Volume 43 Issue 2
May  2022
Turn off MathJax
Article Contents
Yan Hua, Liu Huajun, Chen Buxin, Hu Meilong. Effect of TiO2 on physicochemical properties and structure of high-alumina blast furnace slag[J]. IRON STEEL VANADIUM TITANIUM, 2022, 43(2): 118-124. doi: 10.7513/j.issn.1004-7638.2022.02.018
Citation: Yan Hua, Liu Huajun, Chen Buxin, Hu Meilong. Effect of TiO2 on physicochemical properties and structure of high-alumina blast furnace slag[J]. IRON STEEL VANADIUM TITANIUM, 2022, 43(2): 118-124. doi: 10.7513/j.issn.1004-7638.2022.02.018

Effect of TiO2 on physicochemical properties and structure of high-alumina blast furnace slag

doi: 10.7513/j.issn.1004-7638.2022.02.018
More Information
  • Received Date: 2021-12-18
    Available Online: 2022-04-28
  • Publish Date: 2022-04-28
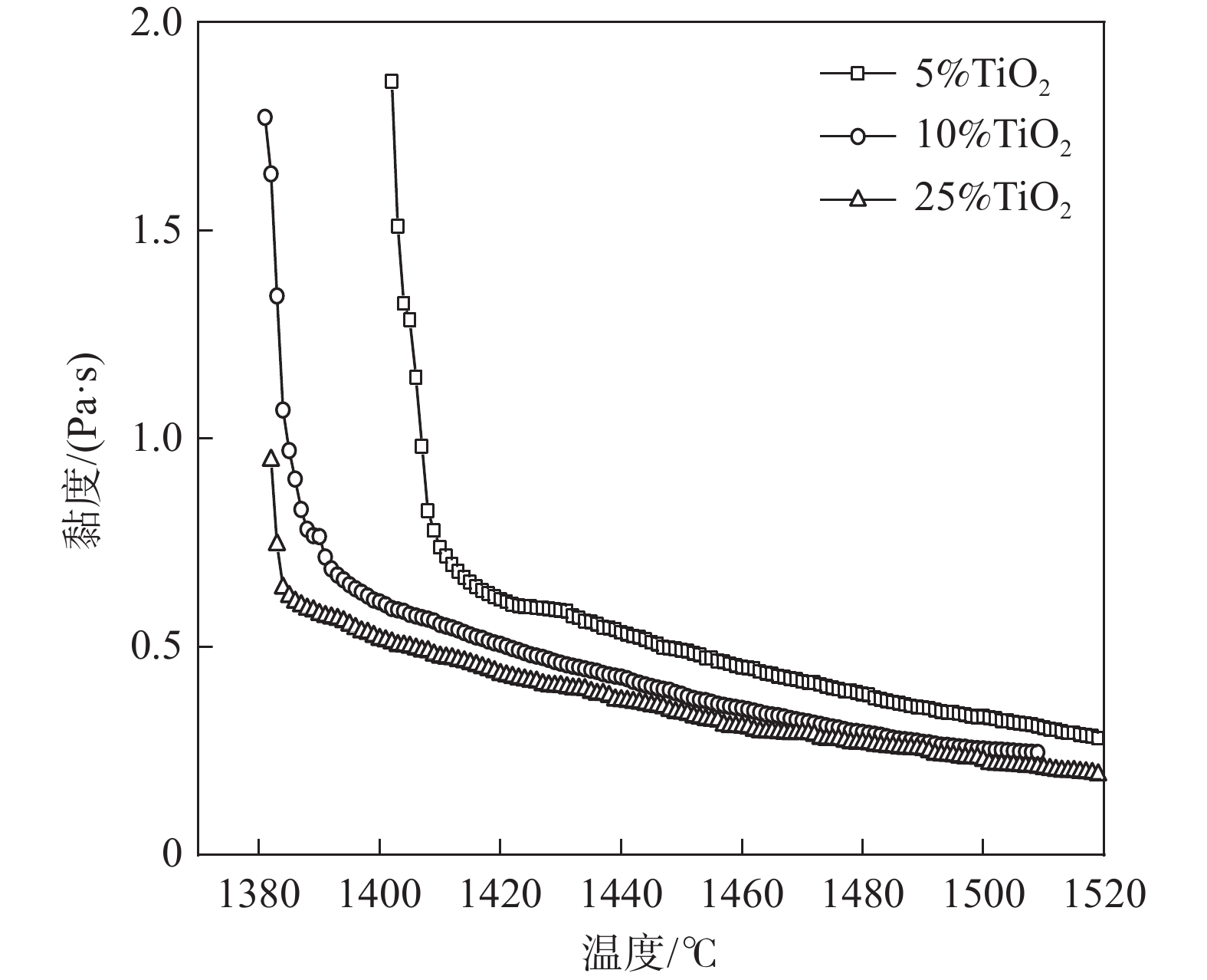
  • With the increase of the high-alumina raw materials with high economy in blast furnace (BF) of domestic iron and steel enterprises, the content of Al2O3 in slag increases and the fluidity of the slag iron becomes worse, which brings a series of problems to BF smelting. Taking five-component CaO-SiO2-Al2O3-MgO-TiO2 slag system as the research object, through phase diagram theoretical calculation, experimental research and slag structure analysis, the effects of different TiO2 content (low titanium 5%, medium titanium 15%, and high titanium 25%) in high-alumina slag on the viscosity and melting temperature of high-alumina BF slag were studied, The reasons affecting the physicochemical properties of slag are analyzed by slag structure. The results show that the fixed alkalinity R2 is 1.25, the mass fraction of TiO2 increases from 1% to 25% and the melting temperature of slag in the phase diagram first decreases and then increases. When the mass fraction of TiO2 is 7%, the liquid phase of slag first precipitates from plagioclase calcium aluminosilicate (Ca2Al2SiO7 ) to calcium titanate (CaTiO3) with melting point of 1975 ℃, and the melting temperature of slag increases. When the TiO2 content increases from 5% (low titanium) to 25% (high titanium) the slag viscosity and melting temperature decrease. The higher the temperature, the better the fluidity of slag, that is, TiO2 in slag exists in [TiO6]8- octahedron structure, which can disintegrate the complex silica network structure in slag. When the content of TiO2 increases from 5% to 25%, the content of complex structural unit Si(Q2+Q3) in the slag decreases, the content of simple structural unit Si(Q0+Q1) increases, Si(Q2+Q3 )/Si(Q0+Q1) decreases, and the slag structure is simplified, that is, TiO2 acts as a slag modifier in the slag whether in low, medium or high titanium content, which is helpful to reduce the viscosity and it plays a positive role in improving slag fluidity.
  • loading
  • [1]
    Yu Wen, Ding Guoxuan, Fan Xiaopeng, et al. Study on mine geological ecological environment evaluation based on analytic hierarchy process fuzzy comprehensive model[J]. Three Gorges Ecological Environment Monitoring, 2021,6(2):26−35. (郁文, 丁国轩, 樊小鹏, 等. 基于层次分析-模糊综合模型的矿山地质生态环境评价研究[J]. 三峡生态环境监测, 2021,6(2):26−35.
    [2]
    Sun Changyu, Chen Yachun, Li Jing, et al. The effect of MgO on the desulfurization of high-aluminum blast furnace slag and its kinetic analysis[J]. Journal of Chongqing University, 2016,39(4):82−87. (孙长余, 陈亚春, 李静, 等. MgO对高铝高炉渣脱硫的影响及其动力学分析[J]. 重庆大学学报, 2016,39(4):82−87. doi: 10.11835/j.issn.1000-582X.2016.04.010
    [3]
    Kim J R, Lee Y S, Dong J M, et al. Influence of MgO and Al2O3 contents on viscosity of blast furnace type slags containing FeO[J]. ISIJ International, 2004,44(8):1291−1297. doi: 10.2355/isijinternational.44.1291
    [4]
    Kim G H, Sohn I. Effect of Al2O3 on the viscosity and structure of calcium silicate-based melts containing Na2O and CaF2[J]. Journal of Non-Crystalline Solids, 2012,358(12-13):1530−1537. doi: 10.1016/j.jnoncrysol.2012.04.009
    [5]
    Machin J S, Yee T B, Hanna D L. Viscosity studies of system CaO–MgO–Al2O3–SiO2: III, 35, 45, and 50% SiO2[J]. Journal of the American Ceramic Society, 1952,35(12):322−325. doi: 10.1111/j.1151-2916.1952.tb13057.x
    [6]
    Tang X L, Zhang Z T, Guo M, et al. Viscosities behavior of CaO-SiO2-MgO-Al2O3 slag with low mass ratio of CaO to SiO2 and wide range of Al2O3 content[J]. Journal of Iron & Steel Research International, 2011,(2):1−17.
    [7]
    Kurunov I F, Loginov V N, Lyapin S S, et al. New technological solutions to protect the lining of blast-furnace hearths[J]. Metallurgist, 2007,51:425−433. doi: 10.1007/s11015-007-0077-2
    [8]
    Zhao Y. The impact of titanium on Skull formation in the blast furnace hearth[C]//In: AIST. org, editor. AISTech-2013. Pittsburgh, Pa, USA. 2014: 95-103.
    [9]
    Yuan Xiang, Zhang Jianliang, Mao Rui, et al. Viscosity and melting properties of blast furnace low titanium slag[J]. Journal of Process Engineering, 2014,14(4):664−670. (袁骧, 张建良, 毛瑞, 等. 高炉低钛渣粘度和熔化性能[J]. 过程工程学报, 2014,14(4):664−670.
    [10]
    Shi Lili, Li Rong, Long Ping, et al. Effect of Al2O3 and TiO2 content on viscous flow characteristics and mineral composition of titanium bearing blast furnace slag[J]. Shanxi Metallurgy, 2017,40(5):1−3. (施丽丽, 李容, 隆平, 等. Al2O3和TiO2含量对含钛高炉渣黏流特性及矿物组成的影响[J]. 山西冶金, 2017,40(5):1−3.
    [11]
    Yan Z, Pang Z, Lv X W, et al. Effect of TiO2 on the viscous behavior of high alumina blast furnace slag[C]//9th International Symposium on High-Temperature Metallurgical Processing. 2018: 725-733.
    [12]
    Wang Z, Shu Q F, Chou K. Viscosity of fluoride-free mold fluxes containing B2O3 and TiO2[J]. Steel Research International, 2013,84(8):766−776. doi: 10.1002/srin.201200256
    [13]
    Park H, Park J Y, Kim J H, et al. Effect of TiO2 on the viscosity and slag structure in blast furnace type slags[J]. Steel Research International, 2012,83(2):150−156. doi: 10.1002/srin.201100249
    [14]
    Xu Renze, Zhang Jianliang, Zhang Heshun, et al. Effect of TiO2 on properties of Jingtang blast furnace slag and thermodynamic analysis[J]. Iron and steel, 2017,52(9):104−109. (许仁泽, 张建良, 张贺顺, 等. TiO2对京唐高炉渣性能的影响及热力学分析[J]. 钢铁, 2017,52(9):104−109.
    [15]
    Nakamoto M, Tsugawa Y, Kiyose A, et al. Effect of TiO2 on the viscosity of molten slag in SiO2-CaO-MgO system[J]. Journal of High Temperature Society, 2007,32(1):74−77.
    [16]
    Chang Z Y, Jiao K X, Zhang J L, et al. Effect of TiO2 and MnO on viscosity of blast furnace slag and thermodynamic analysis[J]. ISIJ International, 2018,58(12):2173−2179. doi: 10.2355/isijinternational.ISIJINT-2018-379
    [17]
    Zhang S, Zhang X, Peng H, et al. Structure analysis of CaO-SiO2-Al2O3-TiO2 slag by molecular dynamics simulation and FT-IR spectroscopy[J]. Transactions of the Iron & Steel Institute of Japan, 2014,54(4):734−742.
    [18]
    Shi Chengbin, Zheng Dingli, Shin Seungho, et al. Effect of TiO2 on the viscosity and structure of low-fluoride slag used for electroslag remelting of Ti-containing steels[J]. International Journal of Minerals Metallurgy and Materials, 2017,24(1):18−24. doi: 10.1007/s12613-017-1374-9
    [19]
    Liang Xiaoping, Lu Dongxu, Wang Yu, et al. Computational simulation on the coordination structure of CaO-B2O3-SiO2-TiO2 mold fluxes system[J]. Journal of Chongqing University, 2015,38(5):135−141. (梁小平, 陆东旭, 王雨, 等. CaO-B2O3-SiO2-TiO2系保护渣配位结构的计算模拟[J]. 重庆大学学报, 2015,38(5):135−141. doi: 10.11835/j.issn.1000-582X.2015.05.020
    [20]
    Pang Zhengde, Lv Xuewei, Yan Zhiming, et al. Viscosity and free running temperature of ultra-high TiO2 bearing blast furnace slag[J]. Iron and Steel, 2020,55(8):181−186. (庞正德, 吕学伟, 严志明, 等. 超高TiO2高炉渣黏度及熔化性温度[J]. 钢铁, 2020,55(8):181−186. doi: 10.13228/j.boyuan.issn0449-749x.20200201
  • 加载中

Catalog

    通讯作者: 陈斌, bchen63@163.com
    • 1. 

      沈阳化工大学材料科学与工程学院 沈阳 110142

    1. 本站搜索
    2. 百度学术搜索
    3. 万方数据库搜索
    4. CNKI搜索

    Figures(11)  / Tables(2)

    Article Metrics

    Article views (608) PDF downloads(51) Cited by()
    Proportional views
    Related

    /

    DownLoad:  Full-Size Img  PowerPoint
    Return
    Return