Volume 43 Issue 2
May  2022
Turn off MathJax
Article Contents
Zheng Haoqing, Zheng Zhiwang, Zuo Jun, Su Guanqiao. Effect of different amounts of oil on electrochemical corrosion behavior of DC06 automobile steel[J]. IRON STEEL VANADIUM TITANIUM, 2022, 43(2): 157-162. doi: 10.7513/j.issn.1004-7638.2022.02.024
Citation: Zheng Haoqing, Zheng Zhiwang, Zuo Jun, Su Guanqiao. Effect of different amounts of oil on electrochemical corrosion behavior of DC06 automobile steel[J]. IRON STEEL VANADIUM TITANIUM, 2022, 43(2): 157-162. doi: 10.7513/j.issn.1004-7638.2022.02.024

Effect of different amounts of oil on electrochemical corrosion behavior of DC06 automobile steel

doi: 10.7513/j.issn.1004-7638.2022.02.024
More Information
  • Received Date: 2021-08-04
    Available Online: 2022-04-28
  • Publish Date: 2022-04-28
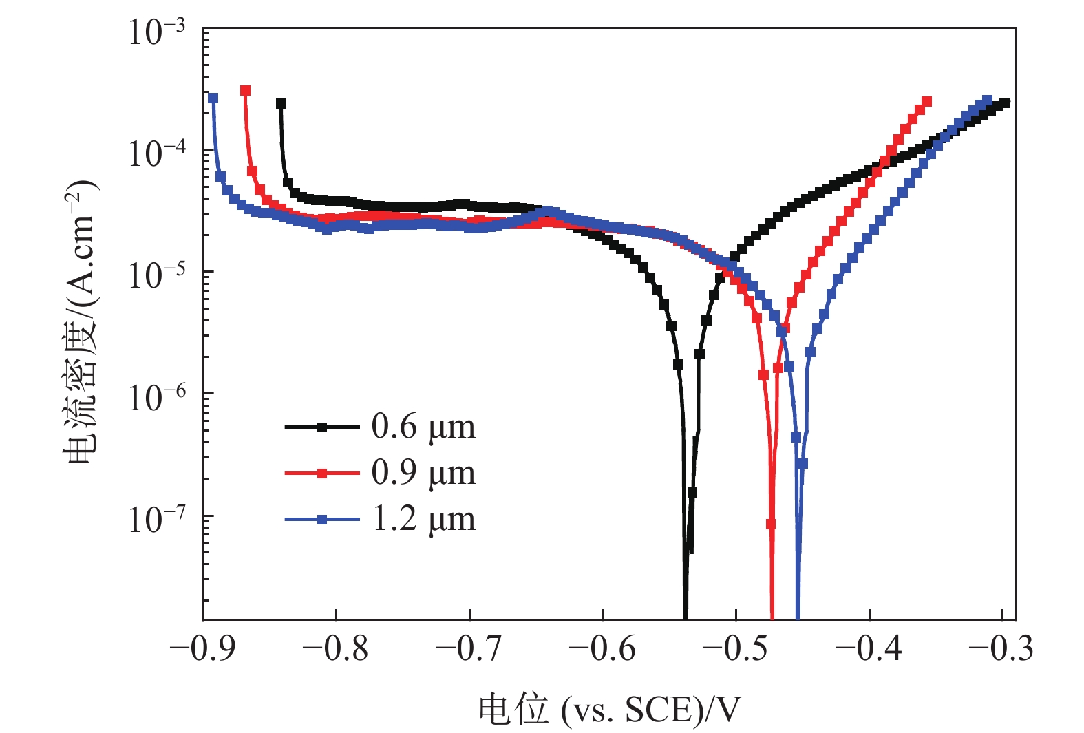
  • The electrochemical corrosion behavior of DC06 steel plate under different temperatures and oil content was studied by constant temperature and humidity, electrochemical polarization curve and local electrochemical impedance tests. The experimental results showed that the corrosion rate of the DC06 steel plate increased with the increase in temperature under different temperature conditions, and severe pitting corrosion occurred when the temperature was 40 °C. With the increase of oil content to 1500 mg/m2, the corrosion rate of steel plate decreased by about 20%, and with the increase in temperature, the corrosion performance improved; DC06 steel plate with a roughness of 1.2 μm can be obtained the optimum corrosion resistance. Moreover, the active dissolution degree of corrosion products of DC06 steel plate increased with the increase in temperature. The corrosion resistance of DC06 steel at high temperature was reduced due to the failure of antirust oil to form a stable protection film at high temperature and the uneven impedance characteristics of the micro area.
  • loading
  • [1]
    李光瀛, 马鸣图. 我国汽车板生产现状及展望[J]. 轧钢, 2014, 31(4): 22.

    Li Guangying, Ma Mingtu. The present situation and prospect of automobile plate production in China[J]. Roll Steel, 2014, 31(4): 22.
    [2]
    康永林, 朱国明. 中国汽车发展趋势及汽车用钢面临的机遇与挑战[J]. 钢铁, 2014, 49(12): 1.

    Kang Yonglin, Zhu Guoming. The development trend of Chinese automobiles and the opportunities and challenges faced by automobile steels[J]. Steel, 2014, 49(12): 1.
    [3]
    李光瀛, 唐荻, 王先进. 汽车板深加工技术的发展[J]. 轧钢, 2013, 30(1): 1.

    Li Guangying, Tang Di, Wang Xianjin. The development of automobile plate deep processing technology[J]. Roll Steel, 2013, 30(1): 1.
    [4]
    李麟, 何燕霖, 张梅,等. 先进高强度汽车钢板的研制[J]. 上海大学学报(自然科学版), 2011, 17: 480.

    Li Lin, He Yanlin, Zhang Mei, et al. Research and development of advanced high strength automobile steel plate[J]. Journal of Shanghai University (Natural Science Edition), 2011, 17: 480.
    [5]
    Zhong Qingdong, Rohwerder Michael, Zhang Zhao. Study of lubricants and their effect on the anti-corrosion performance as temporarily protective oil coatings[J]. Surface and Coatings Technology, 2004,185(2/3):234−239.
    [6]
    Bhagavathi L R, Chaudhari G P, Nath S K. Mechanical and corrosion behavior of plain low carbon dual-phase steels[J]. Materials & Design, 2011,32:433.
    [7]
    Chen Heng, Lu Lin, Huang Yunhua, et al. Insight into TiN inclusion induced pit corrosion of interstitial free steel exposed to aerated NaCl solution[J]. Journal of Materials Research and Technology, 2021,13:13−24. doi: 10.1016/j.jmrt.2021.04.046
    [8]
    Yilmaz A, Traka K, Pletincx S, et al. Effect of microstructural defects on passive layer properties of interstitial free (IF) ferritic steels in alkaline environment[J]. Corrosion Science, 2021,182:109271. doi: 10.1016/j.corsci.2021.109271
  • 加载中

Catalog

    通讯作者: 陈斌, bchen63@163.com
    • 1. 

      沈阳化工大学材料科学与工程学院 沈阳 110142

    1. 本站搜索
    2. 百度学术搜索
    3. 万方数据库搜索
    4. CNKI搜索

    Figures(6)  / Tables(1)

    Article Metrics

    Article views (283) PDF downloads(22) Cited by()
    Proportional views
    Related

    /

    DownLoad:  Full-Size Img  PowerPoint
    Return
    Return