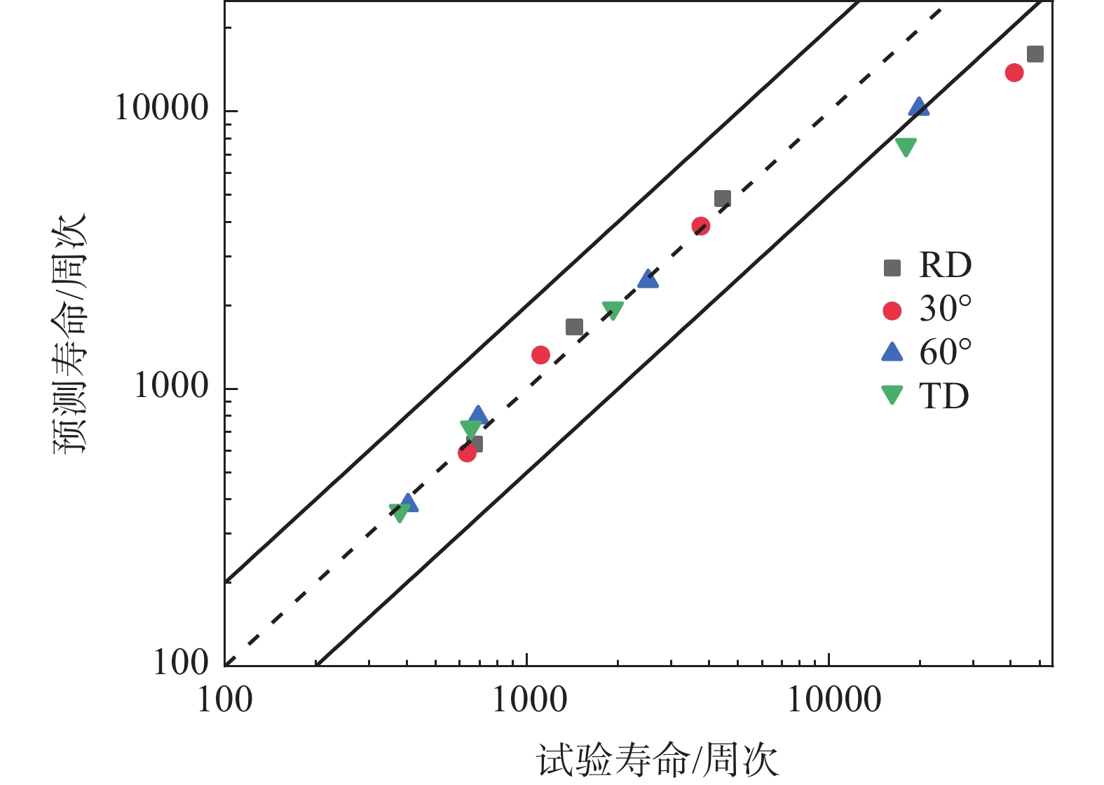
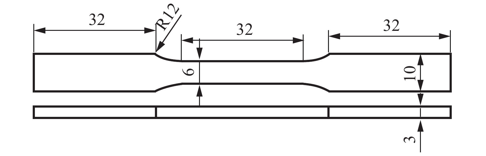
  • To systematically study the anisotropy of tensile and low cycle fatigue properties of commercial pure titanium, tensile and low cycle fatigue tests at room temperature were carried out along the rolling direction (RD), 30° to RD (RD-30°), 60° to RD (RD-60°) and transverse direction (TD). With the increase of sample angle, the yield strength and yield ratio increase, and the plasticity of the material decreases. The Hollomon model and Johnson-Cook model were used to predict the true stress-strain curve of commercial pure titanium, and it was found that the Hollomon model has higher prediction accuracy. Low cycle fatigue test results find that all samples show cyclic softening feature. The cyclic stress amplitude increases with the increase of sample angle, and the total strain energy density increases, resulting in a decreasing trend of fatigue life. The low cycle fatigue life of specimens with different orientations satisfies Manson- Coffin empirical relation.
  • loading
  • [1]
    Chang Hui, Zhou Lian, Wang Xiangdong. Development and future of Chinese titanium industry and technology[J]. Journal of Aeronautical Materials, 2014,34(4):39. (常辉, 周廉, 王向东. 我国钛工业技术进展及展望[J]. 航空材料学报, 2014,34(4):39.
    [2]
    Jia Hong, Lu Fusheng, Hao Bin. Report on China titanium industry in 2020[J]. Iron Steel Vanadium Titanium, 2021,42(3):1−9. (贾翃, 逯福生, 郝斌. 2020年中国钛工业发展报告[J]. 钢铁钒钛, 2021,42(3):1−9. doi: 10.7513/j.issn.1004-7638.2021.03.001
    [3]
    Peng L, Hao Y, Zhang B, et al. Tension-compression asymmetry in yielding and strain hardening behavior of CP-Ti at room temperature[J]. Materials Science and Engineering:A, 2017,707:172−180. doi: 10.1016/j.msea.2017.09.042
    [4]
    Roth A, Lebyodkin M A, Lebedkina T A, et al. Mechanisms of anisotropy of mechanical properties of α-titanium in tension conditions[J]. Materials Science & Engineering A, 2014,596:236−243.
    [5]
    Takao K, Kusukawa K. Low-cycle fatigue behavior of commercially pure titanium[J]. Materials Science & Engineering A, 1996,213(1-2):81−85.
    [6]
    Ishihara S, Taneguchi S, Shibata H, et al. Anisotropy of the fatigue behavior of extruded and rolled magnesium alloys[J]. International Journal of Fatigue, 2013,50:94−100. doi: 10.1016/j.ijfatigue.2012.02.011
    [7]
    Mao P, Liu Z, Wang C. Texture effect on high strain rates tension and compression deformation behavior of extruded AM30 alloy[J]. Materials Science & Engineering A, 2012,539:13−21.
    [8]
    刘定凯. 工业纯钛板材的成形性能及各向异性研究[D]. 重庆: 重庆大学, 2016.

    Liu Dingkai. The study of formability and anisotropy in commercially pure titanium sheet[D]. Chongqing: Chongqing University, 2016.
    [9]
    Tian Chenchao, Jiao Lei, Zhang Juan, et al. Anisotropy of plastic deformation of pure titanium sheet during tensile test at room temperature[J]. Welded Pipe and Tupe, 2018,41(10):18−21. (田晨超, 焦磊, 张娟, 等. 纯钛板材室温拉伸塑性变形的各向异性[J]. 焊管, 2018,41(10):18−21.
    [10]
    Chang L, Ma T H, Zhou B B, et al. Comprehensive investigation of fatigue behavior and a new strain-life model for CP-Ti under different loading conditions[J]. International Journal of Fatigue, 2019,129:105220. doi: 10.1016/j.ijfatigue.2019.105220
    [11]
    Chang L, Zhou B B, Ma T H, et al. The difference in low cycle fatigue behavior of CP-Ti under fully reversed strain and stress-controlled modes along rolling direction[J]. Materials Science & Engineering A, 2019,742:211−223.
    [12]
    Neeraj T, Hou D H, Daehn G S, et al. Phenomenological and microstructural analysis of room temperature creep in titanium alloys[J]. Acta Materialia, 2000,48(6):1225−1238. doi: 10.1016/S1359-6454(99)00426-7
    [13]
    Johnson G R, Cook W H. Fracture characteristics of three metals subjected to various strains, strain rates, temperatures and pressures[J]. Engineering Fracture Mechanics, 1985,21(1):31−48. doi: 10.1016/0013-7944(85)90052-9
    [14]
    Becker H, Pantleon W. Work-hardening stages and deformation mechanism maps during tensile deformation of commercially pure titanium[J]. Computational Materials Science, 2013,76:52−59. doi: 10.1016/j.commatsci.2013.03.028
    [15]
    Lv F, Yang F, Duan Q Q, et al. Tensile and low-cycle fatigue properties of Mg–2.8% Al–1.1% Zn–0.4% Mn alloy along the transverse and rolling directions[J]. Scripta Materialia, 2009,61(9):887−890. doi: 10.1016/j.scriptamat.2009.07.023
    [16]
    Lin Y C, Chen X M, Liu Z H, et al. Investigation of uniaxial low-cycle fatigue failure behavior of hot-rolled AZ91 magnesium alloy[J]. International Journal of Fatigue, 2012,48:122−132.
  • 加载中

Catalog

    通讯作者: 陈斌, bchen63@163.com
    • 1. 

      沈阳化工大学材料科学与工程学院 沈阳 110142

    1. 本站搜索
    2. 百度学术搜索
    3. 万方数据库搜索
    4. CNKI搜索

    Figures(11)  / Tables(2)

    Article Metrics

    Article views (900) PDF downloads(84) Cited by()
    Proportional views
    Related

    /

    DownLoad:  Full-Size Img  PowerPoint
    Return
    Return